Sign in to use this feature.

Years

Between: -

Subjects

remove_circle_outline
remove_circle_outline
remove_circle_outline
remove_circle_outline
remove_circle_outline
remove_circle_outline
remove_circle_outline
remove_circle_outline
remove_circle_outline

Journals

Article Types

Countries / Regions

Search Results (55)

Search Parameters:
Keywords = heteronuclear complexes

Order results
Result details
Results per page
Select all
Export citation of selected articles as:
15 pages, 2990 KB  
Article
Infrared Photodissociation Spectroscopic and Theoretical Study of Mass-Selected Heteronuclear Iron–Rhodium and Iron–Iridium Carbonyl Cluster Cations
by Jin Hu and Xuefeng Wang
Molecules 2025, 30(23), 4619; https://doi.org/10.3390/molecules30234619 - 1 Dec 2025
Viewed by 792
Abstract
Heterobimetallic iron–group 9 carbonyl cations, FeM(CO)n+ (M = Rh, Ir; n = 9–11), were generated in the gas phase via pulsed laser vaporization within a supersonic expansion and characterized by infrared photodissociation spectroscopy in the carbonyl stretching region. By combining experimental [...] Read more.
Heterobimetallic iron–group 9 carbonyl cations, FeM(CO)n+ (M = Rh, Ir; n = 9–11), were generated in the gas phase via pulsed laser vaporization within a supersonic expansion and characterized by infrared photodissociation spectroscopy in the carbonyl stretching region. By combining experimental spectra with density functional theory simulations, the geometric and electronic structures of these clusters were unambiguously assigned. Mass spectrometry and photodissociation results identified FeM(CO)9+ as the saturated species for M = Rh and Ir, in contrast to the lighter cobalt analog FeCo(CO)8+. The FeM(CO)9+ cations adopt a C4v-symmetric singlet ground-state structure with all carbonyl ligands terminally bound, corresponding to a (OC)5Fe–M(CO)4 configuration. These complexes can be formally described as combination products of the stable neutral Fe(CO)5 and cationic M(CO)4+ fragments. Analyses based on canonical molecular orbitals, Mayer bond orders, and fragment-based correlation diagrams reveal the presence of a dative Fe→M interaction in FeM(CO)9+, which formally enables the heavier Rh/Ir metal center to attain an 18-electron configuration. However, this bond is weaker than a typical covalent single bond, as the key molecular orbitals involved possess antibonding character. This study provides important insights into the structure and bonding of heteronuclear transition metal carbonyl clusters, highlighting distinctive coordination behavior between late 3d and heavier 4d/5d congeners. Full article
(This article belongs to the Section Physical Chemistry)
Show Figures

Figure 1

15 pages, 2497 KB  
Article
Structures, Interactions, and Antimicrobial Activity of the Shortest Thanatin Peptide from Anasa tristis
by Swaleeha Jaan Abdullah, Jia Sheng Guan, Yuguang Mu and Surajit Bhattacharjya
Int. J. Mol. Sci. 2025, 26(19), 9571; https://doi.org/10.3390/ijms26199571 - 30 Sep 2025
Cited by 1 | Viewed by 1376
Abstract
Antimicrobial peptides (AMPs), also referred to as host defense peptides, are promising molecules in the development of the next generation of antibiotics against drug-resistant bacterial pathogens. Thanatin comprises a family of naturally occurring cationic AMPs derived from several species of insects. The first [...] Read more.
Antimicrobial peptides (AMPs), also referred to as host defense peptides, are promising molecules in the development of the next generation of antibiotics against drug-resistant bacterial pathogens. Thanatin comprises a family of naturally occurring cationic AMPs derived from several species of insects. The first thanatin, 21 residues long, was identified from the spined soldier bug, and more thanatin peptides have been discovered in recent studies. The 16-residue thanatin from Anasa tristis, or Ana-thanatin, represents the shortest sequence in the family. However, the antimicrobial activity and mechanistic process underpinning bacterial cell killing have yet to be reported for Ana-thanatin peptide. In this work, we examined the antibacterial activity, structures, and target interactions of Ana-thanatin. Our results demonstrated that Ana-thanatin exerts potent antibiotic activity against strains of Gram-negative and Gram-positive bacteria. Biophysical studies demonstrated that Ana-thanatin interacts with LPS outer membrane and can permeabilize the OM barrier in the process. Atomic-resolution structures of the peptide in free solution and in complex with lipopolysaccharide (LPS) micelle were solved by NMR, determining canonical β-sheet structures. Notably, in complex with LPS, the β-sheet structure of the peptide was better defined in terms of the packing of amino acid residues. Further, MD simulations demonstrated rapid binding of the Ana-thanatin peptide with the LPS molecules within the lipid bilayers. These studies have revealed structural features which could be responsible for LPS-OM disruption of the Gram-negative bacteria. In addition, NMR heteronuclear single quantum coherence (HSQC) studies have demonstrated that Ana-thanatin can strongly interact with the LPS transport periplasmic protein LptAm, potentially inhibiting OM biogenesis. Taken together, we surmise that the Ana-thanatin peptide could serve as a template for the further development of novel antibiotics. Full article
(This article belongs to the Collection Feature Papers in Molecular Biophysics)
Show Figures

Figure 1

30 pages, 3375 KB  
Article
Pro-Inflammatory Protein PSCA Is Upregulated in Neurological Diseases and Targets β2-Subunit-Containing nAChRs
by Mikhail A. Shulepko, Yuqi Che, Alexander S. Paramonov, Milita V. Kocharovskaya, Dmitrii S. Kulbatskii, Anisia A. Ivanova, Anton O. Chugunov, Maxim L. Bychkov, Artem V. Kirichenko, Zakhar O. Shenkarev, Mikhail P. Kirpichnikov and Ekaterina N. Lyukmanova
Biomolecules 2025, 15(10), 1381; https://doi.org/10.3390/biom15101381 - 28 Sep 2025
Viewed by 1533
Abstract
Prostate stem cell antigen (PSCA) is a Ly6/uPAR protein that targets neuronal nicotinic acetylcholine receptors (nAChRs). It exists in membrane-tethered and soluble forms, with the latter upregulated in Alzheimer’s disease. We hypothesize that PSCA may be linked to a wider spectrum of neurological [...] Read more.
Prostate stem cell antigen (PSCA) is a Ly6/uPAR protein that targets neuronal nicotinic acetylcholine receptors (nAChRs). It exists in membrane-tethered and soluble forms, with the latter upregulated in Alzheimer’s disease. We hypothesize that PSCA may be linked to a wider spectrum of neurological diseases and could induce neuroinflammation. Indeed, PSCA expression is significantly upregulated in the brain of patients with multiple sclerosis, Huntington’s disease, Down syndrome, bipolar disorder, and HIV-associated dementia. To investigate PSCA’s structure, pharmacology, and inflammatory function, we produced a correctly folded water-soluble recombinant analog (ws-PSCA). In primary hippocampal neurons and astrocytes, ws-PSCA differently regulates secretion of inflammatory factors and adhesion molecules and induces pro-inflammatory responses by increasing TNFβ secretion. Heteronuclear NMR and 15N relaxation measurements reveal a classical β-structural three-finger fold with conformationally disordered loops II and III. Positive charge clustering on the molecular surface suggests the functional importance of ionic interactions by these loops. Electrophysiological studies in Xenopus oocytes point on ws-PSCA inhibition of α3β2-, high-, and low-sensitive variants of α4β2- (IC50 ~50, 27, and 15 μM, respectively) but not α4β4-nAChRs, suggesting targeting of the β2 subunit. Ensemble docking and molecular dynamics simulations predict PSCA binding to high-sensitive α4β2-nAChR at α4/β2 and β2/β2 interfaces. Complexes are stabilized by ionic and hydrogen bonds between PSCA’s loops II and III and the primary and complementary receptor subunits, including glycosyl groups. This study gives new structural and functional insights into PSCA’s interaction with molecular targets and provides clues to understand its role in the brain function and mental disorders. Full article
Show Figures

Figure 1

35 pages, 4708 KB  
Review
Homo- and Hetero-Multinuclear Iridium(III) Complexes with Cytotoxic Activity
by Irena Kostova
Inorganics 2025, 13(5), 156; https://doi.org/10.3390/inorganics13050156 - 8 May 2025
Cited by 5 | Viewed by 2437
Abstract
Towards the efforts to expand the bioactivity and to reduce toxic and adverse properties of known metal-based drugs, various multinuclear complexes have recently been studied. They have shown enhancement of target specificity and selectivity. Different from small organic compounds and traditional metal-based complexes [...] Read more.
Towards the efforts to expand the bioactivity and to reduce toxic and adverse properties of known metal-based drugs, various multinuclear complexes have recently been studied. They have shown enhancement of target specificity and selectivity. Different from small organic compounds and traditional metal-based complexes with anticancer activity, iridium(III) multinuclear or heteronuclear metallodrugs have confirmed potential advantages due to their unique biological and chemical diversities, better activity and different anticancer mechanisms. Ir(III) coordination compounds, similar to most Pt group compounds, are of excessive interest because of their potential cytotoxic activity, effective cellular uptake and tolerance by healthy cells. Although mononuclear Ir(III) complex compounds have been extensively studied as promising candidates for antitumor application, the research on the antineoplastic potential of homo- or hetero-multinuclear iridium(III) complexes is not as abundant; nevertheless, intensive investigations have been conducted in the recent years towards developing complexes that are anticipated to have improved therapeutic potential and biotarget selectivity. Multimetallic iridium(III) frameworks have offered interesting possibilities for designing new antitumor agents by exploiting the action of different metal cations at the same time. This method was very successful in the design of homo- and hetero-multinuclear cyclometalated and half-sandwich organometallic Ir(III) compounds. In the described background, many homonuclear and heteronuclear Ir(III) complexes have been estimated and have exposed promising advantages in cancer therapy. This review intends to summarize newly reported innovative and promising multinuclear Ir(III)-based complexes and to afford a wide-ranging overview of current development and perspectives for the practical impact of these complexes in the tumor therapy field. It is anticipated that this analysis will provide significant direction for the further progress of active homonuclear and heteronuclear iridium-based anticancer agents. Full article
(This article belongs to the Special Issue Metal Complexes Diversity: Synthesis, Conformations, and Bioactivity)
Show Figures

Figure 1

15 pages, 1784 KB  
Article
Formation and Chemical Structure of Carbon-13 Tracer Lignin-Carbohydrate Complexes (LCCs) During Kraft Pulping
by Zhi Wang, Yimin Xie and Boxuan Zhao
Molecules 2025, 30(5), 1077; https://doi.org/10.3390/molecules30051077 - 26 Feb 2025
Cited by 1 | Viewed by 1059
Abstract
In this study, a modified synthetic method for labeling a lignin dimer (guaiacylglycerol-β-guaiacyl ether-[α-13C]) was developed. The chemical structure of the target compound was analyzed using 1H-NMR, 13C-NMR, and other analytical techniques. Then, the 13C-labeled phenolic lignin model [...] Read more.
In this study, a modified synthetic method for labeling a lignin dimer (guaiacylglycerol-β-guaiacyl ether-[α-13C]) was developed. The chemical structure of the target compound was analyzed using 1H-NMR, 13C-NMR, and other analytical techniques. Then, the 13C-labeled phenolic lignin model compound was subjected to kraft pulping in the presence of xylose. Finally, the resulting reaction products were fractionated using acid precipitation and ethyl acetate extraction, and each fraction was analyzed by carbon-13 nuclear magnetic resonance (13C-NMR) and two-dimensional heteronuclear multiple quantum coherence (HMQC) spectroscopy. This aimed to investigate the occurrence of lignin–carbohydrate complexes (LCCs) during the conventional kraft pulping process. Employing ethanol as the reaction medium facilitated the bromination of 4-acetylguaiacol-[α-13C], resulting in a homogeneous reaction and significantly improving the yield of the brominated product to over 90%. Additionally, kraft pulping of the phenolic lignin model compound in the presence of xylose led to the occurrence of minor quantities of benzyl ether-type lignin–carbohydrate complex (LCC) structures, which were predominantly detected in the ethyl acetate extractive. Full article
Show Figures

Figure 1

13 pages, 1843 KB  
Article
Cobalt(II) and Manganese(II) Complexes of Sodium Monensinate A Bearing Nitrate Co-Ligands
by Nikolay Petkov, Miroslav Boyadzhiev, Nikita Bozhilova, Petar Dorkov, Elzhana Encheva, Angel Ugrinov and Ivayla N. Pantcheva
Int. J. Mol. Sci. 2024, 25(22), 12129; https://doi.org/10.3390/ijms252212129 - 12 Nov 2024
Cited by 1 | Viewed by 1558
Abstract
Monensic acid is a natural polyether ionophore and is a therapeutic of first choice in veterinary medicine for the control of coccidiosis. Although known as a sodium-binding ligand, it can also form a variety of coordination species depending on experimental conditions applied. In [...] Read more.
Monensic acid is a natural polyether ionophore and is a therapeutic of first choice in veterinary medicine for the control of coccidiosis. Although known as a sodium-binding ligand, it can also form a variety of coordination species depending on experimental conditions applied. In this study, we present the crystal structures and properties of Co(II) and Mn(II) complexes of sodium monensinate (MonNa) derived from the reaction of MonNa with cobalt or manganese dinitrates. The newly obtained coordination compounds have the same composition [M(MonNa)2(NO3)2] but the transition metal ions are placed in a different environment. The two nitrate ligands behave mono- or bidentately bound in the Co(II)- and Mn(II)-containing species, respectively, while the monensinate ligands act in a similar manner through their monodentate carboxylate functions. The formed CoO4 and MnO6 units determine the geometry of the corresponding inner coordination cores of the complexes as a tetrahedron in the case of Co(II), and as a strongly distorted octahedral structure in Mn(II) species. The effect of inorganic anions on the antibacterial performance of sodium monensinate appears to be negligible, while the presence of Co(II) or Mn(II) cations preserves or enhances the activity of unmodified MonNa, which differentially affects the growth of Bacillus subtilis, Bacillus cereus, Kocuria rhizophila, Staphilococcus aureus, and Staphilococcus saprophyticus strains. Full article
(This article belongs to the Special Issue Metals in Biology and Medicine)
Show Figures

Graphical abstract

9 pages, 1677 KB  
Article
Influence of pH on the Formation of Benzyl Ester Bonds Between Dehydrogenation Polymers and Konjac Glucomannan
by Peng Wang, Xu Zhang, Xi Le, Junjun Chen, Guangyan Zhang, Junjian An, Nianjie Feng and Junxian Xie
Molecules 2024, 29(21), 5166; https://doi.org/10.3390/molecules29215166 - 31 Oct 2024
Cited by 2 | Viewed by 1409
Abstract
A thorough understanding of the lignin–carbohydrate complex (LCC) structure has a significant meaning in the high-value utilization of lignocellulose. In this work, the complex (DHPKGC) was obtained by an addition reaction between konjac glucomannan (KGM) and quinone methides generated in the synthesis of [...] Read more.
A thorough understanding of the lignin–carbohydrate complex (LCC) structure has a significant meaning in the high-value utilization of lignocellulose. In this work, the complex (DHPKGC) was obtained by an addition reaction between konjac glucomannan (KGM) and quinone methides generated in the synthesis of dehydrogenation polymers (DHPs) to simulate the formation of LCCs. The effect of pH on the prepared DHPKGC was investigated. The structure of the DHPKGC was characterized by Fourier Transform Infrared (FTIR), 13C-Nuclear Magnetic Resonance (13C-NMR), and two-dimensional Heteronuclear Single Quantum Coherence Nuclear Magnetic Resonance (2D HSQC NMR) analyses. The results indicated the pH of 4.0 was conducive to the polymerization reaction between DHPs and oxidized KGM by the TEMPO/NaClO/NaBr system. In addition, the resultant DHPKGC was connected by benzyl ester linkages. Overall, this study aims to gain greater insight into the process of LCC formation in plants. Full article
(This article belongs to the Section Macromolecular Chemistry)
Show Figures

Figure 1

21 pages, 4158 KB  
Article
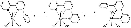
Heteronuclear Complexes with Promising Anticancer Activity against Colon Cancer
by Elena Atrián-Blasco, Javier Sáez, Maria Jesús Rodriguez-Yoldi and Elena Cerrada
Biomedicines 2024, 12(8), 1763; https://doi.org/10.3390/biomedicines12081763 - 5 Aug 2024
Cited by 2 | Viewed by 1928
Abstract
This study investigates the activity of novel gold(I) and copper(I)/zinc(II) heteronuclear complexes against colon cancer. The synthesised heteronuclear Au(I)-Cu(I) and Au(I)-Zn(II) complexes were characterised and evaluated for their anticancer activity using human colon cancer cell lines (Caco-2). The complexes exhibited potent cytotoxicity, with [...] Read more.
This study investigates the activity of novel gold(I) and copper(I)/zinc(II) heteronuclear complexes against colon cancer. The synthesised heteronuclear Au(I)-Cu(I) and Au(I)-Zn(II) complexes were characterised and evaluated for their anticancer activity using human colon cancer cell lines (Caco-2). The complexes exhibited potent cytotoxicity, with IC50 values in the low micromolar range, and effectively induced apoptosis in cancer cells. In the case of complex [Cu{Au(Spy)(PTA)}2]PF6 (2), its cytotoxicity is ×10 higher than its mononuclear precursor, while showing low cytotoxicity towards differentiated healthy cells. Mechanistic studies revealed that complex 2 inhibits the activity of thioredoxin reductase, a key enzyme involved in redox regulation, leading to an increase in reactive oxygen species (ROS) levels and oxidative stress, in addition to an alteration in DNA’s tertiary structure. Furthermore, the complexes demonstrated a strong binding affinity to bovine serum albumin (BSA), suggesting the potential for effective drug delivery and bioavailability. Collectively, these findings highlight the potential of the investigated heteronuclear Au(I)-Cu(I) and Au(I)-Zn(II) complexes as promising anticancer agents, particularly against colon cancer, through their ability to disrupt redox homeostasis and induce oxidative stress-mediated cell death. Full article
(This article belongs to the Special Issue Gold and Silver Complexes in the Treatment of Diseases 2.0)
Show Figures

Figure 1

15 pages, 1605 KB  
Article
Investigation of the Complexation Activity of 2,4-Dithiouracil with Au(III) and Cu(II) and Biological Activity of the Newly Formed Complexes
by Petya Marinova, Dimitar Stoitsov, Nikola Burdzhiev, Slava Tsoneva, Denica Blazheva, Aleksandar Slavchev, Evelina Varbanova and Plamen Penchev
Appl. Sci. 2024, 14(15), 6601; https://doi.org/10.3390/app14156601 - 28 Jul 2024
Cited by 3 | Viewed by 1905
Abstract
The goal of this study is to synthesize, determine the structure, and examine the antimicrobial properties of novel Cu(II) and Au(III) complexes of 2,4-dithiouracil and its derivatives. These complexes were obtained by mixing aqueous solutions of the corresponding metal salts with the ligand [...] Read more.
The goal of this study is to synthesize, determine the structure, and examine the antimicrobial properties of novel Cu(II) and Au(III) complexes of 2,4-dithiouracil and its derivatives. These complexes were obtained by mixing aqueous solutions of the corresponding metal salts with the ligand dissolved in DMSO and aqueous NaOH, using a metal-to-ligand ratio of 1:4:2. The structures of the new compounds were analyzed by melting point determination, microwave plasma atomic emission spectrometry (MP-AES) for Cu and Au, inductively coupled plasma optical emission spectrometry (ICP-OES) for S, attenuated total reflection (ATR), solution and solid-state NMR, and Raman spectroscopy. The data for 2,4-dithiouracil obtained from the 1H NMR, 13C NMR, distortionless enhancement by polarization transfer spectrum (DEPT-135), proton–proton homonuclear correlation spectrum (1H-1H COSY), long-range 1H-13C heteronuclear multiple bond correlation experiment (HMBC), and heteronuclear single quantum coherence spectra (HSQC) aided the interpretation of the NMR data for the gold and copper complexes. Furthermore, the antimicrobial effect of the free ligands and their complexes was assessed against Gram-positive and Gram-negative bacteria, as well as yeasts. Full article
(This article belongs to the Section Chemical and Molecular Sciences)
Show Figures

Figure 1

15 pages, 2437 KB  
Article
Heteronuclear Complexes of Hg(II) and Zn(II) with Sodium Monensinate as a Ligand
by Ivayla Pantcheva, Nikolay Petkov, Elzhana Encheva, Stiliyan Kolev, Svetlana Simova, Aleksandar Tsanev, Petar Dorkov and Angel Ugrinov
Molecules 2024, 29(13), 3106; https://doi.org/10.3390/molecules29133106 - 29 Jun 2024
Cited by 2 | Viewed by 1838
Abstract
The commercial veterinary antibiotic sodium monensinate (MonNa) binds mercury(II) or zinc(II) cations as thiocyanate [Hg(MonNa)2(SCN)2] (1) or isothiocyanate [Zn(MonNa)2(NCS)2] (2) neutral coordination compounds. The structure and physicochemical properties of 1 and [...] Read more.
The commercial veterinary antibiotic sodium monensinate (MonNa) binds mercury(II) or zinc(II) cations as thiocyanate [Hg(MonNa)2(SCN)2] (1) or isothiocyanate [Zn(MonNa)2(NCS)2] (2) neutral coordination compounds. The structure and physicochemical properties of 1 and 2 were evaluated by the methods of single crystal and/or powder X-ray diffraction, infrared, nuclear magnetic resonance, X-ray photoelectron spectroscopies, and electrospray-mass spectrometry. The primary cores of the two complexes comprise HgS2O2 (1) and ZnN2O2 (2) coordination motifs, respectively, due to the ambidentate binding modes of the SCN–ligands. The directly bound oxygen atoms originate from the carboxylate function of the parent antibiotic. Sodium cations remain in the hydrophilic cavity of monensin and cannot be replaced by the competing divalent metal ions. Zinc(II) binding does not influence the monensin efficacy in the case of Bacillus cereus and Staphylococcus aureus whereas the antimicrobial assay reveals the potential of complex 2 as a therapeutic candidate for the treatment of infections caused by Bacillus subtilis, Kocuria rhizophila, and Staphylococcus saprophyticus. Full article
(This article belongs to the Section Inorganic Chemistry)
Show Figures

Graphical abstract

27 pages, 4259 KB  
Review
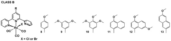
Structural and Photophysical Trends in Rhenium(I) Carbonyl Complexes with 2,2′:6′,2″-Terpyridines
by Joanna Palion-Gazda, Katarzyna Choroba, Anna Maria Maroń, Ewa Malicka and Barbara Machura
Molecules 2024, 29(7), 1631; https://doi.org/10.3390/molecules29071631 - 5 Apr 2024
Cited by 14 | Viewed by 5345
Abstract
This is the first comprehensive review of rhenium(I) carbonyl complexes with 2,2′:6′,2″-terpyridine-based ligands (R-terpy)—encompassing their synthesis, molecular features, photophysical behavior, and potential applications. Particular attention has been devoted to demonstrating how the coordination mode of 2,2′:6′,2″-terpyridine (terpy-κ2N and terpy-κ3N), [...] Read more.
This is the first comprehensive review of rhenium(I) carbonyl complexes with 2,2′:6′,2″-terpyridine-based ligands (R-terpy)—encompassing their synthesis, molecular features, photophysical behavior, and potential applications. Particular attention has been devoted to demonstrating how the coordination mode of 2,2′:6′,2″-terpyridine (terpy-κ2N and terpy-κ3N), structural modifications of terpy framework (R), and the nature of ancillary ligands (X—mono-negative anion, L—neutral ligand) may tune the photophysical behavior of Re(I) complexes [Re(X/L)(CO)3(R-terpy-κ2N)]0/+ and [Re(X/L)(CO)2(R-terpy-κ3N)]0/+. Our discussion also includes homo- and heteronuclear multicomponent systems with {Re(CO)3(R-terpy-κ2N)} and {Re(CO)2(R-terpy-κ3N)} motifs. The presented structure–property relationships are of high importance for controlling the photoinduced processes in these systems and making further progress in the development of more efficient Re-based luminophores, photosensitizers, and photocatalysts for modern technologies. Full article
(This article belongs to the Section Inorganic Chemistry)
Show Figures

Graphical abstract

27 pages, 6411 KB  
Article
Modes of Interactions with DNA/HSA Biomolecules and Comparative Cytotoxic Studies of Newly Synthesized Mononuclear Zinc(II) and Heteronuclear Platinum(II)/Zinc(II) Complexes toward Colorectal Cancer Cells
by Samir Vučelj, Rušid Hasić, Darko Ašanin, Biljana Šmit, Angelina Caković, Jovana Bogojeski, Marina Ćendić Serafinović, Bojana Simović Marković, Bojan Stojanović, Sladjana Pavlović, Isidora Stanisavljević, Irfan Ćorović, Milica Dimitrijević Stojanović, Ivan Jovanović, Tanja V. Soldatović and Bojana Stojanović
Int. J. Mol. Sci. 2024, 25(5), 3027; https://doi.org/10.3390/ijms25053027 - 6 Mar 2024
Cited by 5 | Viewed by 2585
Abstract
A series of mono- and heteronuclear platinum(II) and zinc(II) complexes with 4,4′,4″-tri-tert-butyl-2,2′:6′,2″-terpyridine ligand were synthesized and characterized. The DNA and protein binding properties of [ZnCl2(terpytBu)] (C1), [{cis-PtCl(NH3)2(μ [...] Read more.
A series of mono- and heteronuclear platinum(II) and zinc(II) complexes with 4,4′,4″-tri-tert-butyl-2,2′:6′,2″-terpyridine ligand were synthesized and characterized. The DNA and protein binding properties of [ZnCl2(terpytBu)] (C1), [{cis-PtCl(NH3)2(μ-pyrazine)ZnCl(terpytBu)}](ClO4)2 (C2), [{trans-PtCl(NH3)2(μ-pyrazine)ZnCl(terpytBu)}](ClO4)2 (C3), [{cis-PtCl(NH3)2(μ-4,4′-bipyridyl)ZnCl(terpytBu)}](CIO4)2 (C4) and [{trans-PtCl(NH3)2(μ-4,4′-bipyridyl)ZnCl(terpytBu)}](CIO4)2 (C5) (where terpytBu = 4,4′,4″-tri-tert-butyl-2,2′:6′,2″-terpyridine), were investigated by electronic absorption, fluorescence spectroscopic, and molecular docking methods. Complexes featuring transplatin exhibited lower Kb and Ksv constant values compared to cisplatin analogs. The lowest Ksv value belonged to complex C1, while C4 exhibited the highest. Molecular docking studies reveal that the binding of complex C1 to DNA is due to van der Waals forces, while that of C2C5 is due to conventional hydrogen bonds and van der Waals forces. The tested complexes exhibited variable cytotoxicity toward mouse colorectal carcinoma (CT26), human colorectal carcinoma (HCT116 and SW480), and non-cancerous mouse mesenchymal stem cells (mMSC). Particularly, the mononuclear C1 complex showed pronounced selectivity toward cancer cells over non-cancerous mMSC. The C1 complex notably induced apoptosis in CT26 cells, effectively arrested the cell cycle in the G0/G1 phase, and selectively down-regulated Cyclin D. Full article
(This article belongs to the Section Biochemistry)
Show Figures

Graphical abstract

18 pages, 8605 KB  
Article
Magnetic Anisotropy of Homo- and Heteronuclear Terbium(III) and Dysprosium(III) Trisphthalocyaninates Derived from Paramagnetic 1H-NMR Investigation
by Ilya D. Kormschikov, Marina A. Polovkova, Gayane A. Kirakosyan, Alexander G. Martynov, Yulia G. Gorbunova and Aslan Yu. Tsivadze
Molecules 2024, 29(2), 510; https://doi.org/10.3390/molecules29020510 - 19 Jan 2024
Cited by 2 | Viewed by 2093
Abstract
1H-NMR spectroscopy of lanthanide complexes is a powerful tool for deriving spectral–structural correlations, which provide a clear link between the symmetry of the coordination environment of paramagnetic metal centers and their magnetic properties. In this work, we have first synthesized a series [...] Read more.
1H-NMR spectroscopy of lanthanide complexes is a powerful tool for deriving spectral–structural correlations, which provide a clear link between the symmetry of the coordination environment of paramagnetic metal centers and their magnetic properties. In this work, we have first synthesized a series of homo- (M = M* = Dy) and heteronuclear (M ≠ M* = Dy/Y and Dy/Tb) triple-decker complexes [(BuO)8Pc]M[(BuO)8Pc]M*[(15C5)4Pc], where BuO- and 15C5- are, respectively, butoxy and 15-crown-5 substituents on phthalocyanine (Pc) ligands. We provide an algorithmic approach to assigning the 1H-NMR spectra of these complexes and extracting the axial component of the magnetic susceptibility tensor, χax. We show how this term is related to the nature of the lanthanide ion and the shape of its coordination polyhedron, providing an experimental basis for further theoretical interpretation of the revealed correlations. Full article
Show Figures

Graphical abstract

33 pages, 21692 KB  
Review
Three Decades of REDOR in Protein Science: A Solid-State NMR Technique for Distance Measurement and Spectral Editing
by Orsolya Toke
Int. J. Mol. Sci. 2023, 24(17), 13637; https://doi.org/10.3390/ijms241713637 - 4 Sep 2023
Cited by 8 | Viewed by 3801
Abstract
Solid-state NMR (ss-NMR) is a powerful tool to investigate noncrystallizable, poorly soluble molecular systems, such as membrane proteins, amyloids, and cell walls, in environments that closely resemble their physical sites of action. Rotational-echo double resonance (REDOR) is an ss-NMR methodology, which by reintroducing [...] Read more.
Solid-state NMR (ss-NMR) is a powerful tool to investigate noncrystallizable, poorly soluble molecular systems, such as membrane proteins, amyloids, and cell walls, in environments that closely resemble their physical sites of action. Rotational-echo double resonance (REDOR) is an ss-NMR methodology, which by reintroducing heteronuclear dipolar coupling under magic angle spinning conditions provides intramolecular and intermolecular distance restraints at the atomic level. In addition, REDOR can be exploited as a selection tool to filter spectra based on dipolar couplings. Used extensively as a spectroscopic ruler between isolated spins in site-specifically labeled systems and more recently as a building block in multidimensional ss-NMR pulse sequences allowing the simultaneous measurement of multiple distances, REDOR yields atomic-scale information on the structure and interaction of proteins. By extending REDOR to the determination of 1H–X dipolar couplings in recent years, the limit of measurable distances has reached ~15–20 Å, making it an attractive method of choice for the study of complex biomolecular assemblies. Following a methodological introduction including the most recent implementations, examples are discussed to illustrate the versatility of REDOR in the study of biological systems. Full article
Show Figures

Figure 1

16 pages, 11338 KB  
Article
Application of 2D NMR Spectroscopy in Combination with Chemometric Tools for Classification of Natural Lignins
by Anna V. Faleva, Ilya A. Grishanovich, Nikolay V. Ul’yanovskii and Dmitry S. Kosyakov
Int. J. Mol. Sci. 2023, 24(15), 12403; https://doi.org/10.3390/ijms241512403 - 3 Aug 2023
Cited by 10 | Viewed by 3191
Abstract
Lignin is considered a promising renewable source of valuable chemical compounds and a feedstock for the production of various materials. Its suitability for certain directions of processing is determined by the chemical structure of its macromolecules. Its formation depends on botanical origin, isolation [...] Read more.
Lignin is considered a promising renewable source of valuable chemical compounds and a feedstock for the production of various materials. Its suitability for certain directions of processing is determined by the chemical structure of its macromolecules. Its formation depends on botanical origin, isolation procedure and other factors. Due to the complexity of the chemical composition, revealing the structural differences between lignins of various origins is a challenging task and requires the use of the most informative methods for obtaining and processing data. In the present study, a combination of two-dimensional nuclear magnetic resonance (2D NMR) spectroscopy and multivariate analysis of heteronuclear single quantum coherence (HSQC) spectra is proposed. Principal component analysis and hierarchical cluster analysis techniques demonstrated the possibility to effectively classify lignins at the level of belonging to classes and families of plants, and in some cases individual species, with an error rate for data classification of 2.3%. The reverse transformation of loading plots into the corresponding HSQC loading spectra allowed for structural information to be obtained about the latent components of lignins and their structural fragments (biomarkers) responsible for certain differences. As a result of the analysis of 34 coniferous, deciduous, and herbaceous lignins, 10 groups of key substructures were established. In addition to syringyl, guaiacyl, and p-hydroxyphenyl monomeric units, they include various terminal substructures: dihydroconiferyl alcohol, balanopholin, cinnamic acids, and tricin. It was shown that, in some cases, the substructures formed during the partial destruction of biopolymer macromolecules also have a significant effect on the classification of lignins of various origins. Full article
(This article belongs to the Special Issue Modern NMR Characterization of Materials)
Show Figures

Figure 1

Back to TopTop