Structural and Photophysical Trends in Rhenium(I) Carbonyl Complexes with 2,2′:6′,2″-Terpyridines
Abstract
1. Introduction
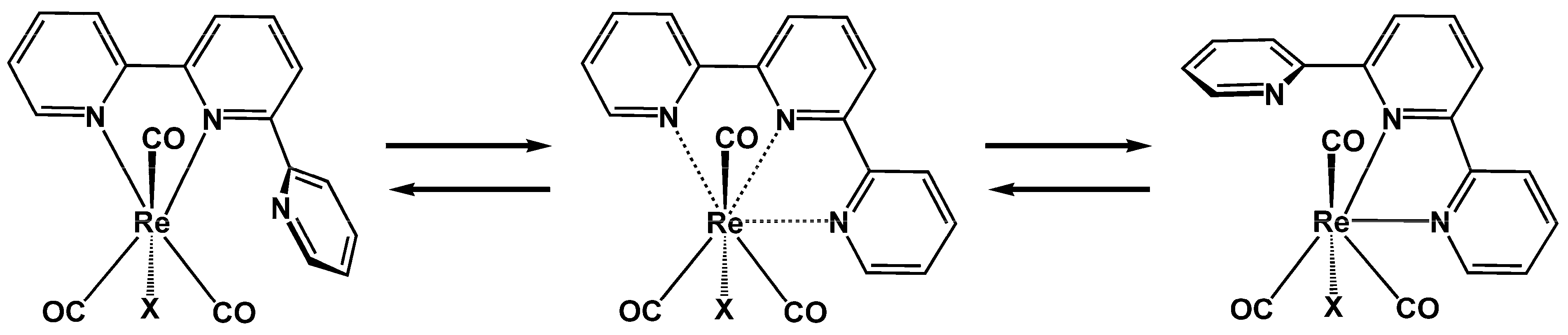
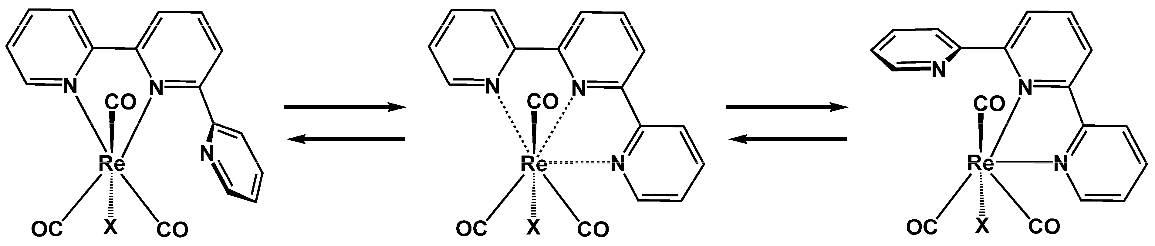
2. Structural Features of [ReX(CO)3(terpy-κ2N)] and [ReX(CO)2(terpy-κ3N)] Systems and Their Derivatives
| [ReX(CO)3(terpy-κ2N)] | [ReCl(CO)3(terpy-κ3N)] | ||||||||
|---|---|---|---|---|---|---|---|---|---|
| Refcode * | WAFVOO [33] | WAFVOO1 [33] | BOFYOL | ILEGIR [38] | PAVKUS [34] | SUHDII [35] | SUHDII01 [35] | SUHDII02 [35] | ILEHIS [38] |
| X | Cl | Cl | Cl | Cl | Cl | Br | Br | Br | – |
| Bond lengths | |||||||||
| Re(1)–X(1) | 2.4877(6) | 2.4936(7) | 2.4907(8) | 2.496(2) | 2.4932(11) | 2.6306(13) | 2.6409(3) | 2.6408(6) | 2.489(2) |
| Re(1)–N(1) | 2.2059(5) | 2.214(2) | 2.215(2) | 2.232(9) | 2.228(3) | 2.210(8) | 2.2283(19) | 2.233(3) | 2.079(7) |
| Re(1)–N(2) | 2.1710(3) | 2.161(2) | 2.159(3) | 2.165(6) | 2.151(2) | 2.144(8) | 2.174(3) | 2.173(4) | 2.118(8) |
| Re(1)–N(3) | 2.124(8) | ||||||||
| Re(1)–C(1) | 1.9019(5) | 1.907(3) | 1.915(3) | 1.902(10) | 1.880(4) | 1.896(13) | 1.886(3) | 1.895(4) | 1.963(8) |
| Re(1)–C(2) | 1.9085(4) | 1.909(3) | 1.904(3) | 1.892(11) | 1.903(4) | 1.889(11) | 1.913(3) | 1.911(4) | 1.917(8) |
| Re(1)–C(3) | 1.9363(3) | 1.928(2) | 1.937(3) | 1.935(8) | 1.909(4) | 1.898(11) | 1.922(3) | 1.921(5) | |
| C(1)–O(1) | 1.1509(3) | 1.154(4) | 1.146(4) | 1.150(12) | 1.157(6) | 1.158(15) | 1.154(3) | 1.152(5) | 1.061(11) |
| C(2)–O(2) | 1.1349(3) | 1.150(3) | 1.158(4) | 1.159(14) | 1.153(5) | 1.158(14) | 1.150(3) | 1.150(5) | 1.14(1) |
| C(3)–O(3) | 1.1139(2) | 1.147(3) | 1.146(4) | 1.125(11) | 1.171(5) | 1.160(13) | 1.152(4) | 1.154(7) | |
| Bond angles | |||||||||
| N(1)–Re(1)–Cl(1) | 83.21(3) | 83.16(6) | 82.66(7) | 81.59(19) | 81.98(8) | 82.3(2) | 82.05(5) | 82.09(9) | 82.04(19) |
| N(2)–Re(1)–Cl(1) | 83.62(2) | 83.35(6) | 82.26(7) | 84.05(18) | 82.66(9) | 84.6(2) | 85.71(5) | 85.68(8) | 85.29(19) |
| N(3)–Re(1)–Cl(1) | 88.71(19) | ||||||||
| N(1)–Re(1)–N(2) | 75.15(1) | 74.74(7) | 75.02(9) | 74.50(20) | 74.3(1) | 74.2(3) | 74.80(8) | 74.63(11) | 77.3(3) |
| N(1)–Re(1)–N(3) | 76.6(3) | ||||||||
| N(2)–Re(1)–N(3) | 153.8(3) | ||||||||
| C(1)–Re(1)–Cl(1) | 178.046(1) | 178.22(8) | 177.53(11) | 179.9(3) | 175.68(12) | 176.8(3) | 177.89(9) | 177.61(13) | 176.3(2) |
| C(1)–Re(1)–N(1) | 94.64(3) | 96.66(10) | 95.51(12) | 98.3(4) | 99.41(14) | 98.8(4) | 96.37(9) | 95.92(14) | 94.5(3) |
| C(1)–Re(1)–N(2) | 94.45(2) | 94.89(9) | 98.90(11) | 95.9(3) | 93.75(15) | 98.6(4) | 92.53(11) | 92.53(15) | 92.7(3) |
| C(1)–Re(1)–N(3) | 91.8(4) | ||||||||
| C(2)–Re(1)–Cl(1) | 90.78(3) | 90.42(9) | 96.05(9) | 91.7(3) | 89.71(14) | 92.3(4) | 92.70(8) | 92.68(12) | 91.8(2) |
| C(2)–Re(1)–N(1) | 169.974(3) | 169.58(10) | 171.13(11) | 169.2(3) | 168.48(14) | 170.7(4) | 171.26(12) | 171.12(16) | 173.6(3) |
| C(2)–Re(1)–N(2) | 96.26(1) | 96.43(9) | 96.11(11) | 95.5(3) | 96.82(14) | 97.9(4) | 97.92(11) | 97.91(14) | 103.9(3) |
| C(2)–Re(1)–N(3) | 101.8(3) | ||||||||
| C(2)–Re(1)–C(1) | 89.09(3) | 89.50(12) | 86.01(14) | 88.5(4) | 88.33(18) | 87.0(5) | 88.70(11) | 89.12(16) | 91.7(4) |
| C(2)–Re(1)–C(3) | 85.34(2) | 85.68(11) | 86.70(14) | 87.5(4) | 85.87(17) | 86.6(5) | 86.11(13) | 85.75(17) | |
| C(3)–Re(1)–Cl(1) | 90.59(2) | 91.43(9) | 89.22(9) | 92.9(3) | 94.52(14) | 88.1(4) | 91.58(8) | 91.63(12) | |
| C(3)–Re(1)–N(1) | 102.67(1) | 102.62(9) | 102.04(12) | 101.1(4) | 102.64(14) | 100.7(4) | 100.95(10) | 101.50(14) | |
| C(3)–Re(1)–N(2) | 174.003(1) | 174.38(10) | 171.26(10) | 175.0(4) | 176.07(16) | 171.6(4) | 175.23(9) | 175.55(13) | |
| C(3)–Re(1)–C(1) | 91.35(2) | 90.33(11) | 89.53(13) | 87.1(4) | 89.17(18) | 88.7(5) | 90.09(13) | 90.06(18) | |
| Dihedral angle ** | 69.58(3) | 68.95(9) | 63.75(11) | 40.2(4) | 53.27(13) | 52.9(4) | 42.31(9) | 42.26(13) | – |
3. Photophysical Properties of [ReX(CO)3(terpy-κ2N)] and [ReX(CO)2(terpy-κ3N)]
4. Rhenium(I) Tricabonyl Complexes with 4′-Subsituted 2,2′:6′,2″-Terpyridine Derivatives: Substituent Effects
4.1. Phenyl and More π-Conjugated Hydrocarbon Groups

4.2. Methoxy-Decorated Phenyl and Naphthyl Groups

4.3. Heterocyclic or Strong Electron-Releasing Groups Directly Attached to the Terpy Core at 4′-Position

4.4. [ReX(CO)3(R-C6H4-terpy-κ2N)] with Remote Substituents Attached via a Phenylene Bridge to the Central Pyridine Ring of Terpy

5. Substituent Effect in Rhenium(I) Dicarbonyl Complexes with Meridionally-Coordinated 4′-Subsituted 2,2′:6′,2″-Terpyridines: The Impact of the Coordination Mode
6. The Effect of the Ancillary Ligand
7. Insight into the Molecular Structures of [Re(X/L)(CO)3(R-terpy-κ2N)]0/+ and [Re(X/L)(CO)2(R-terpy-κ3N)]0/+ from Electrochemistry
8. Higher Nuclearity Coordination Systems with {Re(CO)3(R-terpy-κ2N)} and {Re(CO)2(R-terpy-κ3N)} Motives
9. Conclusions and Future Directions
Supplementary Materials
Author Contributions
Funding
Institutional Review Board Statement
Informed Consent Statement
Data Availability Statement
Conflicts of Interest
References
- Wrighton, M.; Morse, D.L. Nature of the Lowest Excited State in Tricarbonylchloro-1,10-Phenanthrolinerhenium(I) and Related Complexes. J. Am. Chem. Soc. 1974, 96, 998–1003. [Google Scholar] [CrossRef]
- Stufkens, D.J.; Vlček, A. Ligand-Dependent Excited State Behaviour of Re(I) and Ru(II) Carbonyl–Diimine Complexes. Coord. Chem. Rev. 1998, 177, 127–179. [Google Scholar] [CrossRef]
- Striplin, D.R.; Crosby, G.A. Photophysical Investigations of Rhenium(I)Cl(CO)3(Phenanthroline) Complexes. Coord. Chem. Rev. 2001, 211, 163–175. [Google Scholar] [CrossRef]
- Blanco Rodríguez, A.M.; Gabrielsson, A.; Motevalli, M.; Matousek, P.; Towrie, M.; Šebera, J.; Záliš, S.; Vlček, A. Ligand-to-Diimine/Metal-to-Diimine Charge-Transfer Excited States of [Re(NCS)(CO)3(α-Diimine)] (α-Diimine = 2,2′-Bipyridine, Di-iPr-N,N-1,4-Diazabutadiene). A Spectroscopic and Computational Study. J. Phys. Chem. A 2005, 109, 5016–5025. [Google Scholar] [CrossRef] [PubMed]
- Vlček, A.; Busby, M. Ultrafast Ligand-to-Ligand Electron and Energy Transfer in the Complexes Fac-[ReI(L)(CO)3(Bpy)]n+. Coord. Chem. Rev. 2006, 250, 1755–1762. [Google Scholar] [CrossRef]
- Vlček, A.; Záliš, S. Modeling of Charge-Transfer Transitions and Excited States in D6 Transition Metal Complexes by DFT Techniques. Coord. Chem. Rev. 2007, 251, 258–287. [Google Scholar] [CrossRef]
- Kumar, A.; Sun, S.-S.; Lees, A.J. Photophysics and Photochemistry of Organometallic Rhenium Diimine Complexes. In Photophysics of Organometallics; Lees, A.J., Ed.; Topics in Organometallic Chemistry; Springer: Berlin/Heidelberg, Germany, 2010; pp. 37–71. ISBN 978-3-642-04729-9. [Google Scholar]
- Vlček, A. Ultrafast Excited-State Processes in Re(I) Carbonyl-Diimine Complexes: From Excitation to Photochemistry. In Photophysics of Organometallics; Lees, A.J., Ed.; Topics in Organometallic Chemistry; Springer: Berlin/Heidelberg, Germany, 2010; pp. 115–158. ISBN 978-3-642-04729-9. [Google Scholar]
- Baková, R.; Chergui, M.; Daniel, C.; Vlček, A.; Záliš, S. Relativistic Effects in Spectroscopy and Photophysics of Heavy-Metal Complexes Illustrated by Spin–Orbit Calculations of [Re(Imidazole)(CO)3(Phen)]+. Coord. Chem. Rev. 2011, 255, 975–989. [Google Scholar] [CrossRef]
- Yue, Y.; Grusenmeyer, T.; Ma, Z.; Zhang, P.; Pham, T.T.; Mague, J.T.; Donahue, J.P.; Schmehl, R.H.; Beratan, D.N.; Rubtsov, I.V. Evaluating the Extent of Intramolecular Charge Transfer in the Excited States of Rhenium(I) Donor–Acceptor Complexes with Time-Resolved Vibrational Spectroscopy. J. Phys. Chem. B 2013, 117, 15903–15916. [Google Scholar] [CrossRef] [PubMed]
- Hostachy, S.; Policar, C.; Delsuc, N. Re(I) Carbonyl Complexes: Multimodal Platforms for Inorganic Chemical Biology. Coord. Chem. Rev. 2017, 351, 172–188. [Google Scholar] [CrossRef]
- Dilworth, J.R. Rhenium Chemistry—Then and Now. Coord. Chem. Rev. 2021, 436, 213822. [Google Scholar] [CrossRef]
- Bauer, E.B.; Haase, A.A.; Reich, R.M.; Crans, D.C.; Kühn, F.E. Organometallic and Coordination Rhenium Compounds and Their Potential in Cancer Therapy. Coord. Chem. Rev. 2019, 393, 79–117. [Google Scholar] [CrossRef]
- Grice, K.A.; Kubiak, C.P. Recent Studies of Rhenium and Manganese Bipyridine Carbonyl Catalysts for the Electrochemical Reduction of CO2. In Advances in Inorganic Chemistry; Aresta, M., van Eldik, R., Eds.; CO Chemistry; Academic Press: Cambridge, MA, USA, 2014; Volume 66, pp. 163–188. [Google Scholar]
- Elgrishi, N.; Chambers, M.B.; Wang, X.; Fontecave, M. Molecular Polypyridine-Based Metal Complexes as Catalysts for the Reduction of CO2. Chem. Soc. Rev. 2017, 46, 761–796. [Google Scholar] [CrossRef] [PubMed]
- Kuramochi, Y.; Ishitani, O.; Ishida, H. Reaction Mechanisms of Catalytic Photochemical CO2 Reduction Using Re(I) and Ru(II) Complexes. Coord. Chem. Rev. 2018, 373, 333–356. [Google Scholar] [CrossRef]
- Lang, P.; Giereth, R.; Tschierlei, S.; Schwalbe, M. Unexpected Wavelength Dependency of the Photocatalytic CO2 Reduction Performance of the Well-Known (Bpy)Re(CO)3Cl Complex. Chem. Commun. 2019, 55, 600–603. [Google Scholar] [CrossRef]
- Rotundo, L.; Grills, D.C.; Gobetto, R.; Priola, E.; Nervi, C.; Polyansky, D.E.; Fujita, E. Photochemical CO2 Reduction Using Rhenium(I) Tricarbonyl Complexes with Bipyridyl-Type Ligands with and without Second Coordination Sphere Effects. ChemPhotoChem 2021, 5, 526–537. [Google Scholar] [CrossRef]
- Nandal, N.; Jain, S.L. A Review on Progress and Perspective of Molecular Catalysis in Photoelectrochemical Reduction of CO2. Coord. Chem. Rev. 2022, 451, 214271. [Google Scholar] [CrossRef]
- Probst, B.; Guttentag, M.; Rodenberg, A.; Hamm, P.; Alberto, R. Photocatalytic H2 Production from Water with Rhenium and Cobalt Complexes. Inorg. Chem. 2011, 50, 3404–3412. [Google Scholar] [CrossRef]
- Guttentag, M.; Rodenberg, A.; Kopelent, R.; Probst, B.; Buchwalder, C.; Brandstätter, M.; Hamm, P.; Alberto, R. Photocatalytic H2 Production with a Rhenium/Cobalt System in Water under Acidic Conditions. Eur. J. Inorg. Chem. 2012, 2012, 59–64. [Google Scholar] [CrossRef]
- Zarkadoulas, A.; Koutsouri, E.; Kefalidi, C.; Mitsopoulou, C.A. Rhenium Complexes in Homogeneous Hydrogen Evolution. Coord. Chem. Rev. 2015, 304–305, 55–72. [Google Scholar] [CrossRef]
- Kefalidi, C.; Koutsouri, E.; Marchiò, L.; Zarkadoulas, A.; Efstathiadou, S.; Mitsopoulou, C.A. Synthesis, Characterization and Crystal Structure of Rhenium(I) Tricarbonyl Diimine Complexes Coupled with Their Efficiency in Producing Hydrogen in a Photocatalytic System. Polyhedron 2016, 110, 157–164. [Google Scholar] [CrossRef]
- Zhao, G.-W.; Zhao, J.-H.; Hu, Y.-X.; Zhang, D.-Y.; Li, X. Recent Advances of Neutral Rhenium(I) Tricarbonyl Complexes for Application in Organic Light-Emitting Diodes. Synth. Met. 2016, 212, 131–141. [Google Scholar] [CrossRef]
- Hu, Y.-X.; Zhao, G.-W.; Dong, Y.; Lü, Y.-L.; Li, X.; Zhang, D.-Y. New Rhenium(I) Complex with Thiadiazole-Annelated 1,10-Phenanthroline for Highly Efficient Phosphorescent OLEDs. Dyes Pigments 2017, 137, 569–575. [Google Scholar] [CrossRef]
- Li, X.; Zhao, G.-W.; Hu, Y.-X.; Zhao, J.-H.; Dong, Y.; Zhou, L.; Lv, Y.-L.; Chi, H.-J.; Su, Z. Rational Design and Characterization of Novel Phosphorescent Rhenium(I) Complexes for Extremely High-Efficiency Organic Light-Emitting Diodes. J. Mater. Chem. C 2017, 5, 7629–7636. [Google Scholar] [CrossRef]
- Gonçalves, M.R.; Benvenho, A.R.V.; Frin, K.P.M. Electrical and Optical Properties of Organic Light-Emitting Diodes with Rhenium(I) Complexes Using DC and AC Methods. Opt. Mater. 2019, 94, 206–212. [Google Scholar] [CrossRef]
- Baggaley, E.; Weinstein, J.A.; Williams, J.A.G. Lighting the Way to See inside the Live Cell with Luminescent Transition Metal Complexes. Coord. Chem. Rev. 2012, 256, 1762–1785. [Google Scholar] [CrossRef]
- Gong, J.; Zhang, X. Coordination-Based Circularly Polarized Luminescence Emitters: Design Strategy and Application in Sensing. Coord. Chem. Rev. 2022, 453, 214329. [Google Scholar] [CrossRef]
- Pete, S.; Roy, N.; Kar, B.; Paira, P. Construction of Homo and Heteronuclear Ru(II), Ir(III) and Re(I) Complexes for Target Specific Cancer Therapy. Coord. Chem. Rev. 2022, 460, 214462. [Google Scholar] [CrossRef]
- Yang, J.; Zhao, J.-X.; Cao, Q.; Hao, L.; Zhou, D.; Gan, Z.; Ji, L.-N.; Mao, Z.-W. Simultaneously Inducing and Tracking Cancer Cell Metabolism Repression by Mitochondria-Immobilized Rhenium(I) Complex. ACS Appl. Mater. Interfaces 2017, 9, 13900–13912. [Google Scholar] [CrossRef] [PubMed]
- Juris, A.; Campagna, S.; Bidd, I.; Lehn, J.M.; Ziessel, R. Synthesis and Photophysical and Electrochemical Properties of New Halotricarbonyl(Polypyridine)Rhenium(I) Complexes. Inorg. Chem. 1988, 27, 4007–4011. [Google Scholar] [CrossRef]
- Anderson, P.A.; Keene, F.R.; Horn, E.; Tiekink, E.R.T. Ambidentate Coordination of the Tripyridyl Ligands 2,2′:6′,2″-Terpyridyl, Tris(2-Pyridyl)-Amine, Tris(2-Pyridyl)Methane and Tris(2-Pyridyl)Phosphine to Carbonylrhenium Centres: Structural and Spectroscopic Studies. Appl. Organomet. Chem. 1990, 4, 523–533. [Google Scholar] [CrossRef]
- Civitello, E.R.; Dragovich, P.S.; Karpishin, T.B.; Novick, S.G.; Bierach, G.; O’Connell, J.F.; Westmoreland, T.D. Spectroscopic and Crystallographic Characterization of Tricarbonylchloro(.Sigma.2-Terpyridyl)Rhenium. 2D-NMR Evidence for a Linkage Isomerization Reaction. Inorg. Chem. 1993, 32, 237–241. [Google Scholar] [CrossRef]
- Abel, E.W.; Dimitrov, V.S.; Long, N.J.; Orrell, K.G.; Osborne, A.G.; Pain, H.M.; Šik, V.; Hursthouse, M.B.; Mazid, M.A. 2,2′:6′,2″-Terpyridine (Terpy) Acting as a Fluxional Bidentate Ligand. Part 2. Rhenium Carbonyl Halide Complexes, Fac-[ReX(CO)3(Terpy)](X = Cl, Br or I): NMR Studies of Their Solution Dynamics, Synthesis of Cis-[ReBr(CO)2(Terpy)] and the Crystal Structure of [ReBr(CO)3(Terpy)]. J. Chem. Soc. Dalton Trans. 1993, 4, 597–603. [Google Scholar] [CrossRef]
- Frenzel, B.A.; Schumaker, J.E.; Black, D.R.; Hightower, S.E. Synthesis, Spectroscopic, Electrochemical and Computational Studies of Rhenium(I) Dicarbonyl Complexes Based on Meridionally-Coordinated 2,2′:6′,2″-Terpyridine. Dalton Trans. 2013, 42, 12440–12451. [Google Scholar] [CrossRef] [PubMed]
- Laramée-Milette, B.; Lachance-Brais, C.; Hanan, G.S. Synthesis of Discrete Re(I) Di- and Tricarbonyl Assemblies Using a [4 × 1] Directional Bonding Strategy. Dalton Trans. 2014, 44, 41–45. [Google Scholar] [CrossRef]
- Bulsink, P.; Al-Ghamdi, A.; Joshi, P.; Korobkov, I.; Woo, T.; Richeson, D. Capturing Re(I) in an Neutral N,N,N Pincer Scaffold and Resulting Enhanced Absorption of Visible Light. Dalton Trans. 2016, 45, 8885–8896. [Google Scholar] [CrossRef] [PubMed]
- Amoroso, A.J.; Banu, A.; Coogan, M.P.; Edwards, P.G.; Hossain, G.; Malik, K.M.A. Functionalisation of Terpyridine Complexes Containing the Re(CO)3+ Moiety. Dalton Trans. 2010, 39, 6993–7003. [Google Scholar] [CrossRef] [PubMed]
- Alvarez, S. Distortion Pathways of Transition Metal Coordination Polyhedra Induced by Chelating Topology. Chem. Rev. 2015, 115, 13447–13483. [Google Scholar] [CrossRef]
- Gelling, A.; Orrell, K.G.; Osborne, A.G.; Šik, V. The Energetics and Mechanism of Fluxionality of 2,2′:6′,2″-Terpyridine Derivatives When Acting as Bidentate Ligands in Transition-Metal Complexes. A Detailed Dynamic NMR Study. J. Chem. Soc. Dalton Trans. 1998, 6, 937–946. [Google Scholar] [CrossRef]
- Gelling, A.; Olsen, M.D.; Orrell, K.G.; Osborne, A.G.; Šik, V. Synthesis and Dynamic NMR Studies of Fluxionality in Rhenium(I), Platinum(II) and Platinum(IV) Complexes of ‘Back-to-Back’ 2,2′∶6′,2″-Terpyridine Ligands. J. Chem. Soc. Dalton Trans. 1998, 20, 3479–3488. [Google Scholar] [CrossRef]
- Abel, E.W.; Gelling, A.; Orrell, K.G.; Osborne, A.G.; Šik, V. The Mechanism of 1,4-Metallotropic Shifts in Transition-Metal Complexes of Bidentate 2,2′: 6′,2″-Terpyridine Ligands. Chem. Commun. 1996, 20, 2329–2330. [Google Scholar] [CrossRef]
- Abel, E.W.; Long, N.J.; Orrell, K.G.; Osborne, A.G.; Pain, H.M.; Šik, V. The First Examples of 2,2′:6′,2″-Terpyridine as a Fluxional Bidentate Ligand. J. Chem. Soc. Chem. Commun. 1992, 4, 303–304. [Google Scholar] [CrossRef]
- Groom, C.R.; Bruno, I.J.; Lightfoot, M.P.; Ward, S.C. The Cambridge Structural Database. Acta Crystallogr. Sect. B Struct. Sci. Cryst. Eng. Mater. 2016, 72, 171–179. [Google Scholar] [CrossRef]
- Maroń, A.M.; Szlapa-Kula, A.; Matussek, M.; Kruszynski, R.; Siwy, M.; Janeczek, H.; Grzelak, J.; Maćkowski, S.; Schab-Balcerzak, E.; Machura, B. Photoluminescence Enhancement of Re(I) Carbonyl Complexes Bearing D–A and D–π–A Ligands. Dalton Trans. 2020, 49, 4441–4453. [Google Scholar] [CrossRef] [PubMed]
- Auvray, T.; Del Secco, B.; Dubreuil, A.; Zaccheroni, N.; Hanan, G.S. In-Depth Study of the Electronic Properties of NIR-Emissive κ3N Terpyridine Rhenium(I) Dicarbonyl Complexes. Inorg. Chem. 2021, 60, 70–79. [Google Scholar] [CrossRef] [PubMed]
- Saha, S.; Doughty, T.; Banerjee, D.; Patel, S.K.; Mallick, D.; Iyer, E.S.S.; Roy, S.; Mitra, R. Electrocatalytic Reduction of CO2 to CO by a Series of Organometallic Re(I)-Tpy Complexes. Dalton Trans. 2023, 52, 15394–15411. [Google Scholar] [CrossRef]
- Wang, D.; Xu, Q.-L.; Zhang, S.; Li, H.-Y.; Wang, C.-C.; Li, T.-Y.; Jing, Y.-M.; Huang, W.; Zheng, Y.-X.; Accorsi, G. Synthesis and Photoluminescence Properties of Rhenium(I) Complexes Based on 2,2′:6′,2″-Terpyridine Derivatives with Hole-Transporting Units. Dalton Trans. 2013, 42, 2716–2723. [Google Scholar] [CrossRef]
- Choroba, K.; Kotowicz, S.; Maroń, A.; Świtlicka, A.; Szłapa-Kula, A.; Siwy, M.; Grzelak, J.; Sulowska, K.; Maćkowski, S.; Schab-Balcerzak, E.; et al. Ground- and Excited-State Properties of Re(I) Carbonyl Complexes–Effect of Triimine Ligand Core and Appended Heteroaromatic Groups. Dyes Pigments 2021, 192, 109472. [Google Scholar] [CrossRef]
- Lees, A.J. Luminescence Properties of Organometallic Complexes. Chem. Rev. 1987, 87, 711–743. [Google Scholar] [CrossRef]
- Lees, A.J. The Luminescence Rigidochromic Effect Exhibited by Organometallic Complexes: Rationale and Applications. Comments Inorg. Chem. 1995, 17, 319–346. [Google Scholar] [CrossRef]
- El Nahhas, A.; Cannizzo, A.; van Mourik, F.; Blanco-Rodríguez, A.M.; Záliš, S.; Vlček, A., Jr.; Chergui, M. Ultrafast Excited-State Dynamics of [Re(L)(CO)3(Bpy)] n Complexes: Involvement of the Solvent. J. Phys. Chem. A 2010, 114, 6361–6369. [Google Scholar] [CrossRef]
- Cannizzo, A.; Blanco-Rodríguez, A.M.; El Nahhas, A.; Šebera, J.; Záliš, S.; Vlček, A., Jr.; Chergui, M. Femtosecond Fluorescence and Intersystem Crossing in Rhenium(I) Carbonyl−Bipyridine Complexes. J. Am. Chem. Soc. 2008, 130, 8967–8974. [Google Scholar] [CrossRef] [PubMed]
- Black, D.R.; Hightower, S.E. Preparation and Characterization of Rhenium(I) Dicarbonyl Complexes Based on the Meridionally-Coordinated Terpyridine Ligand. Inorg. Chem. Commun. 2012, 24, 16–19. [Google Scholar] [CrossRef]
- Cave, G.W.V.; Raston, C.L. Efficient Synthesis of Pyridines via a Sequential Solventless Aldol Condensation and Michael Addition. J. Chem. Soc. Perkin 1 2001, 24, 3258–3264. [Google Scholar] [CrossRef]
- Tu, S.; Jia, R.; Jiang, B.; Zhang, J.; Zhang, Y.; Yao, C.; Ji, S. Kröhnke Reaction in Aqueous Media: One-Pot Clean Synthesis of 4′-Aryl-2,2′:6′,2″-Terpyridines. Tetrahedron 2007, 63, 381–388. [Google Scholar] [CrossRef]
- Taniya, O.S.; Kopchuk, D.S.; Khasanov, A.F.; S.Kovalev, I.; Santra, S.; Zyryanov, G.V.; Majee, A.; Charushin, V.N.; Chupakhin, O.N. Synthetic Approaches and Supramolecular Properties of 2,2′:N′,M″-Terpyridine Domains (N = 3,4,5,6; M = 2,3,4) Based on the 2,2′-Bipyridine Core as Ligands with k2N-Bidentate Coordination Mode. Coord. Chem. Rev. 2021, 442, 213980. [Google Scholar] [CrossRef]
- Choroba, K.; Maroń, A.; Świtlicka, A.; Szłapa-Kula, A.; Siwy, M.; Grzelak, J.; Maćkowski, S.; Pedzinski, T.; Schab-Balcerzak, E.; Machura, B. Carbazole Effect on Ground- and Excited-State Properties of Rhenium(I) Carbonyl Complexes with Extended Terpy-like Ligands. Dalton Trans. 2021, 50, 3943–3958. [Google Scholar] [CrossRef] [PubMed]
- Klemens, T.; Świtlicka, A.; Szlapa-Kula, A.; Krompiec, S.; Lodowski, P.; Chrobok, A.; Godlewska, M.; Kotowicz, S.; Siwy, M.; Bednarczyk, K.; et al. Experimental and Computational Exploration of Photophysical and Electroluminescent Properties of Modified 2,2′:6′,2″-Terpyridine, 2,6-Di(Thiazol-2-Yl)Pyridine and 2,6-Di(Pyrazin-2-Yl)Pyridine Ligands and Their Re(I) Complexes. Appl. Organomet. Chem. 2018, 32, e4611. [Google Scholar] [CrossRef]
- Szlapa-Kula, A.; Małecka, M.; Maroń, A.M.; Janeczek, H.; Siwy, M.; Schab-Balcerzak, E.; Szalkowski, M.; Maćkowski, S.; Pedzinski, T.; Erfurt, K.; et al. In-Depth Studies of Ground- and Excited-State Properties of Re(I) Carbonyl Complexes Bearing 2,2′:6′,2″-Terpyridine and 2,6-Bis(Pyrazin-2-Yl)Pyridine Coupled with π-Conjugated Aryl Chromophores. Inorg. Chem. 2021, 60, 18726–18738. [Google Scholar] [CrossRef]
- Małecka, M.; Szlapa-Kula, A.; Maroń, A.M.; Ledwon, P.; Siwy, M.; Schab-Balcerzak, E.; Sulowska, K.; Maćkowski, S.; Erfurt, K.; Machura, B. Impact of the Anthryl Linking Mode on the Photophysics and Excited-State Dynamics of Re(I) Complexes [ReCl(CO)3(4′-An-Terpy-κ2N)]. Inorg. Chem. 2022, 61, 15070–15084. [Google Scholar] [CrossRef]
- Fernández-Terán, R.; Sévery, L. Living Long and Prosperous: Productive Intraligand Charge-Transfer States from a Rhenium(I) Terpyridine Photosensitizer with Enhanced Light Absorption. Inorg. Chem. 2021, 60, 1334–1343. [Google Scholar] [CrossRef]
- Fernández-Terán, R.J.; Sucre-Rosales, E.; Echevarria, L.; Hernández, F.E. Dissecting Conjugation and Electronic Effects on the Linear and Non-Linear Optical Properties of Rhenium(I) Carbonyl Complexes. Phys. Chem. Chem. Phys. 2022, 24, 28069–28079. [Google Scholar] [CrossRef] [PubMed]
- Ford, W.E.; Rodgers, M.A.J. Reversible Triplet-Triplet Energy Transfer within a Covalently Linked Bichromophoric Molecule. J. Phys. Chem. 1992, 96, 2917–2920. [Google Scholar] [CrossRef]
- Medlycott, E.A.; Hanan, G.S. Designing Tridentate Ligands for Ruthenium(II) Complexes with Prolonged Room Temperature Luminescence Lifetimes. Chem. Soc. Rev. 2005, 34, 133–142. [Google Scholar] [CrossRef] [PubMed]
- Yarnell, J.E.; Deaton, J.C.; McCusker, C.E.; Castellano, F.N. Bidirectional “Ping-Pong” Energy Transfer and 3000-Fold Lifetime Enhancement in a Re(I) Charge Transfer Complex. Inorg. Chem. 2011, 50, 7820–7830. [Google Scholar] [CrossRef]
- Cui, X.; Zhao, J.; Mohmood, Z.; Zhang, C. Accessing the Long-Lived Triplet Excited States in Transition-Metal Complexes: Molecular Design Rationales and Applications. Chem. Rec. 2016, 16, 173–188. [Google Scholar] [CrossRef] [PubMed]
- Zhang, X.; Hou, Y.; Xiao, X.; Chen, X.; Hu, M.; Geng, X.; Wang, Z.; Zhao, J. Recent Development of the Transition Metal Complexes Showing Strong Absorption of Visible Light and Long-Lived Triplet Excited State: From Molecular Structure Design to Photophysical Properties and Applications. Coord. Chem. Rev. 2020, 417, 213371. [Google Scholar] [CrossRef]
- Wells, K.A.; Yarnell, J.E.; Palmer, J.R.; Lee, T.S.; Papa, C.M.; Castellano, F.N. Energy Migration Processes in Re(I) MLCT Complexes Featuring a Chromophoric Ancillary Ligand. Inorg. Chem. 2020, 59, 8259–8271. [Google Scholar] [CrossRef]
- Zhang, K.Y.; Yu, Q.; Wei, H.; Liu, S.; Zhao, Q.; Huang, W. Long-Lived Emissive Probes for Time-Resolved Photoluminescence Bioimaging and Biosensing. Chem. Rev. 2018, 118, 1770–1839. [Google Scholar] [CrossRef] [PubMed]
- Monro, S.; Colón, K.L.; Yin, H.; Roque, J.I.; Konda, P.; Gujar, S.; Thummel, R.P.; Lilge, L.; Cameron, C.G.; McFarland, S.A. Transition Metal Complexes and Photodynamic Therapy from a Tumor-Centered Approach: Challenges, Opportunities, and Highlights from the Development of TLD1433. Chem. Rev. 2019, 119, 797–828. [Google Scholar] [CrossRef]
- McKenzie, L.K.; Bryant, H.E.; Weinstein, J.A. Transition Metal Complexes as Photosensitisers in One- and Two-Photon Photodynamic Therapy. Coord. Chem. Rev. 2019, 379, 2–29. [Google Scholar] [CrossRef]
- Glaser, F.; Wenger, O.S. Recent Progress in the Development of Transition-Metal Based Photoredox Catalysts. Coord. Chem. Rev. 2020, 405, 213129. [Google Scholar] [CrossRef]
- Pham, T.C.; Nguyen, V.-N.; Choi, Y.; Lee, S.; Yoon, J. Recent Strategies to Develop Innovative Photosensitizers for Enhanced Photodynamic Therapy. Chem. Rev. 2021, 121, 13454–13619. [Google Scholar] [CrossRef] [PubMed]
- Ankathatti Munegowda, M.; Manalac, A.; Weersink, M.; McFarland, S.A.; Lilge, L. Ru(II) Containing Photosensitizers for Photodynamic Therapy: A Critique on Reporting and an Attempt to Compare Efficacy. Coord. Chem. Rev. 2022, 470, 214712. [Google Scholar] [CrossRef] [PubMed]
- Kar, B.; Das, U.; Roy, N.; Paira, P. Recent Advances on Organelle Specific Ru(II)/Ir(III)/Re(I) Based Complexes for Photodynamic Therapy. Coord. Chem. Rev. 2023, 474, 214860. [Google Scholar] [CrossRef]
- Klemens, T.; Świtlicka, A.; Machura, B.; Kula, S.; Krompiec, S.; Łaba, K.; Korzec, M.; Siwy, M.; Janeczek, H.; Schab-Balcerzak, E.; et al. A Family of Solution Processable Ligands and Their Re(I) Complexes towards Light Emitting Applications. Dyes Pigments 2019, 163, 86–101. [Google Scholar] [CrossRef]
- Małecka, M.; Machura, B.; Świtlicka, A.; Kotowicz, S.; Szafraniec-Gorol, G.; Siwy, M.; Szalkowski, M.; Maćkowski, S.; Schab-Balcerzak, E. Towards Better Understanding of Photophysical Properties of Rhenium(I) Tricarbonyl Complexes with Terpy-like Ligands. Spectrochim. Acta. A Mol. Biomol. Spectrosc. 2020, 231, 118124. [Google Scholar] [CrossRef] [PubMed]
- Fernández-Terán, R.J.; Sévery, L. Coordination Environment Prevents Access to Intraligand Charge-Transfer States through Remote Substitution in Rhenium(I) Terpyridinedicarbonyl Complexes. Inorg. Chem. 2021, 60, 1325–1333. [Google Scholar] [CrossRef] [PubMed]
- Wu, F.; Liu, J.; Wang, G.; Song, Q.; Zhu, L. M-Methoxy Substituents in a Tetraphenylethylene-Based Hole-Transport Material for Efficient Perovskite Solar Cells. Chem.-Eur. J. 2016, 22, 16636–16641. [Google Scholar] [CrossRef] [PubMed]
- Klemens, T.; Świtlicka-Olszewska, A.; Machura, B.; Grucela, M.; Janeczek, H.; Schab-Balcerzak, E.; Szlapa, A.; Kula, S.; Krompiec, S.; Smolarek, K.; et al. Synthesis, Photophysical Properties and Application in Organic Light Emitting Devices of Rhenium(I) Carbonyls Incorporating Functionalized 2,2′:6′,2″-Terpyridines. RSC Adv. 2016, 6, 56335–56352. [Google Scholar] [CrossRef]
- To, W.-P.; Wan, Q.; Tong, G.S.M.; Che, C.-M. Recent Advances in Metal Triplet Emitters with D6, D8, and D10 Electronic Configurations. Trends Chem. 2020, 2, 796–812. [Google Scholar] [CrossRef]
- Klemens, T.; Świtlicka-Olszewska, A.; Machura, B.; Grucela, M.; Schab-Balcerzak, E.; Smolarek, K.; Mackowski, S.; Szlapa, A.; Kula, S.; Krompiec, S.; et al. Rhenium(I) Terpyridine Complexes–Synthesis, Photophysical Properties and Application in Organic Light Emitting Devices. Dalton Trans. 2016, 45, 1746–1762. [Google Scholar] [CrossRef] [PubMed]
- Klemens, T.; Świtlicka, A.; Kula, S.; Siwy, M.; Łaba, K.; Grzelak, J.; Szalkowski, M.; Maćkowski, S.; Schab-Balcerzak, E.; Machura, B. The Effect of 2-, 3- and 4-Pyridyl Substituents on Photophysics of Fac-[ReCl(CO)3(n-Pytpy-κ2N)] Complexes: Experimental and Theoretical Insights. J. Lumin. 2019, 209, 346–356. [Google Scholar] [CrossRef]
- Velmurugan, G.; Venuvanalingam, P. Luminescent Re(I) Terpyridine Complexes for OLEDs: What Does the DFT/TD-DFT Probe Reveal? Dalton Trans. 2015, 44, 8529–8542. [Google Scholar] [CrossRef]
- Klemens, T.; Świtlicka, A.; Szlapa-Kula, A.; Łapok, Ł.; Obłoza, M.; Siwy, M.; Szalkowski, M.; Maćkowski, S.; Libera, M.; Schab-Balcerzak, E.; et al. Tuning Optical Properties of Re(I) Carbonyl Complexes by Modifying Push–Pull Ligands Structure. Organometallics 2019, 38, 4206–4223. [Google Scholar] [CrossRef]
- Palion-Gazda, J.; Szłapa-Kula, A.; Penkala, M.; Erfurt, K.; Machura, B. Photoinduced Processes in Rhenium(I) Terpyridine Complexes Bearing Remote Amine Groups: New Insights from Transient Absorption Spectroscopy. Molecules 2022, 27, 7147. [Google Scholar] [CrossRef] [PubMed]
- Li, Y.; Lu, N.; Lin, Q.; Wang, H.; Liang, Z.; Lu, Y.; Zhang, P. Sono-ReCORMs for Synergetic Sonodynamic-Gas Therapy of Hypoxic Tumor. Chin. Chem. Lett. 2023, 34, 107653. [Google Scholar] [CrossRef]
- Metcalfe, C.; Spey, S.; Adams, H.; Thomas, J.A. Extended Terpyridyl and Triazine Complexes of D6-Metal Centres. J. Chem. Soc. Dalton Trans. 2002, 24, 4732–4739. [Google Scholar] [CrossRef]
- Laramée-Milette, B.; Zaccheroni, N.; Palomba, F.; Hanan, G.S. Visible and Near-IR Emissions from k2N- and k3N-Terpyridine Rhenium(I) Assemblies Obtained by an [N × 1] Head-to-Tail Bonding Strategy. Chem.-Eur. J. 2017, 23, 6370–6379. [Google Scholar] [CrossRef]
- Mansour, A.M.; Radacki, K. Terpyridine Based ReX(CO)3 Compounds (X = Br–, N3– and Triazolate): Spectroscopic and DFT Studies. Polyhedron 2021, 194, 114954. [Google Scholar] [CrossRef]
- Mansour, A.M.; Radacki, K.; Shehab, O.R. Role of the Ancillary Ligand in Controlling the Lysozyme Affinity and Electronic Properties of Terpyridine Fac-Re(CO)3 Complexes. Dalton Trans. 2021, 50, 1197–1201. [Google Scholar] [CrossRef]
- Fairlamb, I.J.S.; Lynam, J.M. Organometallic Chemistry: Volume 38; Royal Society of Chemistry: Cambridge, UK, 2012; ISBN 978-1-84973-486-8. [Google Scholar]
- Shaikh, S.; Wang, Y.; ur Rehman, F.; Jiang, H.; Wang, X. Phosphorescent Ir (III) Complexes as Cellular Staining Agents for Biomedical Molecular Imaging. Coord. Chem. Rev. 2020, 416, 213344. [Google Scholar] [CrossRef]
- Lo, K.K.-W. Molecular Design of Bioorthogonal Probes and Imaging Reagents Derived from Photofunctional Transition Metal Complexes. Acc. Chem. Res. 2020, 53, 32–44. [Google Scholar] [CrossRef] [PubMed]
- Kanagasundaram, T.; Kramer, C.S.; Boros, E.; Kopka, K. Rhenium and Technetium-Complexed Silicon Rhodamines as near-Infrared Imaging Probes for Bimodal SPECT- and Optical Imaging. Dalton Trans. 2020, 49, 7294–7298. [Google Scholar] [CrossRef] [PubMed]
- Zhang, Y.; Qiao, J. Near-Infrared Emitting Iridium Complexes: Molecular Design, Photophysical Properties, and Related Applications. iScience 2021, 24, 102858. [Google Scholar] [CrossRef]
- Chelushkin, P.S.; Shakirova, J.R.; Kritchenkov, I.S.; Baigildin, V.A.; Tunik, S.P. Phosphorescent NIR Emitters for Biomedicine: Applications, Advances and Challenges. Dalton Trans. 2022, 51, 1257–1280. [Google Scholar] [CrossRef] [PubMed]
- Li, C.; Pang, Y.; Xu, Y.; Lu, M.; Tu, L.; Li, Q.; Sharma, A.; Guo, Z.; Li, X.; Sun, Y. Near-Infrared Metal Agents Assisting Precision Medicine: From Strategic Design to Bioimaging and Therapeutic Applications. Chem. Soc. Rev. 2023, 52, 4392–4442. [Google Scholar] [CrossRef] [PubMed]
- Bujak, P.; Kulszewicz-Bajer, I.; Zagorska, M.; Maurel, V.; Wielgus, I.; Pron, A. Polymers for Electronics and Spintronics. Chem. Soc. Rev. 2013, 42, 8895–8999. [Google Scholar] [CrossRef] [PubMed]
- Cardona, C.M.; Li, W.; Kaifer, A.E.; Stockdale, D.; Bazan, G.C. Electrochemical Considerations for Determining Absolute Frontier Orbital Energy Levels of Conjugated Polymers for Solar Cell Applications. Adv. Mater. 2011, 23, 2367–2371. [Google Scholar] [CrossRef] [PubMed]
- Ismail, M.B.; Booysen, I.N.; Hosten, E.; Akerman, M.P. Synthesis, Characterization and DNA Interaction Studies of Tricarbonyl Rhenium(I) Compounds Containing Terpyridine Schiff Base Chelates. J. Organomet. Chem. 2017, 833, 1–9. [Google Scholar] [CrossRef]
- Ge, Q.; Corkery, T.C.; Humphrey, M.G.; Samoc, M.; Hor, T.S.A. Organobimetallic RuII–ReI4-Ethynylpyridyl Complexes: Structures and Non-Linear Optical Properties. Dalton Trans. 2009, 31, 6192–6200. [Google Scholar] [CrossRef]
- Zheng, Z.-B.; Wu, Y.-Q.; Wang, K.-Z.; Li, F. pH Luminescence Switching, Dihydrogen Phosphate Sensing, and Cellular Uptake of a Heterobimetallic Ruthenium(II)–Rhenium(I) Complex. Dalton Trans. 2014, 43, 3273–3284. [Google Scholar] [CrossRef] [PubMed]
- Suzuki, M.; Uehara, T.; Arano, Y.; Hoshino, T.; Neya, S. Fabrications of Potential Imaging Probes Based on a β-Alkyl Substituted Porphyrin with a Terpyridine External Coordination Site. Tetrahedron Lett. 2011, 52, 7164–7167. [Google Scholar] [CrossRef]
- Lang, P.; Pfrunder, M.; Quach, G.; Braun-Cula, B.; Moore, E.G.; Schwalbe, M. Sensitized Photochemical CO2 Reduction by Hetero-Pacman Compounds Linking a ReI Tricarbonyl with a Porphyrin Unit. Chem.-Eur. J. 2019, 25, 4509–4519. [Google Scholar] [CrossRef]
- Coogan, M.P.; Fernández-Moreira, V.; Kariuki, B.M.; Pope, S.J.A.; Thorp-Greenwood, F.L. A Rhenium Tricarbonyl 4′-Oxo-Terpy Trimer as a Luminescent Molecular Vessel with a Removable Silver Stopper. Angew. Chem. Int. Ed. 2009, 48, 4965–4968. [Google Scholar] [CrossRef] [PubMed]
- Thorp-Greenwood, F.L.; Pritchard, V.E.; Coogan, M.P.; Hardie, M.J. Tris(Rhenium Fac-Tricarbonyl) Polypyridine Functionalized Cyclotriguaiacylene Ligands with Rich and Varied Emission. Organometallics 2016, 35, 1632–1642. [Google Scholar] [CrossRef]
- Thorp-Greenwood, F.L.; Fernández-Moreira, V.; Millet, C.O.; Williams, C.F.; Cable, J.; Court, J.B.; Hayes, A.J.; Lloyd, D.; Coogan, M.P. A ‘Sleeping Trojan Horse’ Which Transports Metal Ions into Cells, Localises in Nucleoli, and Has Potential for Bimodal Fluorescence/PET Imaging. Chem. Commun. 2011, 47, 3096–3098. [Google Scholar] [CrossRef]











| X | Medium | λabs (nm) | λexc | λem | τav | φPL [%] | Ref. |
|---|---|---|---|---|---|---|---|
| Cl | 77 K DMF–CH2Cl2 (9:1 v/v) | – | – | 530 | 3.4 μs | – | [32] |
| DMSO | 320–400, 290–320 | – | – | – | – | [38] | |
| MeCN | 320–400, 250–300 | 360 | 506 | – | – | [39] | |
| CH2Cl2 | 378, 295, 220 | 442 | 509 | 2.02 μs | 0.3 | [49] | |
| Solid | – | 365 | 562 | 1.95 μs | – | ||
| CHCl3 | – | 393 | 638 | 4.59 ns | 0.42 | [46] | |
| MeCN | 375, 323, 306 | 380 | 656 | 3.59 ns | <0.01 | ||
| Solid | – | 491 | 582 | 0.6 μs | – | ||
| Br | MeCN | 367, 310, 247 | – | 640 | 4.41 ns | 0.03 | [47] |
| DMF | 375, 309 | – | – | – | – | [48] | |
| MeCN | 372, 310, 247 | – | – | – | – |
| X | Medium | λabs (nm) (ε (10−4/dm3mol−1cm−1)) | λexc | λem | Ref. |
|---|---|---|---|---|---|
| Cl | MeCN | 689 (0.13), 567 (0.14), 466 (0.36), 398 (0.40), 321 (0.26), 280 (3.39), 271 (3.40), 239 (2.91) | – | – | [36] |
| EtOH–MeOH 77 K | – | 385 | 520 | ||
| MeCN | 671 (0.14), 460 (0.38), 397 (0.40), 320 (2.66), 280 (4.75) | – | – | [55] | |
| Br | MeCN | 690 (0.11), 547 (0.12), 446 (0.33), 395 (0.33), 330 (2.10), 323 (2.20), 278 (1.65), 241 (2.74), 214 (4.27) | – | – | [47] |
Disclaimer/Publisher’s Note: The statements, opinions and data contained in all publications are solely those of the individual author(s) and contributor(s) and not of MDPI and/or the editor(s). MDPI and/or the editor(s) disclaim responsibility for any injury to people or property resulting from any ideas, methods, instructions or products referred to in the content. |
© 2024 by the authors. Licensee MDPI, Basel, Switzerland. This article is an open access article distributed under the terms and conditions of the Creative Commons Attribution (CC BY) license (https://creativecommons.org/licenses/by/4.0/).
Share and Cite
Palion-Gazda, J.; Choroba, K.; Maroń, A.M.; Malicka, E.; Machura, B. Structural and Photophysical Trends in Rhenium(I) Carbonyl Complexes with 2,2′:6′,2″-Terpyridines. Molecules 2024, 29, 1631. https://doi.org/10.3390/molecules29071631
Palion-Gazda J, Choroba K, Maroń AM, Malicka E, Machura B. Structural and Photophysical Trends in Rhenium(I) Carbonyl Complexes with 2,2′:6′,2″-Terpyridines. Molecules. 2024; 29(7):1631. https://doi.org/10.3390/molecules29071631
Chicago/Turabian StylePalion-Gazda, Joanna, Katarzyna Choroba, Anna Maria Maroń, Ewa Malicka, and Barbara Machura. 2024. "Structural and Photophysical Trends in Rhenium(I) Carbonyl Complexes with 2,2′:6′,2″-Terpyridines" Molecules 29, no. 7: 1631. https://doi.org/10.3390/molecules29071631
APA StylePalion-Gazda, J., Choroba, K., Maroń, A. M., Malicka, E., & Machura, B. (2024). Structural and Photophysical Trends in Rhenium(I) Carbonyl Complexes with 2,2′:6′,2″-Terpyridines. Molecules, 29(7), 1631. https://doi.org/10.3390/molecules29071631

