Sign in to use this feature.

Years

Between: -

Subjects

remove_circle_outline
remove_circle_outline
remove_circle_outline
remove_circle_outline
remove_circle_outline

Journals

Article Types

Countries / Regions

Search Results (18)

Search Parameters:
Keywords = hemispherical resonator gyroscope (HRG)

Order results
Result details
Results per page
Select all
Export citation of selected articles as:
22 pages, 3056 KB  
Article
High-Precision Simulation Analysis of Modal Characteristic Parameters of Hemispherical Resonator
by Yuqian Zhao, Qingheng Liu, Junfeng Liu, Wenhui Chen and Nan Huang
Appl. Sci. 2025, 15(22), 11904; https://doi.org/10.3390/app152211904 - 9 Nov 2025
Viewed by 233
Abstract
As a high-precision inertial device, the hemispherical resonant gyroscope (HRG) has found widespread application in critical domains including aerospace and tactical weapons, owing to its advantages of high precision, simple structure, and long service life. However, the machining form and position errors of [...] Read more.
As a high-precision inertial device, the hemispherical resonant gyroscope (HRG) has found widespread application in critical domains including aerospace and tactical weapons, owing to its advantages of high precision, simple structure, and long service life. However, the machining form and position errors of the hemispherical resonator—the core component of an HRG—are primary bottlenecks that restrict gyroscopic accuracy. To address the limitations of existing research, which include inadequate simulation accuracy, an incomplete consideration of form and position errors, and an unclear mechanism of the quality factor’s influence, this study employs a methodology comprising theoretical modeling, high-precision finite element simulation, and multi-parameter coupling analysis to undertake an in-depth investigation of the modal characteristics of hemispherical resonators. This work establishes a quantitative correlation linking machining errors to modal characteristics and subsequently to gyroscopic accuracy. This correlation provides critical guidance for controlling machining precision and achieving high-Q (quality factor) designs of hemispherical resonators, thereby offering significant engineering implications for enhancing the overall performance of HRGs. Full article
Show Figures

Figure 1

13 pages, 4900 KB  
Article
Comparative Noise Analysis of Readout Circuit in Hemispherical Resonator Gyroscope
by Zhihao Yu, Libin Zeng, Changda Xing, Lituo Shang, Xiuyue Yan and Jingyu Li
Micromachines 2025, 16(7), 802; https://doi.org/10.3390/mi16070802 - 9 Jul 2025
Viewed by 671
Abstract
In high-precision Hemispherical Resonator Gyroscope (HRG) control systems, readout circuit noise critically determines resonator displacement detection precision. Addressing noise issues, this paper compares the noise characteristics and contribution mechanisms of the Transimpedance Amplifier (TIA) and Charge-Sensitive Amplifier (CSA). By establishing a noise model [...] Read more.
In high-precision Hemispherical Resonator Gyroscope (HRG) control systems, readout circuit noise critically determines resonator displacement detection precision. Addressing noise issues, this paper compares the noise characteristics and contribution mechanisms of the Transimpedance Amplifier (TIA) and Charge-Sensitive Amplifier (CSA). By establishing a noise model and analyzing circuit bandwidth, the dominant role of feedback resistor thermal noise in the TIA is revealed. These analyses further demonstrate the significant suppression of high-frequency noise by the CSA capacitive feedback network. Simulation and experimental results demonstrate that the measured noise of the TIA and CSA is consistent with the theoretical model. The TIA output noise is 25.8 μVrms, with feedback resistor thermal noise accounting for 99.8%, while CSA output noise is reduced to 13.2 μVrms, a reduction of 48.8%. Near resonant frequency, the equivalent displacement noise of the CSA is 1.69×1014m/Hz, a reduction of 86.7% compared to the TIA’s 1.27×1013m/Hz, indicating the CSA is more suitable for high-precision applications. This research provides theoretical guidance and technical references for the topological selection and parameter design of HRG readout circuits. Full article
Show Figures

Figure 1

20 pages, 6756 KB  
Article
Optimization of Film Thickness Uniformity in Hemispherical Resonator Coating Process Based on Simulation and Reinforcement Learning Algorithms
by Jingyu Pan, Dongsheng Zhang, Shijie Liu, Jianguo Wang and Jianda Shao
Coatings 2025, 15(6), 700; https://doi.org/10.3390/coatings15060700 - 10 Jun 2025
Viewed by 932
Abstract
Hemispherical resonator gyroscopes (HRGs) are critical components in high-precision inertial navigation systems, typically used in fields such as navigation, weaponry, and deep space exploration. Film thickness uniformity affects device performance through its impact on the resonator’s Q value. Due to the irregular structure [...] Read more.
Hemispherical resonator gyroscopes (HRGs) are critical components in high-precision inertial navigation systems, typically used in fields such as navigation, weaponry, and deep space exploration. Film thickness uniformity affects device performance through its impact on the resonator’s Q value. Due to the irregular structure of the resonator, there has been limited research on the uniformity of film thickness on the inner wall of the resonator. This study addresses the challenge of thickness non-uniformity in metallization coatings, particularly in the meridional direction of the resonator. By integrating COMSOL-based finite element simulations with reinforcement learning-driven optimization through the Proximal Policy Optimization (PPO) algorithm, a new paradigm for coating process optimization is established. Furthermore, a correction mask is designed to address the issue of low coating rate. Finally, a Zygo white-light interferometer is used to measure film thickness uniformity. The results show that the optimized coating process achieves a film thickness uniformity of 11.0% in the meridional direction across the resonator. This study provides useful information and guidelines for the design and optimization of the coating process for hemispherical resonators, and the presented optimization method constitutes a process flow framework that can also be used for precision coating engineering in semiconductor components and optical elements. Full article
(This article belongs to the Special Issue AI-Driven Surface Engineering and Coating)
Show Figures

Figure 1

16 pages, 8112 KB  
Article
Identification and Compensation of Detection Gain Asymmetry Errors for Hemispherical Resonant Gyroscopes in Whole-Angle Mode
by Ruizhao Cheng, Gongliu Yang, Qingzhong Cai, Xiaodi Yi and Yongqiang Tu
Actuators 2025, 14(6), 275; https://doi.org/10.3390/act14060275 - 3 Jun 2025
Viewed by 977
Abstract
Detection gain asymmetry error is one of the primary errors of the hemispherical resonator gyroscope (HRG) in whole-angle (WA) mode. This paper analyzes the influence of detection gain asymmetry error and its coupling error with damping and stiffness asymmetry on the performance of [...] Read more.
Detection gain asymmetry error is one of the primary errors of the hemispherical resonator gyroscope (HRG) in whole-angle (WA) mode. This paper analyzes the influence of detection gain asymmetry error and its coupling error with damping and stiffness asymmetry on the performance of HRG and proposes a novel compensation method for detection gain asymmetry error. Firstly, the nonlinear error model of HRG considering the detection gain asymmetry error and its coupling error is established by using the average method. The influence of the angle-dependent scale factor error (ADS) and angle-dependent bias error (ADB) caused by the detection gain asymmetry error is analyzed by numerical simulation. Secondly, a parameter estimation algorithm based on force-to-rebalance (FTR) mode is proposed to decouple and identify the detection gain asymmetry error and damping asymmetry error. The identified parameters are used for the calibration of the HRG. Finally, the method is applied to the HRG operating in WA mode. The effectiveness of the proposed method is verified by experiments. After compensation, the bias instability is reduced from 3.6°/h to 0.6°/h, the scale factor nonlinearity is reduced from 646.57 ppm to 207.43 ppm, and the maximum pattern angle deviation is reduced from 0.6° to 0.05°. Full article
(This article belongs to the Section Precision Actuators)
Show Figures

Figure 1

14 pages, 3564 KB  
Article
Compensation of Temperature-Induced Bias Drift in Hemispherical Resonator Gyroscopes: An Inherent Data-Driven Architecture
by Xiaocong Zhou, Jiaqiang Wen, Shasha Han and Chong Li
Micromachines 2025, 16(4), 357; https://doi.org/10.3390/mi16040357 - 21 Mar 2025
Viewed by 2913
Abstract
To address the bias drift problem and hysteresis phenomenon of hemispherical resonator gyroscope (HRG) under temperature change, a temperature drift compensation method based on internal parameters is proposed. The influence model of zero-rate output bias is established with the parameters such as resonance [...] Read more.
To address the bias drift problem and hysteresis phenomenon of hemispherical resonator gyroscope (HRG) under temperature change, a temperature drift compensation method based on internal parameters is proposed. The influence model of zero-rate output bias is established with the parameters such as resonance frequency, driving signal amplitude and quadrature suppression voltage amplitude during HRG operation. The temperature cycle experiment is carried out in the range of −20 to 60 °C, and the relationship between internal parameters and working temperature is revealed. Using KAN neural network combined with time series data as input features, a real-time compensation model is designed to effectively improve the prediction accuracy of hysteresis phenomenon. The experimental results show that the model significantly reduces the output stability performance of HRG, from 0.022°/h to 0.013°/h, and the stability decreases from 1.1392°/h to 0.0651°/h, which improves the stability and reliability of HRG. Full article
(This article belongs to the Section E:Engineering and Technology)
Show Figures

Figure 1

17 pages, 5354 KB  
Article
A Novel Closed-Loop Single-Channel Time Division Multiplexing Detection Circuit for Hemispherical Resonator Gyroscope
by Qi Wang, Weinan Xie, Boqi Xi, Hanshi Li and Guoxing Yi
Micromachines 2025, 16(3), 273; https://doi.org/10.3390/mi16030273 - 27 Feb 2025
Cited by 3 | Viewed by 887
Abstract
The vector control method is applied to a whole angle hemispherical resonator gyroscope (HRG). The detection and control of the resonator vibration state are implemented using orthogonal X/Y channels. However, the performance of the HRG is limited by the asymmetry in [...] Read more.
The vector control method is applied to a whole angle hemispherical resonator gyroscope (HRG). The detection and control of the resonator vibration state are implemented using orthogonal X/Y channels. However, the performance of the HRG is limited by the asymmetry in the gain and phase delay of X/Y channels. To address these issues, a novel detection circuit is proposed. The circuit leverages the closed-loop characteristics to achieve symmetry and stability in the X/Y channel gain while simultaneously eliminating phase delays within the loop. Firstly, a closed-loop single-channel time division multiplexing circuit is designed to overcome the deficiencies of the traditional dual-channel circuit. Secondly, a model is developed to analyze the time division detection errors, and an improved demodulation method is proposed to mitigate detection errors. Lastly, experimental results demonstrate that the designed circuit successfully suppresses drift in both gain and phase delay within the loop, confirming the effectiveness of the proposed solution in enhancing the performance of the HRG. Full article
(This article belongs to the Special Issue Advances in MEMS Inertial Sensors)
Show Figures

Figure 1

23 pages, 10468 KB  
Article
An Adaptive Multi-Population Approach for Sphericity Error Evaluation in the Manufacture of Hemispherical Shell Resonators
by Dongfang Zhao, Junning Cui, Xingyuan Bian, Zhenghao Li and Yanxu Sun
Sensors 2024, 24(5), 1545; https://doi.org/10.3390/s24051545 - 28 Feb 2024
Viewed by 1452
Abstract
The performance of a hemispherical resonant gyroscope (HRG) is directly affected by the sphericity error of the thin-walled spherical shell of the hemispherical shell resonator (HSR). In the production process of the HSRs, high-speed, high-accuracy, and high-robustness requirements are necessary for evaluating sphericity [...] Read more.
The performance of a hemispherical resonant gyroscope (HRG) is directly affected by the sphericity error of the thin-walled spherical shell of the hemispherical shell resonator (HSR). In the production process of the HSRs, high-speed, high-accuracy, and high-robustness requirements are necessary for evaluating sphericity errors. We designed a sphericity error evaluation method based on the minimum zone criterion with an adaptive number of subpopulations. The method utilizes the global optimal solution and the subpopulations’ optimal solution to guide the search, initializes the subpopulations through clustering, and dynamically eliminates inferior subpopulations. Simulation experiments demonstrate that the algorithm exhibits excellent evaluation accuracy when processing simulation datasets with different sphericity errors, radii, and numbers of sampling points. The uncertainty of the results reached the order of 10−9 mm. When processing up to 6000 simulation datasets, the algorithm’s solution deviation from the ideal sphericity error remained around −3 × 10−9 mm. And the sphericity error evaluation was completed within 1 s on average. Additionally, comparison experiments further confirmed the evaluation accuracy of the algorithm. In the HSR sample measurement experiments, our algorithm improved the sphericity error assessment accuracy of the HSR’s inner and outer contour sampling datasets by 17% and 4%, compared with the results given by the coordinate measuring machine. The experiment results demonstrated that the algorithm meets the requirements of sphericity error assessment in the manufacturing process of the HSRs and has the potential to be widely used in the future. Full article
(This article belongs to the Special Issue Advanced Inertial Sensors, Navigation, and Fusion)
Show Figures

Figure 1

20 pages, 6934 KB  
Article
Design and Optimization of Hemispherical Resonators Based on PSO-BP and NSGA-II
by Jinghao Liu, Pinghua Li, Xuye Zhuang, Yunlong Sheng, Qi Qiao, Mingchen Lv, Zhongfeng Gao and Jialuo Liao
Micromachines 2023, 14(5), 1054; https://doi.org/10.3390/mi14051054 - 16 May 2023
Cited by 12 | Viewed by 2288
Abstract
Although one of the poster children of high-performance MEMS (Micro Electro Mechanical Systems) gyroscopes, the MEMS hemispherical resonator gyroscope (HRG) is faced with the barrier of technical and process limits, which makes it unable to form a resonator with the best structure. How [...] Read more.
Although one of the poster children of high-performance MEMS (Micro Electro Mechanical Systems) gyroscopes, the MEMS hemispherical resonator gyroscope (HRG) is faced with the barrier of technical and process limits, which makes it unable to form a resonator with the best structure. How to obtain the best resonator under specific technical and process limits is a significant topic for us. In this paper, the optimization of a MEMS polysilicon hemispherical resonator, designed by patterns based on PSO-BP and NSGA-II, was introduced. Firstly, the geometric parameters that significantly contribute to the performance of the resonator were determined via a thermoelastic model and process characteristics. Variety regulation between its performance parameters and geometric characteristics was discovered preliminarily using finite element simulation under a specified range. Then, the mapping between performance parameters and structure parameters was determined and stored in the BP neural network, which was optimized via PSO. Finally, the structure parameters in a specific numerical range corresponding to the best performance were obtained via the selection, heredity, and variation of NSGAII. Additionally, it was demonstrated using commercial finite element soft analysis that the output of the NSGAII, which corresponded to the Q factor of 42,454 and frequency difference of 8539, was a better structure for the resonator (generated by polysilicon under this process within a selected range) than the original. Instead of experimental processing, this study provides an effective and economical alternative for the design and optimization of high-performance HRGs under specific technical and process limits. Full article
(This article belongs to the Special Issue Design and Fabrication of Micro/Nano Sensors and Actuators, Volume II)
Show Figures

Figure 1

30 pages, 41425 KB  
Review
Recent Advances in MEMS-Based 3D Hemispherical Resonator Gyroscope (HRG)—A Sensor of Choice
by Ahmad Rahbar Ranji, Vijayakanthan Damodaran, Kevin Li, Zilang Chen, Shahpour Alirezaee and Mohammed Jalal Ahamed
Micromachines 2022, 13(10), 1676; https://doi.org/10.3390/mi13101676 - 5 Oct 2022
Cited by 37 | Viewed by 8240
Abstract
Macro-scale, hemispherical-shaped resonating gyroscopes are used in high-precision motion and navigation applications. In these gyroscopes, a 3D wine-glass, hemispherical-shaped resonating structure is used as the main sensing element. Motivated by the success of macroscale hemispherical shape gyroscopes, many microscale hemispherical-shaped resonators have been [...] Read more.
Macro-scale, hemispherical-shaped resonating gyroscopes are used in high-precision motion and navigation applications. In these gyroscopes, a 3D wine-glass, hemispherical-shaped resonating structure is used as the main sensing element. Motivated by the success of macroscale hemispherical shape gyroscopes, many microscale hemispherical-shaped resonators have been produced due to the rapid advancement in semiconductor-based microfabrication technologies. The dynamic performance of hemispherical resonators depends on the degree of symmetry, uniformity of thickness, and surface smoothness, which, in turn, depend on the type of materials and fabrication methods. The main aim of this review paper is to summarize the materials, characterization and fabrication methods reported in the literature for the fabrication of microscale hemispherical resonator gyroscopes (µHRGs). The theory behind the development of HRGs is described and advancements in the fabrication of microscale HRGs through various semiconductor-based fabrication techniques are outlined. The integration of electrodes with the hemispherical structure for electrical transduction using other materials and fabrication methods is also presented. A comparison of different materials and methods of fabrication from the point of view of device characteristics and dynamic performance is discussed. This review can help researchers in their future research and engineers to select the materials and methods for µHRG development. Full article
(This article belongs to the Special Issue Micro/Nano Resonators, Actuators, and Their Applications)
Show Figures

Figure 1

16 pages, 35768 KB  
Article
Implementation of Hemispherical Resonator Gyroscope with 3 × 3 Optical Interferometers for Analysis of Resonator Asymmetry
by Myeongseop Kim, Bobae Cho, Hansol Lee, Taeil Yoon and Byeongha Lee
Sensors 2022, 22(5), 1971; https://doi.org/10.3390/s22051971 - 2 Mar 2022
Cited by 7 | Viewed by 3453
Abstract
A hemispherical resonator gyroscope (HRG) has been implemented by using a consumer wineglass as the resonator and 3 × 3 optical interferometers as the detectors. The poorness of the off-the-shelf wineglass as the resonator can be overcome by the high performance of the [...] Read more.
A hemispherical resonator gyroscope (HRG) has been implemented by using a consumer wineglass as the resonator and 3 × 3 optical interferometers as the detectors. The poorness of the off-the-shelf wineglass as the resonator can be overcome by the high performance of the optical interferometer. The effects of asymmetries in stiffness and absorption of the resonator are analyzed theoretically and confirmed experimentally. We prove that the trace of the amplitude ratio of two n = 2 fundamental resonant modes of the resonator follows a straight line in a complex plane. By utilizing the straightness of the ratio and the high performance of the optical interferometer, we extract four real constant parameters characterizing the HRG system. Experimentally, by using a resonator having an average resonance frequency of 444 Hz and Q value of 1477.2, it was possible to measure the Coriolis force at the level of industrial grade. The bias stability was measured as small as 2.093°/h. Full article
(This article belongs to the Section Optical Sensors)
Show Figures

Figure 1

18 pages, 3950 KB  
Article
The Energy Compensation of the HRG Based on the Double-Frequency Parametric Excitation of the Discrete Electrode
by Wanliang Zhao, Hao Yang, Fucheng Liu, Yan Su and Lijun Song
Sensors 2020, 20(12), 3549; https://doi.org/10.3390/s20123549 - 23 Jun 2020
Cited by 5 | Viewed by 3404
Abstract
In this study, for energy compensation in the whole-angle control of Hemispherical Resonator Gyro (HRG), the dynamical equation of the resonator, which is excited by parametric excitation of the discrete electrode, is established, the stability conditions are analyzed, and the method of the [...] Read more.
In this study, for energy compensation in the whole-angle control of Hemispherical Resonator Gyro (HRG), the dynamical equation of the resonator, which is excited by parametric excitation of the discrete electrode, is established, the stability conditions are analyzed, and the method of the double-frequency parametric excitation by the discrete electrode is derived. To obtain the optimal parametric excitation of the resonator, the total energy stability of the resonator is simulated for the evolution of the resonator vibration with different excitation parameters and the free precession of the standing wave by the parametric excitation. In addition, the whole-angle control of the HRG is designed, and the energy compensation of parametric excitation is proven by the experiments. The results of the experiments show that the energy compensation of the HRG in the whole-angle control can be realized using discrete electrodes with double-frequency parametric excitation, which significantly improves the dynamic performance of the whole-angle control compared to the force-to-rebalance. Full article
(This article belongs to the Section Electronic Sensors)
Show Figures

Figure 1

24 pages, 5309 KB  
Article
The Synthesis Model of Flat-Electrode Hemispherical Resonator Gyro
by Zhennan Wei, Guoxing Yi, Yan Huo, Ziyang Qi and Zeyuan Xu
Sensors 2019, 19(7), 1690; https://doi.org/10.3390/s19071690 - 9 Apr 2019
Cited by 52 | Viewed by 9180
Abstract
The Hemispherical Resonator Gyro (HRG) is a solid-state and widely used vibrating gyroscope, especially in the field of deep space exploration. The flat-electrode HRG is a new promising type of gyroscope with simpler structure that is easier to be fabricated. In this paper, [...] Read more.
The Hemispherical Resonator Gyro (HRG) is a solid-state and widely used vibrating gyroscope, especially in the field of deep space exploration. The flat-electrode HRG is a new promising type of gyroscope with simpler structure that is easier to be fabricated. In this paper, to cover the shortage of a classical generalized Coriolis Vibration Gyroscope model whose parameters are hard to obtain, the model of flat-electrode HRG is established by the equivalent mechanical model, the motion equations of unideal hemispherical shell resonator are deduced, and the calculation results of parameters in the equations are verified to be reliable and believable by comparing with finite element simulation and the reported experimental data. In order to more truthfully reveal the input and output characteristics of HRG, the excitation and detection models with assemble errors and parameters are established based on the model of flat-electrode capacitor, and they convert both the input and output forms of the HRG model to voltage changes across the electrodes rather than changes in force and capacitance. An identification method of assemble errors and parameters is proposed to evaluate and improve the HRG manufacturing technology and adjust the performance of HRG. The average gap could be identified with the average capacitance of all excitation and detection capacitors; fitting the approximate static capacitor model could identify the inclination angle and direction angle. With the obtained model, a firm and tight connection between the real HRG system and theoretical model is established, which makes it possible to build a fully functional simulation model to study the control and detection methods of standing wave on hemispherical shell resonator. Full article
(This article belongs to the Special Issue Resonant Sensors)
Show Figures

Figure 1

16 pages, 5700 KB  
Article
Effect of Uneven Electrostatic Forces on the Dynamic Characteristics of Capacitive Hemispherical Resonator Gyroscopes
by Zeyuan Xu, Guoxing Yi, Meng Joo Er and Chao Huang
Sensors 2019, 19(6), 1291; https://doi.org/10.3390/s19061291 - 14 Mar 2019
Cited by 25 | Viewed by 5326
Abstract
The hemispherical resonator gyroscope (HRG) is a typical capacitive Coriolis vibratory gyroscope whose performance is inevitably influenced by the uneven electrostatic forces caused by the uneven excitation capacitance gap between the resonator and outer base. First, the mechanism of uneven electrostatic forces due [...] Read more.
The hemispherical resonator gyroscope (HRG) is a typical capacitive Coriolis vibratory gyroscope whose performance is inevitably influenced by the uneven electrostatic forces caused by the uneven excitation capacitance gap between the resonator and outer base. First, the mechanism of uneven electrostatic forces due to the significantly uneven capacitance gap in that the non-uniformity of the electrostatic forces can cause irregular deformation of the resonator and further affect the performance and precision of the HRG, was analyzed. According to the analyzed influence mechanism, the dynamic output error model of the HRG was established. In this work, the effect of the first four harmonics of the uneven capacitance gap on the HRG was investigated. It turns out that the zero bias and output error, caused by the first harmonic that dominates mainly the amplitude of the uneven capacitance gap, increase approximately linearly with the increase of the amplitude, and periodically vary with the increase of the phase. The effect of the other three harmonics follows the same law, but their amplitudes are one order of magnitude smaller than that of the first one, thus their effects on the HRG can be neglected. The effect of uneven electrostatic forces caused by the first harmonic on the scale factor is that its nonlinearity increases approximately linearly with the increase of the harmonic amplitude, which was analyzed in depth. Considering comprehensively the zero bias, the modification rate of output error, and scale factor nonlinearity, the tolerance towards the uneven excitation capacitance gap was obtained. Full article
(This article belongs to the Special Issue Resonator Sensors 2018)
Show Figures

Figure 1

13 pages, 4810 KB  
Article
Decreasing Frequency Splits of Hemispherical Resonators by Chemical Etching
by Yuting Wang, Yao Pan, Tianliang Qu, Yonglei Jia, Kaiyong Yang and Hui Luo
Sensors 2018, 18(11), 3772; https://doi.org/10.3390/s18113772 - 5 Nov 2018
Cited by 40 | Viewed by 4870
Abstract
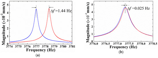
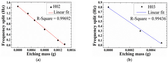
The hemispherical resonator gyroscope (HRG) has attracted the interest of the world inertial navigation community because of its exceptional performance, ultra-high reliability and its potential to be miniaturized. These devices achieve their best performance when the differences in the frequencies of the two [...] Read more.
The hemispherical resonator gyroscope (HRG) has attracted the interest of the world inertial navigation community because of its exceptional performance, ultra-high reliability and its potential to be miniaturized. These devices achieve their best performance when the differences in the frequencies of the two degenerate working modes are eliminated. Mechanical treatment, laser ablation, ion-beams etching, etc., have all been applied for the frequency tuning of resonators, however, they either require costly equipment and procedures, or alter the quality factors of the resonators significantly. In this paper, we experimentally investigated for the first time the use of a chemical etching procedure to decrease the frequency splits of hemispherical resonators. We provide a theoretical analysis of the chemical etching procedure, as well as the relation between frequency splits and mass errors. Then we demonstrate that the frequency split could be decreased to below 0.05 Hz by the proposed chemical etching procedure. Results also showed that the chemical etching method caused no damage to the quality factors. Compared with other tuning methods, the chemical etching method is convenient to implement, requiring less time and labor input. It can be regarded as an effective trimming method for obtaining medium accuracy hemispherical resonator gyroscopes. Full article
(This article belongs to the Section Chemical Sensors)
Show Figures

Figure 1

16 pages, 6810 KB  
Article
Optimal Design of a Center Support Quadruple Mass Gyroscope (CSQMG)
by Tian Zhang, Bin Zhou, Peng Yin, Zhiyong Chen and Rong Zhang
Sensors 2016, 16(5), 613; https://doi.org/10.3390/s16050613 - 28 Apr 2016
Cited by 33 | Viewed by 9094
Abstract
This paper reports a more complete description of the design process of the Center Support Quadruple Mass Gyroscope (CSQMG), a gyro expected to provide breakthrough performance for flat structures. The operation of the CSQMG is based on four lumped masses in a circumferential [...] Read more.
This paper reports a more complete description of the design process of the Center Support Quadruple Mass Gyroscope (CSQMG), a gyro expected to provide breakthrough performance for flat structures. The operation of the CSQMG is based on four lumped masses in a circumferential symmetric distribution, oscillating in anti-phase motion, and providing differential signal extraction. With its 4-fold symmetrical axes pattern, the CSQMG achieves a similar operation mode to Hemispherical Resonant Gyroscopes (HRGs). Compared to the conventional flat design, four Y-shaped coupling beams are used in this new pattern in order to adjust mode distribution and enhance the synchronization mechanism of operation modes. For the purpose of obtaining the optimal design of the CSQMG, a kind of applicative optimization flow is developed with a comprehensive derivation of the operation mode coordination, the pseudo mode inhibition, and the lumped mass twisting motion elimination. The experimental characterization of the CSQMG was performed at room temperature, and the center operation frequency is 6.8 kHz after tuning. Experiments show an Allan variance stability 0.12°/h (@100 s) and a white noise level about 0.72°/h/√Hz, which means that the CSQMG possesses great potential to achieve navigation grade performance. Full article
(This article belongs to the Special Issue Inertial Sensors and Systems 2016)
Show Figures

Figure 1

Back to TopTop