Sign in to use this feature.

Years

Between: -

Subjects

remove_circle_outline
remove_circle_outline
remove_circle_outline
remove_circle_outline
remove_circle_outline
remove_circle_outline
remove_circle_outline

Journals

remove_circle_outline
remove_circle_outline
remove_circle_outline
remove_circle_outline
remove_circle_outline
remove_circle_outline
remove_circle_outline
remove_circle_outline

Article Types

Countries / Regions

remove_circle_outline
remove_circle_outline
remove_circle_outline
remove_circle_outline

Search Results (532)

Search Parameters:
Keywords = hematology/medical oncology

Order results
Result details
Results per page
Select all
Export citation of selected articles as:
12 pages, 1211 KB  
Article
Serum Oxidized LDL and Interleukin-10 as Biomarkers for Peripheral Artery Disease in Chronic Myeloid Leukemia Patients Receiving Tyrosine Kinase Inhibitor Therapy
by Hernycane Sosilya, Muhammad Noor Diansyah, Merlyna Savitri, Putu Niken Ayu Amrita, Pradana Zaky Romadhon, Hermina Novida, Nadya Luthfah, Ami Ashariati and Siprianus Ugroseno Yudho Bintoro
Hemato 2026, 7(1), 3; https://doi.org/10.3390/hemato7010003 - 4 Jan 2026
Viewed by 106
Abstract
Background/Objectives: Tyrosine kinase inhibitors (TKIs) have transformed the treatment of chronic myeloid leukemia (CML), yet emerging evidence indicates an increased risk of vascular adverse events, particularly peripheral artery disease (PAD). Reliable biomarkers for early detection of TKI-related vascular toxicity are still lacking. Methods: [...] Read more.
Background/Objectives: Tyrosine kinase inhibitors (TKIs) have transformed the treatment of chronic myeloid leukemia (CML), yet emerging evidence indicates an increased risk of vascular adverse events, particularly peripheral artery disease (PAD). Reliable biomarkers for early detection of TKI-related vascular toxicity are still lacking. Methods: A cross-sectional study was conducted on 78 patients with chronic-phase CML treated at Dr. Soetomo General Hospital, Surabaya. PAD was confirmed using ankle–brachial index. Serum oxidized low-density lipoprotein (OxLDL) and interleukin-10 (IL-10) levels were measured using ELISA. Results: PAD was detected in 20% of subjects. The PAD group showed significantly higher OxLDL, lower IL-10, and a markedly elevated OxLDL/IL-10 ratio (all p < 0.001). OxLDL remained independently associated with PAD after adjustment (adjusted OR = 1.132, 95% CI 1.020–1.255, p = 0.019). OxLDL/IL-10 ratio yielded a good diagnostic value (sensitivity 87.5% and specificity of 88.7%). Conclusions: Elevated OxLDL and an increased OxLDL/IL-10 ratio are associated with PAD in CML patients receiving TKI therapy and demonstrated a good diagnostic performance for early detection of TKI-induced vascular toxicity. Full article
Show Figures

Figure 1

17 pages, 1033 KB  
Article
Psychotropic Medicinal Plant Use in Oncology: A Dual-Cohort Analysis and Its Implications for Anesthesia and Perioperative Care
by Anika Wolff, Jutta Hübner, Jens Büntzel and Judith Büntzel
Appl. Sci. 2026, 16(1), 481; https://doi.org/10.3390/app16010481 - 2 Jan 2026
Viewed by 293
Abstract
Psychotropic medicinal plants are commonly used among oncology patients, yet their relevance in the perioperative setting remains insufficiently characterized. We conducted a literature-based identification of 18 neuroactive plants and surveyed 123 cancer patients and 109 healthcare professionals at a tertiary hospital in Northern [...] Read more.
Psychotropic medicinal plants are commonly used among oncology patients, yet their relevance in the perioperative setting remains insufficiently characterized. We conducted a literature-based identification of 18 neuroactive plants and surveyed 123 cancer patients and 109 healthcare professionals at a tertiary hospital in Northern Thuringia, Germany. Seventy-five percent of patients reported using at least one psychotropic plant. Knowledge levels were high and similar across groups (median 11 plants), while professionals reported a broader usage spectrum (p = 0.042). Frequently known and applied species included Valeriana officinalis, Lavandula angustifolia, Hypericum perforatum, and Urtica. Women used more plants than men (p = 0.024), and higher usage rates were observed in breast cancer and head and neck cancer patients. Heat-map analyses showed substantial overlap in knowledge but differences for species such as Atropa, Cannabis, and Papaver somniferum. Given the potential interactions with anesthetic and analgesic medications, structured preoperative assessment of herbal use is warranted to enhance perioperative safety. Full article
Show Figures

Figure 1

21 pages, 3690 KB  
Article
Evaluation of Metaplastic Triple-Negative Breast Cancer Extracellular Matrix Structure and Protein Composition
by Jonathan J. Savoie, Katherine L. Hebert, Connor T. King, Emily C. McConnell, Van T. Hoang, W. Todd Monroe, Matthew E. Burow, Bridgette M. Collins-Burow, Jorge A. Belgodere and Elizabeth C. Martin
Bioengineering 2026, 13(1), 47; https://doi.org/10.3390/bioengineering13010047 - 31 Dec 2025
Viewed by 251
Abstract
Alterations in the tumor extracellular environment and matrix stiffness promote tumor progression. Furthermore, correlational studies have identified enrichment of extracellular matrix (ECM) proteins (glycoproteins, collagens) in breast tumors. Despite these findings, there has yet to be an interdisciplinary analysis of both ECM composition [...] Read more.
Alterations in the tumor extracellular environment and matrix stiffness promote tumor progression. Furthermore, correlational studies have identified enrichment of extracellular matrix (ECM) proteins (glycoproteins, collagens) in breast tumors. Despite these findings, there has yet to be an interdisciplinary analysis of both ECM composition and structural architecture in rare breast tumors, such as metaplastic breast cancer. Here, we explored changes in ECM protein expression and architecture in a triple-negative breast cancer (TNBC) metaplastic tumor through SEM, proteomics, and RNA sequencing. SEM revealed that the tumor pore size was larger compared to the control adipose tissue. Oscillating rheometry demonstrated increased ECM stiffness in the tumor compared to the control adipose breast adipose. Proteomic analysis of the metaplastic TNBC tumor showed significant enrichment for ECM proteins, notably glycoproteins compared to the control adipose. Interestingly, these samples showed no observed changes in expression for major fibrillar collagens COL1A1 and COL1A2, and a reduced expression of COL3A1. To determine the impact of less characterized ECMs in metaplastic TNBC, we overexpressed MFAP2 in primary metaplastic breast cancer cells and performed RNA sequencing. MFAP2 overexpression was associated with upregulation of epithelial-to-mesenchymal transition-related genes. Overall, our results establish an extracellular signature and onco-architecture for the metaplastic triple-negative tumor type. Full article
Show Figures

Figure 1

12 pages, 710 KB  
Viewpoint
Metastatic Uveal Melanoma Surveillance: A Delphi Panel Consensus
by Juan Alban, R. Christopher Bowen, David A. Reichstein, Meredith McKean, Jose Lutzky, Ezekiel Weis, Richard D. Carvajal, Susan Dulka, Brian G. Morse, Marcus O. Butler, Suthee Rapisuwon, Kevin B. Kim, Sanjay Chandrasekaran, Allison Betof Warner, Jonathan S. Zager, Bartosz Chmielowski, Sapna P. Patel, Leonel Fernando Hernandez-Aya, Zelia M. Correa, Leslie A. Fecher, Yana G. Najjar, Kamaneh Montazeri, Alexander N. Shoushtari, Asad Javed, Dan S. Gombos, April K. S. Salama, Katy Tsai, Frank H. Miller, Nikhil Khushalani, Rino S. Seedor, Evan J. Lipson, Sunil A. Reddy, Elizabeth Buchbinder, Shailender Bhatia, Anna Pavlick, Inderjit Mehmi, Thomas Aaberg, Alexandra P. Ikeguchi, Ivana K. Kim, Scott D. Walter, Arun D. Singh, Ryan J. Sullivan, Jacob S. Choi, Basil K. Williams Jr., Marlana Orloff, Prithvi Mruthyunjaya, Megan D. Schollenberger, Namita Gandhi, J. William Harbour and Sunandana Chandraadd Show full author list remove Hide full author list
Cancers 2026, 18(1), 121; https://doi.org/10.3390/cancers18010121 - 30 Dec 2025
Viewed by 477
Abstract
Background/Objectives: Uveal melanoma is a rare but aggressive intraocular malignancy that metastasizes in up to half of patients, most commonly to the liver, despite effective local treatment. In the absence of robust evidence, there are no standardized guidelines for post-treatment surveillance, resulting in [...] Read more.
Background/Objectives: Uveal melanoma is a rare but aggressive intraocular malignancy that metastasizes in up to half of patients, most commonly to the liver, despite effective local treatment. In the absence of robust evidence, there are no standardized guidelines for post-treatment surveillance, resulting in wide variation in imaging modalities, frequency, and duration across physicians and institutions. This study aimed to develop expert consensus recommendations for surveillance strategies in patients with uveal melanoma. Methods: A modified Delphi method was conducted across three iterative survey rounds between September 2024 and February 2025 using an online platform. Panelists included medical oncologists, ocular oncologists, radiologists, and surgical oncologists from North America. A multidisciplinary steering committee developed statements addressing risk-based surveillance using both molecular and clinical prognostic factors, including gene expression profiling (GEP) and PRAME status. Consensus was defined a priori as ≥70% of panelists rating a statement 7–9 on a 9-point Likert scale. Results: Forty-nine experts were invited, and 41 completed at least one survey round. The panel represented 17 U.S. states, Washington, D.C., and two Canadian provinces. Twelve statements reached stable consensus, including recommendations for imaging modality, frequency, and duration in intermediate- and high-risk patients. Although there was agreement that low-risk patients warrant surveillance, no consensus was reached on the optimal approach for this group. Conclusions: This is the first study to provide consensus-based guidance incorporating GEP and PRAME status into surveillance recommendations for uveal melanoma, offering a standardized framework to guide clinical practice and future research. Full article
(This article belongs to the Section Cancer Metastasis)
Show Figures

Figure 1

28 pages, 765 KB  
Systematic Review
Radiomic-Based Machine Learning Classifiers for HPV Status Prediction in Oropharyngeal Cancer: A Systematic Review and Meta-Analysis
by Anna Luíza Damaceno Araújo, Luiz Paulo Kowalski, Alan Roger Santos-Silva, Brendo Vinícius Rodrigues Louredo, Cristina Saldivia-Siracusa, Otávio Augusto A. M. de Melo, Deivid Cabral, Andrés Coca-Pelaz, Orlando Guntinas-Lichius, Remco de Bree, Pawel Golusinski, Karthik N. Rao, Robert P. Takes, Nabil F. Saba and Alfio Ferlito
Diagnostics 2026, 16(1), 68; https://doi.org/10.3390/diagnostics16010068 - 24 Dec 2025
Viewed by 341
Abstract
Background: The aim of the present systematic review (SR) is to compile evidence regarding the use of radiomic-based machine learning (ML) models for predicting human papillomavirus (HPV) status in oropharyngeal squamous cell carcinoma (OPSCC) patients and to assess their reliability, methodological frameworks, and [...] Read more.
Background: The aim of the present systematic review (SR) is to compile evidence regarding the use of radiomic-based machine learning (ML) models for predicting human papillomavirus (HPV) status in oropharyngeal squamous cell carcinoma (OPSCC) patients and to assess their reliability, methodological frameworks, and clinical applicability. The SR was conducted following PRISMA 2020 guidelines and registered in PROSPERO (CRD42025640065). Methods: Using the PICOS framework, the review question was defined as follows: “Can radiomic-based ML models accurately predict HPV status in OPSCC?” Electronic databases (Cochrane, Embase, IEEE Xplore, BVS, PubMed, Scopus, Web of Science) and gray literature (arXiv, Google Scholar and ProQuest) were searched. Retrospective cohort studies assessing radiomics for HPV prediction were included. Risk of bias (RoB) was evaluated using Prediction model Risk Of Bias ASsessment Tool (PROBAST), and data were synthesized based on imaging modality, architecture type/learning modalities, and the presence of external validation. Meta-analysis was performed for externally validated models using MetaBayesDTA and RStudio. Results: Twenty-four studies including 8627 patients were analyzed. Imaging modalities included computed tomography (CT), magnetic resonance imaging (MRI), contrast-enhanced computed tomography (CE-CT), and 18F-fluorodeoxyglucose positron emission tomography (18F-FDG PET). Logistic regression, random forest, eXtreme Gradient Boosting (XGBoost), and convolutional neural networks (CNNs) were commonly used. Most datasets were imbalanced with a predominance of HPV+ cases. Only eight studies reported external validation results. AUROC values ranged between 0.59 and 0.87 in the internal validation and between 0.48 and 0.91 in the external validation results. RoB was high in most studies, mainly due to reliance on p16-only HPV testing, insufficient events, or inadequate handling of class imbalance. Deep Learning (DL) models achieved moderate performance with considerable heterogeneity (sensitivity: 0.61; specificity: 0.65). In contrast, traditional models provided higher, more consistent performance (sensitivity: 0.72; specificity: 0.77). Conclusions: Radiomic-based ML models show potential for HPV status prediction in OPSCC, but methodological heterogeneity and a high RoB limit current clinical applicability. Full article
(This article belongs to the Special Issue Clinical Diagnosis of Otorhinolaryngology)
Show Figures

Figure 1

16 pages, 2600 KB  
Article
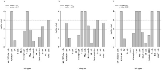
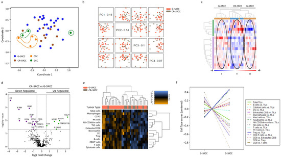
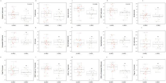
Comprehensive Characterization of the Immune Microenvironment of Colorectal and Gastric Signet Ring Cell Cancer
by Jianqing Zhang, Robin Collingwood, Sameer Al Diffalha, Deborah Della Manna, Ravi Kumar Paluri, Haider A. Mejbel and Olumide Gbolahan
Cells 2026, 15(1), 30; https://doi.org/10.3390/cells15010030 - 23 Dec 2025
Viewed by 303
Abstract
The reasons for the aggressive clinical phenotype of signet ring cell carcinoma (SRCC) have not been fully elucidated. Previous studies suggest similarities in the genotype of colorectal and gastric SRCC and a clear distinction from non-SRCC. The immune microenvironments of gastric and colorectal [...] Read more.
The reasons for the aggressive clinical phenotype of signet ring cell carcinoma (SRCC) have not been fully elucidated. Previous studies suggest similarities in the genotype of colorectal and gastric SRCC and a clear distinction from non-SRCC. The immune microenvironments of gastric and colorectal SRCC have not been comprehensively examined. We isolated RNA from formalin-fixed, paraffin-embedded (FFPE) sections of 34 tumor specimens, 10 colorectal SRCC, 24 gastric SRCC, 4 non-SRCC colorectal (CCC), and 3 gastric adenocarcinoma (GCC) samples. The PanCancer Immune Profiling Panel was used to evaluate the expression of 770 immune-related genes. We compared the expression profiles of colorectal and gastric SRCC and non-SRCC adenocarcinoma. We found that the immune-related gene expression profiles (GEPs) of colorectal SRCC (CR-SRCC) and gastric SRCC (G-SRCC) were distinct from the non-SRCC. A total of 127 genes were upregulated and 32 downregulated in CR-SRCC compared to CCC. Only two genes (CCL27 and LAIR2 reached statistical significance (p-adj < 0.05)) among the differentially expressed genes in G-SRCC compared to GCC. None of the clinically relevant immune checkpoints were significantly differentially expressed in SRCC vs. non-SRCC. Overall, we noted a relative abundance of CD8+ cells in CR-SRCC and G-SRCC and relative overexpression of genes involved in innate immune response including the complement pathway. Finally, we identified IL13RA2 as a potential biomarker and therapeutic target candidate for CR-SRCC. The immune microenvironments of CR-SRCC and G-SRCC are distinct from non-SRCC. Broadly, both CR-SRCC and G-SRCC are characterized by a complex immune microenvironment that features cytotoxic cells and innate immune activity that may facilitate immune evasion. Full article
Show Figures

Figure 1

26 pages, 976 KB  
Review
From Radical Resection to Precision Surgery: Integrating Diagnostic Biomarkers, Radiomics-Based Predictive Models, and Perioperative Systemic Therapy in Head and Neck Oncology
by Luiz P. Kowalski, Carol R. Bradford, Jonathan J. Beitler, Juan Pablo Rodrigo, Orlando Guntinas-Lichius, Petra Ambrosch, Arlene A. Forastiere, Karthik N. Rao, Marc Hamoir, Nabil F. Saba, Alvaro Sanabria, Primoz Strojan, Kevin Thomas Robbins and Alfio Ferlito
Diagnostics 2026, 16(1), 49; https://doi.org/10.3390/diagnostics16010049 - 23 Dec 2025
Viewed by 625
Abstract
Head and neck cancer surgery has evolved from radical organ-sacrificing procedures to function-preserving approaches integrated within multidisciplinary frameworks. This comprehensive literature review, concentrating on studies from the past five years while incorporating relevant publications from the last three decades and landmark historical papers, [...] Read more.
Head and neck cancer surgery has evolved from radical organ-sacrificing procedures to function-preserving approaches integrated within multidisciplinary frameworks. This comprehensive literature review, concentrating on studies from the past five years while incorporating relevant publications from the last three decades and landmark historical papers, examines the evolving role of surgery emphasizing diagnostic methodologies including comprehensive genomic profiling, validated imaging biomarkers, and their clinical integration for treatment selection and response prediction. Modern surgical practice demonstrates a paradigm shift toward precision medicine through validated diagnostic technologies. Comprehensive genomic profiling identifies clinically actionable alterations in over 90% of head and neck squamous cell carcinomas, with tumor mutational burden serving as a validated predictive biomarker for immunotherapy response. Programmed death-ligand 1 (PD-L1) combined positive score functions as a validated diagnostic biomarker for immunotherapy efficacy, demonstrating significant clinical benefit in biomarker-selected populations. Radiomics-based predictive models utilizing machine learning algorithms achieve diagnostic accuracies exceeding 85% for treatment response prediction when validated across independent cohorts. Quantitative ultrasound spectroscopy combined with magnetic resonance imaging radiomics demonstrates high sensitivity and specificity for radiation response prediction. Habitat imaging techniques characterizing tumor microenvironmental heterogeneity predict pathologic complete response to neoadjuvant chemoimmunotherapy with area under the curve values approaching 0.90 in validation studies. Integration of these diagnostic methodologies enables response-adaptive treatment strategies, with neoadjuvant chemotherapy facilitating mandibular preservation and adjuvant therapy omission in over half of human papillomavirus (HPV)-associated cases following surgical downstaging. Clinical validation of these diagnostic platforms enables accurate treatment response prediction and informed surgical decision-making, though standardization across institutions and demonstration of survival benefits through prospective trials remain essential for broader implementation. Full article
(This article belongs to the Special Issue Clinical Diagnosis of Otorhinolaryngology)
Show Figures

Figure 1

41 pages, 3566 KB  
Review
Pandora’s Box of AML: How TP53 Mutations Defy Therapy and Hint at New Hope
by Elyse A. Olesinski and Shruti Bhatt
Biomedicines 2025, 13(12), 3007; https://doi.org/10.3390/biomedicines13123007 - 8 Dec 2025
Viewed by 1224
Abstract
TP53 mutations are among the worst prognostic factors in acute myeloid leukemia (AML), with affected patients facing relapse-free survival of just five-to-six months compared to TP53 wild-type patients. A major barrier to improving outcomes lies in the dearth of effective therapies, as TP53 [...] Read more.
TP53 mutations are among the worst prognostic factors in acute myeloid leukemia (AML), with affected patients facing relapse-free survival of just five-to-six months compared to TP53 wild-type patients. A major barrier to improving outcomes lies in the dearth of effective therapies, as TP53 mutant patients remain refractory to conventional cytotoxic chemotherapies, targeted therapies, and even allogeneic stem cell transplantation. In this review, we first summarize current clinical strategies and the major setbacks of p53 activators, MDM2/X regulators, and immunotherapy, highlighting the disconnect between promising pre-clinical studies and limited durable clinical responses. We next discuss the mechanisms of therapy resistance in TP53 mutant AML, with specific emphasis on dysfunction in the mitochondrial apoptotic pathway and clonal evolution of TP53 mutant hematopoietic stem cells. We then outline a roadmap for developing tailored therapies that may finally redefine prognosis for this high-risk patient population, including apoptotic activators, cell-cycle modulators, and immune- and metabolic-based therapies. We lastly call attention to new biomarker-driven approaches that can improve patient stratification and optimize identification of responders. By connecting mechanistic understanding with translational insights, this review underscores both the formidable challenges and the emerging opportunities in TP53 mutant AML. Full article
Show Figures

Figure 1

14 pages, 3314 KB  
Review
Immunotherapy and Radiation for Clinical Perineural Invasion in Cutaneous Squamous Cell Carcinoma
by Renee A. Morecroft, Jordan S. Phillipps, Lang Gou, Alok A. Bhatt, Sungjune Kim, Homan Mohammadi, Roxana S. Dronca, Bently Doonan, Ruqin Chen, Yujie Zhao, Hye Seon Kang, Shenduo Li, Jeffrey R. Janus, Phillip Pirgousis, Samip Patel, Oluwafunmilola T. Okuyemi, Elisha M. Singer, Leila M. Tolaymat, Ashley Wysong, Catherine A. Degesys, Naiara Barbosa and Adam L. Holtzmanadd Show full author list remove Hide full author list
Cancers 2025, 17(24), 3921; https://doi.org/10.3390/cancers17243921 - 8 Dec 2025
Viewed by 544
Abstract
Localized cutaneous squamous cell carcinoma (cSCC) has a favorable prognosis, unlike advanced disease, especially with clinical perineural invasion (PNI), which poses substantial management challenges due to aggressivity and higher recurrence, metastasis, and mortality risks. PNI, a high-risk staging feature, has worse outcomes, particularly [...] Read more.
Localized cutaneous squamous cell carcinoma (cSCC) has a favorable prognosis, unlike advanced disease, especially with clinical perineural invasion (PNI), which poses substantial management challenges due to aggressivity and higher recurrence, metastasis, and mortality risks. PNI, a high-risk staging feature, has worse outcomes, particularly when clinically evident rather than incidental. Clinical PNI (cPNI) is evident by clinical symptoms (such as pain, paresthesia, or motor deficits) or radiologic findings, whereas incidental PNI (iPNI) is identified only histologically without associated symptoms or radiologic evidence. PNI remains a novel area with varying practice patterns across institutions. Improving risk stratification and tailoring multidisciplinary approaches are critical for optimizing outcomes. Our review outlines clinical practice patterns at our institution, providing insights into managing cSCC with PNI, focusing on diagnosis, imaging, staging, and emerging immunotherapies. A structured search was conducted using the terms “perineural invasion,” “cutaneous squamous cell carcinoma,” and “immunotherapy.” cPNI has a poor prognosis and requires nuanced clinical decision-making. Surgery and radiation remain central to management. Adjuvant therapy offers substantial survival benefit in cSCC with PNI, with improved disease-free and overall survival compared with surgery alone, supporting its use in appropriately selected high-risk patients. Traditional systemic therapies, including cisplatin and cetuximab, remain foundational but have shown only moderate response rates and limited durability in advanced or neurotropic cSCC. In contrast, immunotherapy—now preferred for advanced or unresectable cases—has transformed management, with programmed cell death protein-1 (PD-1) inhibitors showing promising results (up to 69% response rate) and disease stabilization. Neoadjuvant immunotherapy may enable tumor downstaging, improve radiation planning, and reduce surgical morbidity. Imaging for squamous cell carcinoma (SCC) with PNI aids staging and surveillance, but symptoms remain key for detecting recurrence. Our multidisciplinary approach emphasizes personalized care. Larger trials are needed to define the optimal role and sequencing of immunotherapy in this high-risk patient population. Full article
Show Figures

Figure 1

22 pages, 2395 KB  
Article
Characterization of Stimulated γδ T Cells: Phenotypic Analysis and Implications for Allogeneic Cellular Immunotherapy
by Anna Bold, Heike Gross, Marco Bardenbacher, Elisabeth Holzmann, Stefan Knop and Martin Wilhelm
Cells 2025, 14(23), 1917; https://doi.org/10.3390/cells14231917 - 2 Dec 2025
Viewed by 571
Abstract
Due to their anti-tumor activity and non-major histocompatibility complex (MHC) binding T cell receptor, γδ T cells are suitable candidates for allogeneic cellular immunotherapy in cancer. Recently, we developed a new protocol called Ko-Op for stimulation of γδ T cells (specifically Vy9Vδ2 T [...] Read more.
Due to their anti-tumor activity and non-major histocompatibility complex (MHC) binding T cell receptor, γδ T cells are suitable candidates for allogeneic cellular immunotherapy in cancer. Recently, we developed a new protocol called Ko-Op for stimulation of γδ T cells (specifically Vy9Vδ2 T cells) that generates a cell product consisting mainly of γδ T cells with preserved anti-tumor activity targeted for clinical-grade application. In this study, we investigated the phenotype of stimulated γδ T cells and correlated this with results of functional assays to obtain a deeper understanding of the characteristics of stimulated γδ T cells. Additionally, an intensive analysis of surface molecules of unstimulated and stimulated γδ T cells is presented. Since heterogeneous results regarding the response to therapy with γδ T cells observed in earlier clinical trials could be a consequence of various extents of γδ T cell adhesion and migration ability, we addressed surface molecules associated with cellular activity and adhesion and migration functions as well. By investigating correlations between the phenotype of unstimulated γδ T cells and cellular cytotoxicity, as well as the degranulation ability of stimulated γδ T cells, we could draw conclusions about optimal donors for further allogeneic cellular therapies. Finally, we demonstrated that the phenotype varies over the time of culture and is clearly modifiable by changing the stimulation protocol. Full article
(This article belongs to the Special Issue Unconventional T Cells in Health and Disease)
Show Figures

Figure 1

15 pages, 1198 KB  
Article
Independent Validation of a Machine Learning Classifier for Predicting Mediastinal Lymph Node Metastases in Non-Small Cell Lung Cancer Using Routinely Obtainable [18F]FDG-PET/CT Parameters
by Agata Wdowiak, Julian M. M. Rogasch, Georg L. Baumgärtner, Nikolaj Frost, Jens-Carsten Rückert, Jens Neudecker, Sebastian Ochsenreither, Manuela Gerhold, Bernd Schmidt, Mareike Graff, Holger Amthauer, Tobias Penzkofer and Christian Furth
Curr. Oncol. 2025, 32(12), 679; https://doi.org/10.3390/curroncol32120679 - 1 Dec 2025
Viewed by 416
Abstract
In non-small cell lung cancer (NSCLC), [18F]FDG-PET/CT is limited in pretherapeutic lymph node (LN) staging by false-positives. We previously demonstrated that a machine learning (ML) classifier using routine [18F]FDG-PET/CT and clinical variables can improve diagnostic accuracy compared to visual [...] Read more.
In non-small cell lung cancer (NSCLC), [18F]FDG-PET/CT is limited in pretherapeutic lymph node (LN) staging by false-positives. We previously demonstrated that a machine learning (ML) classifier using routine [18F]FDG-PET/CT and clinical variables can improve diagnostic accuracy compared to visual assessment. The present study aimed at independent validation. Cohort 1 (Charité) included 87 NSCLC patients (surgical and non-surgical), prospectively enrolled at our institution. Cohort 2 (TCIA) comprised 124 patients with primary surgery from the multi-institution NSCLC Radiogenomics dataset. Our ML classifier for differentiating N0/1 vs. N2/3 status was applied without modification. As comparator, the combined standard PET/CT criterion of “mediastinal LN uptake > mediastinum and/or short-axis > 10 mm” was used. Histology of N2/3 LNs served as reference standard. Prevalence of pN2/3 differed significantly between cohorts (Charité: 40%, TCIA: 12%; p < 0.001). Specificity was similar between ML and the standard PET/CT criterion in the Charité cohort (65% vs. 60%; p = 0.5) but significantly higher with ML in TCIA (90% vs. 70%; p < 0.001). Sensitivity for pN2/3 was comparable between the two comparators in both the Charité cohort (97% each; p = 1.0) and TCIA (27% vs. 33%; p = 1.0). Lower sensitivity in TCIA patients reflects the preselection of surgical patients who had already been clinically staged and deemed suitable for surgery. The diagnostic performance of the ML classifier and its (potentially) superior specificity were thus successfully validated in two independent cohorts. Full article
Show Figures

Graphical abstract

3 pages, 152 KB  
Editorial
Special Issue “Mitochondrial Remodeling and the Targeting Strategies for Disease Treatment”
by Yong Teng
Int. J. Mol. Sci. 2025, 26(23), 11370; https://doi.org/10.3390/ijms262311370 - 25 Nov 2025
Viewed by 440
Abstract
Mitochondria are highly dynamic and responsive organelles that perform multifaceted functions depending on the environmental conditions and cellular demands [...] Full article
26 pages, 14048 KB  
Review
The Gut Microbiome as a Biomarker and Therapeutic Target of Immune Checkpoint Inhibitors: A Review for Oncologists
by Thiti Susiriwatananont, Panuch Eiamprapaporn, Maria Vazquez Roque, Francis A. Farraye, Adam Perlman and Saranya Chumsri
Cells 2025, 14(22), 1779; https://doi.org/10.3390/cells14221779 - 12 Nov 2025
Viewed by 3383
Abstract
Immune checkpoint inhibitors (ICIs) have transformed cancer therapy, yet their benefits remain limited to a subset of patients, underscoring the need for more reliable biomarkers and novel therapeutic strategies. The gut microbiome has emerged as a critical modulator of systemic immunity and a [...] Read more.
Immune checkpoint inhibitors (ICIs) have transformed cancer therapy, yet their benefits remain limited to a subset of patients, underscoring the need for more reliable biomarkers and novel therapeutic strategies. The gut microbiome has emerged as a critical modulator of systemic immunity and a promising determinant of ICI response. Evidence links specific microbial features, taxa, and bioactive metabolites to enhanced antitumor immunity, whereas disruptions, such as antibiotic exposure, are associated with poorer outcomes. Advances in sequencing and multi-omics technologies have provided more profound insights into microbiome-immune crosstalk, though methodological heterogeneity continues to challenge reproducibility. Translational studies demonstrate that microbiome-based intervention, including fecal microbiota transplantation (FMT), biotics supplementation, and engineered microbial strains, can enhance ICI efficacy or mitigate immune-related toxicities. Despite encouraging early clinical signals, broader implementation requires methodological rigor, standardized protocols, and innovative trial designs that account for host and environmental factors. For clinicians, the most immediate strategies involve prudent antibiotic stewardship and patient enrollment in microbiome-focused clinical trials. Overall, the gut microbiome is a promising biomarker and a therapeutic target, representing a new frontier for personalizing immunotherapy and improving patient outcomes in oncology. Full article
(This article belongs to the Special Issue Cellular Mechanisms of Anti-Cancer Therapies)
Show Figures

Graphical abstract

10 pages, 353 KB  
Article
Delay of Systemic Therapy Confers a Survival Benefit in Patients with Stage IV Non-Small-Cell Lung Cancer
by Rike Geiken-Weinstock, Frank Griesinger, Michael Metz, Ralf Georg Meyer, Peter Staib, Tobias Overbeck, Nils Goeken, Joachim Hübner and Jörg Bäsecke
Cancers 2025, 17(21), 3531; https://doi.org/10.3390/cancers17213531 - 31 Oct 2025
Viewed by 663
Abstract
Background: A timely systemic therapy of patients with metastasized non-small-cell lung cancer (NSCLC) is a suggestive clinical conception. As the pre-therapeutic management is complex and includes comprehensive immunohistochemical and molecular diagnostics, the time to optimal therapy may be prolonged. Whether the timing of [...] Read more.
Background: A timely systemic therapy of patients with metastasized non-small-cell lung cancer (NSCLC) is a suggestive clinical conception. As the pre-therapeutic management is complex and includes comprehensive immunohistochemical and molecular diagnostics, the time to optimal therapy may be prolonged. Whether the timing of therapy influences the outcome still remains controversial. We investigated the therapy timing and overall survival in subgroups of NSCLC patients in the clinical cancer registry of Lower Saxony. Materials and Methods: Patients with UICC stage IV NSCLC and systemic therapy were included. Early and delayed therapy groups based on the median time from histology to therapy were defined. Median overall survival (mOS) was estimated by the Kaplan–Meier test and compared by the log rank test. Uni- and multivariate Cox regression analyses were used for independent variables. Subgroup analyses were performed according to age, ECOG-PS, metastasis stage (M1a-c) and therapy. Results: We included 1687 patients; of these, the median age was 66.8 years, and 58% of patients were male. The median time to systemic therapy was 33 days, and in our sample, 844 patients were in the early and 843 in the delayed therapy group (TG). Median overall survival of the early TG patients was 9 m vs. 14 m in the delayed TG (p < 0.001). Subgroup analyses confirmed consistent findings among different age, metastasis and ECOG subgroups. Conclusions: UICC IV NSCLC patients with a delayed systemic therapy had a better overall survival than those with an early therapy. This observation supports a (qualified) waiting time for systemic therapies. Therapy timing may also be a relevant confounder in clinical studies. Full article
(This article belongs to the Section Cancer Informatics and Big Data)
Show Figures

Figure 1

12 pages, 740 KB  
Article
Comparative Outcomes of Brachyury Vaccine vs. Imatinib in Advanced Chordoma: A Mayo Clinic Experience
by Juan P. Navarro-Garcia de Llano, Harshvardhan G. Iyer, Harry C. Hoffman, Mahesh Seetharam, Steven Attia and Oluwaseun O. Akinduro
Cancers 2025, 17(21), 3493; https://doi.org/10.3390/cancers17213493 - 30 Oct 2025
Viewed by 630
Abstract
Background/Objectives: Chordoma, a rare slow-growing malignant bone tumor, remains therapeutically challenging due to its invasive nature. We examined institutional outcomes comparing imatinib and brachyury-directed vaccines. Methods: We used data from three sites of our quaternary care academic institution to analyze demographics, [...] Read more.
Background/Objectives: Chordoma, a rare slow-growing malignant bone tumor, remains therapeutically challenging due to its invasive nature. We examined institutional outcomes comparing imatinib and brachyury-directed vaccines. Methods: We used data from three sites of our quaternary care academic institution to analyze demographics, time to progression, overall survival, and adverse events in chordoma patients treated with imatinib or enrolled in a brachyury vaccine trial. Results: We included a total of 52 patients (8 in the brachyury vaccine cohort and 44 in the imatinib cohort) in the analysis. As expected, sacrococcygeal location was the most predominant in both cohorts: 62.5% in the brachyury cohort and 45.5% in the imatinib cohort. No demographic differences were present between the cohorts. ECOG was similar in both groups (p = 0.796). The primary outcome, time to progression (TTP), was shorter in the brachyury compared to the imatinib cohort (5.6 vs. 13 months, p = 0.0589), almost reaching statistical significance. Overall survival (OS) was comparable, 211 vs. 212 months for the brachyury and imatinib cohorts, respectively (p = 0.277). Although the brachyury vaccine cohort presented a higher incidence of adverse events than the imatinib cohort (75% vs. 31.8%, p = 0.021), the severity was milder. Conclusions: Imatinib showed longer disease control than the brachyury vaccine, though overall survival was similar. Future studies and deeper molecular insights are essential to develop better therapies and improve patient quality of life. Full article
(This article belongs to the Special Issue Advances in Spine Oncology: Research and Clinical Studies)
Show Figures

Figure 1

Back to TopTop