Sign in to use this feature.

Years

Between: -

Subjects

remove_circle_outline
remove_circle_outline
remove_circle_outline
remove_circle_outline
remove_circle_outline
remove_circle_outline
remove_circle_outline

Journals

Article Types

Countries / Regions

Search Results (39)

Search Parameters:
Keywords = head-group acylation

Order results
Result details
Results per page
Select all
Export citation of selected articles as:
14 pages, 1051 KB  
Article
Structure–Activity Relationships of N-Acyl Dopamines in Inhibiting Myofibroblast Transdifferentiation of Retinal Pigment Epithelial Cells
by Dandan Zhao, Vishaka Motheramgari, Riley Freudenberger, Sarah H. Shrader, Lucy J. Sloan, Zoe Lung, Wei Wang, Shigeo Tamiya and Zhao-Hui Song
Biomolecules 2025, 15(11), 1526; https://doi.org/10.3390/biom15111526 - 30 Oct 2025
Viewed by 37
Abstract
Aberrant wound healing in the retina can manifest as proliferative vitreoretinopathy (PVR), which involves the myofibroblast transdifferentiation of retinal pigment epithelial (RPE) cells. In this study, experiments were conducted to examine the structure–activity relationships of endocannabinoid-like compounds, N-acyl dopamines, on the myofibroblast [...] Read more.
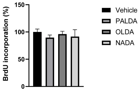
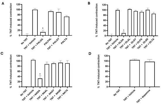
Aberrant wound healing in the retina can manifest as proliferative vitreoretinopathy (PVR), which involves the myofibroblast transdifferentiation of retinal pigment epithelial (RPE) cells. In this study, experiments were conducted to examine the structure–activity relationships of endocannabinoid-like compounds, N-acyl dopamines, on the myofibroblast transdifferentiation of RPE cells. The collagen matrix contraction assay was used to assess myofibroblast function. Western blot analysis and immunocytochemistry techniques were used to evaluate myofibroblast markers. N-palmitoyl dopamine (PALDA), N-oleoyl dopamine (OLDA), and N-arachidonoyl dopamine (NADA), in a concentration-dependent manner, inhibited contraction of collagen matrices mediated by either primary porcine RPE cells treated with TGF-β2, or human RPE cells treated with TGF-β2 plus TNFα (TNT). The rank order of potency was PLDA = OLDA > NADA. In contrast, the substitution of dopamine with other polar head groups led to a complete loss of their ability to inhibit myofibroblast transdifferentiation. Western blot analysis demonstrated that PALDA, OLDA, and NADA down-regulated the myofibroblast markers fibronectin and α-SMA. Immunocytochemistry experiments showed that these N-acyl dopamines reduced the incorporation of α-SMA into F-actin stress fibers. Overall, these structure–activity relationship studies demonstrate that the dopamine head group is crucial for N-acyl dopamine to inhibit myofibroblast transdifferentiation of RPE cell, whereas the fatty acid side chain determines the potency of it. This study points to the potential of N-acyl dopamines as a novel class of therapeutic agents for treating retinal fibrotic conditions, such as PVR. Full article
(This article belongs to the Section Biological Factors)
Show Figures

Figure 1

35 pages, 2444 KB  
Review
The Photosynthetic Complexes of Thylakoid Membranes of Photoautotrophs and a Quartet of Their Polar Lipids
by Anatoly Zhukov and Vadim Volkov
Int. J. Mol. Sci. 2025, 26(20), 9869; https://doi.org/10.3390/ijms26209869 - 10 Oct 2025
Viewed by 734
Abstract
The important function of polar lipids in the biochemical chains of photosynthesis, the outstanding biochemical process on our planet, has been mentioned in many publications. Over the last several years, apart from the known function of lipids in creating a matrix for photosynthetic [...] Read more.
The important function of polar lipids in the biochemical chains of photosynthesis, the outstanding biochemical process on our planet, has been mentioned in many publications. Over the last several years, apart from the known function of lipids in creating a matrix for photosynthetic complexes, most attention has been paid to the role of lipids in building up and functioning of the photosynthetic complexes. The lipid molecules are found inside the complexes of photosystem II (PSII), photosystem I (PSI), and cytochrome b6f (Cyt b6f) together with other cofactors that accompany proteins and chlorophyll molecules. Super complexes PSII-light-harvesting complex II (PSII-LHCII) and PSI-light-harvesting complex I (PSI-LHCI) also include lipid molecules; part of the lipid molecules is located at the borders between the separate monomers of the complexes. Our interest is in the exact localization of lipid molecules inside the monomers: what are the protein subunits with the lipid molecules in between and how do the lipids contact directly with the amino acids of the proteins? The photosystems include very few classes of all the polar lipids, three groups of glyceroglycolipids, and one group of glycerophospholipids make up the quartet of polar lipids. What are the reasons they have been selected for the role? There are no doubts that the polar heads and the fatty acids chains of these lipids are taking part in the processes of photosynthesis. However, what are the distinct roles for each of them? The advantages and disadvantages of the head groups of lipids from thylakoid membranes and those lipids that for various reasons could not take their place are discussed. Attention is focused on those bound fatty acids that predominate or are characteristic for each class of thylakoid lipids. Emphasis is also placed on the content of each of the four lipids in all photosynthetic complexes, as well as on contacts of head groups and acyl chains of lipids with specific proteins, transmembrane chains, and their amino acids. This article is devoted to the search for answers to the questions posed. Full article
Show Figures

Figure 1

19 pages, 1438 KB  
Article
µ-Raman Spectroscopic Temperature Dependence Study of Biomimetic Lipid 1,2-Diphytanoyl-sn-glycero-3-phosphocholine
by Carmen Rizzuto, Antonello Nucera, Irene Barba Castagnaro, Riccardo C. Barberi and Marco Castriota
Biomimetics 2025, 10(5), 308; https://doi.org/10.3390/biomimetics10050308 - 11 May 2025
Cited by 1 | Viewed by 977
Abstract
Raman spectroscopy is one of the best techniques for obtaining information concerning the physical–chemical interactions between a lipid and a solvent. Phospholipids in water are the main elements of cell membranes and, by means of their chemical and physical structures, their cells can [...] Read more.
Raman spectroscopy is one of the best techniques for obtaining information concerning the physical–chemical interactions between a lipid and a solvent. Phospholipids in water are the main elements of cell membranes and, by means of their chemical and physical structures, their cells can interact with other biological molecules (i.e., proteins and vitamins) and express their own biological functions. Phospholipids, due to their amphiphilic structure, form biomimetic membranes which are useful for studying cellular interactions and drug delivery. Synthetic systems such as DPhPC-based liposomes replicate the key properties of biological membranes. Among the different models, phospholipid mimetic membrane models of lamellar vesicles have been greatly supported. In this work, a biomimetic system, a deuterium solution (50 mM) of the synthetic phospholipid 1,2-diphytanoyl-sn-glycero-3-phosphocholine (DPhDC), is studied using μ-Raman spectroscopy in a wide temperature range from −181.15 °C up to 22.15 °C, including the following temperatures: −181.15 °C, −146.15 °C, −111.15 °C, −76.15 °C, −61.15 °C, −46.15 °C, −31.15 °C, −16.15 °C, −1.15 °C, 14.15 °C, and 22.15 °C. Based on the Raman evidence, phase transitions as a function of temperature are shown and grouped into five classes, where the corresponding Raman modes describe the stretching of the (C−N) bond in the choline head group (gauche) and the asymmetric stretching of the (O−P−O) bond. The acquisition temperature of each Raman spectrum characterizes the rocking mode of the methylene of the acyl chain. These findings enhance our understanding of the role of artificial biomimetic lipids in complex phospholipid membranes and provide valuable insights for optimizing their use in biosensing applications. Although the phase stability of DPhPC is known, the collected Raman data suggest subtle molecular rearrangements, possibly due to hydration and second-order transitions, which are relevant for membrane modeling and biosensing applications. Full article
Show Figures

Figure 1

22 pages, 2504 KB  
Article
Fluorogenic Biosensing with Tunable Polydiacetylene Vesicles
by John S. Miller, Tanner J. Finney, Ethan Ilagan, Skye Frank, Ye Chen-Izu, Keishi Suga and Tonya L. Kuhl
Biosensors 2025, 15(1), 27; https://doi.org/10.3390/bios15010027 - 7 Jan 2025
Cited by 1 | Viewed by 1728
Abstract
Polydiacetylenes (PDAs) are conjugated polymers that are well known for their colorimetric transition from blue to red with the application of energetic stimulus. Sensing platforms based on polymerized diacetylene surfactant vesicles and other structures have been widely demonstrated for various colorimetric biosensing applications. [...] Read more.
Polydiacetylenes (PDAs) are conjugated polymers that are well known for their colorimetric transition from blue to red with the application of energetic stimulus. Sensing platforms based on polymerized diacetylene surfactant vesicles and other structures have been widely demonstrated for various colorimetric biosensing applications. Although less studied and utilized, the transition also results in a change from a non-fluorescent to a highly fluorescent state, making polydiacetylenes useful for both colorimetric and fluorogenic sensing applications. Here, we focus on the characterization and optimization of polydiacetylene vesicles to tune their sensitivity for fluorogenic sensing applications. Particularly, we look at how the structure of the diacetylene (DA) hydrocarbon tail and headgroup affect the self-assembled vesicle size and stability, polymerization kinetics, and the fluorogenic, blue to red phase transition. Longer DA acyl tails generally resulted in smaller and more stable vesicles. The polymerization kinetics and the blue to red transition were a function of both the DA acyl tail length and structure of the headgroup. Decreasing the acyl tail length generally led to vesicles that were more sensitive to energetic stimuli. Headgroup modifications had different effects depending on the structure of the headgroup. Ethanolamine headgroups resulted in vesicles with potentially increased stimuli responsivity. The lower energy stimulus to induce the chromatic transition was attributed to an increase in headgroup hydrogen bonding and polymer backbone strain. Boronic-acid headgroup functionalization led to vesicles that were generally unstable, only weakly polymerized, and unable to fully transform to the red phase due to strong polar, aromatic headgroup interactions. This work presents the design of PDA vesicles in the context of biosensing platforms and includes a discussion of the past, present, and future of PDA biosensing. Full article
Show Figures

Figure 1

14 pages, 4817 KB  
Article
Cryptotanshinone-Induced Permeabilization of Model Phospholipid Membranes: A Biophysical Study
by Julia Ortiz, Francisco J. Aranda, José A. Teruel and Antonio Ortiz
Membranes 2024, 14(6), 118; https://doi.org/10.3390/membranes14060118 - 21 May 2024
Cited by 1 | Viewed by 1483
Abstract
The Danshen terpenoid cryptotanshinone (CPT) is gaining enormous interest in light of its various outstanding biological activities. Among those, CPT has been shown to interact with cell membranes and, for instance, to have antibacterial activity. Several works have shown that CPT alone, or [...] Read more.
The Danshen terpenoid cryptotanshinone (CPT) is gaining enormous interest in light of its various outstanding biological activities. Among those, CPT has been shown to interact with cell membranes and, for instance, to have antibacterial activity. Several works have shown that CPT alone, or in combination with other drugs, can effectively act as an antibiotic against various infectious bacteria. Some authors have related the mechanism underlying this action to CPT–membrane interaction. This work shows that CPT readily partitions into phosphatidylcholine membranes, but there is a limiting capacity of accommodation of ca. 1 mol CPT to 3 mol phospholipid. The addition of CPT to unilamellar liposomes composed of 1-palmitoyl-2-oleoylphosphatidylcholine (POPC) causes membrane permeabilization, as shown by fluorescent probe leakage. This process has been kinetically studied, as well as its modulation by incorporation of phosphatidylethanolamine or phosphatidylglycerol, as a model for pathogenic cell membranes. The thermotropic behavior of 1,2-dimyristoylphosphatidylcholine (DMPC) model membranes is weakly affected by CPT, but the terpenoid causes significant dehydration of the polar region of the bilayer and weak disordering of the acyl chain palisade, as observed in Fourier-transform infrared spectroscopy (FTIR) results. Small-angle X-ray scattering (SAXS) shows that CPT increases DMPC bilayer thickness, which could be due to localization near the phospholipid/water interface. Molecular dynamics (MD) simulations show that the lateral diffusion coefficient of the phospholipid increases with the presence of CPT. CPT extends from the polar head region to the center of the bilayer, being centered between the carbonyl groups and the unsaturated region of the POPC, where there is greater overlap. Interestingly, the free energy profiles of a water molecule crossing the lipid membrane show that the POPC membrane becomes more permeable in the presence of CPT. In summary, our results show that CPT perturbs the physicochemical properties of the phospholipid membrane and compromises its barrier function, which could be of relevance to explain part of its antimicrobial or anticancer activities. Full article
(This article belongs to the Section Biological Membrane Composition and Structures)
Show Figures

Figure 1

20 pages, 2457 KB  
Article
Sugar-Based Surfactants: Effects of Structural Features on the Physicochemical Properties of Sugar Esters and Their Comparison to Commercial Octyl Glycosides
by Huiling Lu, Gwladys Pourceau, Benoit Briou, Anne Wadouachi, Théophile Gaudin, Isabelle Pezron and Audrey Drelich
Molecules 2024, 29(10), 2338; https://doi.org/10.3390/molecules29102338 - 16 May 2024
Cited by 6 | Viewed by 2687
Abstract
Two series of sugar esters with alkyl chain lengths varying from 5 to 12 carbon atoms, and with a head group consisting of glucose or galactose moieties, were synthesized. Equilibrium surface tension isotherms were measured, yielding critical micellar concentration (CMC) surface tensions at [...] Read more.
Two series of sugar esters with alkyl chain lengths varying from 5 to 12 carbon atoms, and with a head group consisting of glucose or galactose moieties, were synthesized. Equilibrium surface tension isotherms were measured, yielding critical micellar concentration (CMC) surface tensions at CMC (γcmc) and minimum areas at the air–water interface (Amin). In addition, Krafft temperatures (Tks) were measured to characterize the ability of molecules to dissolve in water, which is essential in numerous applications. As a comparison to widely used commercial sugar-based surfactants, those measurements were also carried out for four octyl d-glycosides. Impacts of the linkages between polar and lipophilic moieties, alkyl chain lengths, and the nature of the sugar head group on the measured properties were highlighted. Higher Tk and, thus, lower dissolution ability, were found for methyl 6-O-acyl-d-glucopyranosides. CMC and γcmc decreased with the alkyl chain lengths in both cases, but Amin did not appear to be influenced. Both γcmc and Amin appeared independent of the ester group orientation. Notably, alkyl (methyl α-d-glucopyranosid)uronates were found to result in noticeably lower CMC, possibly due to a closer distance between the carbonyl function and the head group. Full article
(This article belongs to the Special Issue Amphiphilic Molecules, Interfaces and Colloids)
Show Figures

Figure 1

9 pages, 1995 KB  
Article
The Effects of Splayed Lipid Molecules on Lubrication by Lipid Bilayers
by Di Jin and Jacob Klein
Lubricants 2024, 12(4), 120; https://doi.org/10.3390/lubricants12040120 - 5 Apr 2024
Cited by 3 | Viewed by 2797
Abstract
The outstanding lubrication of articular cartilage in the major synovial joints such as hips and knees, essential for the joint well-being, has been attributed to boundary layers of lipids at the outer cartilage surfaces, which have very low friction mediated by the hydration [...] Read more.
The outstanding lubrication of articular cartilage in the major synovial joints such as hips and knees, essential for the joint well-being, has been attributed to boundary layers of lipids at the outer cartilage surfaces, which have very low friction mediated by the hydration lubrication mechanism at their highly hydrated exposed headgroups. However, the role of spontaneously present lipid splays—lipids with an acyl tail in each of the opposing bilayers—in modulating the frictional force between lipid bilayers has not, to date, been considered. In this study, we perform all-atom molecular dynamics simulations to quantitatively assess the significance of splayed molecules within the framework of lubricating lipid bilayers. We demonstrate that, although transient, splayed molecules significantly increase the inter-membrane friction until their retraction back into the lamellar phase, with this effect more steadily occurring at lower sliding velocities that are comparable to the physiological velocities of sliding articular cartilage. Full article
(This article belongs to the Special Issue Hydration Lubrication in Biomedical Applications)
Show Figures

Figure 1

15 pages, 7336 KB  
Article
SF-1 Induces Nuclear PIP2
by Ethan S. Chi, Elizabeth A. Stivison and Raymond D. Blind
Biomolecules 2023, 13(10), 1509; https://doi.org/10.3390/biom13101509 - 12 Oct 2023
Cited by 5 | Viewed by 2741
Abstract
Metazoan cell nuclei contain non-membrane pools of the phosphoinositide lipid PI(4,5)P2 (PIP2), but how this hydrophobic lipid exists within the aqueous nucleoplasm remains unclear. Steroidogenic Factor-1 (NR5A1, SF-1) is a nuclear receptor that binds PIP2 in vitro, and a co-crystal structure of the [...] Read more.
Metazoan cell nuclei contain non-membrane pools of the phosphoinositide lipid PI(4,5)P2 (PIP2), but how this hydrophobic lipid exists within the aqueous nucleoplasm remains unclear. Steroidogenic Factor-1 (NR5A1, SF-1) is a nuclear receptor that binds PIP2 in vitro, and a co-crystal structure of the complex suggests the acyl chains of PIP2 are hidden in the hydrophobic core of the SF-1 protein while the PIP2 headgroup is solvent-exposed. This binding mode explains how SF-1 can solubilize nuclear PIP2; however, cellular evidence that SF-1 expression associates with nuclear PIP2 has been lacking. Here, we examined if tetracycline induction of SF-1 expression would associate with nuclear accumulation of PIP2, using antibodies directed against the PIP2 headgroup. Indeed, tetracycline induction of wild-type SF-1 induced a signal in the nucleus of HEK cells that cross-reacts with PIP2 antibodies, but did not cross-react with antibodies against the lower abundance phosphoinositide PI(3,4,5)P3 (PIP3). The nuclear PIP2 signal co-localized with FLAG-tagged SF-1 in the nuclear compartment. To determine if the nuclear PIP2 signal was dependent on the ability of SF-1 to bind PIP2, we examined a “pocket mutant” of SF-1 (A270W, L345F) shown to be deficient in phospholipid binding by mass spectrometry. Tetracycline induction of this pocket mutant SF-1 in HEK cells failed to induce a detectable PIP2 antibody cross-reactive signal, despite similar Tet-induced expression levels of the wild-type and pocket mutant SF-1 proteins in these cells. Together, these data are the first to suggest that expression of SF-1 induces a PIP2 antibody cross-reactive signal in the nucleus, consistent with X-ray crystallographic and biochemical evidence suggesting SF-1 binds PIP2 in human cells. Full article
Show Figures

Figure 1

15 pages, 6070 KB  
Article
Assessment of DPPC Liposome Disruption by Embedded Tocopheryl Malonate
by Grażyna Neunert, Jolanta Tomaszewska-Gras, Marlena Gauza-Włodarczyk, Stanislaw Witkowski and Krzysztof Polewski
Appl. Sci. 2023, 13(10), 6219; https://doi.org/10.3390/app13106219 - 19 May 2023
Cited by 3 | Viewed by 2383
Abstract
In this study, the effect of α-tocopheryl malonate (TM) on physical and structural properties of DPPC liposomes was investigated using ANS fluorescence, DPH, and TMA–DPH anisotropy fluorescence and differential scanning calorimetry (DSC) methods. The presence of embedded TM in DPPC liposomes caused alteration [...] Read more.
In this study, the effect of α-tocopheryl malonate (TM) on physical and structural properties of DPPC liposomes was investigated using ANS fluorescence, DPH, and TMA–DPH anisotropy fluorescence and differential scanning calorimetry (DSC) methods. The presence of embedded TM in DPPC liposomes caused alteration in its phase transition temperatures, structural order, dynamics, and hydration of head groups increasingly with growing TM concentration. The ANS fluorescence results demonstrated that increasing TM presence in the DPPC gel phase due to interrupted membrane structure caused the formation of new binding sites. Temperature investigations in the range of 20 °C to 60 °C showed that increasing temperature rises ANS fluorescence which reaches local and global maxima at 36 °C and 42 °C, respectively. The rising TM concentration at the phase transition temperature of DPPC led to the lowering of ANS fluorescence, indicating a decreased binding of ANS. Simultaneously, during heating, a roughly 10-nm shift of ANS emission maximum was observed. The results indicated that in the fluid phase, the observed quenching appears as a result of increasing accessibility of water molecules into ANS in this region. The DPH results indicated that in the gel phase presence of TM introduced disorder in the hydrophobic acyl chain region led to its fluidization. The TMA–DPH results indicated an increasing disorder in the interface region and an increasing hydration of head group atoms at the surface of the membrane. The increasing concentration of TM results in the formation of multicomponent DSC traces, suggesting the formation of another structural phase. The applied methods proved that the incorporation of TM into DPPC membrane results in the interaction of malonate moiety with DPPC head group atoms in the interphase layer and induces the interruption in the membrane packing order, leading to its structural changes. The presented results show that TM presence could regulate the membrane properties, thus it may indicate one of the possible mechanisms responsible for the effective disruption of cell membranes by TM. The knowledge of molecular mechanism how TM interacts with the membrane will help to elucidate its possible pharmacological activity. Full article
(This article belongs to the Section Food Science and Technology)
Show Figures

Figure 1

21 pages, 6818 KB  
Article
Miscibility of Phosphatidylcholines in Bilayers: Effect of Acyl Chain Unsaturation
by Agata Żak, Natan Rajtar, Waldemar Kulig and Mariusz Kepczynski
Membranes 2023, 13(4), 411; https://doi.org/10.3390/membranes13040411 - 5 Apr 2023
Cited by 4 | Viewed by 3258
Abstract
The miscibility of phospholipids in a hydrated bilayer is an issue of fundamental importance for understanding the organization of biological membranes. Despite research on lipid miscibility, its molecular basis remains poorly understood. In this study, all-atom MD simulations complemented by Langmuir monolayer and [...] Read more.
The miscibility of phospholipids in a hydrated bilayer is an issue of fundamental importance for understanding the organization of biological membranes. Despite research on lipid miscibility, its molecular basis remains poorly understood. In this study, all-atom MD simulations complemented by Langmuir monolayer and DSC experiments have been performed to investigate the molecular organization and properties of lipid bilayers composed of phosphatidylcholines with saturated (palmitoyl, DPPC) and unsaturated (oleoyl, DOPC) acyl chains. The experimental results showed that the DOPC/DPPC bilayers are systems exhibiting a very limited miscibility (strongly positive values of excess free energy of mixing) at temperatures below the DPPC phase transition. The excess free energy of mixing is divided into an entropic component, related to the ordering of the acyl chains, and an enthalpic component, resulting from the mainly electrostatic interactions between the headgroups of lipids. MD simulations showed that the electrostatic interactions for lipid like-pairs are much stronger than that for mixed pairs and temperature has only a slight influence on these interactions. On the contrary, the entropic component increases strongly with increasing temperature, due to the freeing of rotation of acyl chains. Therefore, the miscibility of phospholipids with different saturations of acyl chains is an entropy-driven process. Full article
(This article belongs to the Special Issue Biological Membrane and Bioactive Compounds Interactions)
Show Figures

Figure 1

18 pages, 5761 KB  
Article
Investigation of the Impact of Lipid Acyl Chain Saturation on Fusion Peptide Interactions with Lipid Bilayers
by William T. Heller and Piotr A. Zolnierczuk
Biophysica 2023, 3(1), 121-138; https://doi.org/10.3390/biophysica3010009 - 28 Feb 2023
Cited by 3 | Viewed by 3108
Abstract
The interaction of many peptides with lipid bilayer membranes strongly depends on the lipid composition. Here, a study of the impact of unsaturated lipid acyl chains on the interaction of a derivative of the HIV-1 fusion peptide with lipid bilayer vesicles is presented. [...] Read more.
The interaction of many peptides with lipid bilayer membranes strongly depends on the lipid composition. Here, a study of the impact of unsaturated lipid acyl chains on the interaction of a derivative of the HIV-1 fusion peptide with lipid bilayer vesicles is presented. Lipid bilayer vesicles composed of mixtures of lipids with two saturated acyl chains and lipids and one saturated and one unsaturated acyl chain, but identical head groups, were studied. The dependence of the peptide conformation on the unsaturated lipid content was probed by circular dichroism spectroscopy, while the impact of the peptide on the bilayer structure was determined by small-angle neutron scattering. The impact of the peptide on the lipid bilayer vesicle dynamics was investigated using neutron spin echo spectroscopy. Molecular dynamics simulations were used to characterize the behavior of the systems studied to determine if there were clear differences in their physical properties. The results reveal that the peptide–bilayer interaction is not a simple function of the unsaturated lipid acyl chain content of the bilayer. Instead, the peptide behavior is more consistent with that seen for the bilayer containing only unsaturated lipids, which is supported by lipid-specific interactions revealed by the simulations. Full article
(This article belongs to the Special Issue Molecular Structure and Simulation in Biological System)
Show Figures

Graphical abstract

23 pages, 3816 KB  
Article
Untargeted Metabolome Analysis of Alcohol-Exposed Pregnancies Reveals Metabolite Differences That Are Associated with Infant Birth Outcomes
by Julie M. Hasken, Marlene M. de Vries, Anna-Susan Marais, Philip A. May, Charles D. H. Parry, Soraya Seedat, Sandra M. Mooney and Susan M. Smith
Nutrients 2022, 14(24), 5367; https://doi.org/10.3390/nu14245367 - 17 Dec 2022
Cited by 3 | Viewed by 2927
Abstract
Prenatal alcohol exposure can produce offspring growth deficits and is a leading cause of neurodevelopmental disability. We used untargeted metabolomics to generate mechanistic insight into how alcohol impairs fetal development. In the Western Cape Province of South Africa, 52 women between gestational weeks [...] Read more.
Prenatal alcohol exposure can produce offspring growth deficits and is a leading cause of neurodevelopmental disability. We used untargeted metabolomics to generate mechanistic insight into how alcohol impairs fetal development. In the Western Cape Province of South Africa, 52 women between gestational weeks 5–36 (mean 18.5 ± 6.5) were recruited, and they provided a finger-prick fasting bloodspot that underwent mass spectrometry. Metabolomic data were analyzed using partial least squares-discriminant analyses (PLS-DA) to identify metabolites that correlated with alcohol exposure and infant birth outcomes. Women who consumed alcohol in the past seven days were distinguished by a metabolite profile that included reduced sphingomyelins, cholesterol, and pregnenolones, and elevated fatty acids, acyl and amino acyl carnitines, and androsterones. Using PLS-DA, 25 of the top 30 metabolites differentiating maternal groups were reduced by alcohol with medium-chain free fatty acids and oxidized sugar derivatives having the greatest influence. A separate ortho-PLS-DA analysis identified a common set of 13 metabolites that were associated with infant length, weight, and head circumference. These included monoacylglycerols, glycerol-3-phosphate, and unidentified metabolites, and most of their associations were negative, implying they represent processes having adverse consequences for fetal development. Full article
Show Figures

Figure 1

12 pages, 2577 KB  
Article
Phosphatidic Acid Accumulates at Areas of Curvature in Tubulated Lipid Bilayers and Liposomes
by Broderick L. Bills and Michelle K. Knowles
Biomolecules 2022, 12(11), 1707; https://doi.org/10.3390/biom12111707 - 17 Nov 2022
Cited by 12 | Viewed by 3287
Abstract
Phosphatidic acid (PA) is a signaling lipid that is produced enzymatically from phosphatidylcholine (PC), lysophosphatidic acid, or diacylglycerol. Compared to PC, PA lacks a choline moiety on the headgroup, making the headgroup smaller than that of PC and PA, and PA has a [...] Read more.
Phosphatidic acid (PA) is a signaling lipid that is produced enzymatically from phosphatidylcholine (PC), lysophosphatidic acid, or diacylglycerol. Compared to PC, PA lacks a choline moiety on the headgroup, making the headgroup smaller than that of PC and PA, and PA has a net negative charge. Unlike the cylindrical geometry of PC, PA, with its small headgroup relative to the two fatty acid tails, is proposed to support negatively curved membranes. Thus, PA is thought to play a role in a variety of biological processes that involve bending membranes, such as the formation of intraluminal vesicles in multivesicular bodies and membrane fusion. Using supported tubulated lipid bilayers (STuBs), the extent to which PA localizes to curved membranes was determined. STuBs were created via liposome deposition with varying concentrations of NaCl (500 mM to 1 M) on glass to form supported bilayers with connected tubules. The location of fluorescently labeled lipids relative to tubules was determined by imaging with total internal reflection or confocal fluorescence microscopy. The accumulation of various forms of PA (with acyl chains of 16:0-6:0, 16:0-12:0, 18:1-12:0) were compared to PC and the headgroup labeled phosphatidylethanolamine (PE), a lipid that has been shown to accumulate at regions of curvature. PA and PE accumulated more at tubules and led to the formation of more tubules than PC. Using large unilamellar liposomes in a dye-quenching assay, the location of the headgroup labeled PE was determined to be mostly on the outer, positively curved leaflet, whereas the tail labeled PA was located more on the inner, negatively curved leaflet. This study demonstrates that PA localizes to regions of negative curvature in liposomes and supports the formation of curved, tubulated membranes. This is one way that PA could be involved with curvature formation during a variety of cell processes. Full article
(This article belongs to the Special Issue Recent Developments in Biophysical Studies of Cell Membranes)
Show Figures

Graphical abstract

16 pages, 2987 KB  
Article
The Influence of Cationic Nitrosyl Iron Complex with Penicillamine Ligands on Model Membranes, Membrane-Bound Enzymes and Lipid Peroxidation
by Darya A. Poletaeva, Yuliya V. Soldatova, Anastasiya V. Smolina, Maxim A. Savushkin, Elena N. Klimanova, Nataliya A. Sanina and Irina I. Faingold
Membranes 2022, 12(11), 1088; https://doi.org/10.3390/membranes12111088 - 2 Nov 2022
Cited by 4 | Viewed by 2143
Abstract
This paper shows the biological effects of cationic binuclear tetranitrosyl iron complex with penicillamine ligands (TNIC–PA). Interaction with a model membrane was assessed using a fluorescent probes technique. Antioxidant activity was studied using a thiobarbituric acid reactive species assay (TBARS) and a chemiluminescence [...] Read more.
This paper shows the biological effects of cationic binuclear tetranitrosyl iron complex with penicillamine ligands (TNIC–PA). Interaction with a model membrane was assessed using a fluorescent probes technique. Antioxidant activity was studied using a thiobarbituric acid reactive species assay (TBARS) and a chemiluminescence assay. The catalytic activity of monoamine oxidase (MAO) was determined by measuring liberation of ammonia. Antiglycation activity was determined fluometrically by thermal glycation of albumine by D-glucose. The higher values of Stern–Volmer constants (KSV) obtained for the pyrene located in hydrophobic regions (3.9 × 104 M−1) compared to KSV obtained for eosin Y located in the polar headgroup region (0.9 × 104 M−1) confirms that TNIC–PA molecules prefer to be located in the hydrophobic acyl chain region, close to the glycerol group of lipid molecules. TNIC–PA effectively inhibited the process of spontaneous lipid peroxidation, due to additive contributions from releasing NO and penicillamine ligand (IC50 = 21.4 µM) and quenched luminol chemiluminescence (IC50 = 3.6 μM). High activity of TNIC–PA in both tests allows us to assume a significant role of its radical-scavenging activity in the realization of antioxidant activity. It was shown that TNIC–PA (50–1000 μM) selectively inhibits the membrane-bound enzyme MAO-A, a major source of ROS in the heart. In addition, TNIC–PA is an effective inhibitor of non-enzymatic protein glycation. Thus, the evaluated biological effects of TNIC–PA open up the possibility of its practical application in chemotherapy for socially significant diseases, especially cardiovascular diseases. Full article
(This article belongs to the Special Issue Analytical Sciences of/with Bio(mimetic) Membranes (Volume II))
Show Figures

Figure 1

16 pages, 6336 KB  
Article
Identification of New L-Heptanoylphosphatidyl Inositol Pentakisphosphate Derivatives Targeting the Interaction with HIV-1 Gag by Molecular Modelling Studies
by Halilibrahim Ciftci, Belgin Sever, Esra Ayan, Mustafa Can, Hasan DeMirci, Masami Otsuka, Amaç Fatih TuYuN, Hiroshi Tateishi and Mikako Fujita
Pharmaceuticals 2022, 15(10), 1255; https://doi.org/10.3390/ph15101255 - 12 Oct 2022
Cited by 9 | Viewed by 2810
Abstract
The HIV-1 Gag protein binds to the host cell membrane and assembles into immature particles. Then, in the course of immature virion budding, activated protease cleaves Gag into its main components: MA, CA, NC, and p6 proteins. The highly basic residues of MA [...] Read more.
The HIV-1 Gag protein binds to the host cell membrane and assembles into immature particles. Then, in the course of immature virion budding, activated protease cleaves Gag into its main components: MA, CA, NC, and p6 proteins. The highly basic residues of MA predominantly interact with the acidic head of phosphatidyl-inositol-4,5-bisphosphate (PI(4,5)P2) inserted into the membrane. Our research group developed L-Heptanoylphosphatidyl Inositol Pentakisphosphate (L-HIPPO) and previously confirmed that this compound bound to the MA more strongly than PI(4,5)P2 and inositol hexakisphosphate (IP6) did. Therefore, herein we rationally designed eight new L-HIPPO derivatives based on the fact that the most changeable parts of L-HIPPO were two acyl chains. After that, we employed molecular docking for eight compounds via Maestro software using high-resolution crystal structures of MA in complex with IP6 (PDB IDs: 7E1I, 7E1J, and 7E1K), which were recently elucidated by our research group. The most promising docking scores were obtained with benzene-inserted compounds. Thus, we generated a library containing 213 new aromatic group-inserted L-HIPPO derivatives and performed the same molecular docking procedure. According to the results, we determined the nine new L-HIPPO derivatives most effectively binding to the MA with the most favorable scoring functions and pharmacokinetic properties for further exploration. Full article
(This article belongs to the Section Medicinal Chemistry)
Show Figures

Figure 1

Back to TopTop