Sign in to use this feature.

Years

Between: -

Subjects

remove_circle_outline
remove_circle_outline
remove_circle_outline
remove_circle_outline
remove_circle_outline
remove_circle_outline
remove_circle_outline
remove_circle_outline
remove_circle_outline

Journals

remove_circle_outline
remove_circle_outline
remove_circle_outline
remove_circle_outline
remove_circle_outline
remove_circle_outline
remove_circle_outline
remove_circle_outline
remove_circle_outline
remove_circle_outline
remove_circle_outline
remove_circle_outline
remove_circle_outline
remove_circle_outline
remove_circle_outline

Article Types

Countries / Regions

remove_circle_outline
remove_circle_outline
remove_circle_outline
remove_circle_outline
remove_circle_outline
remove_circle_outline
remove_circle_outline

Search Results (4,366)

Search Parameters:
Keywords = grid challenges

Order results
Result details
Results per page
Select all
Export citation of selected articles as:
18 pages, 2172 KB  
Article
A Prediction Method for the Surface Arc Inception Voltage of Epoxy Resin Based on an Electric Field Feature Set and GS-SVR
by Yihong Lin, Dengfeng Wei, Zhiwen Zhang, Zhaoping Ye, Wenhua Huang and Shengwen Shu
Energies 2025, 18(22), 5936; https://doi.org/10.3390/en18225936 - 11 Nov 2025
Abstract
To address the critical challenges posed by the complex coastal climate on the external insulation of electrical equipment, research into the prediction of the surface arc inception voltage of epoxy resin under multiple conditions is of great significance for preventing failures and guiding [...] Read more.
To address the critical challenges posed by the complex coastal climate on the external insulation of electrical equipment, research into the prediction of the surface arc inception voltage of epoxy resin under multiple conditions is of great significance for preventing failures and guiding operations and maintenance. In this regard, we propose a prediction method for surface arc inception voltage based on grid search-optimized support vector regression (GS-SVR). Using a 21-dimensional electric field feature set along the shortest inter-electrode path as model input, high-accuracy prediction of surface arc inception voltage under complex conditions is achieved. The results demonstrate that the model accurately predicts surface arc inception voltage with limited samples, achieving a mean absolute percentage error (MAPE) of 6.24%. Furthermore, the non-uniform coefficient-based dataset partitioning method improves prediction accuracy compared to random partitioning, with the lowest MAPE of only 2.39%. The findings provide theoretical and technical support for improving the anti-pollution flashover and anti-condensation performance of epoxy resin insulating materials. Full article
(This article belongs to the Special Issue Advanced Control and Monitoring of High Voltage Power Systems)
Show Figures

Figure 1

20 pages, 2779 KB  
Article
Development and Analysis of an Integrated Optimization Model for Variable Renewable Energy and Vehicle-to-Grid in Remote Islands: A Case Study of Tanegashima, Japan
by Kazuki Igarashi, Hideaki Kurishima and Yutaro Shimada
Energies 2025, 18(22), 5933; https://doi.org/10.3390/en18225933 - 11 Nov 2025
Abstract
Remote island regions often depend on isolated power grids dominated by small-scale thermal power plants. Decarbonizing these systems is challenging due to limited interconnection capacity and variable renewable output, highlighting the need for flexible resource balance. This study develops an optimization model that [...] Read more.
Remote island regions often depend on isolated power grids dominated by small-scale thermal power plants. Decarbonizing these systems is challenging due to limited interconnection capacity and variable renewable output, highlighting the need for flexible resource balance. This study develops an optimization model that minimizes system costs and CO2 emissions by integrating variable renewable energy and Vehicle-to-Grid (V2G) while considering the minimum-output constraints of thermal power generation. The model is applied to Tanegashima Island, Japan. The results demonstrate that all optimized scenarios reduced the cost and emissions compared with the baseline. In the cost-minimizing scenario, the total annual cost decreased from 2.81 to 2.46 billion yen, while CO2 emissions decreased from 56.5 to 44.4 kt. In the CO2-minimizing scenario, V2G further reduced emissions to 43.8 kt at a lower cost (2.54 billion yen) than the system without V2G. However, renewable curtailment remained high due to the minimum-output constraint of thermal generators. These findings confirm that while V2G is a cost-effective, distributed flexibility resource, it cannot fully eliminate renewable curtailment under current operational limits. Enhanced coordination, behavioral engagement, and complementary measures—such as relaxing thermal constraints and expanding storage—are required to unlock its full potential in isolated power systems. Full article
Show Figures

Figure 1

24 pages, 19475 KB  
Article
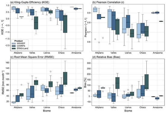
Spatio-Temporal Evaluation of MSWEP, CHIRPS and ERA5-Land Reveals Regional-Specific Responses Across Complex Topography in Bolivia
by Álvaro Salazar, Daniel M. Larrea-Alcázar, Angéline Bertin, Nicolas Gouin, Alejandro Pareja, Luis Morales, Oswaldo Maillard, Diego Ocampo-Melgar and Francisco A. Squeo
Atmosphere 2025, 16(11), 1281; https://doi.org/10.3390/atmos16111281 - 11 Nov 2025
Abstract
Reliable precipitation estimates are critical for climate analysis and ecosystem management in regions with complex topography and limited ground-based observations. Bolivia, where the Andes, inter-Andean valleys, and Amazonian lowlands converge, presents sharp climatic heterogeneity that challenges both satellite retrievals and reanalysis products. This [...] Read more.
Reliable precipitation estimates are critical for climate analysis and ecosystem management in regions with complex topography and limited ground-based observations. Bolivia, where the Andes, inter-Andean valleys, and Amazonian lowlands converge, presents sharp climatic heterogeneity that challenges both satellite retrievals and reanalysis products. This study evaluated three widely used datasets, MSWEP V2.2, CHIRPS V2, and ERA5-Land, against monthly station records from 1980 to 2022 to identify the most reliable precipitation estimations for hydrological and climate applications in five distinct regions. We applied a robust validation framework that integrates continuous and categorical performance metrics into a Combined Accuracy Index (CAI), providing a balanced measure of magnitude and event detection skill. Additionally, we implemented a conservative trend analysis with explicit correction for serial autocorrelation to ensure reliable identification of long-term changes. The results showed that MSWEP V2.2 consistently outperforms CHIRPS V2 and ERA5-Land across most regions, achieving the highest combined skill. In the Altiplano, MSWEP reached a CAI of 0.91, compared to CHIRPS (0.80) AND ERA5-Land (0.68). In the Valles region, MSWEP also led with 0.85, outperforming CHIRPS (0.79) and ERA5-Land (0.51). By contrast, CHIRPS V2 performed better in the Llanos (0.85) relative to MSWEP (0.82) and ERA5-Land (0.79). In the Chaco, MSWEP and CHIRPS performed similarly (0.80 and 0.81, respectively), while ERA5-Land scored 0.70. In the Amazonian lowlands, all three products performed well, with MSWEP ranking first (0.93), followed by ERA5-Land (0.88) and CHIRPS (0.86). ERA5-Land systematically overestimated precipitation across Bolivia, with annual biases above 36 mm month−1. Trend analysis revealed significant precipitation declines, particularly in the Llanos (MSWEP: −0.88 mm year−1; CHIRPS: −1.19 mm year−1; ERA5-Land: −0.90 mm year−1), while changes in the Altiplano, Valles and Amazonia were weaker or nonsignificant. These findings highlight MSWEP V2.2 as the most reliable dataset for Bolivia. The methodological framework proposed here offers a transferable approach to validate gridded products in other data-scarce and environmentally diverse regions. Full article
Show Figures

Figure 1

27 pages, 429 KB  
Article
Dynamic Horizon-Based Energy Management for PEVs Considering Battery Degradation in Grid-Connected Microgrid Applications
by Junyi Zheng, Qian Tao, Qinran Hu and Muhammad Humayun
World Electr. Veh. J. 2025, 16(11), 615; https://doi.org/10.3390/wevj16110615 - 11 Nov 2025
Abstract
The growing integration of plug-in electric vehicles (PEVs) into microgrids presents both challenges and opportunities, particularly through vehicle-to-grid (V2G) services. This paper proposes a dynamic horizon optimization (DHO) framework with adaptive pricing for real-time scheduling of PEVs in a renewable-powered microgrid. The system [...] Read more.
The growing integration of plug-in electric vehicles (PEVs) into microgrids presents both challenges and opportunities, particularly through vehicle-to-grid (V2G) services. This paper proposes a dynamic horizon optimization (DHO) framework with adaptive pricing for real-time scheduling of PEVs in a renewable-powered microgrid. The system integrates solar and wind energy, V2G capabilities, and time-of-use (ToU) tariffs. The DHO strategy dynamically adjusts control horizons based on forecasted load, generation, and electricity prices, while considering battery health. A PEV-specific pricing scheme couples ToU tariffs with system marginal prices. Case studies on a microgrid with four heterogeneous EV charging stations show that the proposed method reduces peak load by 23.5%, lowers charging cost by 12.6%, and increases average final SoC by 12.5%. Additionally, it achieves a 6.2% reduction in carbon emissions and enables V2G revenue while considering battery longevity. Full article
(This article belongs to the Special Issue Smart Charging Strategies for Plug-In Electric Vehicles)
Show Figures

Figure 1

31 pages, 672 KB  
Article
Optimal Planning and Investment Return Analysis of Grid-Side Energy Storage System Addressing Multi-Dimensional Grid Security Requirements
by Tianhan Zhang, Junfei Wu, Jianjun Hong, Hang Zhou, Jianfeng Zheng, Zhenhua Zheng, Chengeng Niu, Zhihai Gao, Lizhuo Peng and Zhenzhi Lin
Appl. Sci. 2025, 15(22), 11944; https://doi.org/10.3390/app152211944 - 10 Nov 2025
Abstract
To address the challenges posed to the secure and reliable operation of the power grid under the “dual-carbon” goals, an optimal planning and investment return analysis method for grid-side energy storage system (GSESS) is proposed, with multi-dimensional grid security requirements being considered. By [...] Read more.
To address the challenges posed to the secure and reliable operation of the power grid under the “dual-carbon” goals, an optimal planning and investment return analysis method for grid-side energy storage system (GSESS) is proposed, with multi-dimensional grid security requirements being considered. By this method, a decision-making framework for the scientific planning of GSESS is provided, through which both technical and economic viability are balanced. Firstly, an evaluation indicator system for GSESS demand is established, in which loading stress, voltage quality, and renewable energy accommodation capacity are comprehensively considered. The candidate sites are then prioritized by a hybrid subjective-objective weighting method combined with the Technique for Order of Preference by Similarity to Ideal Solution (TOPSIS). Subsequently, the top 10% most severe scenarios are identified from historical operational data, and a set of typical extreme scenarios is extracted using an improved K-means clustering algorithm. Based on these scenarios, an optimal capacity planning model incorporating multi-dimensional security constraints is formulated, and the final planning scheme is thereby determined. Furthermore, with the objective of maximizing net revenue from multiple application scenarios, an optimal operational model for GSESS is established. The life-cycle costs and benefits are quantified, and a comprehensive investment return analysis is conducted accordingly. Finally, the proposed methodology is validated through a case study based on the 220 kV substations in QZ City of China. It is demonstrated by the results that through the application of the derived planning scheme, the operational security of the power grid is significantly enhanced, and a promising outlook for investment returns is also exhibited. Full article
Show Figures

Figure 1

27 pages, 3909 KB  
Article
An Online Prediction Method for Transient Frequency Response in New Energy Grids Based on Deep Integration of WAMS Data and Physical Model
by Kailin Yan, Yi Hu, Han Xu, Tao Huang, Yang Long and Tao Wang
Entropy 2025, 27(11), 1145; https://doi.org/10.3390/e27111145 - 10 Nov 2025
Abstract
The integration of a high proportion of renewable energy has significantly reduced the grid inertia level and markedly increased the risk of transient frequency instability in power systems. Meanwhile, the large-scale integration of diverse heterogeneous resources—such as wind power, photovoltaics, energy storage, and [...] Read more.
The integration of a high proportion of renewable energy has significantly reduced the grid inertia level and markedly increased the risk of transient frequency instability in power systems. Meanwhile, the large-scale integration of diverse heterogeneous resources—such as wind power, photovoltaics, energy storage, and high voltage direct current (HVDC) transmission systems—has considerably enriched the portfolio of frequency regulation assets in modern power grids. However, the marked disparities in the dynamic response characteristics and actuation speeds among these resources introduce significant nonlinearity and high-dimensional complexity into the system’s transient frequency behavior. As a result, conventional methods face considerable challenges in achieving accurate and timely prediction of such responses. However, the substantial differences in the frequency regulation characteristics and response speeds of these resources have led to a highly nonlinear and high-dimensional complex transient frequency response process, which is difficult to accurately and rapidly predict using traditional methods. To address this challenge, this paper proposes an online prediction method for transient frequency response that deeply integrates physical principles with data-driven approaches. First, a frequency dynamic response analysis model incorporating the frequency regulation characteristics of multiple resource types is constructed based on the Single-Machine Equivalent (SME) method, which is used to extract key features of the post-fault transient frequency response. Subsequently, information entropy theory is introduced to quantify the informational contribution of each physical feature, enabling the adaptive weighted fusion of physical frequency response features and Wide-Area Measurement System (WAMS) data. Finally, a physics-guided machine learning framework is proposed, in which the weighted physical features and the complete frequency curve predicted by the physical model are jointly embedded into the prediction process. An MLP-GRU-Attention model is designed as the data-driven predictor for frequency response. A physical consistency constraint is incorporated into the loss function to ensure that predictions strictly adhere to physical laws, thereby enhancing the accuracy and reliability of the transient frequency prediction model. Case studies based on the modified IEEE 39-bus system demonstrate that the proposed method significantly outperforms traditional data-driven approaches in terms of prediction accuracy, generalization capability under small-sample conditions, and noise immunity. This provides a new avenue for online frequency security awareness in renewable-integrated power systems with multiple heterogeneous frequency regulation resources. Full article
Show Figures

Figure 1

15 pages, 1810 KB  
Article
Hierarchical Allocation of Grid-Following and Grid-Forming Devices for Oscillation Stability Enhancement in Renewable Energy Plants
by Junchao Ma, Jianing Liu, Zhimin Cui, Yan Peng, Wen Hua and Qianhao Sun
Symmetry 2025, 17(11), 1912; https://doi.org/10.3390/sym17111912 - 8 Nov 2025
Viewed by 138
Abstract
The oscillation stability of renewable energy plants under varying grid strengths can be improved through the optimized allocation of grid-following (GFL) and grid-forming (GFM) power converter devices. However, in practical operation, the wide variations in both the output of renewable energy plants and [...] Read more.
The oscillation stability of renewable energy plants under varying grid strengths can be improved through the optimized allocation of grid-following (GFL) and grid-forming (GFM) power converter devices. However, in practical operation, the wide variations in both the output of renewable energy plants and the strength of the grid present significant challenges in simultaneously ensuring stability, economic efficiency, and robustness. To address this, this paper proposes a two-level optimization method for the allocation of GFL and GFM devices, aiming to enhance oscillation stability in renewable energy plants. The method considers the complementary dynamic behaviors of GFL and GFM strategies, whose complementary dynamic behaviors contribute to balanced and stable operation. The upper-level optimization model accounts for the wide range of variability in renewable plant outputs, with the primary objective and constraint being the assurance of oscillation stability under low short-circuit ratio (SCR) conditions at a minimal cost. Based on the GFM configuration determined by the upper-level model, the lower-level optimization model further evaluates the upper SCR limit within which oscillation stability can still be maintained. This prevents instability that may arise from GFM devices operating under high-SCR conditions. By iteratively solving the upper- and lower-level models, an optimized GFL-GFM allocation strategy is obtained, which ensures oscillation stability across a wide SCR range while balancing cost-effectiveness and practical operability. Case studies are also conducted to validate the method. It is indicated that when SCR = 1.5, configuring 15% of the wind generators in the GFM strategy can ensure stability of the wind plant across typical operating scenarios, while when SCR > 3, switching these generators to the GFL strategy can likewise avoid the oscillation issues. Full article
(This article belongs to the Special Issue Symmetry in Digitalisation of Distribution Power System)
Show Figures

Figure 1

21 pages, 5655 KB  
Article
Optimization of Nitrogen Injection Huff-and-Puff Parameters for Ultra-High-Temperature and Ultra-High-Pressure Fractured-Vuggy Carbonate Condensate Gas Reservoirs in the Shunbei Area
by Ziyi Chen, Jilong Song, Shan Jiang, Ting Lei and Zitong Zhao
Appl. Sci. 2025, 15(22), 11879; https://doi.org/10.3390/app152211879 - 7 Nov 2025
Viewed by 153
Abstract
The Shunbei 42X well group belongs to fractured-vuggy carbonate condensate gas reservoirs. This type of reservoir exhibits extreme heterogeneity, differing significantly from conventional reservoirs and posing considerable challenges for exploitation. Research on fractured-vuggy carbonate condensate gas reservoirs can begin with modeling and numerical [...] Read more.
The Shunbei 42X well group belongs to fractured-vuggy carbonate condensate gas reservoirs. This type of reservoir exhibits extreme heterogeneity, differing significantly from conventional reservoirs and posing considerable challenges for exploitation. Research on fractured-vuggy carbonate condensate gas reservoirs can begin with modeling and numerical simulation. By using historical data fitting to refine parameters such as pressure, production, and reserves, we can deepen our understanding of the reservoir and the movement patterns of water and oil. Combined with a geological and reservoir engineering analysis of residual oil distribution, this approach enables the evaluation of steady-state production technology feasibility. This study employs numerical simulation to conduct single-well injection production modeling for well SHB42X. First, a numerical model was created in simulation software, defining parameters such as grid spatial location and reservoir temperature. Second, the numerical model was established, and historical production dynamics were fitted using the software’s PVT module. Finally, after successful fitting, subsequent production parameters were set. By summarizing previous studies on gas injection huff-and-puff mechanisms and analyzing changes in parameters like recovery rates after actual injection, the simulation results for natural gas, nitrogen, water, and depleted reservoir development were compared. Further comparisons are made on the throughput effects of nitrogen under varying injection rates, production rates, injection volumes, and well-killing durations. Optimal parameters are selected to provide reference for enhancing subsequent development efficiency. Full article
Show Figures

Figure 1

27 pages, 1255 KB  
Article
CMTA: Infrared Detection Model for Power Facility Components via Multi-Angle Perception and Transattn Fusion
by Zhongyuan Fan, Lufeng Yuan, Biyao Wen, Qiang Liu and Gengkun Wu
Symmetry 2025, 17(11), 1909; https://doi.org/10.3390/sym17111909 - 7 Nov 2025
Viewed by 152
Abstract
Infrared detection of defects in power facilities is critical to the safe operation and fault early warning of power grids. However, conventional inspection methods have distinct limitations, such as delayed response and insufficient condition visualization. To address the pain points and technical challenges [...] Read more.
Infrared detection of defects in power facilities is critical to the safe operation and fault early warning of power grids. However, conventional inspection methods have distinct limitations, such as delayed response and insufficient condition visualization. To address the pain points and technical challenges of the aforementioned inspection modes, this study proposes a deep learning network model based on multi-angle perception and Transattn feature fusion. This model can effectively improve the defect recognition ability of power facility components in complex scenarios. Firstly, a modified MAPC module is introduced, which enhances the extraction of edge contours of power facility components and detailed infrared thermal textures. Secondly, an innovative Transattn module is proposed to dynamically focus on the core component regions of power facilities. Finally, a feature fusion strategy is used to efficiently integrate the feature maps from each module, outputting component localization results and defect category information. Experimental results based on the infrared detection dataset of power facility components show that compared with classical detection models such as YOLOv10 and DDN, the proposed CMTA model achieves the best performance in all indicators: the highest mAP50 reaches 85.01%, the frame rate (FPS) is 252 frames per second, the parameter count is only 2.8 M, and it significantly shortens the fault response time of operation and maintenance personnel. Full article
Show Figures

Figure 1

27 pages, 1182 KB  
Article
Fairness–Performance Trade-Offs in Active Power Curtailment for Radial Distribution Grids with Battery Energy Storage
by Giorgos Gotzias, Eleni Stai and Symeon Papavassiliou
Energies 2025, 18(22), 5873; https://doi.org/10.3390/en18225873 - 7 Nov 2025
Viewed by 304
Abstract
The increasing integration of decentralized technologies such as photovoltaic (PV) systems and electric vehicles (EVs) poses significant challenges to the reliable operation of radial distribution grids. In this paper, we study Active Power Curtailment (APC), which is a cost-effective method that maintains grid [...] Read more.
The increasing integration of decentralized technologies such as photovoltaic (PV) systems and electric vehicles (EVs) poses significant challenges to the reliable operation of radial distribution grids. In this paper, we study Active Power Curtailment (APC), which is a cost-effective method that maintains grid safety by temporarily reducing power injections. However, APC can place disproportional curtailment burden on grid buses that may in fact undermine the continuous adoption of PVs and EVs. In this work, we propose different novel APC methods that incorporate fairness properties for radial grids with PVs, EVs, and battery energy storage systems (BESSs). In addition, we integrate BESSs and show their benefits in lowering APC levels and achieving better PV and EV utilization while enhancing fairness. The proposed APC designs allow for fast decision making and can be generalized to unseen grids. To do so, a two-step solution is adopted, where in the first step, a reinforcement learning (RL)-based agent determines uniform per-feeder APC and BESS actions, and in the second step, heuristic controllers disaggregate these actions into tailored per-bus decisions while incorporating fairness features. Through simulations, the controllers are shown to mitigate over 99% of constraint violations and significantly enhance fairness in curtailment distribution. BESSs are shown to improve the violations count and APC trade-off, leaning towards reduced APC percentages. Finally, we exemplify how the solution generalizes effectively to unseen grid configurations. Full article
Show Figures

Figure 1

30 pages, 27621 KB  
Article
A Robust Corroded Metal Fitting Detection Approach for UAV Intelligent Inspection with Knowledge-Distilled Lightweight YOLO Model
by Yangyang Tian, Weijian Zhang, Zhe Li, Junfei Liu and Wentao Mao
Electronics 2025, 14(22), 4362; https://doi.org/10.3390/electronics14224362 - 7 Nov 2025
Viewed by 208
Abstract
Detecting corroded metal fittings in UAV-based transmission line inspections is challenging due to the small object size and environmental interference, causing high false and missed detection rates. To address these, this paper proposes a novel knowledge-distilled lightweight YOLO model, integrating a densely-connected convolutional [...] Read more.
Detecting corroded metal fittings in UAV-based transmission line inspections is challenging due to the small object size and environmental interference, causing high false and missed detection rates. To address these, this paper proposes a novel knowledge-distilled lightweight YOLO model, integrating a densely-connected convolutional network and spatial pixel-aware self-attention mechanism in the teacher model training stage to enhance feature transfer and structured feature utilization for reducing environmental interference, while employing the lightweight MobileNet as the feature extractor in the student model training stage and optimizing candidate box migration via the teacher model’s efficient intersection-over-union non-maximum suppression (EIoU-NMS). This model overcomes the challenges of small-object fitting detection in complex environments, improving fault identification accuracy and reducing manual inspection costs and missed detection risks, while its lightweight design enables rapid deployment and real-time detection on UAV terminals, providing a reliable technical solution for unmanned smart grid operation. Experimental results on actual UAV inspection images demonstrate that the model significantly enhances detection accuracy, reduces false and missed detections, and achieves faster speeds with substantially fewer parameters, highlighting its outstanding effectiveness and practicality in power system maintenance scenarios. Full article
(This article belongs to the Special Issue Advances in Data-Driven Artificial Intelligence)
Show Figures

Figure 1

39 pages, 2886 KB  
Review
Sand-Based Thermal Storage System for Human-Powered Energy Generation: A Review
by Qirui Ding, Lili Zeng, Ying Zeng, Changhui Song, Liang Lei and Weicheng Cui
Energies 2025, 18(22), 5869; https://doi.org/10.3390/en18225869 - 7 Nov 2025
Viewed by 233
Abstract
Sand-based thermal energy storage systems represent a paradigm shift in sustainable energy solutions, leveraging Earth’s most abundant mineral resource through advanced nanocomposite engineering. This review examines sand-based phase change materials (PCM) systems with emphasis on integration with human-powered energy generation (HPEG). Silicon-based hierarchical [...] Read more.
Sand-based thermal energy storage systems represent a paradigm shift in sustainable energy solutions, leveraging Earth’s most abundant mineral resource through advanced nanocomposite engineering. This review examines sand-based phase change materials (PCM) systems with emphasis on integration with human-powered energy generation (HPEG). Silicon-based hierarchical pore structures provide multiscale thermal conduction pathways while achieving PCM loading capacities exceeding 90%. Carbon-based nanomaterial doping enhances thermal conductivity by up to 269%, reaching 3.1 W/m·K while maintaining phase change enthalpies above 130 J/g. This demonstrated cycling stability exceeds 1000 thermal cycles with <8% capacity degradation. Thermal energy storage costs reach ~$20 kWh−1—60% lower than lithium-ion systems when normalized by usable heat capacity. Integration with triboelectric nanogenerators achieves 55% peak mechanical-to-electrical conversion efficiency for direct pathways, while thermal-buffered systems provide 8–12% end-to-end efficiency with temporal decoupling between intermittent human power input and stable electrical output. Miniaturized systems target off-grid communities, offering 5–10× cost advantages over conventional batteries for resource-constrained deployments. Levelized storage costs remain competitive despite efficiency penalties versus lithium-ion alternatives. Critical challenges, including thermal cycling degradation, energy-power density trade-offs, and environmental adaptability, are systematically analyzed. Future directions explore biomimetic multi-level pore designs, intelligent responsive systems, and distributed microgrid implementations. Full article
Show Figures

Figure 1

20 pages, 6802 KB  
Article
Deep Learning for Predicting Late-Onset Breast Cancer Metastasis: The Single-Hyperparameter Grid Search (SHGS) Strategy for Meta-Tuning a Deep Feed-Forward Neural Network
by Yijun Zhou, Om Arora-Jain and Xia Jiang
Bioengineering 2025, 12(11), 1214; https://doi.org/10.3390/bioengineering12111214 - 7 Nov 2025
Cited by 1 | Viewed by 192
Abstract
Background: While machine learning has advanced in medicine, its widespread use in clinical applications, especially in predicting breast cancer metastasis, is still limited. We have been dedicated to constructing a deep feed-forward neural network (DFNN) model to predict breast cancer metastasis n [...] Read more.
Background: While machine learning has advanced in medicine, its widespread use in clinical applications, especially in predicting breast cancer metastasis, is still limited. We have been dedicated to constructing a deep feed-forward neural network (DFNN) model to predict breast cancer metastasis n years in advance. However, the challenge lies in efficiently identifying optimal hyperparameter values through grid search, given the constraints of time and resources. Issues such as the infinite possibilities for continuous hyperparameters like L1 and L2, as well as the time-consuming and costly process, further complicate the task. Methods: To address these challenges, we developed the Single-Hyperparameter Grid Search (SHGS) strategy, serving as a preselection method before grid search. Our experiments with SHGS applied to DFNN models for breast cancer metastasis prediction focused on analyzing eight target hyperparameters (epochs, batch size, dropout, L1, L2, learning rate, decay, and momentum). Results: We created three figures, each depicting the experimental results obtained from three LSM-I-10+-year datasets. These figures illustrate the relationship between model performance and the target hyperparameter values. Our experiments achieved maximum test AUC scores of 0.770, 0.762, and 0.886 for the 10-year, 12-year, and 15-year datasets, respectively. For each hyperparameter, we analyzed whether changes in this hyperparameter would affect model performance, examined whether there were specific patterns, and explored how to choose values for the hyperparameter. Conclusions: Our experimental findings reveal that the optimal value of a hyperparameter is not only dependent on the dataset but is also significantly influenced by the settings of other hyperparameters. Additionally, our experiments suggest a reduced range of values for a target hyperparameter, which may be helpful for “low-budget” grid search. This approach serves as a foundation for the subsequent use of grid search to enhance model performance. Full article
(This article belongs to the Special Issue Application of Artificial Intelligence in Complex Diseases)
Show Figures

Figure 1

23 pages, 3886 KB  
Article
Multi-Step Sky Image Prediction Using Cluster-Specific Convolutional Neural Networks for Solar Forecasting Applications
by Stylianos P. Schizas, Markos A. Kousounadis-Knousen, Francky Catthoor and Pavlos S. Georgilakis
Energies 2025, 18(21), 5860; https://doi.org/10.3390/en18215860 - 6 Nov 2025
Viewed by 166
Abstract
Effective integration of photovoltaic (PV) systems into electric power grids presents significant challenges due to the inherent variability in solar energy. Therefore, accurate PV power forecasting in various timescales is critical for the reliable operation of modern electric power systems. For short-term horizons, [...] Read more.
Effective integration of photovoltaic (PV) systems into electric power grids presents significant challenges due to the inherent variability in solar energy. Therefore, accurate PV power forecasting in various timescales is critical for the reliable operation of modern electric power systems. For short-term horizons, the primary source of solar power stochasticity is cloud movement and deformation, which are typically captured at high spatiotemporal resolutions using ground-based sky images. In this paper, we propose a novel multi-step sky image prediction framework for improved cloud tracking, which can be deployed for short-term PV power forecasting. The proposed method is based on deep learning, but instead of being purely data-driven, we propose a hybrid approach where we combine Auto-Encoder-like Convolutional Neural Networks (AE-like CNNs) with physics-informed sky image clustering to enhance robustness towards fast-varying sky conditions and effectively model non-linearities without adding to the computational overhead. The proposed method is compared against several state-of-the-art approaches using a real-world case study comprising minutely sky images. The experimental results show improvements of up to 17.97% on structural similarity and 62.14% on mean squared error, compared to persistence. These findings demonstrate that by combining effective physics-informed preprocessing with deep learning, multi-step ahead sky image forecasting can be reliably achieved even at low temporal resolutions. Full article
(This article belongs to the Special Issue Challenges and Progresses of Electric Power Systems)
Show Figures

Figure 1

34 pages, 7065 KB  
Article
Metaheuristic-Based Control Parameter Optimization of DFIG-Based Wind Energy Conversion Systems Using the Opposition-Based Search Optimization Algorithm
by Kavita Behara and Ramesh Kumar Behara
Energies 2025, 18(21), 5843; https://doi.org/10.3390/en18215843 - 5 Nov 2025
Viewed by 235
Abstract
Renewable wind energy systems widely employ doubly fed induction generators (DFIGs), where efficient converter control ensures grid-integrated power system stability and reliability. Conventional proportional–integral (PI) controller tuning methods often encounter challenges with nonlinear dynamics and parameter variations, resulting in reduced adaptability and efficiency. [...] Read more.
Renewable wind energy systems widely employ doubly fed induction generators (DFIGs), where efficient converter control ensures grid-integrated power system stability and reliability. Conventional proportional–integral (PI) controller tuning methods often encounter challenges with nonlinear dynamics and parameter variations, resulting in reduced adaptability and efficiency. To address this, we present an owl search optimization (OSO)-based tuning strategy for PI controllers in DFIG back-to-back converters. Inspired by the hunting behavior of owls, OSO provides robust global search capabilities and resilience against premature convergence. The proposed method is evaluated in MATLAB/Simulink and benchmarked against particle swarm optimization (PSO), genetic algorithm (GA), and simulated annealing (SA) under step wind variations, turbulence, and grid disturbances. Simulation results demonstrate that OSO achieves superior performance, with 96.4% efficiency, reduced power losses (~40 kW), faster convergence (<400 ms), shorter settling time (<345 ms), and minimal oscillations (0.002). These findings establish OSO as a robust and efficient optimization approach for DFIG-based wind energy systems, delivering enhanced dynamic response and improved grid stability. Full article
Show Figures

Figure 1

Back to TopTop