Sign in to use this feature.

Years

Between: -

Subjects

remove_circle_outline
remove_circle_outline
remove_circle_outline
remove_circle_outline
remove_circle_outline
remove_circle_outline
remove_circle_outline
remove_circle_outline
remove_circle_outline

Journals

remove_circle_outline
remove_circle_outline
remove_circle_outline
remove_circle_outline
remove_circle_outline
remove_circle_outline

Article Types

Countries / Regions

remove_circle_outline
remove_circle_outline
remove_circle_outline

Search Results (519)

Search Parameters:
Keywords = grain distribution efficiency

Order results
Result details
Results per page
Select all
Export citation of selected articles as:
12 pages, 1938 KB  
Article
Response of Summer Foxtail Millet Yield and Water Productivity to Water Supply in the North China Plain
by Wenying Zhang, Bianyin Wang, Binhui Liu, Zhaoyang Chen, Guanli Lu, Caihong Bai and Yaoxiang Ge
Agronomy 2025, 15(11), 2468; https://doi.org/10.3390/agronomy15112468 (registering DOI) - 23 Oct 2025
Abstract
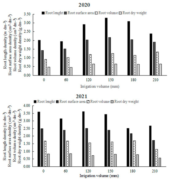
Summer foxtail millet (Setaria italica L.) is a crucial crop in the arid and semi-arid regions of the North China Plain. Therefore, adopting effective irrigation management strategies is essential for conserving water resources while sustaining millet production in these water-limited areas. A [...] Read more.
Summer foxtail millet (Setaria italica L.) is a crucial crop in the arid and semi-arid regions of the North China Plain. Therefore, adopting effective irrigation management strategies is essential for conserving water resources while sustaining millet production in these water-limited areas. A two-year field experiment was conducted in Hengshui in 2020 and 2021 to determine the optimal irrigation amount for foxtail millet and evaluate the critical role of root distribution across various soil depths in determining yield and water productivity. Grain yield, yield-related traits, water use efficiency, and root traits were measured under six irrigation regimes (I0, I1, I2, I3, I4, and I5). Grain yield significantly increased with irrigation, but no further significant yield improvement was observed between the I3 and I5 treatments. The highest water productivity was observed under I3 in 2020 and I2 in 2021. Biomass, thousand grain weight, abortive grain rate, panicle dry weight, and water use efficiency under I3 were similar to those under I4 and I5 treatments. Root traits, including total root length, surface area, volume, and dry weight, did not significantly differ between I3, I4, and I5. Grey relational analysis indicated that total water content in the shallow soil layer (0–40 cm) had the greatest impact on yield. Overall, the I3 treatment (150 mm) is recommended as the optimal irrigation amount for increasing foxtail millet production and water use efficiency. Full article
(This article belongs to the Section Water Use and Irrigation)
Show Figures

Figure 1

19 pages, 574 KB  
Article
Transforming Rural Livelihoods Through Land Consolidation: Evidence from China’s High-Standard Farmland Construction Policy
by Xiaoyan Han, Shuqing Cao, Jiahui Xiao, Jie Lyu and Guanqiu Yin
Agriculture 2025, 15(21), 2202; https://doi.org/10.3390/agriculture15212202 (registering DOI) - 23 Oct 2025
Abstract
Rural livelihood transformation is increasingly vital for achieving agricultural modernization, reducing poverty, and promoting sustainable development in developing countries. Despite growing attention to land consolidation as a tool for improving agricultural resource allocation and productivity, its role in shaping rural livelihoods remains insufficiently [...] Read more.
Rural livelihood transformation is increasingly vital for achieving agricultural modernization, reducing poverty, and promoting sustainable development in developing countries. Despite growing attention to land consolidation as a tool for improving agricultural resource allocation and productivity, its role in shaping rural livelihoods remains insufficiently understood. Addressing this gap, this study investigates the impacts of China’s High-Standard Farmland Construction (HFC), the country’s flagship land consolidation policy, on farmers’ livelihoods, focusing on both income level and income structure. Using provincial panel data from 30 regions, we adopt a continuous difference-in-differences design and mediation effect model to identify the causal effects of HFC. The results indicate that HFC significantly promotes total household income. Specifically, HFC facilitates mechanized agricultural production by consolidating fragmented plots, reducing production costs, and improving crop yields, thereby increasing agricultural income. Simultaneously, mechanization substitutes for labor and releases surplus workers, who often move to off-farm employment, diversifying income sources and stabilizing household livelihoods. Heterogeneity analysis reveals that the benefits of HFC are unevenly distributed. Low-income households, central provinces, and major grain-producing areas experience the greatest gains, and moderate-scale implementation proves more effective than either small- or excessively large-scale projects. This study highlights mechanization as a key mechanism linking land consolidation to rural livelihood transformation. The findings demonstrate that well-planned and efficiently implemented HFC policies can not only enhance agricultural productivity but also foster diversified and inclusive rural livelihoods. Full article
(This article belongs to the Section Agricultural Economics, Policies and Rural Management)
Show Figures

Figure 1

20 pages, 9419 KB  
Article
Role of Internal Cyclic Heat Treatment on Regulating Microstructure and Mechanical Properties of Laser Melting-Deposited Ti2AlNb Alloy
by Chunyan Zhang, Lulu Li, Yupin Lv, Yukun Pan, Zhenghua Hao and Qianying Guo
Crystals 2025, 15(11), 910; https://doi.org/10.3390/cryst15110910 - 22 Oct 2025
Abstract
Laser melting deposition (LMD), one of the novel powder-to-powder welding technologies, has emerged as an ideal method for fabricating lightweight high-temperature Ti2AlNb alloy. However, the high thermal gradients and heat accumulation during the LMD process typically promote grain growth along the [...] Read more.
Laser melting deposition (LMD), one of the novel powder-to-powder welding technologies, has emerged as an ideal method for fabricating lightweight high-temperature Ti2AlNb alloy. However, the high thermal gradients and heat accumulation during the LMD process typically promote grain growth along the deposition direction, resulting in coarse columnar grains and high internal residual stress. This study investigates the influence of prolonged aging treatment and internal cyclic heat on the microstructure and mechanical properties of Ti2AlNb alloys. Both long-term aging and internal cyclic heat induce the columnar-to-equiaxed grain morphology transition. A 48 h aging heat treatment at 750 °C facilitates the formation of a B2 + O dual-phase lamellar structure, leading to a significant improvement in room-temperature strength. Internal cyclic heat effectively reduces the cooling rate, eliminates internal stress, and suppresses the precipitation of the brittle and detrimental α2 phase. This results in a more homogeneous distribution of O-phase laths, raising the room-temperature tensile strength from 938 MPa to 1215 MPa and achieving a high-temperature strength of 1116 MPa at 650 °C. These improvements demonstrate a synergistic enhancement in both room- and high-temperature strength and ductility, which provides an efficient strategy for in situ regulation of the microstructure and mechanical properties of laser-deposited Ti2AlNb alloys. Full article
(This article belongs to the Special Issue Fatigue and Fracture of Welded Structures)
Show Figures

Figure 1

23 pages, 3909 KB  
Article
Tuning of Photocatalytic and Piezophotocatalytic Activity of Bi3TiNbO9 via Synthesis-Controlled Surface Defect Engineering
by Farid F. Orudzhev, Asiyat G. Magomedova, Sergei A. Kurnosenko, Vladislav E. Beklemyshev, Wei Li, Chuanyi Wang and Irina A. Zvereva
Molecules 2025, 30(20), 4136; https://doi.org/10.3390/molecules30204136 - 20 Oct 2025
Viewed by 114
Abstract
In this work, we investigate advanced photocatalyst Bi3TiNbO9 as promising piezophotocatalyst in terms of the effect of synthesis methods on the surface chemistry, structure, and catalytic performance in process of contaminant removal. Samples were prepared via solid-state reaction (BTNO-900) and [...] Read more.
In this work, we investigate advanced photocatalyst Bi3TiNbO9 as promising piezophotocatalyst in terms of the effect of synthesis methods on the surface chemistry, structure, and catalytic performance in process of contaminant removal. Samples were prepared via solid-state reaction (BTNO-900) and molten salt synthesis (BTNO-800), leading to distinct morphologies and defect distributions. SEM imaging revealed that BTNO-900 consists of agglomerated, irregular particles, while BTNO-800 exhibits well-faceted, plate-like grains. Nitrogen adsorption analysis showed that the molten-synthesized sample possesses a significantly higher specific surface area (5.9 m2/g vs. 1.4 m2/g) and slightly larger average pore diameter (2.8 nm vs. 2.6 nm). High-resolution XPS revealed systematic shifts in binding energies for Bi 4f, Ti 2p, Nb 3d, and O 1s peaks in BTNO-900, accompanied by a higher content of adsorbed oxygen species (57% vs. 7.2%), indicating an increased concentration of oxygen vacancies and surface hydroxylation due to the solid-state synthesis route. Catalytic testing demonstrated that BTNO exhibits enhanced piezocatalytic efficiency of Methylene Blue degradation (~78% for both samples), whereas BTNO-800 shows significantly reduced photocatalytic activity (45.6%) compared to BTNO-900 (84.1%), suggesting recombination effects dominate in the more defective material. Synergism of light and mechanical stress results in piezophotocatalytic degradation for both samples (92.4% and 93.4%, relatively). These findings confirm that synthesis-controlled defect engineering is a key parameter for optimizing the photocatalytic behavior of Bi3TiNbO9-based layered oxides and crucial role of its piezocatalytic activity. Full article
Show Figures

Graphical abstract

13 pages, 5150 KB  
Article
Novel Al-Ce-C-O-Mg Grain Refiners with Superior Efficiency and Mechanical Properties Enhancement for AZ91 Alloys
by Juan Li, Xinfang Zhang and Wenxue Fan
Materials 2025, 18(20), 4782; https://doi.org/10.3390/ma18204782 - 20 Oct 2025
Viewed by 158
Abstract
Grain refinement represents a critical approach in optimizing the as-cast microstructure of magnesium alloys, playing a pivotal role in the development of high-performance magnesium alloys. In the present research, a novel Al-Ce-C-O-Mg grain refiner was fabricated using an innovative rolling-assisted process, and the [...] Read more.
Grain refinement represents a critical approach in optimizing the as-cast microstructure of magnesium alloys, playing a pivotal role in the development of high-performance magnesium alloys. In the present research, a novel Al-Ce-C-O-Mg grain refiner was fabricated using an innovative rolling-assisted process, and the influence of the grain refiner on the grain size evolution of as-cast AZ91 alloy was systematically examined. The Al-Ce-C-O-Mg grain refiner prepared by the rolling-assisted process contains two types of effective refining particles—MgAl2O4 and Al4C3. These particles can act as potent nucleation sites for α-Mg in the melt, promoting efficient nucleation and achieving significant grain refinement. By adding 1.0 wt.% of the Al-Ce-C-O-Mg grain refiner to the AZ91 alloy, the grain size of the original AZ91 alloy was reduced by 73%. Moreover, adding a refiner facilitated the transformation of the coarse β-Mg17Al12 phase morphologies into a more uniformly distributed and dispersed form. The addition of 1.0 wt.% Al-Ce-C-O-Mg grain refiner to the AZ91 alloy resulted in significant improvements in its mechanical properties. The ultimate tensile strength (UTS), yield strength (YS), and elongation (EL) increased from 158 MPa, 104 MPa, and 3.9% to 203 MPa, 121 MPa, and 6.3%, respectively. The grain refiner developed in this study demonstrates promising potential for application in Mg alloys. Full article
(This article belongs to the Section Metals and Alloys)
Show Figures

Figure 1

23 pages, 29181 KB  
Article
Achieving Simultaneous Enhancement of Strength and Ductility in Aluminum Matrix Composites Reinforced by Dual-Scale Hybrid Reinforcement via Friction Stir Processing
by Zikun Wang, Xianyong Zhu, Chen Wang, Xiong Xiao, Ke Zhang, Cheng Jiang and Jiaan Liu
Materials 2025, 18(20), 4780; https://doi.org/10.3390/ma18204780 - 19 Oct 2025
Viewed by 226
Abstract
Overcoming the strength–ductility trade-off in conventional aluminum matrix composites (AMCs) remains a significant challenge. This study employs dual-scale hybrid reinforcement particles comprising micron-sized Cu and nano-sized Ti, alongside bimodal micro-sized pure Al powders as matrix fillers. The AMCs were fabricated through ball milling [...] Read more.
Overcoming the strength–ductility trade-off in conventional aluminum matrix composites (AMCs) remains a significant challenge. This study employs dual-scale hybrid reinforcement particles comprising micron-sized Cu and nano-sized Ti, alongside bimodal micro-sized pure Al powders as matrix fillers. The AMCs were fabricated through ball milling (BM) combined with multi-pass friction stir processing (FSP). The homogenously distributed hybrid reinforcement particles generate an integrated composite region consisting of both coarse-grained (CG) and fine-grained (FG) structures, demonstrating enhanced material characteristics. The interwoven network of coarse- and fine-crystalline domains constructs a heterogeneous architecture that enables simultaneous improvement in both strength and ductility properties. The micron-Cu acts as a skeletal support within the matrix, enhancing load transfer efficiency and effectively hindering dislocation motion. The nano-Ti and in situ intermetallics facilitate grain refinement via the pinning effect and promote heterogeneous nucleation, which contributes to stress dispersion and dislocation obstruction. The addition of dual-scale micron-sized pure Al powder particles promotes the formation of the heterogeneous architecture, which enhances the balancing of strength and ductility in the composite. Following compositing (Al10-5Cu-10Ti-10Al20), the alloy exhibits an ultimate tensile strength (UST) of 267 MPa, a hardness of 98 HV, and an elongation of 16.7%, representing increases of 193.4%, 226.7%, and 9.9%, respectively, relative to the base metal. Full article
Show Figures

Figure 1

26 pages, 18261 KB  
Article
Fully Autonomous Real-Time Defect Detection for Power Distribution Towers: A Small Target Defect Detection Method Based on YOLOv11n
by Jingtao Zhang, Siwen Chen, Wei Wang and Qi Wang
Sensors 2025, 25(20), 6445; https://doi.org/10.3390/s25206445 - 18 Oct 2025
Viewed by 268
Abstract
Drones offer a promising solution for automating distribution tower inspection, but real-time defect detection remains challenging due to limited computational resources and the small size of critical defects. This paper proposes TDD-YOLO, an optimized model based on YOLOv11n, which enhances small defect detection [...] Read more.
Drones offer a promising solution for automating distribution tower inspection, but real-time defect detection remains challenging due to limited computational resources and the small size of critical defects. This paper proposes TDD-YOLO, an optimized model based on YOLOv11n, which enhances small defect detection through four key improvements: (1) SPD-Conv preserves fine-grained details, (2) CBAM amplifies defect salience, (3) BiFPN enables efficient multi-scale fusion, and (4) a dedicated high-resolution detection head improves localization precision. Evaluated on a custom dataset, TDD-YOLO achieves an mAP@0.5 of 0.873, outperforming the baseline by 3.9%. When deployed on a Jetson Orin Nano at 640 × 640 resolution, the system achieves an average frame rate of 28 FPS, demonstrating its practical viability for real-time autonomous inspection. Full article
(This article belongs to the Section Electronic Sensors)
Show Figures

Figure 1

19 pages, 551 KB  
Review
Compositional Formulations for the Removal and Dissolution of Asphaltene–Resin–Paraffin Deposits in the Near-Wellbore Zone and Tubing Strings
by Nina Lyubchenko, Galina Boiko, Raushan Sarmurzina, Yelena Panova, Bagdaulet Kenzhaliyev and Uzakbay Karabalin
Processes 2025, 13(10), 3328; https://doi.org/10.3390/pr13103328 - 17 Oct 2025
Viewed by 278
Abstract
The concept of heating the near-wellbore zone (NWZ) using activated aluminum alloys offers a novel approach to enhancing oil recovery. This article reviews research on the development of hydrocarbon-based solvent formulations for removing asphaltene–resin–paraffin deposits (ARPD) in the NWZ and restoring well productivity. [...] Read more.
The concept of heating the near-wellbore zone (NWZ) using activated aluminum alloys offers a novel approach to enhancing oil recovery. This article reviews research on the development of hydrocarbon-based solvent formulations for removing asphaltene–resin–paraffin deposits (ARPD) in the NWZ and restoring well productivity. A comprehensive analysis of ARPD composition enabled the selection of solvent systems tailored to specific deposit types. The efficiency of ARPD removal from the NWZ, downhole equipment, and oil gathering systems in heavy and highly viscous Kazakhstani crude oils was evaluated using hydrocarbon solvent blends (e.g., hexane–toluene, gasoline–o-xylene, o-xylene–hexane–1-hexene) with surfactants (polyoxyethylene sorbitan–maleic anhydride esters), atactic polypropylene (APP), and activated aluminum alloys. The developed formulations accelerated ARPD breakdown and reduced energy consumption. It has been established that the optimal concentration of APP (0.5 wt.%) provides up to 100% cleaning efficiency and increases dissolving capacity by 25–30% compared to traditional binary systems. Cleaning efficiency is driven by a thermochemical reaction between water and the aluminum alloy, 2Al + 6H2O → 2Al(OH)3 + 3H2↑ + 17 kJ, which depends on the alloy’s microstructure, grain boundary condition, and additive distribution. The exothermic effect of the reaction leads to the formation of a hot gas–steam–hydrogen mixture, where atomic hydrogen actively breaks down ARPD and increases the reservoir permeability by 2 to 4.5 times. Results show that a composite formulation of hexane–toluene–alloy–H2O2 (46.5:15:0.25:38.25) reduces the treatment time of ARPD-3 from 60 to 10 min while maintaining high efficiency at the level of 98.3%. Full article
(This article belongs to the Section Materials Processes)
Show Figures

Figure 1

20 pages, 4257 KB  
Article
Optimized High-Input Practice Enhances Wheat Productivity and Water Use Efficiency by Improving Root Distribution and Canopy Photosynthesis
by Haicheng Xu, Fei Zhao, Yuhai Tang, Qiqin Xue, Jingmin Zhang, Dianliang Peng and Xinglong Dai
Plants 2025, 14(20), 3176; https://doi.org/10.3390/plants14203176 - 16 Oct 2025
Viewed by 238
Abstract
Integrated agronomic optimization can synergistically enhance crop yields and resource use efficiency. This strategy incorporates suitable sowing date, planting density, and fertilization and irrigation management adapted to the local environment. However, there is a dearth of research on how integrated agronomic optimization practices [...] Read more.
Integrated agronomic optimization can synergistically enhance crop yields and resource use efficiency. This strategy incorporates suitable sowing date, planting density, and fertilization and irrigation management adapted to the local environment. However, there is a dearth of research on how integrated agronomic optimization practices enhance wheat productivity and water use efficiency (WUE) by improving population root distribution and canopy production capacity. Therefore, a two-year field experiment was conducted in the North China Plain. The experiment involved three integrated agronomic practice treatments with four replications: local farmer’s agronomic practice (FP); high-input agronomic practice (HP), which aimed to explore wheat yield potential regardless of resource input costs; and optimized high-input agronomic practice (OP), which was adapted to local conditions to revamp the wheat production system. Compared to FP and HP, OP involved a later sowing date, higher planting density, and lower N fertilizer or irrigation inputs. Results showed that OP significantly improved grain yield, WUE, N fertilizer productivity (NFP), and net profit compared to FP (p < 0.05). Although OP’s yield was 4.25% lower than that of HP, it achieved a 22.99% increase over FP. Compared to HP, OP increased average WUE, NFP, and net profit by 3.08%, 25.68%, and 9.12%, respectively. Over the 2 years, OP promoted deeper roots and higher root length density, which enhanced the uptake of soil water and N. Furthermore, the high transpiration under OP, required for canopy productivity, was sustained by efficient water extraction from deep soil. Additionally, the reduction in unproductive evaporation loss was attributed to increased population density and reduced irrigation. Moreover, OP sustained a higher canopy photosynthetic rate for a longer duration, facilitated by greater post-anthesis N uptake. These improvements in resource acquisition, combined with sustained photosynthetic capacity, ultimately led to more efficient water and N utilization and high grain yield. These indicate that integrated optimization of agronomic practices used under OP can synergistically enhance wheat yield, WUE, and NFP. This was achieved by enlarging and deepening population root distribution while supporting high canopy photosynthesis. Our findings may provide actionable insights into establishing high-yielding, efficient, and profitable wheat production systems in the region. Full article
(This article belongs to the Special Issue Water and Nitrogen Management in the Soil–Crop System (3rd Edition))
Show Figures

Figure 1

17 pages, 8936 KB  
Article
Grain Boundary Engineering of an Additively Manufactured AlSi10Mg Alloy for Advanced Energy Systems: Grain Size Effects on He Bubbles Distribution and Evolution
by Przemysław Snopiński, Marek Barlak, Jerzy Zagórski and Marek Pagač
Energies 2025, 18(20), 5445; https://doi.org/10.3390/en18205445 - 15 Oct 2025
Viewed by 214
Abstract
The development of advanced energy materials is critical for the safety and efficiency of next-generation nuclear energy systems. Aluminum alloys present a compelling option due to their excellent neutronic properties, notably a low thermal neutron absorption cross-section. However, their historically poor high-temperature performance [...] Read more.
The development of advanced energy materials is critical for the safety and efficiency of next-generation nuclear energy systems. Aluminum alloys present a compelling option due to their excellent neutronic properties, notably a low thermal neutron absorption cross-section. However, their historically poor high-temperature performance has limited their use in commercial power reactors. This makes them prime candidates for specialized, lower-temperature but high-radiation environments, such as research reactors, spent fuel storage systems, and spallation neutron sources. In these applications, mitigating radiation damage—particularly swelling and embrittlement from helium produced during irradiation—remains a paramount challenge. Grain Boundary Engineering (GBE) is a potent strategy to mitigate radiation damage by increasing the fraction of low-energy Coincident Site Lattice (CSL) boundaries. These interfaces act as effective sinks for radiation-induced point defects (vacancies and self-interstitials), suppressing their accumulation and subsequent clustering into damaging dislocation loops and voids. By controlling the defect population, GBE can substantially reduce macroscopic effects like volumetric swelling and embrittlement, enhancing material performance in harsh radiation environments. In this article we evaluate the efficacy of GBE in an AlSi10Mg alloy, a candidate material for nuclear applications. Samples were prepared via KOBO extrusion, with a subset undergoing subsequent annealing to produce varied initial grain sizes and grain boundary character distributions. This allows for a direct comparison of how these microstructural features influence the material’s response to helium ion irradiation, which simulates damage from fission and fusion reactions. The resulting post-irradiation defect structures and their interaction with the engineered grain boundary network were characterized using a combination of Transmission Electron Microscopy (TEM) and High-Resolution Transmission Electron Microscopy (HRTEM), providing crucial insights for designing next-generation, radiation-tolerant energy materials. Full article
Show Figures

Figure 1

22 pages, 9295 KB  
Article
FedGTD-UAVs: Federated Transfer Learning with SPD-GCNet for Occlusion-Robust Ground Small-Target Detection in UAV Swarms
by Liang Zhao, Xin Jia and Yuting Cheng
Drones 2025, 9(10), 703; https://doi.org/10.3390/drones9100703 - 12 Oct 2025
Viewed by 350
Abstract
Swarm-based UAV cooperative ground target detection faces critical challenges including sensitivity to small targets, susceptibility to occlusion, and data heterogeneity across distributed platforms. To address these issues, we propose FedGTD-UAVs—a privacy-preserving federated transfer learning (FTL) framework optimized for real-time swarm perception tasks. Our [...] Read more.
Swarm-based UAV cooperative ground target detection faces critical challenges including sensitivity to small targets, susceptibility to occlusion, and data heterogeneity across distributed platforms. To address these issues, we propose FedGTD-UAVs—a privacy-preserving federated transfer learning (FTL) framework optimized for real-time swarm perception tasks. Our solution integrates three key innovations: (1) an FTL paradigm employing centralized pre-training on public datasets followed by federated fine-tuning of sparse parameter subsets—under severe non-Independent and Identically Distributed (non-IID) data distributions, this paradigm ensures data privacy while maintaining over 98% performance; (2) an Space-to-Depth Convolution (SPD-Conv) backbone that replaces lossy downsampling with lossless space-to-depth operations, preserving fine-grained spatial features critical for small targets; (3) a lightweight Global Context Network (GCNet) module leverages contextual reasoning to effectively capture long-range dependencies, thereby enhancing robustness against occluded objects while maintaining real-time inference at 217 FPS. Extensive validation on VisDrone2019 and CARPK benchmarks demonstrates state-of-the-art performance: 44.2% mAP@0.5 (surpassing YOLOv8s by 12.1%) with 3.2× superior accuracy-efficiency trade-off. Compared to traditional centralized learning methods that rely on global data sharing and pose privacy risks, as well as the significant performance degradation of standard federated learning under non-IID data, this framework successfully resolves the core conflict between data privacy protection and detection performance maintenance, providing a secure and efficient solution for real-world deployment in complex dynamic environments. Full article
Show Figures

Figure 1

27 pages, 4295 KB  
Review
Polymer Template Selection for 1D Metal Oxide Gas Sensors: A Review
by Khanyisile Sheryl Nkuna, Teboho Clement Mokhena, Rudolph Erasmus and Katekani Shingange
Processes 2025, 13(10), 3180; https://doi.org/10.3390/pr13103180 - 7 Oct 2025
Viewed by 469
Abstract
The increasing demand for reliable, sensitive, and cost-effective gas sensors drives ongoing research in this field. Ideal gas sensors must demonstrate high sensitivity and selectivity, stability, rapid response and recovery times, energy efficiency, and affordability. One-dimensional (1D) metal oxide semiconductors (MOSs) are prominent [...] Read more.
The increasing demand for reliable, sensitive, and cost-effective gas sensors drives ongoing research in this field. Ideal gas sensors must demonstrate high sensitivity and selectivity, stability, rapid response and recovery times, energy efficiency, and affordability. One-dimensional (1D) metal oxide semiconductors (MOSs) are prominent candidates due to their excellent sensing properties and straightforward fabrication processes. The sensing efficacy of 1D MOSs is heavily dependent on their surface area and porosity, which influence gas interaction and detection efficiency. Polymeric templates serve as effective tools for enhancing these properties by enabling the creation of uniform, porous nanostructures with high surface area, thereby improving gas adsorption, sensitivity, and dynamic response characteristics. This review systematically examines the role of polymeric templates in the construction of 1D MOSs for gas sensing applications. It discusses critical factors influencing polymer template selection and how this choice affects key microstructural parameters, such as grain size, pore distribution, and defect density, essential to sensor performance. The recent literature highlights the mechanisms through which polymer templates facilitate the fine-tuning of nanostructures. Future research directions include exploring novel polymer architectures, developing scalable synthesis methods, and integrating these sensors with emerging technologies. Full article
(This article belongs to the Special Issue Processing and Applications of Polymer Composite Materials)
Show Figures

Figure 1

23 pages, 4086 KB  
Article
Evaluation of Water Resources Carrying Capacity and Analysis of Influencing Factors in China’s Major Grain-Producing Areas Based on Machine Learning
by Kun Cheng, Xingyang Zhang and Nan Sun
Agriculture 2025, 15(19), 2074; https://doi.org/10.3390/agriculture15192074 - 2 Oct 2025
Viewed by 384
Abstract
Evaluating regional water resource carrying capacity (WRCC) helps alleviate regional water supply–demand conflicts. This study constructed a 17-indicator system for evaluating WRCC in Major Grain-Producing Areas (MGPAs) based on the “production–living–ecology” functional perspective. It employed a combined Entropy Weight–Root Mean Square Deviation–CRITIC weighting [...] Read more.
Evaluating regional water resource carrying capacity (WRCC) helps alleviate regional water supply–demand conflicts. This study constructed a 17-indicator system for evaluating WRCC in Major Grain-Producing Areas (MGPAs) based on the “production–living–ecology” functional perspective. It employed a combined Entropy Weight–Root Mean Square Deviation–CRITIC weighting approach with a BP neural network model to conduct a comprehensive assessment of WRCC across 13 MGPAs from 2004 to 2023. The results demonstrated the following: (1) Both MGPAs and the national level exhibit a “ecology dominance–living secondary–production weakness” pattern in functional weighting. (2) WRCC in MGPAs is characterized by agricultural production dominance, basic domestic needs as the core, and localized ecological protection as the focus—significantly differing from the national pattern of industrial-driven, economically interconnected, and trans-regional ecological concerns. (3) Spatiotemporally, WRCC levels across the 13 provinces have consistently increased, with a spatial distribution characterized by “higher in the north, lower in the south.” These findings reveal that water resource management in MGPAs requires strategies distinct from national approaches, emphasizing agricultural water conservation and efficiency alongside localized ecological protection. This provides precise policy tools and scientific decision support for implementing water-based production quotas and coordinating food security with water resource security in these regions. Full article
(This article belongs to the Section Artificial Intelligence and Digital Agriculture)
Show Figures

Figure 1

23 pages, 3488 KB  
Article
Robust Distribution System State Estimation with Physics-Constrained Heterogeneous Graph Embedding and Cross-Modal Attention
by Siyan Liu, Zhuang Tang, Bo Chai and Ziyu Zeng
Processes 2025, 13(10), 3073; https://doi.org/10.3390/pr13103073 - 25 Sep 2025
Viewed by 353
Abstract
Real-time distribution system state estimation is hampered by limited observability, frequent topology changes, and measurement errors. Neural networks can capture the nonlinear characteristics of power-grid operation through a data-driven approach that possesses important theoretical value and is promising for engineering applications. In that [...] Read more.
Real-time distribution system state estimation is hampered by limited observability, frequent topology changes, and measurement errors. Neural networks can capture the nonlinear characteristics of power-grid operation through a data-driven approach that possesses important theoretical value and is promising for engineering applications. In that context, we develop a deep learning framework that leverages General Attributed Multiplex Heterogeneous Network Embedding to explicitly encode the multiplex, heterogeneous structure of distribution networks and to support inductive learning that adapts to dynamic topology. A cross-modal attention mechanism further models fine-grained interactions between input measurements and node/edge attributes, enabling the capture of nonlinear correlations essential for accurate state estimation. To ensure physical feasibility, soft power-flow residuals are incorporated into training as a physics-constrained regularization, guiding predictions toward consistency with grid operation. Extensive studies on IEEE/CIGRE 14-, 70-, and 179-bus systems show that the proposed method surpasses conventional weighted least squares and representative neural baselines in accuracy, convergence speed, and computational efficiency while exhibiting strong robustness to measurement noise and topological uncertainty. Full article
Show Figures

Figure 1

27 pages, 5663 KB  
Article
Spatiotemporal Transcriptome Profiling Reveals Nutrient Transport Dynamics in Rice Nodes and Roots During Reproductive Development
by Wan-Chun Lu, Xiu-Lan Zheng, Yue-Tong Xiao, Zhan-Fei Sun, Zhong Tang, Fang-Jie Zhao and Xin-Yuan Huang
Int. J. Mol. Sci. 2025, 26(19), 9357; https://doi.org/10.3390/ijms26199357 - 25 Sep 2025
Viewed by 360
Abstract
Efficient allocation of mineral nutrients and photoassimilates is essential for grain development in rice. However, the transcriptional programs governing nutrient transport at key reproductive stages remain largely unresolved. Here, we performed a comprehensive transcriptome analysis of rice (Oryza sativa L.) across spatial [...] Read more.
Efficient allocation of mineral nutrients and photoassimilates is essential for grain development in rice. However, the transcriptional programs governing nutrient transport at key reproductive stages remain largely unresolved. Here, we performed a comprehensive transcriptome analysis of rice (Oryza sativa L.) across spatial (nodes, roots, and five other tissues) and temporal (seven reproductive stages) dimensions to elucidate the molecular basis of nutrient transport and allocation. RNA-seq profiling of node I identified stage-specific gene expression patterns, with the grain filling stage marked by strong induction of transporters involved in mineral allocation (e.g., OsYSL2, OsZIP3, OsSULTR3;3, SPDT) and carbohydrate distribution (e.g., OsSWEET13, OsSWEET14, OsMST6). Comparative analysis with the neck-panicle node (NPN) and root revealed tissue-specific regulatory networks, including nitrate (OsNRT1.1A, OsNRT2.3) and phosphate (OsPHT1;4, OsPHO1;3) transporters enriched at the grain filling stage. Root expression of Cd/As-related transporters (OsNRAMP5, OsCd1, OsLsi1, OsLsi2, OsLsi3) during grain filling highlights the contribution of belowground uptake to grain metal accumulation. Together, our study establishes a spatiotemporal atlas of nutrient transporter gene activity during rice reproductive development and identifies candidate genes regulating upward and lateral nutrient allocation. These findings provide insights into improving nutrient use efficiency and reducing toxic metal accumulation in rice grains through targeted manipulation of nodal and root transport systems. Full article
(This article belongs to the Special Issue Plant Physiology and Molecular Nutrition: 2nd Edition)
Show Figures

Figure 1

Back to TopTop