Achieving Simultaneous Enhancement of Strength and Ductility in Aluminum Matrix Composites Reinforced by Dual-Scale Hybrid Reinforcement via Friction Stir Processing
Abstract
1. Introduction
2. Materials and Methods
3. Results
3.1. Morphology and Phase Analysis of the Milled Powders
3.2. Microstructure and Phase Analysis of AMCs
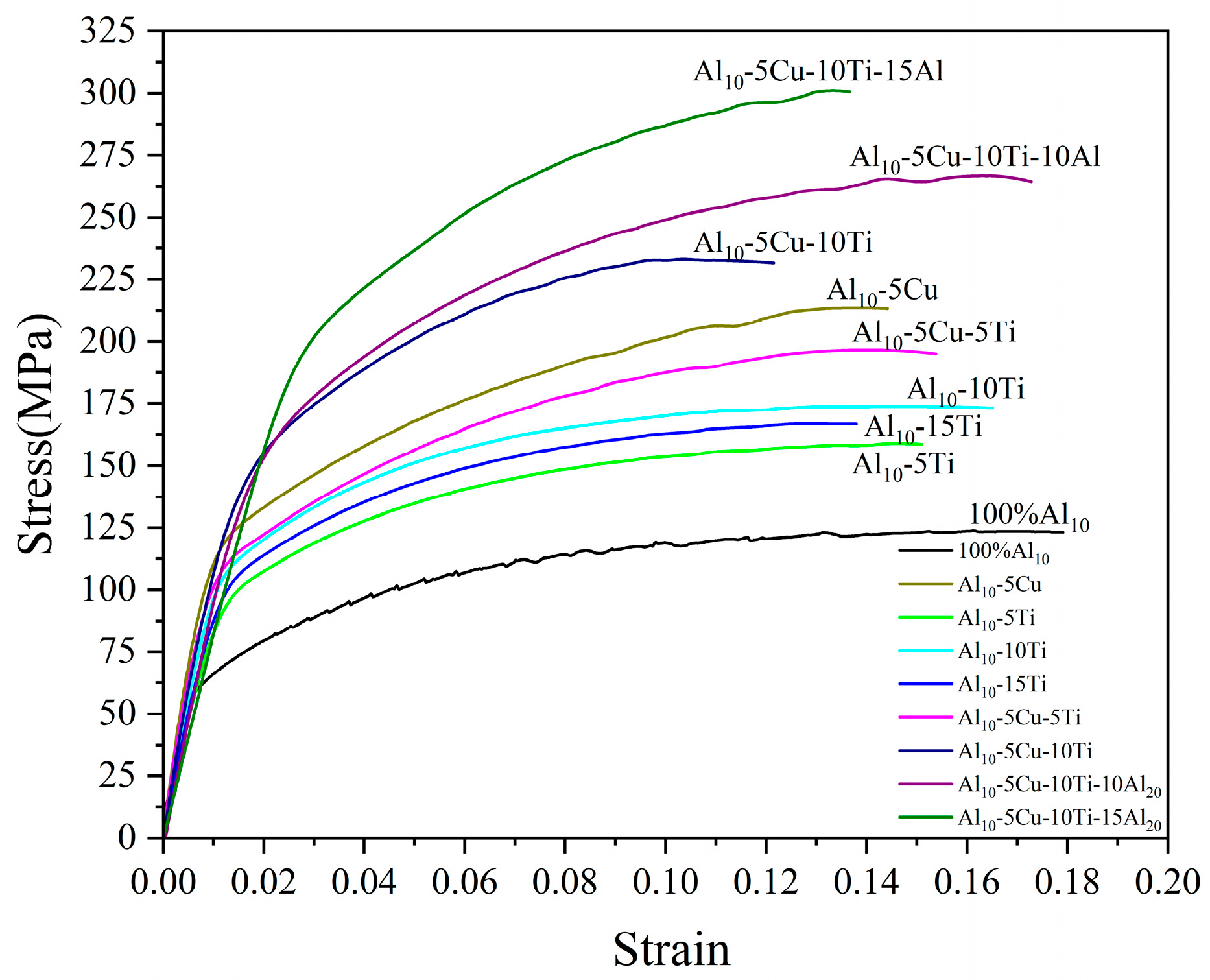
3.3. Mechanical Properties
| Material | Hardness/HV | UTS/MPa | El/% |
|---|---|---|---|
| Al1060 | 30 | 91 | 15.2 |
| 100%Al10 | 45 ± 2 | 124 ± 2 | 17.0 ± 0.7 |
| Al10-5Cu | 74 ± 3 | 214 ± 2 | 14.0 ± 0.4 |
| Al10-5Ti | 54 ± 2 | 159 ± 3 | 14.6 ± 0.5 |
| Al10-10Ti | 59 ± 2 | 174 ± 3 | 15.7 ± 0.2 |
| Al10-15Ti | 56 ± 2 | 167 ± 3 | 12.8 ± 0.2 |
| Al10-5Cu-5Ti | 68 ± 3 | 197 ± 2 | 14.1 ± 0.5 |
| Al10-5Cu-10Ti | 89 ± 3 | 233 ± 2 | 10.3 ± 0.4 |
| Al10-5Cu-10Ti-10Al20 | 98 ± 3 | 267 ± 6 | 16.7 ± 0.3 |
| Al10-5Cu-10Ti-15Al20 | 103 ± 4 | 301 ± 5 | 13.3 ± 0.4 |
| AA1050/Fe [54] | 73 | 160 | 20 |
| AA1050/Fe-Cu [55] | 73 | 207 | 1/10 of the substrate |
| Al1060/Ni [43] | 66 | 184 | 20.1 |
| AA5083/SiC [56] | \ | 335 | 7.4 |
| AA2014-AA2024/TiO2 [57] | 90 | 259 | \ |
4. Conclusions
- The homogeneous dispersion of micron-scale Cu particles and nano-Ti particles was achieved through iterative cold welding and fracturing cycles, concurrently refining the Al powder morphology. Subsequent multi-pass FSP effectively facilitated the in situ formation of intermetallic compounds while enabling the architectural design of heterogeneous microstructures.
- The composite materials exhibited significant grain refinement due to the synergistic effects of SPD and multi-scale hybrid reinforcement. Micron-sized Cu particles functioned as a skeletal framework to enhance load transfer efficiency, while nano-Ti particles contributed to grain refinement through Zener pinning and Orowan strengthening mechanisms, which effectively impedes dislocation motion. Coarse Al powder domains formed soft CG zones to accommodate strain, collectively establishing a heterogeneous architecture with alternating hard/soft phases.
- The Al10-5Cu-10Ti-10Al20 composite demonstrated optimal comprehensive mechanical properties, exhibiting UST (267 MPa), hardness (98 HV), and elongation (16.7%) that were enhanced by 193.4%, 226.7%, and 9.9%, respectively, compared to the matrix material. The heterogeneous microstructure simultaneously improved both strength and ductility through stress partitioning and dislocation blocking mechanisms.
- Future research should focus on optimizing processing parameters along with post-treatment strategies to achieve balanced reinforcement distribution and interfacial bonding strength, thereby facilitating industrial implementation. This study proposes a novel design strategy for high-performance AMCs, demonstrating the feasibility of synergistic optimization through multi-scale reinforcement and heterogeneous structure engineering.
Author Contributions
Funding
Institutional Review Board Statement
Informed Consent Statement
Data Availability Statement
Conflicts of Interest
Abbreviations
| AMCs | aluminum matrix composites |
| BM | ball milling |
| FSP | friction stir processing |
| CG | coarse-grained |
| FG | fine-grained |
| UST | ultimate tensile strength |
| SPD | severe plastic deformation |
| SZ | stir zone |
| DRX | dynamic recrystallization |
| OM | optical microscope |
| SEM | scanning electron microscope |
| EDS | energy-dispersive X-ray spectroscopy |
| XRD | X-ray diffraction |
References
- Rangrej, S.; Pandya, S.; Menghani, J. Effects of reinforcement additions on properties of aluminium matrix composites—A review. Mater. Today Proc. 2020, 44, 637–641. [Google Scholar] [CrossRef]
- Hsu, C.J.; Chang, C.Y.; Kao, P.W.; Ho, N.J.; Chang, C.P. Al-Al3Ti nanocomposites produced in situ by friction stir processing. Acta Mater. 2006, 54, 5241–5249. [Google Scholar] [CrossRef]
- Lee, I.S.; Kao, P.W.; Ho, N.J. Microstructure and mechanical properties of Al-Fe in situ nanocomposite produced by friction stir processing. Intermetallics 2008, 16, 1104–1108. [Google Scholar] [CrossRef]
- Zykova, A.P.; Gusarova, A.V.; Chumaevskiy, A.V.; Kalashnikov, K.N. Characterization of Al-Cu Surface Composite In-Situ Fabricated by Friction Stir Processing. In Proceedings of the International Conference on Physical Mesomechanics—Materials with Multilevel Hierarchical Structure and Intelligent Manufacturing Technology, Tomsk, Russia, 5–9 October 2020; p. 2310. [Google Scholar] [CrossRef]
- Alam, S.N.; Shrivastava, P.; Panda, D.; Gunale, B.; Susmitha, K.; Pola, P. Synthesis of Al2Cu intermetallic compound by mechanical alloying. Mater. Today Commun. 2022, 31, 12. [Google Scholar] [CrossRef]
- Zhu, J.W.; Jiang, W.M.; Li, G.Y.; Guan, F.; Yu, Y.; Fan, Z.T. Microstructure and mechanical properties of SiCnp/Al6082 aluminum matrix composites prepared by squeeze casting combined with stir casting. J. Mater. Process Technol. 2020, 283, 11. [Google Scholar] [CrossRef]
- Kumar, N.; Bharti, A.; Saxena, K.K. A re-investigation: Effect of powder metallurgy parameters on the physical and mechanical properties of aluminium matrix composites. Mater. Today Proc. 2020, 44, 2188–2193. [Google Scholar] [CrossRef]
- Shinkaryov, A.S.; Ozherelkov, D.Y.; Pelevin, I.A.; Eremin, S.A.; Anikin, V.N.; Burmistrov, M.A.; Chernyshikhin, S.V.; Gromov, A.A.; Nalivaiko, A.Y. Laser Fusion of Aluminum Powder Coated with Diamond Particles via Selective Laser Melting: Powder Preparation and Synthesis Description. Coatings 2021, 11, 1219. [Google Scholar] [CrossRef]
- Gupta, M.K. Friction stir process: A green fabrication technique for surface composites-a review paper. SN Appl. Sci. 2020, 2, 14. [Google Scholar] [CrossRef]
- Yang, X.; Yan, Z.F.; Dong, P.; Cheng, B.Y.; Zhang, J.; Zhang, T.T.; Zhang, H.X.; Wang, W.X. Surface modification of aluminum alloy by incorporation of AlCoCrFeNi high entropy alloy particles via underwater friction stir processing. Surf. Coat. Technol. 2020, 385, 10. [Google Scholar] [CrossRef]
- Das, S.S.; Raja, A.R.; Nautiyal, H.; Gautam, R.K.S.; Jha, P.; Sharma, J.; Singh, S. A Review on Aluminum Matrix Composites Synthesized by FSP. In Proceedings of the 1st International Conference on Energy and Environmental Materials (INCEEM), Sepang, Malaysia, 5–8 November 2021; p. 407. [Google Scholar] [CrossRef]
- Arora, H.S.; Singh, H.; Dhindaw, B.K. Composite fabrication using friction stir processing-a review. Int. J. Adv. Manuf. Technol. 2012, 61, 1043–1055. [Google Scholar] [CrossRef]
- Salih, O.S.; Ou, H.G.; Sun, W.; McCartney, D.G. A review of friction stir welding of aluminium matrix composites. Mater. Des. 2015, 86, 61–71. [Google Scholar] [CrossRef]
- Yadav, D.; Bauri, R. Development of Cu particles and Cu core-shell particles reinforced Al composite. Mater. Sci. Technol. 2015, 31, 494–500. [Google Scholar] [CrossRef]
- Huang, G.Q.; Hou, W.T.; Li, J.P.; Shen, Y.F. Development of surface composite based on Al-Cu system by friction stir processing: Evaluation of microstructure, formation mechanism and wear behavior. Surf. Coat. Technol. 2018, 344, 30–42. [Google Scholar] [CrossRef]
- Huang, G.Q.; Shen, Y.F. The effects of processing environments on the microstructure and mechanical properties of the Ti/5083Al composites produced by friction stir processing. J. Manuf. Process. 2017, 30, 361–373. [Google Scholar] [CrossRef]
- Yadav, D.; Bauri, R.; Kauffmann, A.; Freudenberger, J. Al-Ti Particulate Composite: Processing and Studies on Particle Twinning, Microstructure, and Thermal Stability. Metall. Mater. Trans. A 2016, 47, 4226–4238. [Google Scholar] [CrossRef]
- Huang, G.Q.; Wu, J.; Hou, W.T.; Shen, Y.F. Microstructure, mechanical properties and strengthening mechanism of titanium particle reinforced aluminum matrix composites produced by submerged friction stir processing. Mater. Sci. Eng. A-Struct. 2018, 734, 353–363. [Google Scholar] [CrossRef]
- Adetunla, A.; Akinlabi, E. Mechanical characterization of Al/Ti-6Al-4V surface composite fabricated via FSP: A comparison of tool geometry and number of passes. Mater. Res. Express 2018, 5, 13. [Google Scholar] [CrossRef]
- Senthilkumar, R.; Arunkumar, N.; Hussian, M.M.; Vijayaraj, R. Study of Microstructure and Mechanical Properties of Sintered Aluminum Alloy Composite Reinforced with Al2O3 Nano Particles. Mater. Eng. Technol. 2013, 849, 62. [Google Scholar] [CrossRef]
- Kumar, C.N.S.; Yadav, D.; Bauri, R.; Ram, G.D.J. Effects of ball milling and particle size on microstructure and properties 5083 Al-Ni composites fabricated by friction stir processing. Mater. Sci. Eng. A-Struct. 2015, 645, 205–212. [Google Scholar] [CrossRef]
- Shamanian, M.; Bahrami, E.; Edris, H.; Nasresfahani, M.R. Fabrication of in situ nickel intermetallic compound dispersed aluminum matrix composites by friction. Surf. Rev. Lett. 2018, 25, 9. [Google Scholar] [CrossRef]
- Ravi, L.; Vanaraj, P.W.; Kumar, S.S.; Ravikirana. Effect of T6 Treatment on AA6061 Composite Reinforced with AlCoFeNiMn HEA Particles via Friction Stir Processing. Met. Mater. Int. 2025, 31, 3088–3106. [Google Scholar] [CrossRef]
- Babu, R.R.; Rajendran, C.; Saiyathibrahim, A.; Velu, R. Influence of B4C and ZrB2 reinforcements on microstructural, mechanical and wear behaviour of AA 2014 aluminium matrix hybrid composites. Def. Technol. 2024, 40, 242–254. [Google Scholar] [CrossRef]
- Zhang, X.L.; Paidar, M.; Vignesh, R.V.; Khalaj, G.; Alamri, S.; Abdullaeva, B.S. An investigation on application of multi-pass friction stir processing for improving mechanical and tribological characteristics in AA5754/hBN/ZrO2 hybrid surface composite. Mater. Today Commun. 2025, 42, 10. [Google Scholar] [CrossRef]
- Xu, J.; Wang, C.; Guo, E.Y.; Ren, Z.P.; Chen, Z.N.; Du, G.H.; Kang, H.J.; Wang, T.M. Tailoring the enhanced mechanical behavior of 6061Al composites via nano SiCp and micron B4Cp addition. J. Mater. Res. Technol. 2023, 27, 1550–1562. [Google Scholar] [CrossRef]
- Guan, L.C.R.; Cao, H.; Su, Y.S.; Zhang, D.; Liu, K.; Hua, A.D.; Peng, Y.H.; Zhao, H.T.; Ouyang, Q.B. Enhanced strength-ductility synergy of SiC particles reinforced aluminum matrix composite via dual configuration design of reinforcement and matrix. Mater. Des. 2024, 245, 12. [Google Scholar] [CrossRef]
- Qian, J.W.; Li, J.L.; Xiong, J.T.; Zhang, F.S.; Lin, X. In situ synthesizing Al3Ni for fabrication of intermetallic-reinforced aluminum alloy composites by friction stir processing. Mater. Sci. Eng. A-Struct. 2012, 550, 279–285. [Google Scholar] [CrossRef]
- Zhang, Q.; Ye, F.; Huang, X.W.; Liu, X.Y.; Zhang, X.W.; Xu, T.; Chen, G.M. Effect of High Energy Ball Milling on Structure and Properties of AgSnO2 Electric Contact Materials. Rare Met. Mater. Eng. 2015, 44, 1293–1296. [Google Scholar]
- Liu, Z.Y.; Xu, S.J.; Xiao, B.L.; Xue, P.; Wang, W.G.; Ma, Z.Y. Effect of ball-milling time on mechanical properties of carbon nanotubes reinforced aluminum matrix composites. Compos. Part A: Appl. Sci. Manuf. 2012, 43, 2161–2168. [Google Scholar] [CrossRef]
- Azizieh, M.; Iranparast, D.; Dezfuli, M.A.G.; Balak, Z.; Kim, H.S. Fabrication of Al/Al2Cu in situ nanocomposite via friction stir processing. Trans. Nonferrous Met. Soc. China 2017, 27, 779–788. [Google Scholar] [CrossRef]
- Zohoor, M.; Givi, M.K.B.; Salami, P. Effect of processing parameters on fabrication of Al-Mg/Cu composites via friction stir processing. Mater. Des. 2012, 39, 358–365. [Google Scholar] [CrossRef]
- Hsu, C.J.; Kao, P.W.; Ho, N.J. Intermetallic-reinforced aluminum matrix composites produced in situ by friction stir processing. Mater. Lett. 2007, 61, 1315–1318. [Google Scholar] [CrossRef]
- Zhang, Q.; Xiao, B.L.; Wang, D.; Ma, Z.Y. Formation mechanism of in situ Al3Ti in Al matrix during hot pressing and subsequent friction stir processing. Mater. Chem. Phys. 2011, 130, 1109–1117. [Google Scholar] [CrossRef]
- Moradi, M.J.; Enayati, M.H.; Karimzadeh, F.; Izadi, M. Production of Al-Ti Composite by a Combination of Accumulative Roll Bonding and Friction Stir Processing. J. Mater. Eng. Perform. 2024, 33, 634–650. [Google Scholar] [CrossRef]
- Hsu, C.J.; Kao, P.W.; Ho, N.J. Ultrafine-grained Al-Al2Cu composite produced in situ by friction stir processing. Scr. Mater. 2005, 53, 341–345. [Google Scholar] [CrossRef]
- Yadav, D.; Bauri, R. Processing, microstructure and mechanical properties of nickel particles embedded aluminium matrix composite. Mater. Sci. Eng. A-Struct. 2011, 528, 1326–1333. [Google Scholar] [CrossRef]
- Sharghi, E.; Farzadi, A. Simulation of temperature distribution and heat generation during dissimilar friction stir welding of AA6061 aluminum alloy and Al-Mg2Si composite. Int. J. Adv. Manuf. Technol. 2022, 118, 3147–3159. [Google Scholar] [CrossRef]
- Zheng, Z.; Zhang, X.X.; Li, J.C.; Geng, L. High-content graphene nanoplatelet reinforced aluminum composites produced by ball milling and hot extrusion. Sci. China-Technol. Sci. 2020, 63, 1426–1435. [Google Scholar] [CrossRef]
- Rubtsov, V.; Chumaevskii, A.; Gusarova, A.; Knyazhev, E.; Gurianov, D.; Zykova, A.; Kalashnikova, T.; Cheremnov, A.; Savchenko, N.; Vorontsov, A.; et al. Macro-and Microstructure of In Situ Composites Prepared by Friction Stir Processing of AA5056 Admixed with Copper Powders. Materials 2023, 16, 1070. [Google Scholar] [CrossRef]
- Wu, T.; Wang, H.; Li, G.; Chou, S.; Zhao, B. Study on the microstructure and performance of FeCoNiCrMn high-entropy alloy-based composites reinforced by nano-Al2O3 particles. J. Mater. Res. Technol. 2025, 35, 3751–3762. [Google Scholar] [CrossRef]
- Ansari, A.J.; Bansal, G.; Rizvi, S.A.H. Effect of reinforcement particles and multipass of friction stir processing on microstructure and mechanical properties of aluminium alloy. Mater. Lett. 2024, 355, 4. [Google Scholar] [CrossRef]
- Wang, C.; Zhu, X.Y.; Zhang, K.; Xiao, X.; Jiang, C.; Zhang, J.Y.; Lv, C.C. Study on the microstructure and mechanical properties of Al matrix composites reinforced with nano Ni via friction stir processing. J. Mater. Res. Technol. 2025, 36, 2284–2296. [Google Scholar] [CrossRef]
- Liu, K.; Su, Y.S.; Wang, X.Z.; Cai, Y.P.; Cao, H.; Ouyang, Q.B.; Zhang, D. Achieving simultaneous enhancement of strength and ductility in Al matrix composites by employing the synergetic strengthening effect of micro- and nano-SiCps. Compos. Part B Eng. 2023, 248, 110350. [Google Scholar] [CrossRef]
- Kumar, R.; Shringi, D.; Bairwa, K.N. Numerical validation of thermal conductivity of Al6061 based hybrid nano metal matrix composite filled with nanoparticles of Ni and Cr. Mater. Res. Express. 2021, 8, 115011. [Google Scholar] [CrossRef]
- Cheng, S.L.; Yang, G.C.; Zhu, M.; Wang, J.C.; Zhou, Y.H. Mechanical properties and fracture mechanisms of aluminum matrix composites reinforced by Al9(Co, Ni)2 intermetallics. Trans. Nonferrous Met. Soc. 2010, 20, 572–576. [Google Scholar] [CrossRef]
- Zhang, Q.; Xiao, B.L.; Ma, Z.Y. In situ formation of various intermetallic particles in Al-Ti-X(Cu, Mg) systems during friction stir processing. Intermetallics 2013, 40, 36–44. [Google Scholar] [CrossRef]
- Zhang, X.Z.; Lu, W.H.; Chen, T.J. Elevating strength-ductility synergy in aluminum matrix composites by multiscale and dual-structured reinforcing particulates. J. Mater. Res. 2023, 38, 4130–4143. [Google Scholar] [CrossRef]
- Fu, X.W.; Tan, Z.Q.; Ma, Z.Q.; Li, Z.; Fan, G.L.; Xiong, D.B.; Li, Z.Q. Powder assembly & alloying to CNT/Al-Cu-Mg composites with trimodal grain structure and strength-ductility synergy. Compos. Part B Eng. 2021, 225, 9. [Google Scholar] [CrossRef]
- Zhu, X.X.; Cao, G.H.; Liu, J.L.; Zhao, K.; An, L.N. Enhanced strength and ductility synergy in aluminum composite with heterogeneous structure. Mater. Sci. Eng. A-Struct. 2020, 787, 4. [Google Scholar] [CrossRef]
- Mirzadeh, H. Grain refinement of magnesium alloys by dynamic recrystallization (DRX): A review. J. Mater. Res. Technol. 2023, 25, 7050–7077. [Google Scholar] [CrossRef]
- Mahmoud, E.R.I.; Al-Qozaim, A.M.A. Fabrication of In-Situ Al-Cu Intermetallics on Aluminum Surface by Friction Stir Processing. Arab. J. Sci. Eng. 2016, 41, 1757–1769. [Google Scholar] [CrossRef]
- Sun, H.; Saba, F.; Fan, G.L.; Tan, Z.Q.; Li, Z.Q. Micro/nano-reinforcements in bimodal-grained matrix: A heterostructure strategy for toughening particulate reinforced metal matrix composites. Scr. Mater. 2022, 217, 6. [Google Scholar] [CrossRef]
- Azimiroeen, G.; Kashani-Bozorg, S.F.; Nosko, M.; Lotfian, S. Effect of Initial Grain Size on Microstructure and Mechanical Properties of In Situ Hybrid Aluminium Nanocomposites Fabricated by Friction Stir Processing. Appl. Sci. 2023, 13, 7337. [Google Scholar] [CrossRef]
- Farhat, P.; Movahedi, M.; Marouf, B.T. Fabrication of Al matrix composite reinforced with Fe-Cu particles using friction stir processing. Proc. Inst. Mech. Eng. Part C-J. Eng. Mech. Eng. Sci. 2024, 238, 3907–3918. [Google Scholar] [CrossRef]
- Zhang, S.; Wang, T.; Nie, Y. SiC-Induced Microstructural Characteristics in Friction Stir Processed Al Matrix Composites and Their Effects on the Strength and Wear Resistance. J. Mater. Eng. Perform. 2025, 34, 19664–19674. [Google Scholar] [CrossRef]
- Dwivedi, S.P.; Sharma, S.; Li, C.H.; Zhang, Y.B.; Kumar, A.; Singh, R.; Eldin, S.M.; Abbas, M. Effect of nano-TiO2 particles addition on dissimilar AA2024 and AA2014 based composite developed by friction stir process technique. J. Mater. Res. Technol. 2023, 26, 1872–1881. [Google Scholar] [CrossRef]
- Zhou, D.S.; Qiu, F.; Jiang, Q.C. Simultaneously increasing the strength and ductility of nano-sized TiN particle reinforced Al-Cu matrix composites. Mater. Sci. Eng. A-Struct. 2014, 596, 98–102. [Google Scholar] [CrossRef]
- Geng, J.W.; Li, Y.G.; Xia, P.K.; Wang, F.F.; Xia, C.J.; Chen, D.; Wang, M.L.; Wang, H.W. Enhancing fatigue crack propagation resistance of heterostructured Al composites and multistage crack mechanisms. Int. J. Plast. 2024, 182, 104136. [Google Scholar] [CrossRef]
- Azizieh, M.; Dezfuli, M.A.G.; Balak, Z.; Kim, H.S. A novel approach for producing in situ Al-Al2Cu composite via friction stir processing. Mater. Res. Express 2019, 6, 14. [Google Scholar] [CrossRef]
- Zhang, S.H.; Li, Y.; Frederick, A.; Wang, Y.L.; Wang, Y.Y.; Allard, L.; Jr Koehler, M.; Shin, S.; Hu, A.M.; Feng, Z.L. In-situ formation of Al3Ni nano particles in synthesis of Al 7075 alloy by friction stir processing with Ni powder addition. J. Mater. Process. Technol. 2023, 311, 10. [Google Scholar] [CrossRef]
- Zhang, J.; Ji, J.B.; Hu, J.; Lu, Y.L.; Sun, F.; Yang, X.H.; Wu, J.Q.; An, X.L.; Wei, W. Simultaneously enhancing strength and plasticity of age-hardened Al-Cu alloy induced by bimodal sized ZrB2 particles. Mater. Charact. 2025, 229, 115516. [Google Scholar] [CrossRef]





















| Materials | Mg | Cu | V | Zn | Mn | Si | Fe | Ti | Al |
|---|---|---|---|---|---|---|---|---|---|
| Al 1060 | 0.03 | 0.05 | 0.05 | 0.05 | 0.03 | 0.25 | 0.35 | 0.03 | Bal. |
| Sample Composition | Fine Al (wt%) | Coarse Al (wt%) | Micro Cu (wt%) | Nano Ti (wt%) | Sample Abbreviation |
|---|---|---|---|---|---|
| 100 wt%Al | 100 | 0 | 0 | 0 | 100%Al10 |
| Al-5 wt%Cu | 95 | 0 | 5 | 0 | Al10-5Cu |
| Al-5 wt%Ti | 95 | 0 | 0 | 5 | Al10-5Ti |
| Al-10 wt%Ti | 90 | 0 | 0 | 10 | Al10-10Ti |
| Al-15 wt%Ti | 85 | 0 | 0 | 15 | Al10-15Ti |
| Al-5 wt%Cu-5 wt%Ti | 90 | 0 | 5 | 5 | Al10-5Cu-5Ti |
| Al-5 wt%Cu-10 wt%Ti | 85 | 0 | 5 | 10 | Al10-5Cu-10Ti |
| Al-5 wt%Cu-10 wt%Ti-10 wt%Al | 75 | 10 | 5 | 10 | Al10-5Cu-10Ti-10Al20 |
| Al-5 wt%Cu-10 wt%Ti-15 wt%Al | 70 | 15 | 5 | 10 | Al10-5Cu-10Ti-15Al20 |
| Material | Fundamental Density, g cm−3 | Measured Density, g cm−3 | Relative Density, % |
|---|---|---|---|
| Al1060 | 2.7 | 2.66 | 98.5 |
| 100%Al10 | 2.7 | 2.68 | 99.3 |
| Al10-5Cu | 2.80 | 2.68 | 95.7 |
| Al10-5Ti | 2.75 | 2.65 | 96.4 |
| Al10-10Ti | 2.81 | 2.74 | 97.5 |
| Al10-15Ti | 2.87 | 2.73 | 95.1 |
| Al10-5Cu-5Ti | 2.86 | 2.79 | 97.5 |
| Al10-5Cu-10Ti | 2.92 | 2.85 | 97.6 |
| Al10-5Cu-10Ti-10Al20 | 2.86 | 2.80 | 97.9 |
| Al10-5Cu-10Ti-15Al20 | 2.92 | 2.83 | 96.9 |
Disclaimer/Publisher’s Note: The statements, opinions and data contained in all publications are solely those of the individual author(s) and contributor(s) and not of MDPI and/or the editor(s). MDPI and/or the editor(s) disclaim responsibility for any injury to people or property resulting from any ideas, methods, instructions or products referred to in the content. |
© 2025 by the authors. Licensee MDPI, Basel, Switzerland. This article is an open access article distributed under the terms and conditions of the Creative Commons Attribution (CC BY) license (https://creativecommons.org/licenses/by/4.0/).
Share and Cite
Wang, Z.; Zhu, X.; Wang, C.; Xiao, X.; Zhang, K.; Jiang, C.; Liu, J. Achieving Simultaneous Enhancement of Strength and Ductility in Aluminum Matrix Composites Reinforced by Dual-Scale Hybrid Reinforcement via Friction Stir Processing. Materials 2025, 18, 4780. https://doi.org/10.3390/ma18204780
Wang Z, Zhu X, Wang C, Xiao X, Zhang K, Jiang C, Liu J. Achieving Simultaneous Enhancement of Strength and Ductility in Aluminum Matrix Composites Reinforced by Dual-Scale Hybrid Reinforcement via Friction Stir Processing. Materials. 2025; 18(20):4780. https://doi.org/10.3390/ma18204780
Chicago/Turabian StyleWang, Zikun, Xianyong Zhu, Chen Wang, Xiong Xiao, Ke Zhang, Cheng Jiang, and Jiaan Liu. 2025. "Achieving Simultaneous Enhancement of Strength and Ductility in Aluminum Matrix Composites Reinforced by Dual-Scale Hybrid Reinforcement via Friction Stir Processing" Materials 18, no. 20: 4780. https://doi.org/10.3390/ma18204780
APA StyleWang, Z., Zhu, X., Wang, C., Xiao, X., Zhang, K., Jiang, C., & Liu, J. (2025). Achieving Simultaneous Enhancement of Strength and Ductility in Aluminum Matrix Composites Reinforced by Dual-Scale Hybrid Reinforcement via Friction Stir Processing. Materials, 18(20), 4780. https://doi.org/10.3390/ma18204780

