Sign in to use this feature.

Years

Between: -

Subjects

remove_circle_outline
remove_circle_outline
remove_circle_outline
remove_circle_outline
remove_circle_outline

Journals

Article Types

Countries / Regions

Search Results (78)

Search Parameters:
Keywords = glutenin subunits

Order results
Result details
Results per page
Select all
Export citation of selected articles as:
13 pages, 445 KB  
Article
Characterization and Classification of LMW-GS Genes at the Glu-3 Locus of Bread Wheat
by Yongying Zhao, Xianlin Zhao, Dan Zhang, Zhiguo Xiang and Hongshan Yang
Int. J. Mol. Sci. 2025, 26(21), 10482; https://doi.org/10.3390/ijms262110482 - 28 Oct 2025
Viewed by 311
Abstract
Low Molecular Weight Glutenin Subunits (LMW-GS) proteins have great effects on the end-use quality of bread wheat and are difficult to differentiate directly. It is very important to characterize and classify LMW-GS genes systematically. In this paper, 692 complete Glu-3 gene sequences were [...] Read more.
Low Molecular Weight Glutenin Subunits (LMW-GS) proteins have great effects on the end-use quality of bread wheat and are difficult to differentiate directly. It is very important to characterize and classify LMW-GS genes systematically. In this paper, 692 complete Glu-3 gene sequences were retrieved from GenBank and were grouped based on their sequence characters and variations. Based on the characters of their N-terminal sequences, these genes were classified into two types, LMW-m and LMW-i, of which LMW-m genes were further classified into three sub-types based on their first amino acid (AA) (LMW-M, LMW-V and LMW-I). Based on the first seven or eight AA variations in the N-terminal sequence, LMW-GS Glu-3 genes were classified into 16 types, namely LMW-N1 to LMW-N16. Based on the last 10 AA variations in the C-terminal, the Glu-3 genes were classified into 22 types, designated as LMW-C1 to LMW-C22. Based on the number and distribution of cysteines, the Glu-3 genes classified into 22 types included 7 conventional types with eight cysteines and 15 variant types with seven or nine cysteines. In addition, two new Glu-A3 genes (GluA-10 and GluA-11) were identified based on their sequence homology, and the connection between different classification methods was analyzed briefly. The results provide insight into the nature of the Glu-3 gene family and are valuable for molecular marker-assisted selection of end-use quality traits in wheat improvement. Full article
(This article belongs to the Section Molecular Genetics and Genomics)
Show Figures

Figure 1

12 pages, 1600 KB  
Article
Development, Evaluation, and Application of a Molecular Marker System for Wheat Quality Breeding in China
by Peng Jiang, Xiangyun Fan, Lei Wu, Chang Li, Huadun Wang, Yi He, Peng Zhang, Chunhao Dong, Guihong Yin and Xu Zhang
Agronomy 2025, 15(11), 2494; https://doi.org/10.3390/agronomy15112494 - 28 Oct 2025
Viewed by 733
Abstract
To address the limitations of traditional wheat quality breeding, this study developed a Wheat Quality Molecular Marker Selection System (QMMS) by integrating key genetic loci controlling core quality traits: grain protein content (GPC), grain hardness (GH), and high-molecular-weight glutenin subunits (HMW-GS). The QMMS [...] Read more.
To address the limitations of traditional wheat quality breeding, this study developed a Wheat Quality Molecular Marker Selection System (QMMS) by integrating key genetic loci controlling core quality traits: grain protein content (GPC), grain hardness (GH), and high-molecular-weight glutenin subunits (HMW-GS). The QMMS comprises three KASP markers (Kgpc-2B, Kgpc-2D, Kgpc-4A) and two duplex KASP (dKASP) markers (Pin-ab, Glu-AD), enabling cost-effective (≈5 CNY per sample) and high-throughput genotyping. Systematic validation was conducted using four panels of materials: representative varieties, breeding nursery materials, regional trial materials from the Middle and Lower Reaches of the Yangtze River, and advanced lines from four cooperative institutions. Results showed that (1) the QMMS accurately distinguished quality types of representative varieties: strong-gluten varieties carried five or more strong-gluten–favorable alleles, while weak-gluten varieties harbored five or more weak-gluten favorable alleles; (2) in breeding nursery materials, quality traits increased significantly with the number of aggregated strong-gluten favorable alleles, and 48.15% of strong-gluten candidates met strong- and medium-strong-gluten standards; (3) in regional trial materials, 15.25% (36/236) and 1.69% (4/236) of lines carried ≥5 strong-gluten and weak-gluten favorable alleles, with low utilization of Kgpc-2D and Pina/Pinb favorable alleles (<30%); and (4) the QMMS screened 273 strong-gluten and 27 weak-gluten candidates for cooperative institutions, matching their breeding focuses. In conclusion, the QMMS provides reliable technical support for precise and efficient wheat quality breeding. Full article
Show Figures

Figure 1

21 pages, 633 KB  
Review
Basophil Activation Test in IgE-Mediated Wheat Allergy: Diagnostic and Clinical Applications—A Narrative Review
by Elena Camelia Berghea, Mădălina Coman-Stanemir and Ioana Raluca Papacocea
Diagnostics 2025, 15(20), 2659; https://doi.org/10.3390/diagnostics15202659 - 21 Oct 2025
Viewed by 1320
Abstract
The basophil activation test (BAT) is an emerging tool in the diagnosis and management of IgE-mediated wheat allergies (WAs), particularly in complex or high-risk phenotypes. This narrative review explores the clinical applications of BAT across a spectrum of WA presentations, including wheat-dependent exercise-induced [...] Read more.
The basophil activation test (BAT) is an emerging tool in the diagnosis and management of IgE-mediated wheat allergies (WAs), particularly in complex or high-risk phenotypes. This narrative review explores the clinical applications of BAT across a spectrum of WA presentations, including wheat-dependent exercise-induced anaphylaxis (WDEIA), contact urticaria, and pediatric food allergy. The BAT provides a functional measure of allergen-triggered basophil activation, bridging the gap between mere sensitization and true clinical reactivity. We highlight its utility in detecting sensitization to specific wheat components such as ω-5 gliadin, glutenin subunits, and hydrolyzed wheat proteins, and its value in cases where traditional diagnostics are inconclusive. Furthermore, BAT is discussed as a dynamic biomarker in therapeutic monitoring, especially in patients receiving omalizumab, where reduced basophil reactivity correlates with improved clinical outcomes. While standardization and access remain challenges, the BAT holds significant promise as a precision diagnostic and monitoring tool in wheat allergies. Full article
Show Figures

Figure 1

24 pages, 13022 KB  
Article
Development of PCR Methods for Detecting Wheat and Maize Allergens in Food
by Tata Ninidze, Tamar Koberidze, Kakha Bitskinashvili, Tamara Kutateladze, Boris Vishnepolsky and Nelly Datukishvili
BioTech 2025, 14(4), 78; https://doi.org/10.3390/biotech14040078 - 1 Oct 2025
Viewed by 3428
Abstract
The detection of allergens is essential for ensuring food safety, protecting public health, and providing accurate information to consumers. Wheat (Triticum aestivum L.) and maize (Zea mays L.) are recognized as important food allergens. In this study, novel PCR methods were [...] Read more.
The detection of allergens is essential for ensuring food safety, protecting public health, and providing accurate information to consumers. Wheat (Triticum aestivum L.) and maize (Zea mays L.) are recognized as important food allergens. In this study, novel PCR methods were developed for the reliable detection of wheat and maize allergens, including wheat high-molecular-weight glutenin subunit (HMW-GS) and low-molecular-weight glutenin subunit (LMW-GS), as well as three maize allergens, namely, Zea m 14, Zea m 8, and zein. Wheat and maize genomic DNA, as well as allergen genes, were examined during 60 min of baking at 180 °C and 220 °C. Agarose gel electrophoresis revealed degradation of genomic DNA and amplified PCR fragments in correlation with increasing baking temperature and time. For each target gene, the best primers were identified that could detect HMW-GS and LMW-GS genes in wheat samples and Zea m 14, Zea m 8, and zein genes in maize samples after baking at 220 °C for 60 min and 40 min, respectively. The results indicate that these PCR methods can be used for the reliable and sensitive detection of wheat and maize allergens in processed foods. Full article
(This article belongs to the Section Industry, Agriculture and Food Biotechnology)
Show Figures

Figure 1

15 pages, 4829 KB  
Article
Physicochemical Properties of Moderately Heat-Treated Rice Protein Within Alkaline Solution and Its Evaluation as a Spray-Drying Microencapsulation Wall Material
by Mengqi Liu, Rumeng Huang, Lifeng Wang, Mohamed Eid and Wenfei Xiong
Foods 2025, 14(10), 1739; https://doi.org/10.3390/foods14101739 - 14 May 2025
Viewed by 915
Abstract
This study addresses the shortcoming of rice protein, which has limited its widespread use as a food ingredient due to its extremely low solubility in neutral aqueous solution. Herein, rice protein (RP) was dispersed in aqueous solutions with different alkali concentrations (0.075 M~0.125 [...] Read more.
This study addresses the shortcoming of rice protein, which has limited its widespread use as a food ingredient due to its extremely low solubility in neutral aqueous solution. Herein, rice protein (RP) was dispersed in aqueous solutions with different alkali concentrations (0.075 M~0.125 M), and then heat-treated (80 °C, 1~4 h) to obtain a modified RP. The physicochemical properties of the modified RP in neutral aqueous solution and its performance as a microencapsulated wall material were then comprehensively analyzed. The results showed that the solubility of the RP at pH 7.0 could be increased to more than 56.3% by alkali solution combined with moderate heat treatment for 1 h. Further analysis revealed that the enhancement of the RP solubility performance was mainly due to the depolymerization of rice glutenin cluster aggregates, with the average size decreasing to 140~180 nm, which was also accompanied by an increase in net zeta potential. Structural analysis pointed to a significant decrease in the surface hydrophobicity and free sulfhydryl content of the RP after thermal treatment in alkaline solution, while degradation of glutenin subunits (especially for the results of alkaline treatment at higher concentrations) and an increase in random coil content occurred. These physicochemical properties and conformational transitions of the modified RP contributed to its excellent emulsification properties and microencapsulation ability (encapsulation efficiency > 97%). Nevertheless, the redispersing properties of microcapsules prepared with the modified RP as a wall material were significantly weaker than those of sodium caseinate. These findings provide new guidance and insights into the modulation of functional properties and applications of RP. Full article
(This article belongs to the Special Issue Advanced Technology to Improve Plant Protein Functionality)
Show Figures

Figure 1

14 pages, 2668 KB  
Article
Effects of LMW-GS Allelic Variations at the Glu-A3 Locus on Fresh Wet Noodle and Frozen Cooked Noodle Quality
by Xiaohong Chen, Hongwei Zhou, Yufei Zou, Jinfu Ban, Huizhi Zhang, Xiaoke Zhang, Boli Guo and Yingquan Zhang
Foods 2025, 14(9), 1546; https://doi.org/10.3390/foods14091546 - 28 Apr 2025
Viewed by 619
Abstract
Low molecular weight glutenin subunits (LMW-GSs) in wheat are critical functional proteins that regulate the processing quality of flour-based products. This study utilized two sets of near-isogenic lines (NILs) derived from the wheat cultivars Zhoumai 22 and Zhoumai 23 to investigate the effects [...] Read more.
Low molecular weight glutenin subunits (LMW-GSs) in wheat are critical functional proteins that regulate the processing quality of flour-based products. This study utilized two sets of near-isogenic lines (NILs) derived from the wheat cultivars Zhoumai 22 and Zhoumai 23 to investigate the effects of allelic variations at the Glu-A3 locus—specifically Glu-A3a, Glu-A3b, Glu-A3c, Glu-A3d, Glu-A3e, Glu-A3f, and Glu-A3g—on protein content, gluten properties, dough farinograph properties, cooking properties of fresh wet noodles (FWNs), and textural properties of FWNs and frozen cooked noodles (FZNs). The results demonstrated that Glu-A3f exhibited superior grain protein content. Glu-A3e negatively impacted the gluten index, and Glu-A3g showed favorable dry gluten content. Glu-A3b displayed enhanced dough mixing tolerance. Importantly, Glu-A3b was associated with improved hardness in FWNs, while Glu-A3g contributed to higher hardness and chewiness in FZNs. These findings provide critical insights for breeding elite wheat cultivars tailored for noodle production and optimizing specialty flour development. Full article
(This article belongs to the Section Food Quality and Safety)
Show Figures

Figure 1

11 pages, 234 KB  
Article
Comparison and Classification of LMW-GS Genes at Glu-3 Loci of Common Wheat
by Yongying Zhao, Xianlin Zhao, Zhiguo Xiang, Dan Zhang and Hongshan Yang
Genes 2025, 16(1), 90; https://doi.org/10.3390/genes16010090 - 16 Jan 2025
Cited by 2 | Viewed by 1243
Abstract
Background: The low molecular weight glutenin subunits (LMW-GS) of wheat have great effects on food processing quality, but the resolution of LMW-GS and the scoring of their alleles by direct analysis of proteins are difficult due to the larger number of expressed subunits [...] Read more.
Background: The low molecular weight glutenin subunits (LMW-GS) of wheat have great effects on food processing quality, but the resolution of LMW-GS and the scoring of their alleles by direct analysis of proteins are difficult due to the larger number of expressed subunits and high similarity of DNA sequences. It is important to identify and classify the LMW-GS genes in order to recognize the LMW-GS alleles clearly and develop the functional markers. Methods: The LMW-GS genes registered in GenBank were searched at NCBI, and 593 Glu-3 genes with complete coding sequences were obtained, including 146 Glu-A3, 136 Glu-B3, and 311 Glu-D3. Sequence analysis and characterization of DNA and deduced amino acids were performed using the software DNAman. Results: The alignment and classification showed that there were at least 9 genes with 69 allelic variants at the Glu-A3 locus, 11 genes with 64 allelic variants at the Glu-B3 locus, and 10 genes with 96 variants at the Glu-D3 locus, respectively. Furthermore, the specificity of some Glu-3 genes and their variations was analyzed. Conclusions: The results were beneficial to understanding the LMW-GS genes fully and to developing the functional markers and will provide a theoretical reference for the quality improvement of wheat variety. Full article
(This article belongs to the Section Plant Genetics and Genomics)
17 pages, 1728 KB  
Article
Wheat Grain Protein Composition—A Screening Tool to Be Used in Plant Breeding for Improved Tajik Food Security
by Marufqul Mahkamov, Bahromiddin Husenov, Larisa Garkava-Gustavsson, Hafiz Muminjanov, Ramune Kuktaite, Maria Luisa Prieto-Linde and Eva Johansson
Crops 2024, 4(4), 667-683; https://doi.org/10.3390/crops4040046 - 11 Dec 2024
Cited by 1 | Viewed by 1583
Abstract
Non-satisfactory bread-making quality in wheat, a Tajik staple, hampers food security in Tajikistan and calls for plant breeding efforts. Here, methods were searched for to study grain protein composition, which is of use for Tajik plant breeding to improve bread-making quality. Size-exclusion high-performance [...] Read more.
Non-satisfactory bread-making quality in wheat, a Tajik staple, hampers food security in Tajikistan and calls for plant breeding efforts. Here, methods were searched for to study grain protein composition, which is of use for Tajik plant breeding to improve bread-making quality. Size-exclusion high-performance liquid chromatography (SE-HPLC) was used to determine protein composition in 22 wheat varieties and breeding lines grown in two locations, which were then compared with the specific protein composition evaluated using electrophoresis and previous results from Tajik breeding and farmer-grown wheat. As Tajik wheat generally showed a large variation in high-molecular-weight glutenin subunit (HMW-GS) composition, with several allelic variants in the same line, single-seed selection was required when using this methodology in breeding for improved bread-making quality, and such an evaluation willalso result in more homogenous lines for protein composition. SE-HPLC was found to be a suitable tool to evaluate protein composition in the current Tajik wheat material with a heterogeneous protein composition, which might be advantageous for adaptation to the local and future climate. However, more easy-to-handle and high-throughput methods, e.g., marker-assisted selection, could be preferable alternatives for studying protein composition in wheat and for use in breeding for increased bread-making quality to increase food security in Tajikistan. Full article
Show Figures

Graphical abstract

17 pages, 430 KB  
Article
The Effect of Tillage Systems and Weed Control Methods on Grain Yield and Gluten Protein Compositional and Content-Related Changes in Hybrid Bread Wheat
by Jan Buczek
Agriculture 2024, 14(9), 1558; https://doi.org/10.3390/agriculture14091558 - 9 Sep 2024
Cited by 3 | Viewed by 1780
Abstract
The use of simplified tillage systems and weed control methods using reduced herbicide doses in wheat production technology is one of the basic requirements of sustainable agriculture in terms of obtaining high-quality grain of this species. The aim of three-year field studies was [...] Read more.
The use of simplified tillage systems and weed control methods using reduced herbicide doses in wheat production technology is one of the basic requirements of sustainable agriculture in terms of obtaining high-quality grain of this species. The aim of three-year field studies was to determine the yield and quality characteristics of hybrid wheat grain depending on two tillage systems (CT and RT) and four weed control methods: mechanical (M) and mechanical–chemical, using recommended herbicide doses (MH100) and doses reduced by 25 and 50% (MH75, MH50). A comparable grain yield, number of grains per spike, weight of one thousand wheat grains, and amount of gluten and ω gliadin subunits (GLI) were obtained in the RT and CT systems. The CT system increased protein content (by 15.2 g kg−1) and the increase in the sum of gluten protein fractions was higher for glutenins (GLU) and their LMW and HMW subunits (from 20.9 to 29.8%). The application of the method with the recommended herbicide dose (MH100), compared to M and MH50, resulted in an increase in grain yield by 0.89 and 1.04 t ha−1, respectively, as well as in the sum of GLI (by 8.4 and 12.3%) and GLU (by 13.7 and 25.3%). The application of the herbicide dose reduced by 25% (MH75) compared to the recommended dose (MH100), especially in the RT system, did not cause a significant decrease in protein content and the amount of GLI and GLU, while reducing grain yield (by 0.26 t ha−1) and the amount of gluten (by 3.1%). Full article
(This article belongs to the Special Issue Effect of Cultivation Practices on Crop Yield and Quality)
Show Figures

Figure 1

13 pages, 1494 KB  
Article
The High-Molecular-Weight Glutenin Subunits of the T. timopheevii (AuAuGG) Group
by Benedetta Margiotta, Giuseppe Colaprico, Marcella Urbano, Daniela Panichi, Francesco Sestili and Domenico Lafiandra
Genes 2024, 15(8), 986; https://doi.org/10.3390/genes15080986 - 26 Jul 2024
Viewed by 1268
Abstract
Polyploid wheats include a group of tetraploids known as Timopheevii (AuAuGG), which are represented by two subspecies: Triticum timopheevii ssp. timopheevii (cultivated) and Triticum timopheevii ssp. araraticum (wild). The combined use of electrophoretic (SDS-PAGE) and chromatographic (RP-HPLC) techniques carried [...] Read more.
Polyploid wheats include a group of tetraploids known as Timopheevii (AuAuGG), which are represented by two subspecies: Triticum timopheevii ssp. timopheevii (cultivated) and Triticum timopheevii ssp. araraticum (wild). The combined use of electrophoretic (SDS-PAGE) and chromatographic (RP-HPLC) techniques carried out on high-molecular-weight glutenin subunits (HMW-GSs) permitted the association of different x- and y-type subunits to the A and G genomes and the assessment of allelic variation present at corresponding loci. The results also revealed that in both subspecies, accessions are present that possess expressed y-type subunits at the Glu-A1 locus. Genes corresponding to these subunits were amplified and amplicons corresponding to x- and y-type genes associated with the A genome were detected in all accessions, including those without expressed x- and y-type subunits. The comparison with genes of polyploid wheats confirmed the structural characteristics of typical y-type genes, with the presence of seven cysteine residues and with hexapeptide and nonapeptide repeat motifs. The identification of wild and cultivated T. timopheevii with both x- and y-type glutenin subunits at the Glu-A1 and Glu-G1 loci represents a useful source for the modification of the allelic composition of HMW-GSs in cultivated wheats with the ultimate objective of improving technological properties. Full article
(This article belongs to the Section Plant Genetics and Genomics)
Show Figures

Figure 1

12 pages, 1128 KB  
Article
Genetic Diversity of HMW-GS and the Correlation of Grain Quality Traits in Bread Wheat (Triticum aestivum L.) in Hubei Province, China
by Xiaofang Wang, Yue An, Junpeng Chen, Mengwei Wang, Chengyang Wang, Wei Hua, Qifei Wang, Song Gao, Daorong Zhang, Dong Ling, Xifeng Ren and Jinghuan Zhu
Agronomy 2024, 14(6), 1158; https://doi.org/10.3390/agronomy14061158 - 29 May 2024
Viewed by 1952
Abstract
High-molecular-weight glutenin subunits (HMW-GS) are an important component of total cereal proteins in wheat. It is closely related to the processing quality of flour. Here, we analyzed allelic variations at the Glu-1 locus in 163 wheat accessions from Hubei Province, China with SDS-PAGE. [...] Read more.
High-molecular-weight glutenin subunits (HMW-GS) are an important component of total cereal proteins in wheat. It is closely related to the processing quality of flour. Here, we analyzed allelic variations at the Glu-1 locus in 163 wheat accessions from Hubei Province, China with SDS-PAGE. Among the 15 alleles detected, alleles 1, 7+8, and 2+12 were the major alleles, and 7, 6+8, and 2+10 were rare alleles. The breeding lines had higher genetic diversity than the commercial varieties. Alleles 7 and 6+8 significantly reduced the grain protein content and wet gluten content of wheat. The “1, 7+9, 5+10” and “1, 14+15, and 2+12” allelic combinations significantly increased the grain protein content, hardness index, test weight, and wet gluten content of wheat. Alleles 7+9, 14+15, and 5+10 were identified as alleles related to high wheat quality. The “1, 7, 5+10”, “1, 6+8, 5+10”, “null, 7+9, 2+12”, “1, 14+15, 2+12”, and “1, 7+9, 5+10” allelic combinations had greater effects on wheat grain quality traits. These results demonstrate the effects of HMW-GS on wheat grain quality traits and provide a reference for the genetic improvement of wheat quality. Full article
(This article belongs to the Section Crop Breeding and Genetics)
Show Figures

Figure 1

19 pages, 4356 KB  
Article
Effect of Microwave Treatment on Protease Activity, Dough Properties and Protein Quality in Sprouted Wheat
by Xiangyu Wang, Mengyuan Zhao, Panpan Shang, Jing Liu and Renyong Zhao
Foods 2024, 13(8), 1277; https://doi.org/10.3390/foods13081277 - 22 Apr 2024
Cited by 5 | Viewed by 2608
Abstract
In this study, the effects of microwave treatment on protease activity, dough properties and protein quality in sprouted wheat were investigated. Microwave treatment led to a significant (p < 0.05) reduction in protease activity in sprouted wheat. Proteases with a pH optimum [...] Read more.
In this study, the effects of microwave treatment on protease activity, dough properties and protein quality in sprouted wheat were investigated. Microwave treatment led to a significant (p < 0.05) reduction in protease activity in sprouted wheat. Proteases with a pH optimum of 4.4 (cysteine proteinases) were more susceptible to microwave heating, which contributed mostly to protease inactivation. Significant improvements (p < 0.05) in the dough properties and gluten quality of sprouted wheat were observed, which are probably attributable to the synergistic effectiveness of protease inactivation and heat-induced gluten cross-linking. After microwave treatment, the decrease in the solubility and extractability of protein in sprouted wheat indicated protein polymerization, which was induced by intermolecular disulfide bond cross-linking. The changes in gliadin were less pronounced due to the relatively low temperature of the microwave treatment. The cross-linking in sprouted wheat that occurred after microwave treatment seemed to mainly involve glutenin, especially B/C low-molecular-weight glutenin subunits (B/C-LMW-GSs) in the range of 30–50 kD. Full article
(This article belongs to the Section Food Engineering and Technology)
Show Figures

Graphical abstract

15 pages, 2036 KB  
Article
Detection of Sensitization Profiles with Cellular In Vitro Tests in Wheat Allergy Dependent on Augmentation Factors (WALDA)
by Valentina Faihs, Viktoria Schmalhofer, Claudia Kugler, Rebekka K. Bent, Katharina A. Scherf, Barbara Lexhaller, Charlotte G. Mortz, Carsten Bindslev-Jensen, Tilo Biedermann, Per S. Skov, Bernadette Eberlein and Knut Brockow
Int. J. Mol. Sci. 2024, 25(7), 3574; https://doi.org/10.3390/ijms25073574 - 22 Mar 2024
Cited by 4 | Viewed by 2155
Abstract
Wheat allergy dependent on augmentation factors (WALDA) is the most common gluten allergy in adults. IgE-mediated sensitizations are directed towards ω5-gliadin but also to other wheat allergens. The value of the different in vitro cellular tests, namely the basophil activation test (BAT) and [...] Read more.
Wheat allergy dependent on augmentation factors (WALDA) is the most common gluten allergy in adults. IgE-mediated sensitizations are directed towards ω5-gliadin but also to other wheat allergens. The value of the different in vitro cellular tests, namely the basophil activation test (BAT) and the active (aBHRA) and passive basophil histamine-release assays (pBHRA), in the detection of sensitization profiles beyond ω5-gliadin has not been compared. Therefore, 13 patients with challenge-confirmed, ω5-gliadin-positive WALDA and 11 healthy controls were enrolled. Specific IgE (sIgE), skin prick tests, BATs, aBHRA, and pBHRA were performed with allergen test solutions derived from wheat and other cereals, and results were analyzed and compared. This study reveals a distinct and highly individual reactivity of ω5-gliadin-positive WALDA patients to a range of wheat allergens beyond ω5-gliadin in cellular in vitro tests and SPT. In the BAT, for all tested allergens (gluten, high-molecular-weight glutenin subunits, α-amylase/trypsin inhibitors (ATIs), alcohol-free wheat beer, hydrolyzed wheat proteins (HWPs), rye gluten and secalins), basophil activation in patients was significantly higher than in controls (p = 0.004–p < 0.001). Similarly, significant histamine release was detected in the aBHRA for all test substances, exceeding the cut-off of 10 ng/mL in all tested allergens in 50% of patients. The dependency of tests on sIgE levels against ω5-gliadin differed; in the pBHRA, histamine release to any test substances could only be detected in patients with sIgE against ω5-gliadin ≥ 7.7 kU/L, whereas aBHRA also showed high reactivity in less sensitized patients. In most patients, reactivity to HWPs, ATIs, and rye allergens was observed. Additionally, alcohol-free wheat beer was first described as a promising test substance in ω5-gliadin-positive WALDA. Thus, BAT and aBHRA are valuable tools for the identification of sensitization profiles in WALDA. Full article
(This article belongs to the Special Issue Recent Advances in Gluten-Related Disorders)
Show Figures

Figure 1

14 pages, 1386 KB  
Article
Characterization among and within Sicilian Tetraploid Wheat Landraces by Gluten Protein Analysis for Traceability Purposes
by Samuela Palombieri, Marco Bonarrigo, Silvia Potestio, Francesco Sestili, Bernardo Messina, Giuseppe Russo, Claudia Miceli, Benedetto Frangipane, Marco Genduso, Chiara Delogu, Lorella Andreani and Stefania Masci
Plants 2024, 13(5), 741; https://doi.org/10.3390/plants13050741 - 6 Mar 2024
Cited by 4 | Viewed by 1913
Abstract
The criteria of “Distinctness, Uniformity and Stability” as well as a high “overall quality index” are used to register the Italian modern varieties to the national register. Differently, local conservation varieties can be certified under different EU Directives that facilitate, as an overall [...] Read more.
The criteria of “Distinctness, Uniformity and Stability” as well as a high “overall quality index” are used to register the Italian modern varieties to the national register. Differently, local conservation varieties can be certified under different EU Directives that facilitate, as an overall objective, the preservation of biodiversity and the containment of genetic erosion. In recent years, products derived from ancient grains are perceived to be healthier and more sustainable by consumers, especially in Italy, with consequent higher market prices. The ancient tetraploid wheat varieties registered in the national register of conservation varieties amount to 28, 24 of which are Sicilian. They are supposed to have wide genetic variability compared to modern ones, making them vulnerable to fraud because they are difficult to trace. It is therefore important to have tools able to discriminate between autochthonous Sicilian varieties. This can be completed by gluten proteins composition, which also provides information on the technological properties of derived products. Fifty-one accessions belonging to twenty-two ancient varieties of Sicilian tetraploid (mostly durum) wheat were analyzed. Although wide intra-accession and intra-varietal variability measurements were assessed, the gliadin pattern of bulks of seeds belonging to each variety was discriminatory. Moreover, differences in technological attitudes were found between landraces. This paves the way to use gluten protein patterns for traceability, allowing local farmers and producers to valorize their products and assure consumers regarding the transparency of the entire supply chain. Full article
(This article belongs to the Section Crop Physiology and Crop Production)
Show Figures

Figure 1

10 pages, 1376 KB  
Article
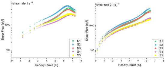
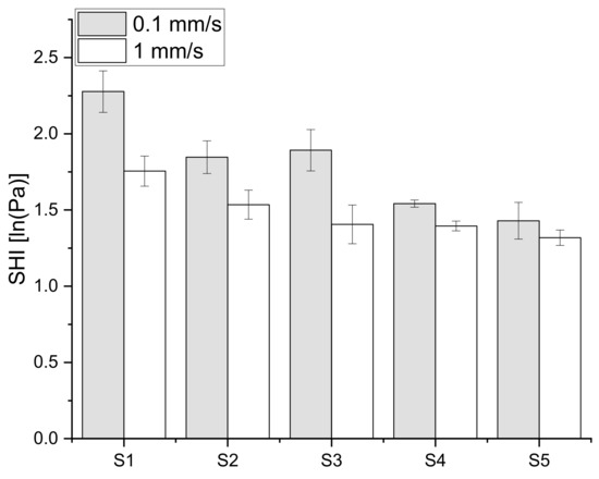
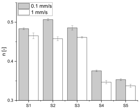
Structure Strengthening Phenomena of Gluten Matrices under Different Stress Types
by Leonhard Maria Vidal, Thekla Alpers and Thomas Becker
Polymers 2023, 15(23), 4491; https://doi.org/10.3390/polym15234491 - 22 Nov 2023
Cited by 1 | Viewed by 1303
Abstract
To predict the achievable product volume with respect to the gas retention capacity of the gluten matrix in wheat flour doughs, strain hardening evaluation is crucial. But assessing these structure hardening phenomena in wheat flour dough systems is still a challenging task. In [...] Read more.
To predict the achievable product volume with respect to the gas retention capacity of the gluten matrix in wheat flour doughs, strain hardening evaluation is crucial. But assessing these structure hardening phenomena in wheat flour dough systems is still a challenging task. In this work, a simple shear method applied to kneaded dough samples was tested and compared to biaxial extension tests performed with a lubricated squeezing flow method. The comparability of shear-induced structure hardening with biaxial extension tests was shown. Structure hardening and breakdown after overload were visualized using shear flow and a comparison of the obtained shear flow over Hencky strain curve peaks. To predict the behavior of the analyzed flours according to their composition, a correlation analysis of the flour and dough properties was performed. The influence of the HMW glutenin subunits on the sensitivity of the dough matrix according to the applied shear speed (0.1 and 1.0 mm/s) could be shown with a correlation coefficient of 0.94. The LMW glutenin subunits, on the other hand, showed a high correlation coefficient of 0.89 with the achievable network connectivity parameter z [-] gained from frequency sweep testing. Full article
Show Figures

Figure 1

Back to TopTop