Development, Evaluation, and Application of a Molecular Marker System for Wheat Quality Breeding in China
Abstract
1. Introduction
2. Materials and Methods
2.1. Experimental Materials
2.2. Construction of QMMS and Genotype Analysis
2.2.1. Composition of QMMS
2.2.2. Genomic DNA Extraction
2.2.3. KASP Reaction and Genotype Determination
2.3. Determination of Quality Traits
2.4. Data Analysis
3. Results
3.1. Genotyping Analysis in Representative Varieties with QMMS
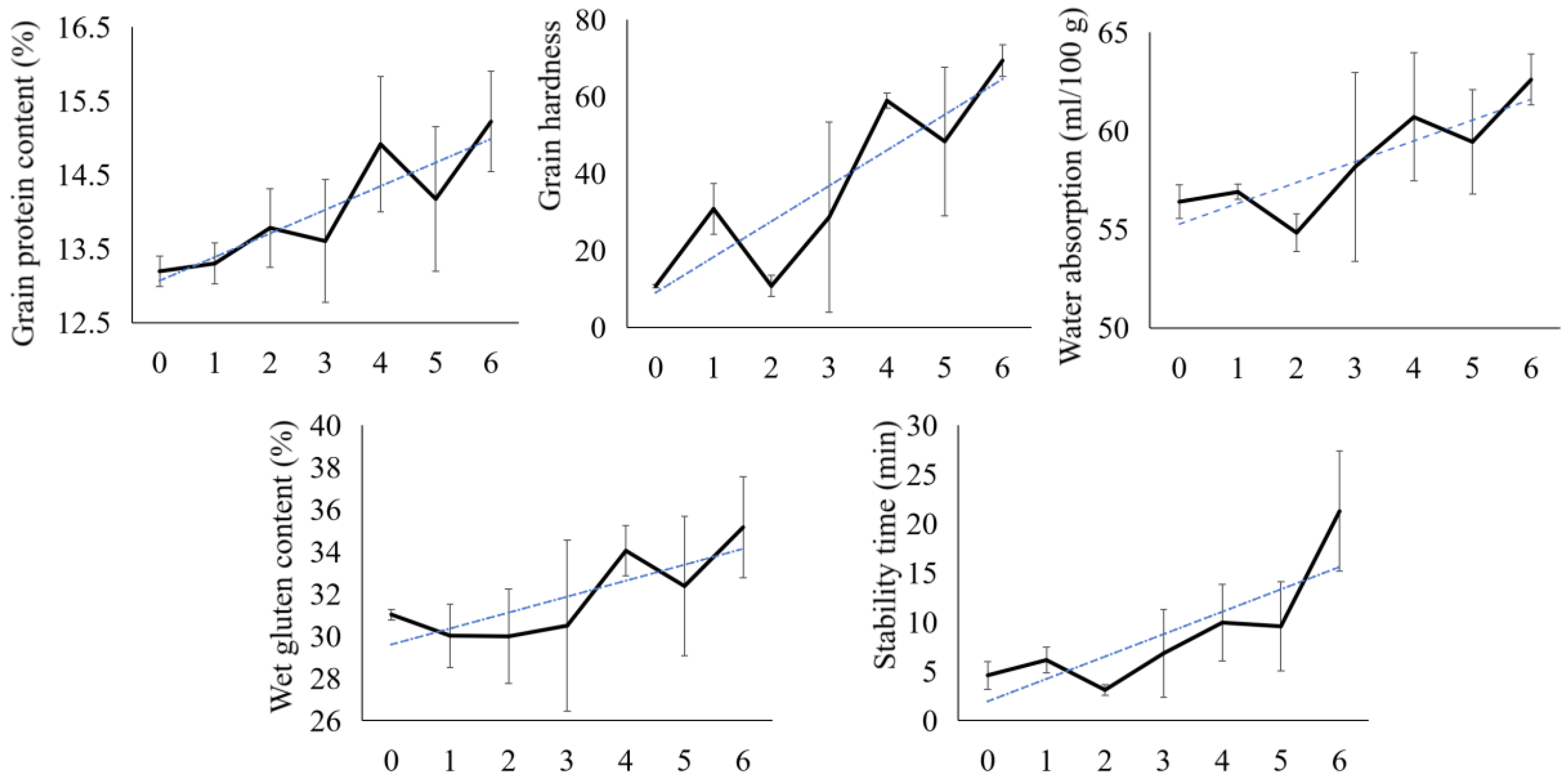
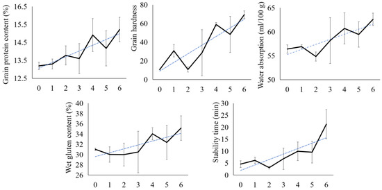
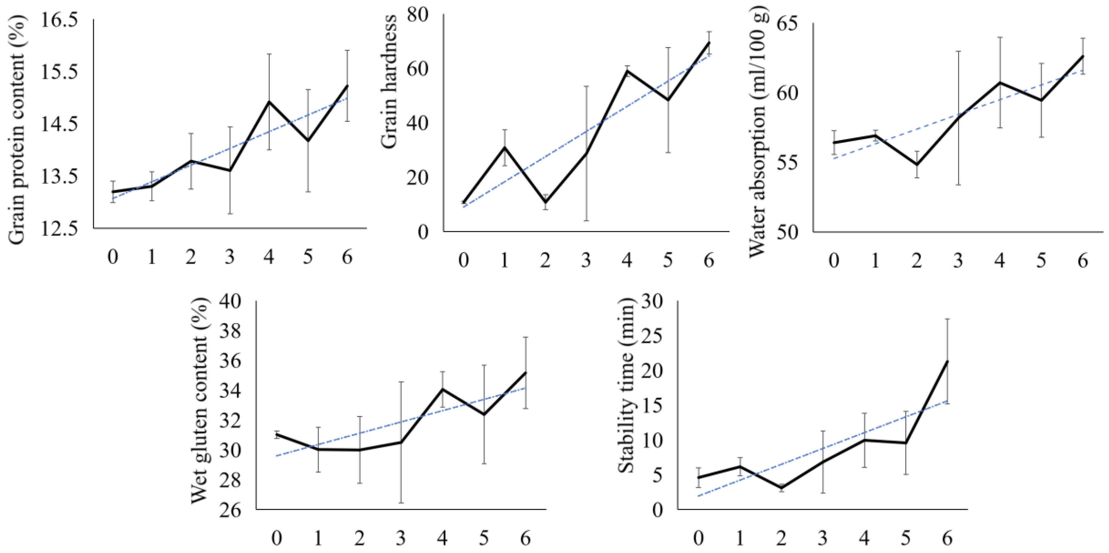
3.2. Evaluation and Validation of the QMMS in Breeding Nursery Materials
3.3. Genotype Identification of Regional Trial Materials
3.4. Promotion and Application of the Wheat Quality Molecular Marker System
4. Discussion
4.1. Advantages of QMMS in Addressing Limitations of Traditional Wheat Quality Breeding
4.2. QMMS-Guided Parental Selection for Strong-Gluten Wheat Breeding and Challenges in Weak-Gluten Wheat Improvement
4.3. Applicability and Future Optimization Directions of QMMS
5. Conclusions
Supplementary Materials
Author Contributions
Funding
Data Availability Statement
Acknowledgments
Conflicts of Interest
References
- Brinton, J.; Uauy, C. A reductionist approach to dissecting grain weight and yield in wheat. J. Integr. Plant Biol. 2019, 61, 337–358. [Google Scholar] [CrossRef] [PubMed]
- He, Z.; Zhuang, Q.; Cheng, S.; Yu, Z.; Zhao, Z.; Liu, X. Wheat Production and Technology Improvement in China. J. Agric. 2018, 8, 99–106. [Google Scholar]
- He, Z.; Xia, X.; Chen, X.; Zhuang, Q. Progress of Wheat Breeding in China and the Future Perspective. Acta Agron. Sin. 2011, 37, 202–215. [Google Scholar] [CrossRef]
- Balyan, H.S.; Gupta, P.K.; Kumar, S.; Dhariwal, R.; Jaiswal, V.; Tyagi, S.; Agarwal, P.; Gahlaut, V.; Kumari, S. Genetic improvement of grain protein content and other health-related constituents of wheat grain. Plant Breed. 2013, 132, 446–457. [Google Scholar] [CrossRef]
- Ma, J.; Zhang, C.-y.; Yan, G.-j.; Liu, C.-j. Identification of QTLs Conferring Agronomic and Quality Traits in Hexaploid Wheat. J. Integr. Agric. 2012, 11, 1399–1408. [Google Scholar] [CrossRef]
- Prasad, M.; Kumar, N.; Kulwal, P.; Röder, M.; Balyan, H.; Dhaliwal, H.; Gupta, P. QTL analysis for grain protein content using SSR markers and validation studies using NILs in bread wheat. Theor. Appl. Genet. 2003, 106, 659–667. [Google Scholar] [CrossRef]
- Fatiukha, A.; Filler, N.; Lupo, I.; Lidzbarsky, G.; Klymiuk, V.; Korol, A.; Pozniak, C.; Fahima, T.; Krugman, T. Grain protein content and thousand kernel weight QTLs identified in a durum × wild emmer wheat mapping population tested in five environments. Theor. Appl. Genet. 2020, 133, 119–131. [Google Scholar] [CrossRef]
- Gonzalez-Hernandez, J.L.; Elias, E.M.; Kianian, S.F. Mapping genes for grain protein concentration and grain yield on chromosome 5B of Triticum turgidum (L.) var. dicoccoides. Euphytica 2004, 139, 217–225. [Google Scholar] [CrossRef]
- Kunert, A.; Naz, A.A.; Dedeck, O.; Pillen, K.; Léon, J. AB-QTL analysis in winter wheat: I. Synthetic hexaploid wheat (T. turgidum ssp. dicoccoides × T. tauschii) as a source of favourable alleles for milling and baking quality traits. Theor. Appl. Genet. 2007, 115, 683–695. [Google Scholar] [CrossRef]
- Wang, J.; Yang, C.; Zhao, W.; Wang, Y.; Qiao, L.; Wu, B.; Zhao, J.; Zheng, X.; Wang, J.; Zheng, J. Genome-wide association study of grain hardness and novel Puroindoline alleles in common wheat. Mol. Breed. 2022, 42, 40. [Google Scholar] [CrossRef] [PubMed]
- Morris, C.F. Puroindolines: The molecular genetic basis of wheat grain hardness. Plant Mol. Biol. 2002, 48, 633–647. [Google Scholar] [CrossRef] [PubMed]
- Zhang, P.; Jondiko, T.O.; Tilley, M.; Awika, J.M. Effect of high molecular weight glutenin subunit composition in common wheat on dough properties and steamed bread quality. J. Sci. Food Agric. 2014, 94, 2801–2806. [Google Scholar] [CrossRef]
- Payne, P.I.; Nightingale, M.A.; Krattiger, A.F.; Holt, L.M. The relationship between HMW glutenin subunit composition and the bread-making quality of British-grown wheat varieties. J. Sci. Food Agric. 1987, 40, 51–65. [Google Scholar] [CrossRef]
- Würschum, T.; Leiser, W.L.; Kazman, E.; Longin, C.F.H. Genetic control of protein content and sedimentation volume in European winter wheat cultivars. Theor. Appl. Genet. 2016, 129, 1685–1696. [Google Scholar] [CrossRef]
- Li, Z.; Li, X.; Liu, S.; Mai, S.; Qin, Y.; Wang, S.; Zhou, Z.; Yang, K.; Huang, X.; Deng, Y.; et al. Identification and validation of quantitative trait loci for seven quality-related traits in common wheat (Triticum aestivum L.). Theor. Appl. Genet. 2025, 138, 57. [Google Scholar] [CrossRef] [PubMed]
- Pu, Z.-e.; Ye, X.-l.; Li, Y.; Shi, B.-x.; Guo, Z.; Dai, S.-f.; Ma, J.; Liu, Z.-h.; Jiang, Y.-f.; Li, W.; et al. Identification and validation of novel loci associated with wheat quality through a genome-wide association study. J. Integr. Agric. 2022, 21, 3131–3147. [Google Scholar] [CrossRef]
- Jiang, P.; Fan, X.; Zhang, G.; Wu, L.; He, Y.; Li, C.; Zhang, X. Cost-effective duplex Kompetitive Allele Specific PCR markers for homologous genes facilitating wheat breeding. BMC Plant Biol. 2023, 23, 119. [Google Scholar] [CrossRef]
- Jiang, P.; Zhang, P.; Wu, L.; He, Y.; Li, C.; Ma, H.; Zhang, X. Linkage and association mapping and Kompetitive allele-specific PCR marker development for improving grain protein content in wheat. Theor. Appl. Genet. 2021, 134, 3563–3575. [Google Scholar] [CrossRef]
- Hill-Ambroz, K.L.; Brown-Guedira, G.L.; Fellers, J.P. Modified Rapid DNA Extraction Protocol for High Throughput Microsatellite Analysis in Wheat. Crop Sci. 2002, 42, 2088–2091. [Google Scholar] [CrossRef]
- GB/T 21304-2007; Determination of Wheat Hardness—Hardness Index Method. State Administration for Market Regulation and Standardization Administration of China: Beijing, China, 2007.
- NY/T 1094.5-2006; Wheat Experimental Milling—Quadruplex Milling Method. Ministry of Agriculture and Rural Affairs of the People’s Republic of China: Beijing, China, 2006.
- GB/T 5506.2-2024; Wheat and Wheat Flour-Gluten Content-Part 2: Determination of Wet Gluten and Gluten Index by Mechanical Means. State Administration for Market Regulation and Standardization Administration of China: Beijing, China, 2024.
- GB/T 14614-2019; Inspection of Grain and Oils-Doughs Rheological Properties Determination of Wheat Flour-Farinograph Test. Standardization State Administration for Market Regulation and Administration of China: Beijing, China, 2019.
- National Wheat Variety Approval Standards (2024 Revision); National Crop Variety Approval Committee: Beijing, China, 2024.
- Yuan, Q.; Zhao, Y.; Zhang, Z.; Zhen, S.; Wang, J.; Zhang, F.; Chen, L.; Liu, D.; Zhou, Y. Analysis of Quality and Breeding Strategies of Nationally Approved Strong-Gluten and Medium-Strong-Gluten Wheat Varieties in the Huang-Huai Wheat Region from 2020 to 2024. Crops 2025. Available online: https://link.cnki.net/urlid/11.1808.S.20250423.1103.016 (accessed on 23 April 2025).
- Zhang, X.; Lu, C.; Jiang, W.; Zhang, Y.; Lv, G.; Wu, H.; Wang, C.; Li, M.; Wu, S.; Gao, D. Quality selection indices and parent combination principle of weak-gluten wheat. Acta Agron. Sin. 2023, 49, 1282–1291. [Google Scholar] [CrossRef]
- Cao, S.; Liu, B.; Wang, D.; Rasheed, A.; Xie, L.; Xia, X.; He, Z. Orchestrating seed storage protein and starch accumulation toward overcoming yield–quality trade-off in cereal crops. J. Integr. Plant Biol. 2024, 66, 468–483. [Google Scholar] [CrossRef]
- Li, J.; Xie, L.; Tian, X.; Liu, S.; Xu, D.; Jin, H.; Song, J.; Dong, Y.; Zhao, D.; Li, G.; et al. TaNAC100 acts as an integrator of seed protein and starch synthesis exerting pleiotropic effects on agronomic traits in wheat. Plant J. 2021, 108, 829–840. [Google Scholar] [CrossRef]
- Gao, Y.; An, K.; Guo, W.; Chen, Y.; Zhang, R.; Zhang, X.; Chang, S.; Rossi, V.; Jin, F.; Cao, X.; et al. The endosperm-specific transcription factor TaNAC019 regulates glutenin and starch accumulation and its elite allele improves wheat grain quality. Plant Cell 2021, 33, 603–622. [Google Scholar] [CrossRef] [PubMed]
- Ragupathy, R.; Naeem, H.A.; Reimer, E.; Lukow, O.M.; Sapirstein, H.D.; Cloutier, S. Evolutionary origin of the segmental duplication encompassing the wheat GLU-B1 locus encoding the overexpressed Bx7 (Bx7OE) high molecular weight glutenin subunit. Theor. Appl. Genet. 2008, 116, 283–296. [Google Scholar] [CrossRef] [PubMed]
- Lee, M.H.; Kim, K.-M.; Kang, C.-S.; Yoon, M.; Jang, K.-C.; Choi, C. Development of PCR-based markers for identification of wheat HMW glutenin Glu-1Bx and Glu-1By alleles. BMC Plant Biol. 2024, 24, 395. [Google Scholar] [CrossRef]
- Wang, J.; Chapman, S.; Bonnett, D.; Rebetzke, G.; Crouch, J. Application of Population Genetic Theory and Simulation Models to Efficiently Pyramid Multiple Genes via Marker-Assisted Selection. Crop Sci. 2007, 47, 582–590. [Google Scholar] [CrossRef]
- Bonnett, D.; Rebetzke, G.; Spielmeyer, W. Strategies for efficient implementation of molecular markers in wheat breeding. Mol. Breed. 2005, 15, 75–85. [Google Scholar] [CrossRef]
- Ge, D.; Wang, Y.; Wang, C.; Chen, C.; Liu, X.; Deng, P.; Li, T.; Wang, H.; Zheng, X.; Yang, H.; et al. Analysis on Yield, Quality and Disease Resistance of Wheat Varieties in the Southern Huang Huai Winter Wheat Region from 2011 to 2024. J. Triticeae Crops 2025. Available online: https://link.cnki.net/urlid/61.1359.s.20250704.1646.004 (accessed on 7 July 2025).
- Zhou, Y.; Li, F.; Peng, S.; Wang, D.; Man, J. Current Status and Development Strategies of China’s Weak-Gluten Wheat Industry. J. Huazhong Agric. Univ. 2025, 44, 145–157. [Google Scholar]
- Lv, G.; Zhang, B.; Zhang, X.; Cheng, S. Screening for Weak Gluten Resources from Chinese Mini-core Collections Germplasms. Chin. Agric. Sci. Bull. 2008, 24, 260–263. [Google Scholar]
- Xia, S.; Wang, F.; Wang, L.; Zhou, Q.; Cai, J.; Wang, X.; Huang, M.; Dai, T.; Jiang, D. Study on the Adaptability of Wheat Reaching the Protein Content Standard of Soft Wheat in Jiangsu Province. Sci. Agric. Sin. 2020, 53, 4992–5004. [Google Scholar]
- Wu, X.; Li, C.; Tang, Y.; Liu, Y.; Li, B.; Fan, G.; Xiong, T. Effect of nitrogen management modes on grain yield, nitrogen use efficiency and light use ef ficiency of wheat. Chin. J. Appl. Ecol. 2017, 28, 1889–1898. [Google Scholar]
- Zhou, W.; Li, W.; Li, H.; Zhang, S.; Yong, Y.; Zheng, C.; Gao, X.; Cai, Y.; Xu, Q.; Yan, S. Effects of Nitrogen Topdressing and Density Interaction on Yield, Quality and Nitrogen Utilization of Weak Gluten Wheat. J. Triticeae Crops 2024, 44, 1456–1466. [Google Scholar]
- Xiao, J.; Liu, B.; Yao, Y.; Guo, Z.; Jia, H.; Kong, L.; Zhang, A.; Ma, W.; Ni, Z.; Xu, S.; et al. Wheat genomic study for genetic improvement of traits in China. Sci. China Life Sci. 2022, 65, 1718–1775. [Google Scholar] [CrossRef] [PubMed]
- Arruda, M.P.; Lipka, A.E.; Brown, P.J.; Krill, A.M.; Thurber, C.; Brown-Guedira, G.; Dong, Y.; Foresman, B.J.; Kolb, F.L. Comparing genomic selection and marker-assisted selection for Fusarium head blight resistance in wheat (Triticum aestivum L.). Mol. Breed. 2016, 36, 84. [Google Scholar] [CrossRef]




| Kgpc-2B | Kgpc-2D | Kgpc-4A | Pina | Pinb | Glu-A1 | Glu-D1 | ≥5 a | Proportion b (%) | |
|---|---|---|---|---|---|---|---|---|---|
| Favorable alleles for strong-gluten | 213 | 40 | 201 | 2 | 60 | 163 | 168 | 36 | 15.25 |
| Favorable alleles for weak-gluten | 23 | 196 | 35 | 234 | 176 | 73 | 68 | 4 | 1.69 |
| Institution | Total | Candidate Lines of Strong-Gluten | Candidate Lines of Weak-Gluten |
|---|---|---|---|
| YZU | 276 | 66 | 12 |
| LXH | 184 | 39 | 13 |
| ZJ | 184 | 84 | 1 |
| RH | 184 | 84 | 1 |
Disclaimer/Publisher’s Note: The statements, opinions and data contained in all publications are solely those of the individual author(s) and contributor(s) and not of MDPI and/or the editor(s). MDPI and/or the editor(s) disclaim responsibility for any injury to people or property resulting from any ideas, methods, instructions or products referred to in the content. |
© 2025 by the authors. Licensee MDPI, Basel, Switzerland. This article is an open access article distributed under the terms and conditions of the Creative Commons Attribution (CC BY) license (https://creativecommons.org/licenses/by/4.0/).
Share and Cite
Jiang, P.; Fan, X.; Wu, L.; Li, C.; Wang, H.; He, Y.; Zhang, P.; Dong, C.; Yin, G.; Zhang, X. Development, Evaluation, and Application of a Molecular Marker System for Wheat Quality Breeding in China. Agronomy 2025, 15, 2494. https://doi.org/10.3390/agronomy15112494
Jiang P, Fan X, Wu L, Li C, Wang H, He Y, Zhang P, Dong C, Yin G, Zhang X. Development, Evaluation, and Application of a Molecular Marker System for Wheat Quality Breeding in China. Agronomy. 2025; 15(11):2494. https://doi.org/10.3390/agronomy15112494
Chicago/Turabian StyleJiang, Peng, Xiangyun Fan, Lei Wu, Chang Li, Huadun Wang, Yi He, Peng Zhang, Chunhao Dong, Guihong Yin, and Xu Zhang. 2025. "Development, Evaluation, and Application of a Molecular Marker System for Wheat Quality Breeding in China" Agronomy 15, no. 11: 2494. https://doi.org/10.3390/agronomy15112494
APA StyleJiang, P., Fan, X., Wu, L., Li, C., Wang, H., He, Y., Zhang, P., Dong, C., Yin, G., & Zhang, X. (2025). Development, Evaluation, and Application of a Molecular Marker System for Wheat Quality Breeding in China. Agronomy, 15(11), 2494. https://doi.org/10.3390/agronomy15112494

