Sign in to use this feature.

Years

Between: -

Subjects

remove_circle_outline
remove_circle_outline
remove_circle_outline
remove_circle_outline
remove_circle_outline
remove_circle_outline
remove_circle_outline
remove_circle_outline
remove_circle_outline

Journals

remove_circle_outline
remove_circle_outline
remove_circle_outline
remove_circle_outline
remove_circle_outline

Article Types

Countries / Regions

remove_circle_outline
remove_circle_outline
remove_circle_outline
remove_circle_outline

Search Results (710)

Search Parameters:
Keywords = gluconeogenesis

Order results
Result details
Results per page
Select all
Export citation of selected articles as:
15 pages, 1922 KB  
Article
Enhancement of Rice Growth Under Salinity Stress Triggered by Extracellular Polysaccharides from Pantoea alhagi Is Associated with Changes in Physiology and Root Proteomics
by Caoyaxin Zhang, Hao Chen, Changpo Zhang, Jian Xue, Xiaohai Feng, Zongqi Xu, Jian Gao, Liang Sun, Peng Lei, Rui Wang, Hong Xu and Yian Gu
Agriculture 2026, 16(8), 867; https://doi.org/10.3390/agriculture16080867 - 14 Apr 2026
Viewed by 193
Abstract
Soil salinization poses an escalating threat to global crop production. Extracellular polysaccharides (EPSs) secreted by plant growth-promoting rhizobacteria have the potential to improve the salt tolerance of crops. Here, we tested the effects of Pantoea alhagi NX-11 EPSs on the growth, physiological traits, [...] Read more.
Soil salinization poses an escalating threat to global crop production. Extracellular polysaccharides (EPSs) secreted by plant growth-promoting rhizobacteria have the potential to improve the salt tolerance of crops. Here, we tested the effects of Pantoea alhagi NX-11 EPSs on the growth, physiological traits, and root proteomic profiles of rice under salt stress. We found that NX-11 EPSs effectively increased the salt tolerance of rice in soil, with 50 mg/kg EPS exhibiting the strongest plant growth-promoting effect. This effect was associated with increased the K+/Na+ ratio and soluble protein content in roots induced by NX-11 EPSs as well as reduced stomatal aperture and transpiration rate in leaves. Proteomic analyses revealed that NX-11 EPSs markedly changed the protein profiles of roots. Specifically, proteins associated with cyanoamino acid metabolism, glycolysis/gluconeogenesis, and fatty acid degradation were downregulated. Together, these results suggest that NX-11 EPSs improve rice performance under salt stress, accompanied by changes in physiological traits and root protein profiles. Full article
(This article belongs to the Special Issue Biostimulants Extracted from Biomass for Better Crop Growth)
21 pages, 628 KB  
Review
Mechanisms and Management Strategies of Hepatocarcinogenesis Driven by Chronic Hepatitis B Comorbid with Type 2 Diabetes
by Qin Lou, Jiarong Cai and Jianhua Yin
Microorganisms 2026, 14(4), 853; https://doi.org/10.3390/microorganisms14040853 - 10 Apr 2026
Viewed by 320
Abstract
Chronic hepatitis B (CHB) and Type 2 diabetes (T2DM) are major independent risk factors for Hepatocellular carcinoma (HCC). The bidirectional promotion between T2DM and CHB forms the biological basis for their synergistic carcinogenic effect. T2DM mainly accelerates the progression of CHB through mechanisms [...] Read more.
Chronic hepatitis B (CHB) and Type 2 diabetes (T2DM) are major independent risk factors for Hepatocellular carcinoma (HCC). The bidirectional promotion between T2DM and CHB forms the biological basis for their synergistic carcinogenic effect. T2DM mainly accelerates the progression of CHB through mechanisms such as metabolic disorders, oxidative stress, chronic inflammation, and immunosuppression; CHB promotes the development of T2DM mainly through liver damage leading to dysfunction of the central glucose metabolism, HBx-driven gluconeogenesis, inhibition of the insulin signaling pathway, and potential β-cell damage. In comorbid conditions, these mechanisms intertwine to form a vicious cycle across four key aspects: metabolic and lipid disorders, activation of carcinogenic pathways, oxidative stress, and amplification of chronic inflammation, significantly accelerating the hepatocarcinogenesis. Regarding management strategies, we adopt the concept of three-level prevention, integrate various management plans and combine emerging drug therapies. We thus propose the establishment of a management strategy centered on “liver and glucose co-management” with multi-faceted joint control. This review aims to summarize the latest evidence on the mechanisms and management strategies by which the comorbidity of T2DM and CHB promotes the development of HCC, providing a theoretical basis for research on the mechanisms of this comorbidity and population-level HCC prevention strategies. Full article
(This article belongs to the Section Medical Microbiology)
Show Figures

Figure 1

18 pages, 6503 KB  
Article
Toxicity Mechanism of Chlorinated Paraffins with Different Carbon Chain Lengths to Chlorella sp. and Microcystis aeruginosa
by Qihui Li, Jue Li, Guo Li, Peng Lin, Sen Liu, Lin Deng, Yangjinzhi Yu, Xiaowei Zheng, Weizhen Zhang and Zhengqiu Fan
Toxics 2026, 14(4), 311; https://doi.org/10.3390/toxics14040311 - 4 Apr 2026
Viewed by 469
Abstract
Chlorinated paraffins (CPs) are widely used, structurally complex mixtures of chlorinated alkanes whose ecological risks in aquatic ecosystems have raised increasing concern. However, the toxic effects and molecular mechanisms of CPs on primary aquatic producers remain poorly understood. In this study, we used [...] Read more.
Chlorinated paraffins (CPs) are widely used, structurally complex mixtures of chlorinated alkanes whose ecological risks in aquatic ecosystems have raised increasing concern. However, the toxic effects and molecular mechanisms of CPs on primary aquatic producers remain poorly understood. In this study, we used the eukaryotic green algae Chlorella sp. and the prokaryotic cyanobacterium Microcystis aeruginosa (M. aeruginosa) as test organisms to systematically investigate the effects of CPs with different carbon chain lengths, namely short-chain CPs (SCCPs), medium-chain CPs (MCCPs), and long-chain CPs (LCCPs), on algal growth, photosynthetic pigment content, antioxidant systems, cellular ultrastructure, and the underlying molecular responses. Our results showed that CPs toxicity to algae is significantly dependent on both CPs carbon-chain length and algal species. Exposure to 1.0 mg/L SCCPs for 96 h produced a growth inhibition of Chlorella sp. of 14.45%. CPs’ exposure significantly altered algal Chl-a content and elicited antioxidant defense responses, and affected the synthesis and extracellular release of MC-RR and MC-LR in M. aeruginosa. Ultrastructural observations revealed cell surface wrinkling and deformation in both Chlorella sp. and M. aeruginosa. Chlorella sp. additionally exhibited thylakoid disintegration and plasmolysis. Transcriptomic analysis indicated that CPs with different chain lengths significantly downregulated genes in Chlorella sp. associated with DNA replication and mismatch repair, suggesting impairment of replication initiation and elongation and compromised genome stability. Concurrently, genes encoding photosynthetic antenna proteins and carbon fixation were upregulated. In M. aeruginosa, CPs exposure markedly disturbed energy metabolism pathways, including glycolysis/gluconeogenesis and oxidative phosphorylation, which were generally downregulated. This study provides a comparative assessment of CPs’ toxicity between the eukaryotic algae Chlorella sp. and the prokaryotic algae M. aeruginosa, revealing that toxicity is co-determined by carbon chain length and algal species. Additionally, it provides critical toxicological data and establishes a theoretical foundation for the scientific assessment of the aquatic ecological risks posed by CPs with different carbon chain lengths. Full article
(This article belongs to the Section Ecotoxicology)
Show Figures

Graphical abstract

17 pages, 2716 KB  
Article
Divergent Liver and Kidney Metabolic Responses to Ketogenic, High-Fat, and Sucrose-Enriched Diets in Mice
by Giulia Grillo, Nathalie Vega, Agnieszka Zaczek, Anna Selmi, Stéphanie Chanon, Aurelie Vieille Marchiset, Alessandra Santillo, Aneta Balcerczyk, Maura Strigini and Luciano Pirola
Nutrients 2026, 18(7), 1141; https://doi.org/10.3390/nu18071141 - 1 Apr 2026
Viewed by 596
Abstract
Background/Objectives: Feeding with a ketogenic diet (KD), nutritionally devoid of carbohydrates, may be metabolically beneficial. The administration of a KD to mice after previous feeding with a high-fat, high-carbohydrate diet (HFD) induced weight loss, ketonemia, and glycemic normalization. Here, to compare organ-specific responses [...] Read more.
Background/Objectives: Feeding with a ketogenic diet (KD), nutritionally devoid of carbohydrates, may be metabolically beneficial. The administration of a KD to mice after previous feeding with a high-fat, high-carbohydrate diet (HFD) induced weight loss, ketonemia, and glycemic normalization. Here, to compare organ-specific responses to KD, we analyzed lipogenic and gluconeogenic enzymes and genes in the liver and kidney of mice submitted to KD versus (i) HFD or (ii) a saccharose-enriched diet. Methods: Liver and kidney were from (i) mice fed a HFD followed by an 8-week switch to a chow diet (CD), KD continuation of HFD, and (ii) mice submitted to CD, KD, or a saccharose-enriched diet for 1 week. Protein expression levels were determined by Western blotting, and gene expression by qPCR. Hepatic lipid accumulation was visualized by red oil-O. Results: Switch to a KD led to a simultaneous decrease in lipogenic FASN (Fatty Acid Synthase), ACC (Acetyl-CoenzymeA Carboxylase), and its phosphorylated form (pACC-Ser79) in the liver and kidney. In parallel, we observed increased activating phosphorylation of AMPK, the kinase responsible for ACC phosphorylation. In the liver, but not in the kidney, the gluconeogenic rate-limiting enzyme G6Pase (Glucose 6-phosphatase) was repressed under a KD. The switch to a CD significantly reduced hepatic fat accumulation, while a switch to a KD did not allow a significant reversal of hepatic fat accumulation, suggesting resilience to hepatic fat loss under KD. Comparison of a KD versus saccharose-supplemented diet showed an opposite expression pattern of lipogenic enzymes. Conclusions: Administration of KD after previous HFD induced convergent repression of lipogenic enzymes in the liver and kidney, and specific repression of G6Pase in the liver, suggesting a role for kidney gluconeogenesis during KD. KD versus saccharose-supplemented diet had opposite effects on lipogenesis and glycemic control, but both induced loss of lean body mass. Full article
(This article belongs to the Section Nutrition and Obesity)
Show Figures

Figure 1

17 pages, 2362 KB  
Article
Inactivated Klebsiella pneumoniae Induces Metabolic and Hematopoietic Reprogramming to Promote Trained Immunity and Heterologous Antibacterial Protection
by Xiang Cheng, Shaoqiong Huang, Zhidong Hu and Xiaoyong Fan
Vaccines 2026, 14(4), 300; https://doi.org/10.3390/vaccines14040300 - 27 Mar 2026
Viewed by 492
Abstract
Background: Infections caused by multidrug-resistant bacteria and inadequate vaccine coverage against opportunistic pathogens highlight the need for interventions that broadly and durably enhance host defense beyond antigen-specific adaptive immunity. Trained immunity, driven by metabolic and epigenetic reprogramming of innate immune cells, has been [...] Read more.
Background: Infections caused by multidrug-resistant bacteria and inadequate vaccine coverage against opportunistic pathogens highlight the need for interventions that broadly and durably enhance host defense beyond antigen-specific adaptive immunity. Trained immunity, driven by metabolic and epigenetic reprogramming of innate immune cells, has been predominantly characterized using Bacille Calmette–Guérin and β-glucan, whereas its induction by Gram-negative bacteria remains poorly defined. To address this gap, we aimed to determine whether heat-killed Klebsiella pneumoniae (HK Kp) induces trained immunity through metabolic and hematopoietic reprogramming to confer heterologous antibacterial protection. Methods: HK Kp-trained murine bone marrow-derived macrophages and HK Kp-immunized C57BL/6 mice were employed to interrogate functional, metabolic, and transcriptomic reprogramming in vitro, hematopoietic progenitor remodeling in vivo, and protective efficacy against systemic Salmonella Typhimurium and Staphylococcus aureus infection. Results: HK Kp-trained macrophages showed markedly enhanced IL-1β secretion across all restimulation conditions, stimulus-dependent amplification of TNF-α responses, increased phagocytosis, and improved intracellular control of S. typhimurium, together with sustained upregulation of the glycolytic enzymes-encoding genes Hk2 and Pfkfb3. Transcriptomic profiling revealed extensive reprogramming enriched in glycolysis/gluconeogenesis and hematopoietic cell lineage pathways. In vivo, HK Kp immunization shifted bone marrow stem/progenitor compartments toward a myeloid-biased state. HK Kp-trained mice challenged with lethal S. typhimurium or S. aureus exhibited less weight loss, improved survival rates, and reduced bacterial burdens. Conclusions: Inactivated K. pneumoniae orchestrates metabolic and hematopoietic reprogramming to establish enhanced innate immune responsiveness and confer heterologous protection in murine S. typhimurium and S. aureus sepsis models, supporting its potential as a potent inducer of trained immunity. These findings establish HK Kp-based trained immunity as a promising strategy for combating multidrug-resistant and vaccine-evading pathogens. Full article
Show Figures

Figure 1

18 pages, 1486 KB  
Article
Salivary Metabolomic Signatures Associated with Sex-Specific Psychological Distress in Syrian Refugees: A Proof-of-Principle Study
by Tanzi D. Hoover, Steel M. McDonald, Laisa Kelly, Yesim Erim, Tony Montina and Gerlinde A. S. Metz
Metabolites 2026, 16(4), 216; https://doi.org/10.3390/metabo16040216 - 25 Mar 2026
Viewed by 461
Abstract
Background: Refugees arriving from conflict zones often continue to experience trauma and are at increased risk of anxiety and depression. Those seeking asylum form a group at higher risk of suffering adverse mental health outcomes, with higher needs for psychosocial and therapeutic care. [...] Read more.
Background: Refugees arriving from conflict zones often continue to experience trauma and are at increased risk of anxiety and depression. Those seeking asylum form a group at higher risk of suffering adverse mental health outcomes, with higher needs for psychosocial and therapeutic care. This study aimed to determine metabolic changes potentially associated with psychological distress in refugees from Syria, using a saliva-based metabolomics approach via proton nuclear magnetic resonance (1H NMR) spectroscopy. Methods: Participants were recruited from Lethbridge Family Services and categorized into high and low stress burden groups using questionnaires assessing depression (PHQ-9) and generalized anxiety (GAD-7). Salivary metabolomic profiles from 26 female and 32 male participants were analyzed using supervised and unsupervised multivariate statistical methods to identify metabolic differences linked to composite stress, depression, and anxiety. Results: Salivary metabolic profiles showed the most prominent differences associated with anxiety in female participants and depression in male participants. Multivariate statistical analyses identified 31 metabolites and 13 biological pathways that were significantly altered according to mental health status, with the greatest changes observed in glycolysis/gluconeogenesis, sphingolipid metabolism, and taurine/hypotaurine metabolism. Conclusions: These findings indicate that salivary 1H NMR metabolomic profiling can identify a quantifiable “metabolic fingerprint” related to impaired mental health and psychological distress in a cost-effective, objective, and non-invasive way. This analytical strategy shows potential as a screening tool to support effective decision-making, enabling early identification of individuals at highest risk who require timely emotional and medical support. Full article
(This article belongs to the Section Endocrinology and Clinical Metabolic Research)
Show Figures

Figure 1

20 pages, 4675 KB  
Article
MyD88 Inhibition Ameliorates Diabetes-Induced Hepatic Inflammation and Gluconeogenesis Through Adipose IL-10 Induction
by Yi-Cheng Li, Hsiao-Chi Lai, Pei-Hsuan Chen, Chia-Hua Tang and Lee-Wei Chen
Int. J. Mol. Sci. 2026, 27(6), 2883; https://doi.org/10.3390/ijms27062883 - 23 Mar 2026
Viewed by 311
Abstract
Myeloid differentiation factor 88 (MyD88) signaling plays a central role in inflammatory pathway activation. Adipose-derived interleukin-10 (IL-10), which is induced by insulin and lipopolysaccharides, suppresses hepatic glucose production. This study investigated the role of MyD88/IL-10 signaling in diabetes-induced systemic inflammation and hepatic gluconeogenesis. [...] Read more.
Myeloid differentiation factor 88 (MyD88) signaling plays a central role in inflammatory pathway activation. Adipose-derived interleukin-10 (IL-10), which is induced by insulin and lipopolysaccharides, suppresses hepatic glucose production. This study investigated the role of MyD88/IL-10 signaling in diabetes-induced systemic inflammation and hepatic gluconeogenesis. Stromal vascular fractions (SVFs) were isolated from the adipose tissue of Leprdb/db and Leprdb/dbMyD88−/− mice and treated with IL-10 followed by analysis of inflammatory cytokine expression. IL-10 (10 or 50 ng) was injected into adipose tissue of type 2 DM (T2DM) (Leprdb/db) mice to investigate its effect on blood dipeptidyl peptidase-4 (DPP4) activity, insulin resistance, and hepatic gluconeogenic signaling. Hepatic inflammatory markers, gluconeogenic gene expression, and metabolic parameters were assessed. Compared with wild-type mice, Leprdb/db mice exhibited significantly reduced FOXP3 protein expression and IL-10 levels in adipose tissue, accompanied by increased blood DPP4 activity and adiponectin levels, elevated hepatic inflammatory cytokines, and increased G6pc and Pck1 mRNA expression. In contrast, Leprdb/dbMyD88−/− mice showed increased Foxp3 protein and PDGFα mRNA expression, decreased IL-6 and CCL2 mRNA expression in SVFs, increased IL-10 levels in adipose tissue, and lower blood adiponectin and ALT levels. MyD88 deletion also attenuated Kupffer cell accumulation, hepatic inflammatory cytokine expression, and gluconeogenic gene expression. In vitro, IL-10 treatment of SVFs from Leprdb/db mice significantly reduced IL-6 and CCL2 expression and increased Foxp3 mRNA expression. In vivo, adipose IL-10 injection increased Foxp3 and IL-10 expression, expanded Treg cells in SVFs, and activated hepatic Akt signaling, while suppressing pJNK and pNF-κB signaling. These changes were accompanied by reduced blood DPP4 activity, ALT and adiponectin levels, decreased Kupffer cell-derived inflammatory cytokines, reduced hepatic G6pc and Pck1 expression, and improved glucose tolerance. MyD88 signaling induces adipose IL-6 and CCL2, liver inflammation and gluconeogenesis, and blood DPP4 activity by reducing IL-10 and Foxp3 of adipose tissue in T2DM. Enhancing adipose IL-10 induces Treg expansion, inhibits JNK and NF-κB signaling, and alleviates hepatic gluconeogenesis and insulin resistance. MyD88 inhibition or IL-10 elevation in adipose tissue may represent a novel strategy for metabolic syndrome. Full article
Show Figures

Figure 1

13 pages, 1963 KB  
Article
MAPK Phosphatase-3 Mediates Chronic Endoplasmic Reticulum Stress Promoting Hepatic Gluconeogenesis
by Sheng Cao, Yanlin Du, Zhengfeng Fang, Lianqiang Che, Yan Lin, Shengyu Xu, Xuemei Jiang, Guangmang Liu, Yong Zhuo, Lun Hua, Mengmeng Sun, De Wu and Bin Feng
Int. J. Mol. Sci. 2026, 27(6), 2874; https://doi.org/10.3390/ijms27062874 - 22 Mar 2026
Viewed by 327
Abstract
Long-term nutritional excess causes hepatic steatosis, endoplasmic reticulum (ER) stress, hyperglycemia, and hyperlipidemia. Mitogen-activated protein kinase phosphatase-3 (MKP-3) is a well-established stress-regulated protein and a regulator of gluconeogenesis. Our previous study revealed that acute ER stress reduced gluconeogenesis and MKP-3 protein stability. However, [...] Read more.
Long-term nutritional excess causes hepatic steatosis, endoplasmic reticulum (ER) stress, hyperglycemia, and hyperlipidemia. Mitogen-activated protein kinase phosphatase-3 (MKP-3) is a well-established stress-regulated protein and a regulator of gluconeogenesis. Our previous study revealed that acute ER stress reduced gluconeogenesis and MKP-3 protein stability. However, the expression of MKP-3 and its regulatory mechanisms in chronic ER stress remain unclear. The aim of this study was to investigate the effects of chronic ER stress on hepatic MKP-3 expression and its role in the regulation of gluconeogenesis. The results show that long-term administration of thapsigargin (Tg) or palmitic acid promoted gene expression of Mkp-3 and gluconeogenic genes Pepck, G6pc, and Pgc1α in primary mouse hepatocytes. In addition, a long-term high-fat diet (HFD) or Tg administration significantly increased hepatic ER stress and blood glucose level in mice, while inducing the expression of Mkp-3 and hepatic gluconeogenic genes Pepck, G6pc and Pgc1α. Further study revealed that liver-specific Mkp-3 knockout (Mkp-3 LKO) reversed the blood glucose level and expression levels of gluconeogenic genes those were induced by long-term HFD in mice. Moreover, activation of the PKR-like ER kinase (PERK) by its agonist increased hepatic Mkp-3 expression, whereas inhibitor of PERK suppressed the expression of Mkp-3 under Tg administration. These results suggest that chronic high-fat diet might promote hepatic gluconeogenesis via the PERK/MKP-3 pathway. Consequently, this study identified a potential therapeutic target for treating obesity-related hyperglycemia. Full article
(This article belongs to the Special Issue The Latest Molecular Insights into Animal Nutrition)
Show Figures

Graphical abstract

20 pages, 19057 KB  
Article
Dietary Supplementation of L-Carnosine Attenuates High Starch-Induced Disorders of Carbohydrate and Lipid Metabolisms in Zebrafish
by Yang Luo, Yong Long, Xing Lu and Zongbin Cui
Int. J. Mol. Sci. 2026, 27(6), 2875; https://doi.org/10.3390/ijms27062875 - 22 Mar 2026
Viewed by 348
Abstract
The global prevalence of obesity continues to rise, posing serious risks to human health largely because obesity itself leads to metabolic disorders of carbohydrate and lipids. Currently, effective and healthy interventions for lowering blood glucose, reducing blood lipids, and promoting weight loss remain [...] Read more.
The global prevalence of obesity continues to rise, posing serious risks to human health largely because obesity itself leads to metabolic disorders of carbohydrate and lipids. Currently, effective and healthy interventions for lowering blood glucose, reducing blood lipids, and promoting weight loss remain limited due to the complexity of obesity development. Lactobacillus plantarum (GDMCC 1.140) was shown to promote catabolic processes and reduce hepatic lipid accumulation in largemouth bass fed with high-starch feed (HSF) in our previous study; however, molecular mechanisms underlying the function of this probiotic remain unclear. Here, we evaluated the effects of L-carnosine, one of metabolites produced by Lactobacillus plantarum, on carbohydrate and lipid metabolisms in an obesity model of zebrafish, which was induced by HSF. Histopathological analyses of livers from different groups indicated that a dietary supplement with L-carnosine can alleviate hepatic impairment and reduce lipid accumulation in the hepatocytes of obese zebrafish. Transcriptomic analyses revealed that L-carnosine supplementation can reverse the expression of about 70 HSF-induced genes, mainly gene-specific transcription regulators and metabolite interconversion enzymes. Furthermore, approximately 250 HSF-inhibited genes were found to be up-regulated by L-carnosine, reaching levels comparable to those in normal-starch feed (NSF) zebrafish. These genes, targeted by L-carnosine and inhibited by HSF, are highly enriched in GO terms such as lipid metabolic process, small molecule metabolic process, and cellular response to chemical stimulus, with monocarboxylic acid metabolic process, modified amino acid metabolic process and aldehyde metabolic process following, and in KEGG pathways of carbohydrate, lipid and amino acid metabolisms, such as pentose and glucuronate interconversions, glycolysis/gluconeogenesis, glycerolipid metabolism, pentose phosphate pathways, fatty acid degradation, beta-alanine metabolism and arginine and proline metabolism. These findings provide functional and molecular evidence that L-carnosine can ameliorate HSF-induced disorders of carbohydrate and lipid metabolisms. Full article
Show Figures

Figure 1

16 pages, 7913 KB  
Article
Multi-Omics Analysis Reveals Crucial Mechanisms by Which Shading Intensity Regulates Sugar Metabolism in Asparagus Stems
by Qiuxia Li, Gongkai Qiu, Xiaohan Lu, Zhiyuan Liu, Xinyu Zhou, Hu Wang, Fenfen Luo, Mengyao Li, Wei Lu, Chengyao Jiang and Yangxia Zheng
Plants 2026, 15(6), 874; https://doi.org/10.3390/plants15060874 - 12 Mar 2026
Viewed by 673
Abstract
Shade stress is a crucial constraint on asparagus growth in intercropping and dense-planting systems. However, the physiological and molecular mechanisms linking shading intensity to sugar metabolism remain insufficiently understood. Herein, integrating newly generated physiological data with a targeted re-analysis of previously published omics [...] Read more.
Shade stress is a crucial constraint on asparagus growth in intercropping and dense-planting systems. However, the physiological and molecular mechanisms linking shading intensity to sugar metabolism remain insufficiently understood. Herein, integrating newly generated physiological data with a targeted re-analysis of previously published omics datasets, we elucidated sugar metabolism responses in asparagus stems under different shading intensities (0%, 35%, 55%, and 75%). Moderate shading (55%) was associated with higher sucrose and fructose contents, together with increased activities of key sucrose metabolism enzymes, including sucrose synthase (SUS), soluble acid invertase (S-AI), and sucrose phosphate synthase (SPS), accompanied by differential changes in antioxidant enzyme activities (SOD, CAT and POD). Metabolomic analysis revealed a shift in carbon allocation under 55% shading, characterized by the accumulation of nucleotide sugars such as UDP-galactose and GDP-L-fucose. Transcriptomic analysis further indicated the enrichment of glycolysis/gluconeogenesis pathways under this shading condition, along with the upregulation of pyruvate decarboxylase (PDC) and alcohol dehydrogenase (ADH) genes. Collectively, rather than merely confirming known shading responses, these findings provide new empirical evidence that asparagus stems actively reprogram their energy homeostasis and invoke alternative carbon partitioning pathways specifically at a 55% shading threshold. Full article
(This article belongs to the Section Plant Physiology and Metabolism)
Show Figures

Figure 1

17 pages, 5092 KB  
Article
Comparative Transcriptome Analysis Revealed Key Regulatory Genes Under PEG-Induced Osmotic Stress in Soybean
by Chen Liu, Jilin Wang, Die Hu, Ting Wu, Mingyan Xiang, Xuan Gong, Zelin Yi and Xiaomei Fang
Agronomy 2026, 16(5), 569; https://doi.org/10.3390/agronomy16050569 - 5 Mar 2026
Viewed by 464
Abstract
Soybean is a critical oil and protein crop for both food and forage production; however, its growth and development are severely impacted by drought stress. Nevertheless, the molecular regulatory mechanisms underlying drought tolerance in soybean remain poorly understood. In this study, two soybean [...] Read more.
Soybean is a critical oil and protein crop for both food and forage production; however, its growth and development are severely impacted by drought stress. Nevertheless, the molecular regulatory mechanisms underlying drought tolerance in soybean remain poorly understood. In this study, two soybean varieties, Jindou 21 (JD21, drought-tolerant) and Suinong 26 (SN26, drought-sensitive), were used as experimental materials and subjected to 15% PEG6000 to simulate drought stress. Roots and leaves were sampled at 0 h, 6 h, and 12 h after treatment to determine physiological indicators and conduct RNA-seq analysis. The results showed that JD21 exhibited a lower malondialdehyde (MDA) content but higher soluble sugar and proline contents than SN26. A total of 2603 and 3128 osmotic-stress-responsive genes were identified in the roots and leaves of SN26 and JD21, respectively. Additionally, 256 genes in the roots and 215 genes in the leaves showed consistent differential expression between the two varieties across the three treatment time points. KEGG enrichment analysis revealed that the differentially expressed genes were significantly enriched in pathways related to glutathione metabolism, arginine and proline metabolism, glycolysis/gluconeogenesis, and starch and sucrose metabolism. Within these pathways, the functions of GmGST, GmAMD1, GmADH1, GmENO, GmsacA, and GmSUS3 were validated through transgenic hairy root assays, demonstrating that these genes play positive regulatory roles in osmotic stress response. This study provides valuable data for elucidating plant PEG-induced osmotic-stress-response mechanisms and offers theoretical support for drought-resistant soybean breeding. Full article
(This article belongs to the Special Issue Lipid and Hormone Action in Crop Development and Defense)
Show Figures

Figure 1

16 pages, 2196 KB  
Article
Extracellular Metabolite Profiling in CO2-Fixing Bacterium Rhodobacter sphaeroides Under Autotrophic Conditions
by Yu Rim Lee, Suhyeon Hong, Young-Hwan Chu, Soo Youn Lee and Sangmin Lee
Metabolites 2026, 16(3), 156; https://doi.org/10.3390/metabo16030156 - 26 Feb 2026
Viewed by 538
Abstract
Background/Objectives: Rhodobacter sphaeriids is considered a promising biomanufacturing platform due to its capacity to convert CO2 into value-added products. To enhance the yield of CO2-derived products, understanding extracellular metabolite dynamics during autotrophic growth is essential. However, the extracellular metabolite [...] Read more.
Background/Objectives: Rhodobacter sphaeriids is considered a promising biomanufacturing platform due to its capacity to convert CO2 into value-added products. To enhance the yield of CO2-derived products, understanding extracellular metabolite dynamics during autotrophic growth is essential. However, the extracellular metabolite profiles of R. sphaeroides under autotrophic conditions have not been reported. Methods: In this study, we performed a comprehensive analysis of extracellular metabolites produced under autotrophic conditions using capillary electrophoresis time-of-flight mass spectrometry (CE-TOFMS) and liquid chromatography time-of-flight mass spectrometry (LC-TOFMS). Results: A total of 62 putative metabolites were detected, of which 23 were measured above the quantification limit. Metabolites involved in glycolysis and gluconeogenesis constituted the largest proportion of extracellular metabolites, with lactic acid exhibiting the highest accumulation levels. To investigate the transcriptional changes associated with metabolite accumulation, we analyzed gene expression and observed the downregulation of glycolytic genes, including pgi, gapB, and lctB, whereas cfxA, encoding fructose-1,6-bisphosphate aldolase, was upregulated under autotrophic conditions compared to heterotrophic conditions. Conclusions: These results suggest that the carbon assimilation metabolic flux in R. sphaeroides shifts toward the CBB cycle and lactic acid overflow metabolism under autotrophic conditions. Collectively, these findings provide new insights into metabolic regulation during autotrophic growth and offer a basis for reducing extracellular byproduct formation and improving CO2-based biological production in R. sphaeroides. Full article
(This article belongs to the Section Microbiology and Ecological Metabolomics)
Show Figures

Figure 1

17 pages, 2774 KB  
Article
Combined Analysis of the Transcriptome and Metabolome at Different Tissue Glycogen Levels in Yili Horses
by Xueyan Li, Shuman Qian, Liping Yang, Xixi Yang, Xiaokang Chang, Yaqi Zeng and Jun Meng
Animals 2026, 16(4), 662; https://doi.org/10.3390/ani16040662 - 19 Feb 2026
Viewed by 360
Abstract
This study aimed to investigate the relationship between genes and metabolites involved in glycogen metabolism across different tissues of Yili mares using joint transcriptomic and metabolomic analyses. Glycogen content was measured in various tissues (pincer, trapezius, latissimus dorsi, gluteus medius, semitendinosus, external abdominal [...] Read more.
This study aimed to investigate the relationship between genes and metabolites involved in glycogen metabolism across different tissues of Yili mares using joint transcriptomic and metabolomic analyses. Glycogen content was measured in various tissues (pincer, trapezius, latissimus dorsi, gluteus medius, semitendinosus, external abdominal obliques, liver, and heart) from seven Yili mares. The liver, as the visceral tissue with the highest glycogen content, and the gluteus medius, as the muscle with the highest glycogen content, were selected for transcriptomic sequencing and metabolomic analysis. KEGG pathway analysis of differentially expressed genes and metabolites in the liver and the gluteus medius revealed several key pathways associated with glycogen metabolism, including pentose and glucuronic acid interconversion, glycolysis/gluconeogenesis, the TCA cycle, fructose and mannose metabolism, and the pentose phosphate pathway. The gluteus medius tissue exhibited differential expression of 1485 metabolites and 7366 genes compared to the liver, with correlation coefficients between some genes and metabolites in the aforementioned pathways exceeding 0.8. This study highlights the regulatory differences in glycogen synthesis between liver and muscle tissues in Yili horses from multiple perspectives. Notably, genes such as ACO1, ACLY, PCK2, and FBP1, along with metabolites like leucine, tyrosine, and valine, play significant roles in regulating glycogen synthesis in the liver. It is hypothesized that these genes and metabolites contribute to the observed differences in energy metabolism between liver and muscle tissues in Yili horses; however, further in vivo and in vitro experiments are needed to validate this hypothesis. Full article
(This article belongs to the Section Equids)
Show Figures

Figure 1

22 pages, 3449 KB  
Article
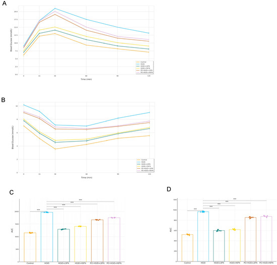
Sulforaphane Against the Metabolic Consequences of a High-Glycemic-Index Diet: Protective and Therapeutic Mechanisms Associated with Obesity and Insulin Resistance
by Mihrican Çubuk, Aylin Açıkgöz Pınar, Bahadır Süleyman and Necip Gökhan Taş
Nutrients 2026, 18(4), 574; https://doi.org/10.3390/nu18040574 - 9 Feb 2026
Viewed by 754
Abstract
Objective: This study investigated the effects of different doses and timing of sulforaphane (SFN) supplementation on reducing obesity induced by a high-glycemic-index diet (HGID) and on correcting poor glycemic control and dyslipidemia in C57BL/6 mice. Method: For 15 weeks, mice were administered a [...] Read more.
Objective: This study investigated the effects of different doses and timing of sulforaphane (SFN) supplementation on reducing obesity induced by a high-glycemic-index diet (HGID) and on correcting poor glycemic control and dyslipidemia in C57BL/6 mice. Method: For 15 weeks, mice were administered a control diet (control), HGID, HGID + oral 5 mg/kg/day SFN (HGID + LSFN), or HGID + 20 mg/kg/day SFN (HGID + HSFN), and following 15 weeks of HGID, mice were treated with 5 mg/kg/day SFN (PO-HGID + LSFN) or 20 mg/kg/day SFN (PO-HGID + HSFN) for 5 weeks. Results: SFN reduced body weight gain and serum glucose. The lowest levels of HbA1c were observed in the control and HGID + LSFN groups. Mice in the HGID group exhibited impaired glucose clearance and were less sensitive to insulin compared to the control. A remarkable improvement in glucose and insulin tolerance was observed in both PO-HGID + SFN and HGID + SFN groups. Lipid profile parameters and serum insulin levels were found to be lower in the control and HGID + SFN groups compared to the HGID group. SFN increased serum adiponectin levels when administered concurrently with HGID. IRS1 and IRS2 levels were highest in the control and HGID + LSFN groups, and high-dose SFN supplementation suppressed IRS1 independently of timing. Exposure to HGID downregulated the expression of PGC-1α and sirtuins. SIRT1 and SIRT3 gene expressions showed a significant increase at both doses, whereas SIRT2 gene expression increased significantly only at 5 mg/kg/day SFN. FASN expression was upregulated in all HGID-fed groups with or without SFN intervention. Conclusions: SFN may reverse the adverse effects of HGID in a time- and dose-dependent manner by regulating postprandial insulin, inhibiting gluconeogenesis, and enhancing fatty acid oxidation through the activation of sirtuins and PGC-1α. Full article
(This article belongs to the Special Issue Phytonutrients in Diseases of Affluence)
Show Figures

Figure 1

19 pages, 7088 KB  
Article
Integrating Transcriptomics and Metabolomics to Elucidate the Molecular Mechanisms Underlying Beef Quality Variations
by Fengying Ma, Le Zhou, Yanchun Bao, Lili Guo, Jiaxin Sun, Shuai Li, Lin Zhu, Risu Na, Caixia Shi, Mingjuan Gu and Wenguang Zhang
Foods 2026, 15(3), 561; https://doi.org/10.3390/foods15030561 - 5 Feb 2026
Viewed by 535
Abstract
Elucidating the molecular mechanisms underlying beef quality differences is crucial for precision breeding of high-quality cattle. In this study, we first characterized the myofibrillar morphology of high-quality (H group) and low-quality (L group) beef samples using hematoxylin–eosin (HE) staining. Transcriptomic and metabolomic analyses [...] Read more.
Elucidating the molecular mechanisms underlying beef quality differences is crucial for precision breeding of high-quality cattle. In this study, we first characterized the myofibrillar morphology of high-quality (H group) and low-quality (L group) beef samples using hematoxylin–eosin (HE) staining. Transcriptomic and metabolomic analyses were then conducted to reveal the molecular regulatory basis of quality variation. HE staining revealed highly significant differences in muscle fiber area and diameter between H and L groups (p < 0.01), along with significant differences in muscle fiber density (p < 0.05), but no significant differences in muscle fiber perimeter. Furthermore, by focusing on five core metabolic pathways shared across the transcriptome and metabolome datasets, 30 differentially expressed genes (DEGs) and 14 differentially accumulated metabolites (DAMs) were identified. Pearson correlation analysis revealed synergistic regulation between DEGs and DAMs: AMPD2 modulates umami flavor by regulating inosine accumulation via the purine metabolism pathway; ACOX3 promotes unsaturated fatty acid synthesis and intramuscular fat deposition through carbohydrate metabolism; genes in the glycolysis/gluconeogenesis pathway maintain post-slaughter muscle pH homeostasis, thereby influencing beef tenderness. Collectively, this study integrates morphological and molecular evidence to elucidate the multi-level basis of beef quality formation, providing key candidate genes, metabolites, and pathways for molecular breeding. These findings offer comprehensive theoretical and technical support for the sustainable development of the premium beef industry. Full article
(This article belongs to the Section Meat)
Show Figures

Figure 1

Back to TopTop