Sign in to use this feature.

Years

Between: -

Subjects

remove_circle_outline
remove_circle_outline
remove_circle_outline
remove_circle_outline
remove_circle_outline

Journals

Article Types

Countries / Regions

Search Results (62)

Search Parameters:
Keywords = global ionospheric modeling products

Order results
Result details
Results per page
Select all
Export citation of selected articles as:
14 pages, 3376 KB  
Technical Note
Ionospheric TEC Forecasting with ED-ConvLSTM-Res Integrating Multi-Channel Features
by Jiayue Yang, Wengeng Huang, Lei Zhang, Heng Xu, Hua Shen, Xin Wang and Ming Li
Remote Sens. 2025, 17(21), 3564; https://doi.org/10.3390/rs17213564 - 28 Oct 2025
Viewed by 652
Abstract
This paper proposes a convolutional Long Short-Term Memory (ConvLSTM) network integrated with multi-channel features dedicated to ionospheric total electron content (TEC) forecasting. To improve generalization, solar, and geomagnetic activity indices are added as auxiliary channel inputs. The model is built upon an Encoder–Decoder [...] Read more.
This paper proposes a convolutional Long Short-Term Memory (ConvLSTM) network integrated with multi-channel features dedicated to ionospheric total electron content (TEC) forecasting. To improve generalization, solar, and geomagnetic activity indices are added as auxiliary channel inputs. The model is built upon an Encoder–Decoder (ED) architecture enhanced with residual connections and convolutional channel projection, which collectively improve the synergy among its core components. Based on this framework, we developed ED-ConvLSTM-Res, a multi-channel feature-based global ionospheric TEC prediction model. Comprehensive accuracy evaluation and comparative tests were carried out using datasets from the solar minimum year of 2019 and the current solar maximum year of 2024. The results indicate that the proposed model consistently achieves strong predictive performance compared with other models, along with a significantly enhanced feature representation capability. Specifically, the Root Mean Square Errors (RMSE) of the ED-ConvLSTM-Res model’s predictions in 2019 and 2024 are 1.28 TECU and 5.28 TECU, respectively, while the corresponding Mean Absolute Errors (MAE) are 0.87 and 3.87, and the coefficients of determination (R2) are 0.95 and 0.94. In the current high solar activity year 2024, the proposed model achieves error reductions of 13.6% in MAE and 11.6% in RMSE compared with the Center for Orbit Determination in Europe (CODE)’s one-day-ahead forecast product, c1pg. These results confirm that the proposed model not only outperforms the ConvLSTM model without additional indices and c1pg but also exhibits strong generalization capability, maintaining stable performance with low errors under both high and low solar activity conditions. Full article
Show Figures

Figure 1

18 pages, 3089 KB  
Article
Comparisons of Differential Code Bias (DCB) Estimates and Low-Earth-Orbit (LEO)-Topside Ionosphere Extraction Based on Two Different Topside Ionosphere Processing Methods
by Mingming Liu, Yunbin Yuan, Jikun Ou and Bingfeng Tan
Remote Sens. 2025, 17(21), 3550; https://doi.org/10.3390/rs17213550 - 27 Oct 2025
Viewed by 424
Abstract
Global navigation satellite system (GNSS) differential code bias (DCB) and topside ionosphere vertical electron content (VEC) can be estimated using onboard data from low-earth-orbit (LEO) satellites. These satellites provide the potential to make up for the lack of ground-based stations in the oceanic [...] Read more.
Global navigation satellite system (GNSS) differential code bias (DCB) and topside ionosphere vertical electron content (VEC) can be estimated using onboard data from low-earth-orbit (LEO) satellites. These satellites provide the potential to make up for the lack of ground-based stations in the oceanic and polar regions and establish a high-precision global ionosphere model. In order to study the influences of different LEO-topside VEC processing methods on estimates, we creatively analyzed and compared the results and accuracy of the DCBs and LEO-topside VEC estimates using two topside VEC solutions—the SH-topside VEC (spherical harmonic-topside vertical electron content) and EP-topside VEC (epoch parameter-topside vertical electron content) methods. Some conclusions are drawn as follows. (1) Using GRACE-A data (400 km in 2016), the monthly stabilities (STDs) of GPS satellite DCBs and LEO receiver DCBs using the EP-topside VEC method are better than those using the SH-topside VEC method. For JASON-2 data (1350 km), the STD results of GPS DCBs using the SH-topside VEC method are slightly superior to those using the EP-topside VEC method, and LEO DCBs using the two methods have similar STD results. However, the root mean square (RMS) results for GPS DCBs using the SH-topside VEC model relative to the Center for Orbit Determination in Europe (CODE) products are slightly superior to those using the EP-topside VEC method. (2) The peak ranges of the actual GRACE-A-topside VEC results using the SH-topside VEC and EP-topside VEC methods are within 42 and 35 TECU, respectively, while the peak ranges of the JASON-2-topside VEC results are both within 6 TECU. Additionally, only the SH-topside VEC model results are displayed due to the EP-topside VEC method not modeling VEC. Due to the difference in orbital altitude, the results and distributions of the GRACE-topside VECs differ from those of the JASON-topside VECs, with the former being more consistent with the ground-based results, indicating that there may be different height structures in the LEO-topside VECs. In addition, we applied the IRI-GIM (International Reference Ionosphere model–Global Ionosphere Map) method to compare the LEO-based topside VEC results, which indicate that the accuracy of GRACE-A-topside VEC using the EP-topside VEC method is better than that using the SH-topside VEC method, whereas for JASON-2, the two methods have similar accuracy. Meanwhile, we note that the temporal and spatial resolutions of the SH-topside VEC method are higher than those of the EP-topside VEC method, and the former has a wide range of usability and predictive characteristics. The latter seems to correspond to the single-epoch VEC mean of the former to some extent. Full article
(This article belongs to the Special Issue Low Earth Orbit Enhanced GNSS: Opportunities and Challenges)
Show Figures

Figure 1

27 pages, 16753 KB  
Article
A 1°-Resolution Global Ionospheric TEC Modeling Method Based on a Dual-Branch Input Convolutional Neural Network
by Nian Liu, Yibin Yao and Liang Zhang
Remote Sens. 2025, 17(17), 3095; https://doi.org/10.3390/rs17173095 - 5 Sep 2025
Viewed by 1321
Abstract
Total Electron Content (TEC) is a fundamental parameter characterizing the electron density distribution in the ionosphere. Traditional global TEC modeling approaches predominantly rely on mathematical methods (such as spherical harmonic function fitting), often resulting in models suffering from excessive smoothing and low accuracy. [...] Read more.
Total Electron Content (TEC) is a fundamental parameter characterizing the electron density distribution in the ionosphere. Traditional global TEC modeling approaches predominantly rely on mathematical methods (such as spherical harmonic function fitting), often resulting in models suffering from excessive smoothing and low accuracy. While the 1° high-resolution global TEC model released by MIT offers improved temporal-spatial resolution, it exhibits regions of data gaps. Existing ionospheric image completion methods frequently employ Generative Adversarial Networks (GANs), which suffer from drawbacks such as complex model structures and lengthy training times. We propose a novel high-resolution global ionospheric TEC modeling method based on a Dual-Branch Convolutional Neural Network (DB-CNN) designed for the completion and restoration of incomplete 1°-resolution ionospheric TEC images. The novel model utilizes a dual-branch input structure: the background field, generated using the International Reference Ionosphere (IRI) model TEC maps, and the observation field, consisting of global incomplete TEC maps coupled with their corresponding mask maps. An asymmetric dual-branch parallel encoder, feature fusion, and residual decoder framework enables precise reconstruction of missing regions, ultimately generating a complete global ionospheric TEC map. Experimental results demonstrate that the model achieves Root Mean Square Errors (RMSE) of 0.30 TECU and 1.65 TECU in the observed and unobserved regions, respectively, in simulated data experiments. For measured experiments, the RMSE values are 1.39 TECU and 1.93 TECU in the observed and unobserved regions. Validation results utilizing Jason-3 altimeter-measured VTEC demonstrate that the model achieves stable reconstruction performance across all four seasons and various time periods. In key-day comparisons, its STD and RMSE consistently outperform those of the CODE global ionospheric model (GIM). Furthermore, a long-term evaluation from 2021 to 2024 reveals that, compared to the CODE model, the DB-CNN achieves average reductions of 38.2% in STD and 23.5% in RMSE. This study provides a novel dual-branch input convolutional neural network-based method for constructing 1°-resolution global ionospheric products, offering significant application value for enhancing GNSS positioning accuracy and space weather monitoring capabilities. Full article
Show Figures

Figure 1

23 pages, 7965 KB  
Article
A COSMIC-2-Based Global Mean TEC Model and Its Application to Calibrating IRI-2020 Global Ionospheric Maps
by Yuxiao Lei, Weitang Wang, Yibin Yao and Liang Zhang
Remote Sens. 2025, 17(13), 2322; https://doi.org/10.3390/rs17132322 - 7 Jul 2025
Viewed by 949
Abstract
While space weather indices (e.g., F10.7, Dst index) are commonly employed to characterize ionospheric activity levels, the Global Mean Electron Content (GMEC) provides a more direct and comprehensive indicator of the global ionospheric state. This metric demonstrates greater potential than space weather indices [...] Read more.
While space weather indices (e.g., F10.7, Dst index) are commonly employed to characterize ionospheric activity levels, the Global Mean Electron Content (GMEC) provides a more direct and comprehensive indicator of the global ionospheric state. This metric demonstrates greater potential than space weather indices for calibrating empirical ionospheric models such as IRI-2020. The COSMIC-2 constellation enables continuous, all-weather global ionospheric monitoring via radio occultation, unimpeded by land–sea distribution constraints, with over 8000 daily occultation events suitable for GMEC modeling. This study developed two lightweight GMEC models using COSMIC-2 data: (1) a POD GMEC model based on slant TEC (STEC) extracted from Level 1b podTc2 products and (2) a PROF GMEC model derived from vertical TEC (VTEC) calculated from electron density profiles (EDPs) in Level 2 ionPrf products. Both backpropagation neural network (BPNN)-based models generate hourly GMEC outputs as global spatial averages. Critically, GMEC serves as an essential intermediate step that addresses the challenges of utilizing spatially irregular occultation data by compressing COSMIC-2’s ionospheric information into an integrated metric. Building on this compressed representation, we implemented a convolutional neural network (CNN) that incorporates GMEC as an auxiliary feature to calibrate IRI-2020’s global ionospheric maps. This approach enables computationally efficient correction of systemic IRI TEC errors. Experimental results demonstrate (i) 48.5% higher accuracy in POD/PROF GMEC relative to IRI-2020 GMEC estimates, and (ii) the calibrated global IRI TEC model (designated GCIRI TEC) reduces errors by 50.15% during geomagnetically quiet periods and 28.5% during geomagnetic storms compared to the original IRI model. Full article
Show Figures

Figure 1

19 pages, 5290 KB  
Article
Real-Time Regional Ionospheric Total Electron Content Modeling Using the Extended Kalman Filter
by Jun Tang, Yuhan Gao, Heng Liu, Mingxian Hu, Chaoqian Xu and Liang Zhang
Remote Sens. 2025, 17(9), 1568; https://doi.org/10.3390/rs17091568 - 28 Apr 2025
Viewed by 1202
Abstract
Real-time ionospheric products can accelerate the convergence of real-time precise point positioning (PPP) to improve the real-time positioning services of global navigation satellite systems (GNSSs), as well as to achieve continuous monitoring of the ionosphere. This study applied an extended Kalman filter (EKF) [...] Read more.
Real-time ionospheric products can accelerate the convergence of real-time precise point positioning (PPP) to improve the real-time positioning services of global navigation satellite systems (GNSSs), as well as to achieve continuous monitoring of the ionosphere. This study applied an extended Kalman filter (EKF) to total electron content (TEC) modeling, proposing a regional real-time EKF-based ionospheric model (REIM) with a spatial resolution of 1° × 1° and a temporal resolution of 1 h. We examined the performance of REIM through a 7-day period during geomagnetic storms. The post-processing model from the China Earthquake Administration (IOSR), CODG, IGSG, and the BDS geostationary orbit satellite (GEO) observations were utilized as reference. The consistency analysis showed that the mean deviation between REIM and IOSR was 0.97 TECU, with correlation coefficients of 0.936 and 0.938 relative to IOSR and IGSG, respectively. The VTEC mean deviation between REIM and BDS GEO observations was 4.15 TECU, which is lower than those of CODG (4.68 TECU), IGSG (5.67 TECU), and IOSR (6.27 TECU). In the real-time single-frequency PPP (RT-SF-PPP) experiments, REIM-augmented positioning converges within approximately 80 epochs, and IGSG requires 140 epochs. The REIM-augmented east-direction positioning error was 0.086 m, smaller than that of IGSG (0.095 m) and the Klobuchar model (0.098 m). REIM demonstrated high consistencies with post-processing models and showed a higher accuracy at IPPs of BDS GEO satellites. Moreover, the correction results of the REIM model are comparable to post-processing models in RT-SF-PPP while achieving faster convergence. Full article
Show Figures

Figure 1

26 pages, 13225 KB  
Article
A New and Tested Ionospheric TEC Prediction Method Based on SegED-ConvLSTM
by Yuanhang Liu, Yingkui Gong, Hao Zhang, Ziyue Hu, Guang Yang and Hong Yuan
Remote Sens. 2025, 17(5), 885; https://doi.org/10.3390/rs17050885 - 2 Mar 2025
Cited by 3 | Viewed by 2404
Abstract
Total electron content (TEC) serves as a key parameter characterizing ionospheric conditions. Accurate prediction of TEC plays a crucial role in improving the precision of Global Navigation Satellite Systems (GNSS). However, existing research have predominantly emphasized spatial variations in the ionosphere, neglecting the [...] Read more.
Total electron content (TEC) serves as a key parameter characterizing ionospheric conditions. Accurate prediction of TEC plays a crucial role in improving the precision of Global Navigation Satellite Systems (GNSS). However, existing research have predominantly emphasized spatial variations in the ionosphere, neglecting the periodic changes of the ionosphere with the diurnal cycle. In this paper, we propose a TEC prediction model, which simultaneously considers both spatial and temporal characteristics to extract spatiotemporal features of ionospheric distribution. Additionally, we integrate several space weather element datasets into the prediction model framework, allowing the generation of multiple space weather feature values that represent the influence of space weather on the ionosphere at different latitudes and longitudes. Moreover, we apply Gaussian process regression (GPR) interpolation to geomagnetic data to characterize impact on the ionosphere, thereby enhancing the prediction accuracy. We compared our model with traditional image-based models such as convolutional neural networks (CNNs), convolutional long short-term memory networks (ConvLSTMs), a self-attention mechanism-integrated ConvLSTM (SAM-ConvLSTM) model, and one-day predicted ionospheric products (C1PG) provided by the Center for Orbit Determination in Europe (CODE). We also examined the effect of using different numbers of space weather feature values in these models. Our model outperforms the comparison models in terms of prediction error metrics, including mean absolute error (MAE), root mean square error (RMSE), correlation coefficient (CC), and the structural similarity index (SSIM). Furthermore, we analyzed the influence of different batch sizes on model training accuracy to find the best performance of each model. In addition, we investigated the model performance during geomagnetic quiet periods, where our model provided the most accurate predictions and demonstrates higher prediction accuracy in the equatorial anomaly region. We also analyzed the prediction performance of all models during space weather events. The results indicate that the proposed model is the least affected during geomagnetic storms and demonstrates superior prediction performance compared to other models. This study presents a more stable and high-performance spatiotemporal prediction model for TEC. Full article
Show Figures

Figure 1

22 pages, 15337 KB  
Article
BDS-3/GNSS Undifferenced Pseudorange and Phase Time-Variant Mixed OSB Considering the Receiver Time-Variant Biases and Its Benefit on Multi-Frequency PPP
by Guoqiang Jiao, Ke Su, Min Fan, Yuze Yang and Huaquan Hu
Remote Sens. 2024, 16(23), 4433; https://doi.org/10.3390/rs16234433 - 27 Nov 2024
Viewed by 1336
Abstract
The legacy Global Navigation Satellite System (GNSS) satellite clock offsets obtained by the dual-frequency undifferenced (UD) ionospheric-free (IF) model absorb the code and phase time-variant hardware delays, which leads to the inconsistency of the precise satellite clock estimated by different frequencies. The dissimilarity [...] Read more.
The legacy Global Navigation Satellite System (GNSS) satellite clock offsets obtained by the dual-frequency undifferenced (UD) ionospheric-free (IF) model absorb the code and phase time-variant hardware delays, which leads to the inconsistency of the precise satellite clock estimated by different frequencies. The dissimilarity of the satellite clock offsets generated by different frequencies is called the inter-frequency clock bias (IFCB). Estimates of the IFCB typically employ epoch-differenced (ED) geometry-free ionosphere-free (GFIF) observations from global networks. However, this method has certain theoretical flaws by ignoring the receiver time-variant biases. We proposed a new undifferenced model coupled with satellite clock offsets, and further converted the IFCB into the code and phase time-variant mixed observable-specific signal bias (OSB) to overcome the defects of the traditional model and simplify the bias correction process of multi-frequency precise point positioning (PPP). The new model not only improves the mixed OSB performance, but also avoids the negative impact of the receiver time-variant biases on the satellite mixed OSB estimation. The STD and RMS of the original OSB can be improved by 7.5–60.9% and 9.4–66.1%, and that of ED OSB (it can reflect noise levels) can be improved by 50.0–87.5% and 60.0–88.9%, respectively. Similarly, the corresponding PPP performance for using new mixed OSB is better than that of using the traditional IFCB products. Thus, the proposed pseudorange and phase time-variant mixed OSB concept and the new undifferenced model coupled with satellite clock offsets are reliable, applicable, and effective in multi-frequency PPP. Full article
Show Figures

Graphical abstract

13 pages, 4298 KB  
Article
Towards Real-Time Integrated Water Vapor Estimates with Triple-Frequency Galileo Observations and CNES Products
by Mohamed Abdelazeem
Atmosphere 2024, 15(11), 1320; https://doi.org/10.3390/atmos15111320 - 2 Nov 2024
Cited by 1 | Viewed by 1258
Abstract
Integrated water vapor (IWV) is a crucial parameter for tropospheric sounding and weather prediction applications. IWV is essentially calculated using observations from global navigation satellite systems (GNSS). Presently, the Galileo satellite system is further developed, including more visible satellites that transmit multi-frequency signals. [...] Read more.
Integrated water vapor (IWV) is a crucial parameter for tropospheric sounding and weather prediction applications. IWV is essentially calculated using observations from global navigation satellite systems (GNSS). Presently, the Galileo satellite system is further developed, including more visible satellites that transmit multi-frequency signals. This study aims to evaluate the accuracy of real-time IWV estimated from a triple-frequency Galileo-only precise point positioning (PPP) processing model utilizing E1, E5a, E5b, and E5 observations, which is not addressed by the previous studies. For this purpose, Galileo datasets from 10 global reference stations spanning various 4-week periods in the winter, spring, summer, and fall seasons are acquired. To process the acquired datasets, dual- and triple-frequency ionosphere-free PPP solutions are used, including E1E5a PPP, E1E5aE5b PPP, and E1E5E5b PPP solutions. The publicly available real-time products from the Centre National d’Etudes Spatiales (CNES) are utilized. The real-time IWV values are computed and then validated with the European Centre for Medium-Range Weather Forecasting (ECMWF) reanalysis products (ERA5) counterparts. The findings demonstrate that the root mean square error (RMSE) of the estimated IWV is less than 3.15 kg/m2 with respect to the ECMWF ERA5 counterparts. Furthermore, the E1E5aE5b PPP and E1E5E5b PPP models enhance the IWV’s accuracy by about 11% and 16%, respectively, compared with the E1E5a PPP model. Full article
(This article belongs to the Special Issue GNSS Meteorology: Algorithm, Modelling, Assessment and Application)
Show Figures

Figure 1

20 pages, 4067 KB  
Article
Enhancing Atmospheric Monitoring Capabilities: A Comparison of Low- and High-Cost GNSS Networks for Tropospheric Estimations
by Paolo Dabove and Milad Bagheri
Remote Sens. 2024, 16(12), 2223; https://doi.org/10.3390/rs16122223 - 19 Jun 2024
Cited by 6 | Viewed by 2304
Abstract
Global Navigation Satellite System (GNSS) signals experience delays when passing through the atmosphere due to the presence of free electrons in the ionosphere and air density in the non-ionized part of the atmosphere, known as the troposphere. The Precise Point Positioning (PPP) technique [...] Read more.
Global Navigation Satellite System (GNSS) signals experience delays when passing through the atmosphere due to the presence of free electrons in the ionosphere and air density in the non-ionized part of the atmosphere, known as the troposphere. The Precise Point Positioning (PPP) technique demonstrates highly accurate positioning along with Zenith Tropospheric Delay (ZTD) estimation. ZTD estimation is valuable for various applications including climate modelling and determining atmospheric water vapor. Current GNSS network resolutions are not completely sufficient for the scale of a few kilometres that regional climate and weather models are increasingly adopting. The Centipede-RTK network is a low-cost option for increasing the spatial resolution of tropospheric monitoring. This study is motivated by the question of whether low-cost GNSS networks can provide a viable alternative without compromising data quality or precision. This study compares the performance of the low-cost Centipede-RTK network in calculating the Zenith Tropospheric Delay (ZTD) to that of the existing EUREF Permanent Network (EPN), using two alternative software packages, RTKLIB demo5 version and CSRS-PPP version 3, to ensure robustness and software independence in the findings. This investigation indicated that the ZTD estimations from both networks are almost identical when processed by the CSRS-PPP software, with the highest mean difference being less than 3.5 cm, confirming that networks such as Centipede-RTK could be a reliable option for dense precise atmospheric monitoring. Furthermore, this study revealed that the Centipede-RTK network, when processed using CSRS-PPP, provides ZTD estimations that are very similar and consistent with the EUREF ZTD product values. These findings suggest that low-cost GNSS networks like Centipede-RTK are viable for enhancing network density, thus improving the spatial resolution of tropospheric monitoring and potentially enriching climate modelling and weather prediction capabilities, paving the way for broader application and research in GNSS meteorology. Full article
(This article belongs to the Special Issue BDS/GNSS for Earth Observation: Part II)
Show Figures

Figure 1

25 pages, 4138 KB  
Article
An EOF-Based Global Plasmaspheric Electron Content Model and Its Potential Role in Vertical-Slant TEC Conversion
by Fengyang Long, Chengfa Gao, Yanfeng Dong and Zhenhao Xu
Remote Sens. 2024, 16(11), 1857; https://doi.org/10.3390/rs16111857 - 23 May 2024
Viewed by 1447
Abstract
Topside total electron content (TEC) data measured by COSMIC/FORMAT-3 during 2008 and 2016 were used to analyze and model the global plasmaspheric electron content (PEC) above 800 km with the help of the empirical orthogonal function (EOF) analysis method, and the potential role [...] Read more.
Topside total electron content (TEC) data measured by COSMIC/FORMAT-3 during 2008 and 2016 were used to analyze and model the global plasmaspheric electron content (PEC) above 800 km with the help of the empirical orthogonal function (EOF) analysis method, and the potential role of the proposed PEC model in helping Global Navigation Satellite System (GNSS) users derive accurate slant TEC (STEC) from existing high-precision vertical TEC (VTEC) products was validated. A uniform gridded PEC dataset was first obtained using the spherical harmonic regression method, and then, it was decomposed into EOF basis modes. The first four major EOF modes contributed more than 99% of the total variance. They captured the pronounced latitudinal gradient, longitudinal differences, hemispherical differences, diurnal and seasonal variations, and the solar activity dependency of global PEC. A second-layer EOF decomposition was conducted for the spatial pattern and amplitude coefficients of the first-layer EOF modes, and an empirical PEC model was constructed by fitting the second-layer basis functions related to latitude, longitude, local time, season, and solar flux. The PEC model was designed to be driven by whether solar proxy or parameters derived from the Klobuchar model meet the real-time requirements. The validation of the results demonstrated that the proposed PEC model could accurately simulate the major spatiotemporal patterns of global PEC, with a root-mean-square (RMS) error of 1.53 and 2.24 TECU, improvements of 40.70% and 51.74% compared with NeQuick2 model in 2009 and 2014, respectively. Finally, the proposed PEC model was applied to conduct a vertical-slant TEC conversion experiment with high-precision Global Ionospheric Maps (GIMs) and dual-frequency carrier phase observables of more than 400 globally distributed GNSS sites. The results of the differential STEC (dSTEC) analysis demonstrated the effectiveness of the proposed PEC model in aiding precise vertical-slant TEC conversion. It improved by 18.52% in dSTEC RMS on a global scale and performed better in 90.20% of the testing days compared with the commonly used single-layer mapping function. Full article
Show Figures

Figure 1

15 pages, 3558 KB  
Technical Note
Operational Forecasting of Global Ionospheric TEC Maps 1-, 2-, and 3-Day in Advance by ConvLSTM Model
by Jiayue Yang, Wengeng Huang, Guozhen Xia, Chen Zhou and Yanhong Chen
Remote Sens. 2024, 16(10), 1700; https://doi.org/10.3390/rs16101700 - 10 May 2024
Cited by 7 | Viewed by 2868
Abstract
In this paper, we propose a global ionospheric total electron content (TEC) maps (GIM) prediction model based on deep learning methods that is both straightforward and practical, meeting the requirements of various applications. The proposed model utilizes an encoder-decoder structure with a Convolution [...] Read more.
In this paper, we propose a global ionospheric total electron content (TEC) maps (GIM) prediction model based on deep learning methods that is both straightforward and practical, meeting the requirements of various applications. The proposed model utilizes an encoder-decoder structure with a Convolution Long Short-Term Memory (ConvLSTM) network and has a spatial resolution of 5° longitude and 2.5° latitude, with a time resolution of 1 h. We utilized the Center for Orbit Determination in Europe (CODE) GIM dataset for 18 years from 2002 to 2019, without requiring any other external input parameters, to train the ConvLSTM models for forecasting GIM 1, 2, and 3 days in advance. Using the CODE GIM data from 1 January 2020 to 31 December 2023 as the test dataset, the performance evaluation results show that the average root mean square errors (RMSE) for 1, 2 and 3 days of forecasts are 2.81 TECU, 3.16 TECU, and 3.41 TECU, respectively. These results show improved performance compared to the IRI-Plas model and CODE’s 1-day forecast product c1pg, and comparable to CODE’s 2-day forecast c2pg. The model’s predictions get worse as the intensity of the storm increases, and the prediction error of the model increases with the lead time. Full article
Show Figures

Graphical abstract

21 pages, 2810 KB  
Article
Investigating the Global Performance of the BDS-2 and BDS-3 Joint Real-Time Undifferenced and Uncombined Precise Point Positioning Using RTS Products from Different Analysis Centers
by Ahao Wang, Yize Zhang, Junping Chen, Hu Wang, Tianning Luo, Mingyou Gong and Quanpeng Liu
Remote Sens. 2024, 16(5), 788; https://doi.org/10.3390/rs16050788 - 24 Feb 2024
Cited by 1 | Viewed by 1484
Abstract
Compared to the traditional ionospheric-free (IF) precise point positioning (PPP) model, the undifferenced and uncombined (UU) PPP has the advantages of lower observation noise and the ability to obtain ionospheric information. Thanks to the IGS (International GNSS Service), real-time service (RTS) can provide [...] Read more.
Compared to the traditional ionospheric-free (IF) precise point positioning (PPP) model, the undifferenced and uncombined (UU) PPP has the advantages of lower observation noise and the ability to obtain ionospheric information. Thanks to the IGS (International GNSS Service), real-time service (RTS) can provide RT vertical total electron content (VTEC) products, and an enhanced RT UU-PPP based on the RT-VTEC constraints can be achieved. The global performance of the BeiDou Navigation Satellite System-2 (BDS-2) and BDS-3 joint RT UU-PPP using different RTS products was investigated. There is not much difference in the RTS orbit accuracy of medium earth orbit (MEO) satellites among all analysis centers (ACs), and the optimal orbit accuracy is better than 5, 9, and 7 cm in the radial, along-track, and cross-track directions, respectively. The orbit accuracy of inclined geosynchronous orbit (IGSO) satellites is worse than that of MEO satellites. Except for CAS of 0.46 ns, the RTS clock accuracy of MEO satellites for other ACs achieves 0.2–0.27 ns, and the corresponding accuracy is about 0.4 ns for IGSO satellites. In static positioning, due to the limited accuracy of RT-VTEC, the convergence time of the enhanced RT UU-PPP is longer than that of RT IF-PPP for most ACs and can be better than 25 and 20 min in the horizontal and vertical components, respectively. After convergence, the 3D positioning accuracy of the static RT UU-PPP is improved by no more than 8.7%, and the optimal horizontal and vertical positioning accuracy reaches 3.5 and 7.0 cm, respectively. As for the kinematic mode with poor convergence performance, with the introduction of RT-VTEC constraints, the convergence time of RT UU-PPP can be slightly shorter and reaches about 55 and 60 min in the horizontal and vertical components, respectively. Both the horizontal and vertical positioning accuracies of the kinematic RT UU-PPP can be improved and achieve around 7.5 and 10 cm, respectively. Full article
Show Figures

Figure 1

21 pages, 11486 KB  
Article
Performance of Smartphone BDS-3/GPS/Galileo Multi-Frequency Ionosphere-Free Precise Code Positioning
by Ruiguang Wang, Chao Hu, Zhongyuan Wang, Fang Yuan and Yangyang Wang
Remote Sens. 2023, 15(22), 5371; https://doi.org/10.3390/rs15225371 - 15 Nov 2023
Cited by 1 | Viewed by 2724
Abstract
The continuously improving performance of mass-market global navigation satellite system (GNSS) chipsets is enabling the prospect of high-precision GNSS positioning for smartphones. Nevertheless, a substantial portion of Android smartphones lack the capability to access raw carrier phase observations. Therefore, this paper introduces a [...] Read more.
The continuously improving performance of mass-market global navigation satellite system (GNSS) chipsets is enabling the prospect of high-precision GNSS positioning for smartphones. Nevertheless, a substantial portion of Android smartphones lack the capability to access raw carrier phase observations. Therefore, this paper introduces a precise code positioning (PCP) method, which utilizes Doppler-smoothed pseudo-range and inter-satellite single-difference methods. For the first time, the results of a quality investigation involving BDS-3 B1C/B2a/B1I, GPS L1/L5, and Galileo E1/E5a observed using smartphones are presented. The results indicated that Xiaomi 11 Lite (Mi11) exhibited a superior satellite data decoding performance compared to Huawei P40 (HP40), but it lagged behind HP40 in terms of satellite tracking. In the static open-sky scenario, the carrier-to-noise ratio (CNR) values were mostly above 25 dB-Hz. Additionally, for B1C/B1I/L1/E1, they were approximately 8 dB-Hz higher than those for B2a/L5/E5a. Second, various PCP models were developed to address ionospheric delay. These models include the IF-P models, which combine traditional dual-frequency IF pseudo-ranges with single-frequency ionosphere-corrected pseudo-ranges using precise ionospheric products, and IFUC models, which rely solely on single-frequency ionosphere-corrected pseudo-ranges. Finally, static and dynamic tests were conducted using datasets collected from various real-world scenarios. The static tests demonstrated that the PCP models could achieve sub-meter-level accuracy in the east (E) and north (N) directions, while achieving meter-level accuracy in the upward (U) direction. Numerically, the root mean square error (RMSE) improvement percentages were approximately 93.8%, 75%, and 82.8% for HP40 in the E, N, and U directions, respectively, in both open-sky and complex scenarios compared to single-point positioning (SPP). In the open-sky scenario, Mi11 showed an average increase of about 85.6%, 87%, and 16% in the E, N, and U directions, respectively, compared to SPP. In complex scenarios, Mi11 exhibited an average increase of roughly 68%, 75.9%, and 90% in the E, N, and U directions, respectively, compared to SPP. Dynamic tests showed that the PCP models only provided an improvement of approximately 10% in the horizontal plane or U direction compared to SPP. The triple-frequency IFUC (IFUC123) model outperforms others due to its lower noise and utilization of multi-frequency pseudo-ranges. The PCP models can enhance smartphone positioning accuracy. Full article
(This article belongs to the Special Issue GNSS Advanced Positioning Algorithms and Innovative Applications)
Show Figures

Figure 1

13 pages, 4195 KB  
Article
Toward Real-Time GNSS Single-Frequency Precise Point Positioning Using Ionospheric Corrections
by Vlad Landa and Yuval Reuveni
Remote Sens. 2023, 15(13), 3333; https://doi.org/10.3390/rs15133333 - 29 Jun 2023
Cited by 3 | Viewed by 2619
Abstract
Real−time single−frequency precise point positioning (PPP) is a promising low−cost technique for achieving high−precision navigation with sub−meter or centimeter−level accuracy. However, its effectiveness depends heavily on the availability and quality of the real−time ionospheric state estimations required for correcting the delay in global [...] Read more.
Real−time single−frequency precise point positioning (PPP) is a promising low−cost technique for achieving high−precision navigation with sub−meter or centimeter−level accuracy. However, its effectiveness depends heavily on the availability and quality of the real−time ionospheric state estimations required for correcting the delay in global navigation satellite system (GNSS) signals. In this study, the dynamic mode decomposition (DMD) model is used with global ionospheric vertical total electron content (vTEC) RMS maps to construct 24 h global ionospheric vTEC RMS map forecasts. These forecasts are assimilated with C1P forecast products, and L1 single−frequency positioning solutions are compared with different ionospheric correction models. The study examines the impact of assimilating predicted RMS data and evaluates the presented approach’s practicality in utilizing the IGRG product. The results show that the IGSG RMS prediction−based model improves positioning accuracy up to five hours ahead and achieves comparable results to other models, making it a promising technique for obtaining high−precision navigation. Full article
(This article belongs to the Special Issue Signal Processing and Machine Learning for Space Geodesy Applications)
Show Figures

Figure 1

21 pages, 13225 KB  
Article
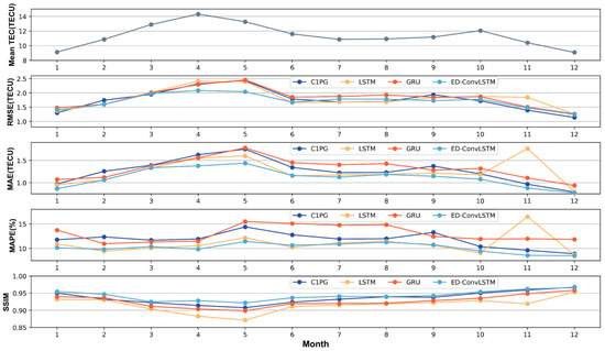
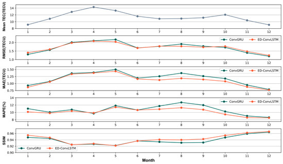
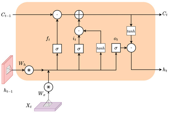
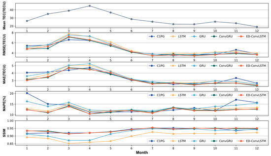
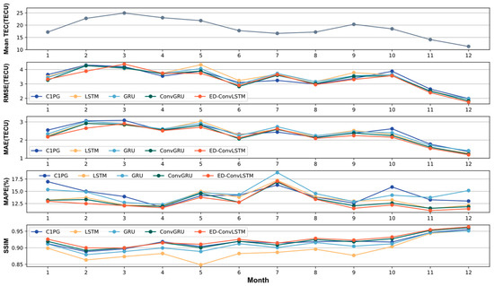
Spatiotemporal Prediction of Ionospheric Total Electron Content Based on ED-ConvLSTM
by Liangchao Li, Haijun Liu, Huijun Le, Jing Yuan, Weifeng Shan, Ying Han, Guoming Yuan, Chunjie Cui and Junling Wang
Remote Sens. 2023, 15(12), 3064; https://doi.org/10.3390/rs15123064 - 12 Jun 2023
Cited by 24 | Viewed by 3082
Abstract
Total electron content (TEC) is a vital parameter for describing the state of the ionosphere, and precise prediction of TEC is of great significance for improving the accuracy of the Global Navigation Satellite System (GNSS). At present, most deep learning prediction models just [...] Read more.
Total electron content (TEC) is a vital parameter for describing the state of the ionosphere, and precise prediction of TEC is of great significance for improving the accuracy of the Global Navigation Satellite System (GNSS). At present, most deep learning prediction models just consider TEC temporal variation, while ignoring the impact of spatial location. In this paper, we propose a TEC prediction model, ED-ConvLSTM, which combines convolutional neural networks with recurrent neural networks to simultaneously consider spatiotemporal features. Our ED-ConvLSTM model is built based on the encoder-decoder architecture, which includes two modules: encoder module and decoder module. Each module is composed of ConvLSTM cells. The encoder module is used to extract the spatiotemporal features from TEC maps, while the decoder module converts spatiotemporal features into predicted TEC maps. We compared the predictive performance of our model with two traditional time series models: LSTM, GRU, a spatiotemporal mode1 ConvGRU, and the TEC daily forecast product C1PG provided by CODE on a total of 135 grid points in East Asia (10°–45°N, 90°–130°E). The experimental results show that the prediction error indicators MAE, RMSE, MAPE, and prediction similarity index SSIM of our model are superior to those of the comparison models in high, normal, and low solar activity years. The paper also analyzed the predictive performance of each model monthly. The experimental results indicate that the predictive performance of each model is influenced by the monthly mean of TEC. The ED-ConvLSTM model proposed in this paper is the least affected and the most stable by the monthly mean of TEC. Additionally, the paper compared the predictive performance of each model during two magnetic storm periods when TEC changes sharply. The results indicate that our ED-ConvLSTM model is least affected during magnetic storms and its predictive performance is superior to those of the comparative models. This paper provides a more stable and high-performance TEC spatiotemporal prediction model. Full article
Show Figures

Figure 1

Back to TopTop