Spatiotemporal Prediction of Ionospheric Total Electron Content Based on ED-ConvLSTM
Abstract
1. Introduction
2. Dataset and Data Preprocessing
3. Method
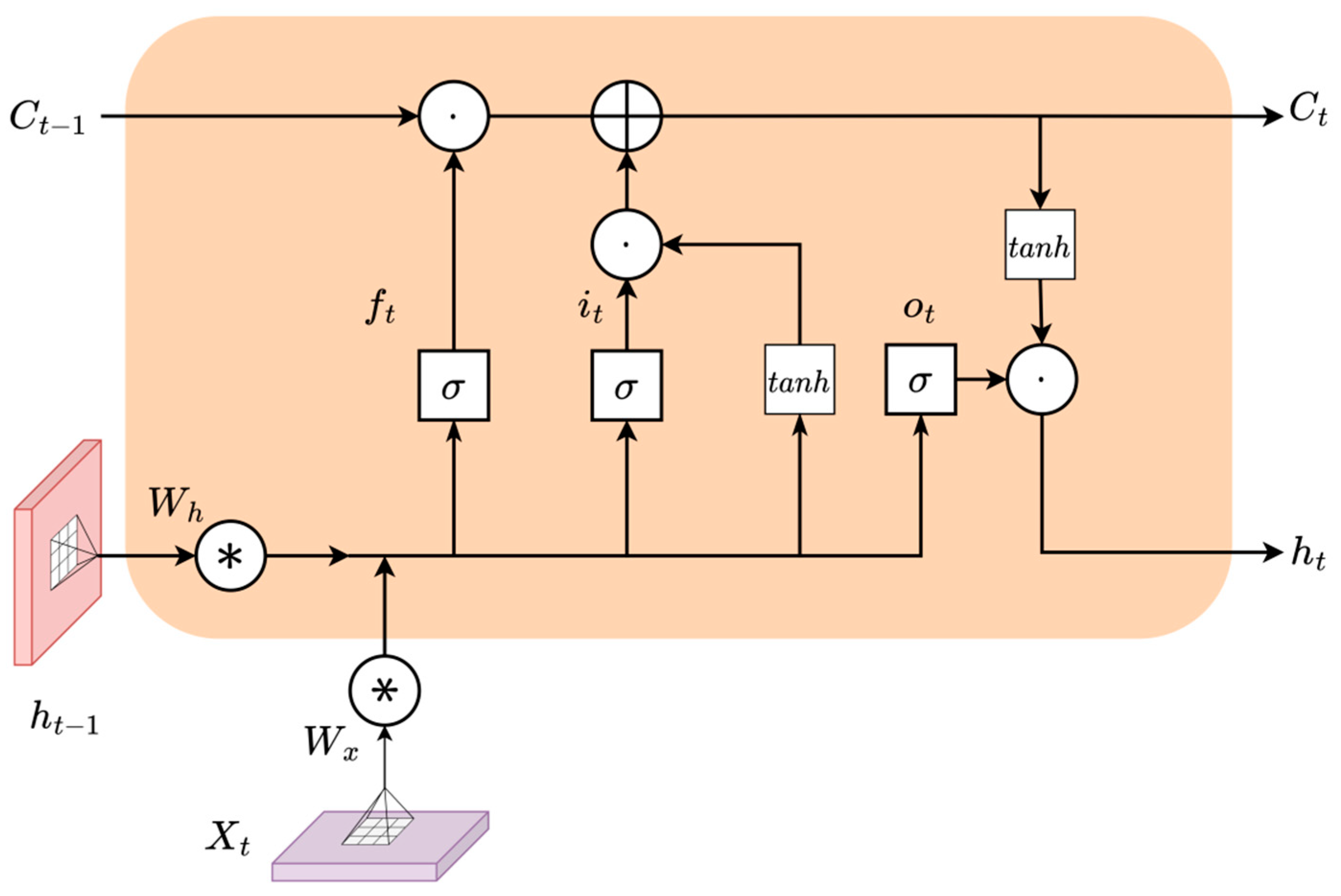
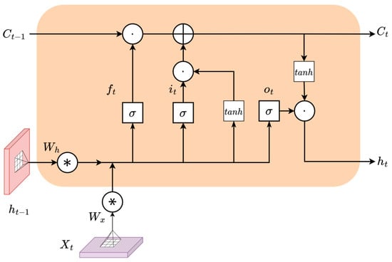
3.1. ConvLSTM
- The first step of ConvLSTM is to determine what information can be obtained through the cell state. This decision is controlled by the “forget gate” through sigmoid function, which generates a forget gate value between 0 and 1 based on the output from the previous time and the current input . The calculation formula for the forgetting gate is as follows:where is convolution operation, represents the sigmoid function, , represents the weight matrix of , is the output of ConvLSTM cell at time , and is the bias of the forgetting gate.
- The second step is to generate new information that we need to update. This step consists of two parts. The first is an “input gate” (represented by ) that uses sigmoid function to determine which values to update, and the second is a tanh function that generates new candidate values , which may be added to the cell state as candidate values generated by the current layer. We will combine the values generated from these two parts to update them. The calculation formulas for and are as follows:
- The third step is to update the old cell state as follows.where is Hadamard product.
- Finally, we calculate the output gate , and then calculate the output of the ConvLSTM cell based on and as follows:
3.2. Encoder–Decoder Structure
- Encoder: receives a TEC sample input into the model, compresses the high-dimensional sample, and performs feature extraction to convert the high-dimensional input sample into low-dimensional spatiotemporal feature vectors which contain important features of the input sample.
- Decoder: decodes the spatiotemporal feature vector obtained by the encoder and convert it into outputs, which are the predicted TEC maps corresponding to the input sample.
3.3. Implementation Details
4. Results
4.1. Matrices Evaluation Indicators
4.2. Experiments
4.2.1. Comparison of Prediction Performance under Different Solar Activities
4.2.2. Impact of Magnetic Storms on Prediction Performance
5. Discussion
6. Conclusions
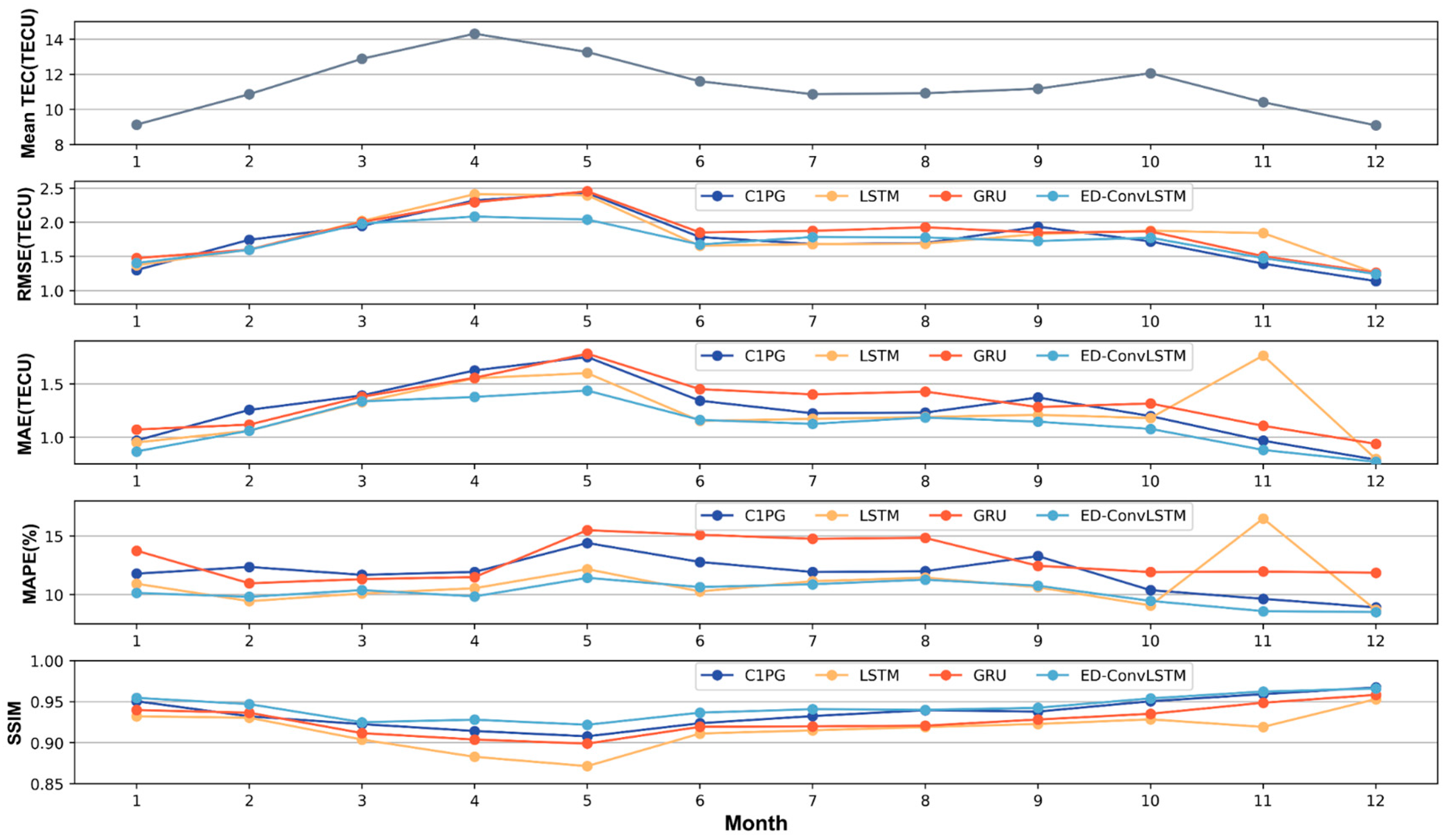
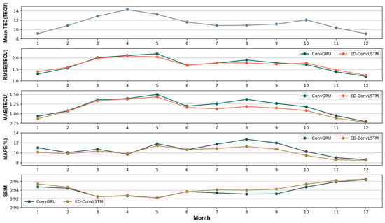
- Under all solar activities, our ED-ConvLSTM is superior to ConvGRU, LSTM, GRU, and C1PG in terms of RMSE, MAE, MAPE, and SSIM.
- We compared the predictive performance of various models in 2015, 2016, and 2019 month by month. It was found that the MAE and RMSE of the five models are significantly influenced by the TEC monthly mean and fluctuated synchronously with it. The MAPE and SSIM indicators are less affected by the monthly TEC mean. Our ED-ConvLSTM is the least affected by the monthly mean of TEC, and the prediction results are the most stable.
- The predictive performance of all five models decreased during magnetic storms, but our ED-ConvLSTM had the least impact during magnetic storms and is significantly better than the comparison models.
Author Contributions
Funding
Data Availability Statement
Acknowledgments
Conflicts of Interest
References
- Forbes, J.M.; Palo, S.E.; Zhang, X. Variability of the ionosphere. J. Atmos. Sol. Terr. Phys. 2000, 62, 685–693. [Google Scholar] [CrossRef]
- Klobuchar, J.A. Ionospheric Time-Delay Algorithm for Single-Frequency GPS Users. IEEE Trans. Aerosp. Electron. Syst. 1987, AES-23, 325–331. [Google Scholar] [CrossRef]
- Prieto-Cerdeira, R.; Orús-Pérez, R.; Breeuwer, E.; Lucas-Rodriguez, R.; Falcone, M. Performance of the Galileo single-frequency ionospheric correction during in-orbit validation. GPS World 2014, 25, 53–58. [Google Scholar]
- Yuan, Y.; Wang, N.; Li, Z.; Huo, X. The BeiDou global broadcast ionospheric delay correction model (BDGIM) and its preliminary performance evaluation results. Navigation 2019, 66, 55–69. [Google Scholar] [CrossRef]
- Komjathy, A. Global Ionospheric Total Electron Content Mapping Using the Global Positioning System; University of New Brunswick Fredericton: Fredericton, NB, Canada, 1997; p. 3965. [Google Scholar]
- Rovira-Garcia, A.; Juan, J.M.; Sanz, J.; González-Casado, G. A Worldwide Ionospheric Model for Fast Precise Point Positioning. IEEE Trans. Geosci. Remote Sens. 2015, 53, 4596–4604. [Google Scholar] [CrossRef]
- Bilitza, D. International reference ionosphere: Recent developments. Radio Sci. 1986, 21, 343–346. [Google Scholar] [CrossRef]
- Bilitza, D. International Reference Ionosphere 2000. Radio Sci. 2001, 36, 261–275. [Google Scholar] [CrossRef]
- Bilitza, D.; Altadill, D.; Truhlik, V.; Shubin, V.; Galkin, I.; Reinisch, B.; Huang, X. International Reference Ionosphere 2016: From ionospheric climate to real-time weather predictions. Adv. Space Res. 2017, 15, 418–429. [Google Scholar] [CrossRef]
- Hochegger, G.; Nava, B.; Radicella, S.; Leitinger, R. A family of ionospheric models for different uses. Phys. Chem. Earth Part C Sol. Terr. Planet. Sci. 2000, 25, 307–310. [Google Scholar] [CrossRef]
- Nava, B.; Coïsson, P.; Radicella, S.M. A new version of the NeQuick ionosphere electron density model. J. Atmos. Sol. Terr. Phys. 2008, 70, 1856–1862. [Google Scholar] [CrossRef]
- Bent, R.B.; Llewellyn, S.K.; Nesterczuk, G.; Schmid, P.E. The development of a highly-successful worldwide empirical ionospheric model and its use in certain aspects of space communications and worldwide total electron content investigations. In Effect of the Ionosphere on Space Systems and Communications; Naval Research Laboratory: Washington, DC, USA, 1975; Volume 1, pp. 13–28. [Google Scholar]
- Lin, X.; Wang, H.; Zhang, Q.; Yao, C.; Chen, C.; Cheng, L.; Li, Z. A Spatiotemporal Network Model for Global Ionospheric TEC Forecasting. Remote Sens. 2022, 14, 1717. [Google Scholar] [CrossRef]
- Ratnam, D.V.; Otsuka, Y.; Sivavaraprasad, G.; Dabbakuti, J.R.K.K. Development of multivariate ionospheric TEC forecasting algorithm using linear time series model and ARMA over low-latitude GNSS station. Adv. Space Res. 2019, 63, 2848–2856. [Google Scholar] [CrossRef]
- Mandrikova, O.V.; Fetisova, N.V.; Al-Kasasbeh, R.T.; Klionskiy, D.M.; Geppener, V.V.; Ilyash, M.Y. Ionospheric parameter modelling and anomaly discovery by combining the wavelet transform with autoregressive models. Ann. Geophys. 2015, 58, 1. [Google Scholar] [CrossRef]
- Ansari, K.; Park, K.-D.; Kubo, N. Linear time-series modeling of the GNSS based TEC variations over Southwest Japan during 2011–2018 and comparison against ARMA and GIM models. Acta Astronaut. 2019, 165, 248–258. [Google Scholar] [CrossRef]
- Kaselimi, M.; Voulodimos, A.; Doulamis, N.; Doulamis, A.; Delikaraoglou, D. Deep Recurrent Neural Networks for Ionospheric Variations Estimation Using GNSS Measurements. IEEE Trans. Geosci. Remote Sens. 2022, 60, 1–15. [Google Scholar] [CrossRef]
- Akhoondzadeh, M. A MLP neural network as an investigator of TEC time series to detect seismo-ionospheric anomalies. Adv. Space Res. 2013, 51, 2048–2057. [Google Scholar] [CrossRef]
- Yuan, T.; Chen, Y.; Liu, S.; Gong, J. Prediction Model for Ionospheric Total Electron Content Based on Deep Learning Recurrent Neural Networkormalsize. Chin. J. Space Sci. 2018, 38, 48. [Google Scholar] [CrossRef]
- Chen, Y.; Xue, B.; Li, L. Forecasting of ionospheric critical frequency using neural networks. Chin. J. Space Sci. 2005, 25, 99–103. [Google Scholar]
- Hochreiter, S.; Schmidhuber, J. Long Short-Term Memory. Neural Comput. 1997, 9, 1735–1780. [Google Scholar] [CrossRef]
- Sun, W.; Xu, L.; Huang, X.; Zhang, W.; Yuan, T.; Chen, Z.; Yan, Y. Forecasting of ionospheric vertical total electron content (TEC) using LSTM networks. In Proceedings of the 2017 International Conference on Machine Learning and Cybernetics (ICMLC), Ningbo, China, 9–12 July 2017; IEEE: Piscataway, NJ, USA, 2017; Volume 2, pp. 340–344. [Google Scholar]
- Xiong, B.; Li, X.; Wang, Y.; Zhang, H.; Liu, Z.; Ding, F.; Zhao, B. Prediction of ionospheric TEC over China based on long and short-term memory neural network. Chin. J. Geophys. 2022, 65, 2365–2377. [Google Scholar] [CrossRef]
- Wen, Z.; Li, S.; Li, L.; Wu, B.; Fu, J. Ionospheric TEC prediction using Long Short-Term Memory deep learning network. Astrophys. Space Sci. 2021, 366, 3. [Google Scholar] [CrossRef]
- Xiong, P.; Zhai, D.; Long, C.; Zhou, H.; Zhang, X.; Shen, X. Long Short-Term Memory Neural Network for Ionospheric Total Electron Content Forecasting Over China. Adv. Space Res. 2021, 19, e2020SW002706. [Google Scholar] [CrossRef]
- Tang, J.; Li, Y.; Ding, M.; Liu, H.; Yang, D.; Wu, X. An Ionospheric TEC Forecasting Model Based on a CNN-LSTM-Attention Mechanism Neural Network. Remote Sens. 2022, 14, 2433. [Google Scholar] [CrossRef]
- Ruwali, A.; Kumar, A.J.S.; Prakash, K.B.; Sivavaraprasad, G.; Ratnam, D.V. Implementation of Hybrid Deep Learning Model (LSTM-CNN) for Ionospheric TEC Forecasting Using GPS Data. IEEE Geosci. Remote Sens. Lett. 2021, 18, 1004–1008. [Google Scholar] [CrossRef]
- Shi, X.; Chen, Z.; Wang, H.; Yeung, D.-Y.; Wong, W.; WOO, W. Convolutional LSTM Network: A Machine Learning Approach for Precipitation Nowcasting. In Proceedings of the Advances in Neural Information Processing Systems, Montreal, QC, Canada, 7–12 December 2015; Curran Associates, Inc.: Red Hook, NY, USA, 2015; Volume 28. [Google Scholar]
- Liu, L.; Morton, Y.J.; Liu, Y. Machine Learning Prediction of Storm-Time High-Latitude Ionospheric Irregularities from GNSS-Derived ROTI Maps. Geophys. Res. Lett. 2021, 48, e2021GL095561. [Google Scholar] [CrossRef]
- Hernández-Pajares, M.; Juan, J.M.; Sanz, J.; Orus, R.; Garcia-Rigo, A.; Feltens, J.; Komjathy, A.; Schaer, S.C.; Krankowski, A. The IGS VTEC maps: A reliable source of ionospheric information since 1998. J. Geod. 2009, 83, 263–275. [Google Scholar] [CrossRef]
- Lin, W.; Zhang, G. Analysis of Multi-Scale Ionosphere Predictions Based on Time Series Data. J. Geomat. 2015, 40, 32–34. [Google Scholar] [CrossRef]
- Lin, Z.; Li, M.; Zheng, Z.; Cheng, Y.; Yuan, C. Self-Attention ConvLSTM for Spatiotemporal Prediction. In Proceedings of the AAAI Conference on Artificial Intelligence, New York, NY, USA, 7–12 February 2020; Volume 34, pp. 11531–11538. [Google Scholar]
- Huang, L.; Wu, H.; Lou, Y.; Zhang, H.; Liu, L.; Huang, L. Spatiotemporal Analysis of Regional Ionospheric TEC Prediction Using Multi-Factor NeuralProphet Model under Disturbed Conditions. Remote Sens. 2022, 15, 195. [Google Scholar] [CrossRef]
- Ge, H.; Li, S.; Cheng, R.; Chen, Z. Self-Attention ConvLSTM for Spatiotemporal Forecasting of Short-Term Online Car-Hailing Demand. Sustainability 2022, 14, 7371. [Google Scholar] [CrossRef]
- Li, M.; Yuan, Y.; Wang, N.; Li, Z.; Huo, X. Performance of various predicted GNSS global ionospheric maps relative to GPS and JASON TEC data. GPS Solut. 2018, 22, 55. [Google Scholar] [CrossRef]
- Wang, Z.; Bovik, A.C.; Sheikh, H.R.; Simoncelli, E.P. Image Quality Assessment: From Error Visibility to Structural Similarity. IEEE Trans. Image Process. 2004, 13, 600–612. [Google Scholar] [CrossRef] [PubMed]
- Kim, J.-H.; Kwak, Y.-S.; Kim, Y.; Moon, S.-I.; Jeong, S.-H.; Yun, J. Potential of Regional Ionosphere Prediction Using a Long Short-Term Memory Deep-Learning Algorithm Specialized for Geomagnetic Storm Period. Adv. Space Res. 2021, 19, e2021SW002741. [Google Scholar] [CrossRef]
- Loewe, C.A.; Prölss, G.W. Classification and mean behavior of magnetic storms. J. Geophys. Res. Space Phys. 1997, 102, 14209–14213. [Google Scholar] [CrossRef]



















| Data Set | Training Set | Test Set | |||
|---|---|---|---|---|---|
| High Solar Activity (2013, 2014) | Low Solar Activity (2017, 2018) | High Solar Activity (2015) | Normal Solar Activity (2016) | Low Solar Activity (2019) | |
| Number of samples | 723 | 723 | 365 | 366 | 365 |
| Total | 1446 | 1096 | |||
| Solar Activity | Model | RMSE (TECU) | MAE (TECU) | SSIM | MAPE (%) |
|---|---|---|---|---|---|
| High (2015) | C1PG | 4.9 | 3.4 | 0.9362 | 13.77 |
| LSTM | 5.2 | 3.4 | 0.8968 | 12.61 | |
| GRU | 5.1 | 3.5 | 0.9216 | 13.69 | |
| ConvGRU | 4.7 | 3.2 | 0.9388 | 12.12 | |
| Ours | 4.7 | 3.2 | 0.9390 | 12.02 | |
| Normal (2016) | C1PG | 3.5 | 2.4 | 0.9177 | 14.24 |
| LSTM | 3.5 | 2.4 | 0.8924 | 13.41 | |
| GRU | 3.5 | 2.4 | 0.9094 | 14.48 | |
| ConvGRU | 3.4 | 2.3 | 0.9200 | 13.02 | |
| Ours | 3.4 | 2.2 | 0.9244 | 12.70 | |
| Low (2019) | C1PG | 1.8 | 1.3 | 0.9365 | 11.75 |
| LSTM | 2.4 | 1.2 | 0.9157 | 10.91 | |
| GRU | 1.9 | 1.3 | 0.9267 | 13.01 | |
| ConvGRU | 1.7 | 1.2 | 0.9392 | 10.71 | |
| Ours | 1.6 | 1.1 | 0.9432 | 10.15 |
| Dst/nT | Geomagnetic Activity |
|---|---|
| −50 < Dst ≤ −30 | Minor storm |
| −100 < Dst ≤ −50 | Moderate storm |
| −200 < Dst ≤ −100 | Major storm |
| Dst ≤ −200 | Severe storm |
Disclaimer/Publisher’s Note: The statements, opinions and data contained in all publications are solely those of the individual author(s) and contributor(s) and not of MDPI and/or the editor(s). MDPI and/or the editor(s) disclaim responsibility for any injury to people or property resulting from any ideas, methods, instructions or products referred to in the content. |
© 2023 by the authors. Licensee MDPI, Basel, Switzerland. This article is an open access article distributed under the terms and conditions of the Creative Commons Attribution (CC BY) license (https://creativecommons.org/licenses/by/4.0/).
Share and Cite
Li, L.; Liu, H.; Le, H.; Yuan, J.; Shan, W.; Han, Y.; Yuan, G.; Cui, C.; Wang, J. Spatiotemporal Prediction of Ionospheric Total Electron Content Based on ED-ConvLSTM. Remote Sens. 2023, 15, 3064. https://doi.org/10.3390/rs15123064
Li L, Liu H, Le H, Yuan J, Shan W, Han Y, Yuan G, Cui C, Wang J. Spatiotemporal Prediction of Ionospheric Total Electron Content Based on ED-ConvLSTM. Remote Sensing. 2023; 15(12):3064. https://doi.org/10.3390/rs15123064
Chicago/Turabian StyleLi, Liangchao, Haijun Liu, Huijun Le, Jing Yuan, Weifeng Shan, Ying Han, Guoming Yuan, Chunjie Cui, and Junling Wang. 2023. "Spatiotemporal Prediction of Ionospheric Total Electron Content Based on ED-ConvLSTM" Remote Sensing 15, no. 12: 3064. https://doi.org/10.3390/rs15123064
APA StyleLi, L., Liu, H., Le, H., Yuan, J., Shan, W., Han, Y., Yuan, G., Cui, C., & Wang, J. (2023). Spatiotemporal Prediction of Ionospheric Total Electron Content Based on ED-ConvLSTM. Remote Sensing, 15(12), 3064. https://doi.org/10.3390/rs15123064

