Sign in to use this feature.

Years

Between: -

Subjects

remove_circle_outline
remove_circle_outline
remove_circle_outline
remove_circle_outline
remove_circle_outline
remove_circle_outline
remove_circle_outline
remove_circle_outline
remove_circle_outline

Journals

remove_circle_outline
remove_circle_outline
remove_circle_outline
remove_circle_outline
remove_circle_outline
remove_circle_outline
remove_circle_outline
remove_circle_outline
remove_circle_outline
remove_circle_outline
remove_circle_outline
remove_circle_outline
remove_circle_outline

Article Types

Countries / Regions

remove_circle_outline
remove_circle_outline
remove_circle_outline
remove_circle_outline
remove_circle_outline

Search Results (389)

Search Parameters:
Keywords = global brand

Order results
Result details
Results per page
Select all
Export citation of selected articles as:
14 pages, 1169 KB  
Article
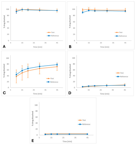
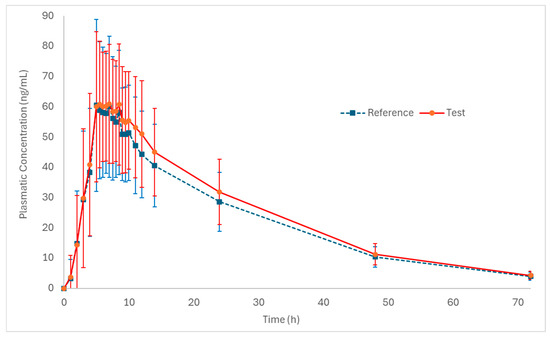
Palbociclib Capsule: A Bioequivalence Study in Healthy Subjects Under Fed Conditions to Compare Two Formulations
by Marcelo Gomes Davanço, Thaís Pereira Vespasiano, Jessé Moisan, Maira Eduarda Zanin, Gilberto Carlos Ruggiero Bernasconi, Marcia Aparecida Antonio, Oscar Gonzalez, Milesa Sarmiento and Mélanie Groleau
Pharmaceutics 2026, 18(2), 175; https://doi.org/10.3390/pharmaceutics18020175 - 29 Jan 2026
Viewed by 93
Abstract
Background: Globally, breast cancer is the most frequently diagnosed neoplasm among women, with an estimated 2.3 million new cases reported in 2022. Treatment for hormone receptor-positive (HR+) advanced breast cancer includes aromatase inhibitors and CDK4/6 inhibitors such as palbociclib. Objective: This study evaluated [...] Read more.
Background: Globally, breast cancer is the most frequently diagnosed neoplasm among women, with an estimated 2.3 million new cases reported in 2022. Treatment for hormone receptor-positive (HR+) advanced breast cancer includes aromatase inhibitors and CDK4/6 inhibitors such as palbociclib. Objective: This study evaluated the bioequivalence and tolerability of two palbociclib capsule formulations to support the regulatory approval of a branded generic product in Latin America countries. Methods: Healthy participants were enrolled in an open-label, randomized, single-dose study using a two-treatment, two-sequence, two-period crossover design. Study participants received a single-dose test product, a palbociclib 125 mg capsule (Laboratório LKM S.A., Argentina), and a reference product, an Ibrance® 125 mg capsule (Pfizer Manufacturing Deutschland GmbH), under fed conditions separated by a 14-day washout period. Blood samples were obtained at scheduled intervals over a 72 h period following administration, and the palbociclib plasma concentrations were determined using a validated LC-MS/MS method. Pharmacokinetic parameters were computed via non-compartmental analysis methods. A total of 52 healthy subjects were enrolled, and 50 subjects completed the study. Results: The geometric mean ratios (90% confidence intervals) for Cmax and AUC0–72 were 107.07% (101.98–112.42) and 109.77% (106.51–113.13), respectively. Conclusions: Both formulations were well-tolerated in healthy subjects. In accordance with regulatory standards, bioequivalence between the test formulation and the reference product was successfully demonstrated. Full article
Show Figures

Figure 1

19 pages, 2705 KB  
Article
The International Trade Competitiveness of China’s Licorice Exports Evidence from a Multi-Indicator Static Assessment and Constant Market Share Decomposition
by Su-Yang Tang, Yi-Cheng Yu, Wen-Chao Han, Chen Fu and Bing-Gan Lou
Agriculture 2026, 16(3), 318; https://doi.org/10.3390/agriculture16030318 - 27 Jan 2026
Viewed by 191
Abstract
Licorice is an important specialty crop that links agricultural production, processing and trade, and rural livelihoods in the arid and semi-arid regions of China. Using UN Comtrade data for HS 130212 from 1990 to 2024, this study evaluates the international Trade Competitiveness of [...] Read more.
Licorice is an important specialty crop that links agricultural production, processing and trade, and rural livelihoods in the arid and semi-arid regions of China. Using UN Comtrade data for HS 130212 from 1990 to 2024, this study evaluates the international Trade Competitiveness of China’s licorice exports and identifies the sources of export growth. A multi-indicator static framework is constructed, combining International Market Share (IMS), the Trade Competitiveness Index (TC), the Revealed Symmetric Comparative Advantage index (RSCA) and the Revealed Competitive Advantage index (CA). The results show that China maintains a relatively large and stable global market share and a persistent net export position, but its comparative and net Competitive Advantages are weaker than those of high-end suppliers such as France and Israel, revealing a pattern of “large scale but weak competitiveness”. To capture dynamic drivers, an extended Constant Market Share (CMS) model is applied to decompose China’s licorice exports into world demand, structural and competitiveness effects. The decomposition indicates that export growth has gradually shifted from being mainly driven by global demand expansion to relying more on improvements in product competitiveness and market reconfiguration, particularly in emerging markets. These findings suggest that upgrading product quality and processing, strengthening standards and branding, and promoting more inclusive value-chain development are essential for transforming China’s licorice exports from scale expansion to high-quality growth and for enhancing rural incomes in producing regions. Full article
(This article belongs to the Section Agricultural Economics, Policies and Rural Management)
Show Figures

Figure 1

27 pages, 2292 KB  
Article
Source Camera Identification via Explicit Content–Fingerprint Decoupling with a Dual-Branch Deep Learning Framework
by Zijuan Han, Yang Yang, Jiaxuan Lu, Jian Sun, Yunxia Liu and Ngai-Fong Bonnie Law
Appl. Sci. 2026, 16(3), 1245; https://doi.org/10.3390/app16031245 - 26 Jan 2026
Viewed by 107
Abstract
In this paper, we propose a source camera identification method based on disentangled feature modeling, aiming to achieve robust extraction of camera fingerprint features under complex imaging and post-processing conditions. To address the severe coupling between image content and camera fingerprint features in [...] Read more.
In this paper, we propose a source camera identification method based on disentangled feature modeling, aiming to achieve robust extraction of camera fingerprint features under complex imaging and post-processing conditions. To address the severe coupling between image content and camera fingerprint features in existing methods, which makes content interference difficult to suppress, we develop a dual-branch deep learning framework guided by imaging physics. By introducing physical consistency constraints, the proposed framework explicitly separates image content representations from device-related fingerprint features in the feature space, thereby enhancing the stability and robustness of source camera identification. The proposed method adopts two parallel branches: a content modeling branch and a fingerprint feature extraction branch. The content branch is built upon an improved U-Net architecture to reconstruct scene and color information, and further incorporates texture refinement and multi-scale feature fusion to reduce residual content interference in fingerprint modeling. The fingerprint branch employs ResNet-50 as the backbone network to learn discriminative global features associated with the camera imaging pipeline. Based on these branches, fingerprint information dominated by sensor noise is explicitly extracted by computing the residual between the input image and the reconstructed content, and is further encoded through noise analysis and feature fusion for joint camera model classification. Experimental results on multiple public-source camera forensics datasets demonstrate that the proposed method achieves stable and competitive identification performance in same-brand camera discrimination, complex imaging conditions, and post-processing scenarios, validating the effectiveness of the proposed disentangled modeling and physical consistency constraint strategy for source camera identification. Full article
(This article belongs to the Special Issue New Development in Machine Learning in Image and Video Forensics)
Show Figures

Figure 1

23 pages, 884 KB  
Article
Film-Induced Tourism and Experiential Branding: A Purpose-Driven Conceptual Framework with an Exploratory Illustration from Monsanto (Portugal)
by Anabela Monteiro, Sara Rodrigues de Sousa, Gabriela Marques and Marco Arraya
Tour. Hosp. 2026, 7(1), 24; https://doi.org/10.3390/tourhosp7010024 - 16 Jan 2026
Viewed by 423
Abstract
The present conceptual paper proposes a purpose-driven experiential marketing framework for film-induced destinations, integrating sustainability and emotional engagement into destination management. The model under discussion comprises five interconnected dimensions, namely integrated experience, branding, people, emotional touchpoints and processes. These are articulated through purpose-driven [...] Read more.
The present conceptual paper proposes a purpose-driven experiential marketing framework for film-induced destinations, integrating sustainability and emotional engagement into destination management. The model under discussion comprises five interconnected dimensions, namely integrated experience, branding, people, emotional touchpoints and processes. These are articulated through purpose-driven marketing principles and aligned with selected Global Reporting Initiative (GRI) indicators. This approach positions sustainability as an inherent component of value creation rather than an external policy layer. The framework under discussion was developed through an interdisciplinary literature review and is illustrated through insights from an exploratory case study of Monsanto, a rural Portuguese village recently featured in HBO’s House of the Dragon. Semi-structured interviews were conducted with a purposive sample of local stakeholders, including tourists, residents, entrepreneurs and institutional representatives. These interviews were analysed thematically to provide indicative evidence of the framework’s relevance and potential applicability. The findings suggest that emotional engagement, co-creation and territorial authenticity play a central role in shaping memorable film-related tourism experiences that are consistent with destination purpose and stakeholder well-being. The study also emphasises the strategic importance of storytelling, audiovisual narratives and collaborative governance in the strengthening of place identity and the support of sustainable differentiation. Despite its exploratory nature, the framework provides practical guidance for destination management organisations (DMOs), cultural programmers and creative industry actors. The article concludes by identifying avenues for future research, including cross-regional application, digital experimentation and the quantitative assessment of experiential dimensions. Full article
Show Figures

Figure 1

24 pages, 21426 KB  
Review
Gastronomic Tourism: Global Trends, Sustainability Challenges, and Research Directions (2010–2025)—A Comprehensive Review
by Lucian Dordai, Anca Becze and Marius Roman
Gastronomy 2026, 4(1), 4; https://doi.org/10.3390/gastronomy4010004 - 15 Jan 2026
Viewed by 644
Abstract
Gastronomic tourism has emerged as a significant driver of destination competitiveness, cultural preservation, and sustainable development. This comprehensive review synthesizes the scientific literature published between 2010 and 2025, examining the evolution of gastronomic tourism research, global trends, sustainability dimensions, and emerging challenges. Through [...] Read more.
Gastronomic tourism has emerged as a significant driver of destination competitiveness, cultural preservation, and sustainable development. This comprehensive review synthesizes the scientific literature published between 2010 and 2025, examining the evolution of gastronomic tourism research, global trends, sustainability dimensions, and emerging challenges. Through systematic analysis of 150 peer-reviewed articles from major academic databases, this paper identifies key themes including cultural heritage preservation, sustainability practices, digital transformation, and educational innovations. The findings reveal a growing recognition of gastronomy as intangible cultural heritage, increased focus on farm-to-fork practices, and the transformative role of social media in destination branding. Despite the rapid growth of gastronomic tourism research, important gaps remain. The literature lacks standardized sustainability indicators, limiting comparability across studies, while cross-cultural comparative research and interdisciplinary integration remain insufficiently developed. Addressing these gaps is essential for advancing theoretical coherence and supporting evidence-based practice in gastronomic tourism. Full article
Show Figures

Figure 1

21 pages, 1506 KB  
Article
Mapping Morality in Marketing: An Exploratory Study of Moral and Emotional Language in Online Advertising
by Mauren S. Cardenas-Fontecha, Leonardo H. Talero-Sarmiento and Diego A. Vasquez-Caballero
J. Theor. Appl. Electron. Commer. Res. 2026, 21(1), 39; https://doi.org/10.3390/jtaer21010039 - 14 Jan 2026
Viewed by 315
Abstract
Understanding how moral and emotional language operates in paid social advertising is essential for evaluating persuasion and its ethical contours. We provide a descriptive map of Moral Foundations Theory (MFT) language in Meta ad copy (Facebook/Instagram) drawn from seven global beverage brands across [...] Read more.
Understanding how moral and emotional language operates in paid social advertising is essential for evaluating persuasion and its ethical contours. We provide a descriptive map of Moral Foundations Theory (MFT) language in Meta ad copy (Facebook/Instagram) drawn from seven global beverage brands across eight English-speaking markets. Using the moralstrength toolkit, we implement a two-channel pipeline that combines an unsupervised semantic estimator (SIMON) with supervised classifiers, enforces a strict cross-channel consensus rule, and adds a non-overriding purity diagnostic to reduce attribute-based false positives. The corpus comprises 758 text units, of which only 25 ads (3.3%) exhibit strong consensus, indicating that much of the copy is either non-moral or linguistically ambiguous. Within this high-consensus subset, the distribution of moral cues varies systematically by brand and category, with loyalty, fairness, and purity emerging as the most prominent frames. A valence pass (VADER) indicates that moralized copy tends toward negative valence, yet it may still yield a constructive overall tone when advertisers follow a crisis–resolution structure in which high-intensity moral cues set the stakes while surrounding copy positions the brand as the solution. We caution that text-only models undercapture multimodal signaling and that platform policies and algorithmic recombination shape which moral cues appear in copy. Overall, the study demonstrates both the promise and the limits of current text-based MFT estimators for advertising: they support transparent, reproducible mapping of moral rhetoric, but future progress requires multimodal, domain-sensitive pipelines, policy-aware sampling, and (where available) impression/spend weighting to contextualize descriptive labels. Full article
Show Figures

Figure 1

19 pages, 1175 KB  
Article
Research on the Performance Evaluation System for Ecological Product Value Realization Projects: A Case Study of the Comprehensive Water Environment Management Project for a Drinking Water Source
by Yuan-Hua Chen, Chang Chai, Qing-Lian Wu and Nan-Nan Wang
Water 2026, 18(1), 102; https://doi.org/10.3390/w18010102 - 1 Jan 2026
Viewed by 365
Abstract
Establishing a mechanism for ecological product value realizing (EPVR) is a critical component of China’s ecological civilization strategy, aimed at translating the concept that “lucid waters and lush mountains are invaluable assets” into actionable economic policies. Although central government investments in the form [...] Read more.
Establishing a mechanism for ecological product value realizing (EPVR) is a critical component of China’s ecological civilization strategy, aimed at translating the concept that “lucid waters and lush mountains are invaluable assets” into actionable economic policies. Although central government investments in the form of project for EPVR have increased significantly, surpassing CNY 700 billion by 2024, studies rarely focus on these projects and how to evaluate them. Evaluating the performance of EPVR projects is essential for optimizing resource allocation, enhancing project accountability, and ensuring the sustainable realization of ecological, economic, and social values. This study innovatively defines the conceptual connotation of EPVR projects and constructs a comprehensive performance evaluation system based on a “benefit-cost” analysis, comprising a multi-dimensional indicator system, quantifiable calculation methods, and explicit evaluation criteria. As water source protection projects are typical EPVR projects, the comprehensive water environment management project of Hongfeng Lake is selected for an in-depth empirical study. The results reveal that (1) the total annual benefits amount to CNY 923.66 million, dominated by ecological benefits (84.04%); (2) with an investment of CNY 1194.66 million, the project yields a net loss and a moderate performance index (PCPI = 0.77); (3) the project performance is primarily affected by weak economic value conversion stemming from restrictive zoning policies and underdeveloped market mechanisms for ecological services; and (4) integrated development pathways—such as ecotourism, eco-aquaculture, and ecological branding—are proposed to enhance the long-term sustainability of the project. The Hongfeng Lake case establishes a replicable framework for global assessment of analogous projects and delivers actionable insights for enhancing benefit–cost ratios in public ecological initiatives, with costs confined to data collection, modeling, and validation. Therefore, this study contributes a quantifiable and reproducible tool for the full lifecycle management of EPVR projects, thereby facilitating more informed government decision-making. Key findings reveal the following: (1) A comprehensive “Benefit-Cost” performance evaluation framework, pioneered in this study and tailored specifically for individual EPVR projects, surpasses regional-scale accounting methodologies like Gross Ecosystem Product (GEP). (2) A novel consolidated metric (PCPI) is introduced to integrate ecological, economic, and social dimensions with cost input, thus enabling direct cross-project comparison and classification. (3) The framework operationalizes evaluation by providing a detailed, adaptable indicator system with explicit monetization methods for 26 distinct benefits, thereby bridging the gap between theoretical value accounting and practical project assessment. (4) The empirical application to a drinking water source protection project addresses a critical yet understudied category of EPVR projects, offering insights into “protection-oriented” models. Full article
Show Figures

Figure 1

28 pages, 1553 KB  
Article
Toward a Sustainable Commodity Frontier: From Eco-Utopian Practice of Shanghai Dongtan to Chongming Ecological Island
by Yong Zhou, Yan Zhou and Fan Xiao
Land 2026, 15(1), 81; https://doi.org/10.3390/land15010081 - 31 Dec 2025
Viewed by 522
Abstract
Eco-cities have become global initiatives in recent years. This paper aims to discuss the construction, evolution and future of eco-city movements in China, especially in areas with abundant ecological resources. Extant literature emphasizes that sustainable development is the purpose of an eco-city. However, [...] Read more.
Eco-cities have become global initiatives in recent years. This paper aims to discuss the construction, evolution and future of eco-city movements in China, especially in areas with abundant ecological resources. Extant literature emphasizes that sustainable development is the purpose of an eco-city. However, in the spatial practice of ecological modernization, many European and American countries develop ecological construction at a slower pace, resulting in sustainable ecological outcomes. Those countries developed ecological practices at a smaller scale, aiming to achieve green towns with zero carbon emission. In contrast, the construction of China’s eco-cities typically involves building new cities in outer suburbs with a larger scale and faster speed. This has led to the rapid construction of so-called ecological cities without sustainable development. In this context, this paper starts from the perspective of political economy and conducts qualitative research on the Shanghai Dongtan Eco-city as a case study. It analyzes the motivation and practical measures of different actors by examining the planning, design and construction process of Dongtan Eco-city during 1998–2024. The results suggest that gaining national political priority through the intervention of international actors and foreign investment is the key to the local pilot ecological city project. This paper further analyzes the differences between the planning concept and the actual practice of Dongtan Eco-city, critically discussing the “Eco-city as the enclave of ecological technology.” This is driven by the integration of eco-city construction and the local government performance appraisal system. Consequently, the pursuit of economic returns redirected Dongtan’s sustainability experiment into a form of green-branded retirement real-estate development between 1998 and 2012. From 2012 to 2024, Chongming’s development model continued to evolve, as the project was reframed from a real-estate-led eco-city paradigm toward an “ecological island” agenda articulated in the language of sustainable development. Full article
(This article belongs to the Section Land Socio-Economic and Political Issues)
Show Figures

Figure 1

23 pages, 420 KB  
Article
Why Chinese Consumers Buy Pre-Loved Luxury Fashion: The Mediating Role of Channel Engagement
by Hui Liu, Ioannis Kostopoulos, Mark Ching-Pong Poo and Yui-yip Lau
Sustainability 2026, 18(1), 26; https://doi.org/10.3390/su18010026 - 19 Dec 2025
Viewed by 602
Abstract
The rapid rise of the pre-loved luxury fashion market in China reflects a unique shift in consumer behaviour, shaped by growing concerns for sustainability, affordability, and personal expression. While global scholarship on circular fashion has expanded, studies remain predominantly focused on Western consumers, [...] Read more.
The rapid rise of the pre-loved luxury fashion market in China reflects a unique shift in consumer behaviour, shaped by growing concerns for sustainability, affordability, and personal expression. While global scholarship on circular fashion has expanded, studies remain predominantly focused on Western consumers, leaving Chinese market dynamics underexplored. This study addresses this gap by examining the motivations and channel engagement of Chinese consumers purchasing pre-loved luxury fashion, including pre-owned, vintage, and collectors’ items. A sequential mixed-methods design was employed, integrating quantitative data from a survey of 438 Chinese consumers with qualitative insights from 21 semi-structured interviews. Structural equation modelling revealed that economic, individual, and social motivations significantly influenced perceived value, which in turn enhanced engagement with resale channels. Functional motivations, though present, played a less prominent role. Furthermore, engagement with online and offline channels, including social media platforms, livestream commerce, and luxury consignment boutiques, was found to mediate the relationship between perceived value and purchase intention. The study contributes to theory by adapting established luxury value frameworks to the pre-loved context and by introducing channel engagement as a mediating construct in the consumption of second-hand luxury fashion. The main theoretical frameworks that underpin the study, such as the Brand Luxury Index and the Four Value Dimensions, are used to provide a clearer understanding of its conceptual foundation. In particular, some key quantitative indicators, such as β-values or R2, would make the summary more specific and informative. Practically, the findings provide actionable insights for platform operators and luxury brands seeking to build consumer trust and enhance experiential value in China’s rapidly evolving resale market. By situating the research within a culturally specific and digitally advanced retail environment, the study broadens understanding of circular luxury fashion consumption in non-Western contexts. Full article
Show Figures

Figure 1

13 pages, 630 KB  
Article
Nanoplastic Contamination Across Common Beverages and Infant Food: An Assessment of Packaging Influence
by Roser Salvia, Carlos Soriano, Irene Casanovas, Marc Sorigué, Emily Evans, Julia Gala de Pablo, Michael D. Ward and Jordi Petriz
Microplastics 2025, 4(4), 108; https://doi.org/10.3390/microplastics4040108 - 18 Dec 2025
Viewed by 451
Abstract
The widespread presence of nanoplastics (NPs) in the environment creates a significant and growing concern for global health, with ingestion, inhalation, and dermal contact identified as primary exposure pathways. Despite their documented presence in various environmental matrices and human tissues, robust quantitative data [...] Read more.
The widespread presence of nanoplastics (NPs) in the environment creates a significant and growing concern for global health, with ingestion, inhalation, and dermal contact identified as primary exposure pathways. Despite their documented presence in various environmental matrices and human tissues, robust quantitative data on NP levels remains scarce. This study addresses this critical gap by employing a novel and rapid flow cytometry technique to quantify nanoplastic concentrations in commercial waters, common beverages and infant food, with special focus in packaging influence. Pyrogen-free water was analyzed to establish the negative control for NP concentration, yielding 5.24 ± 2.02 events/µL. Ten commercial waters from natural springs in Spain and France showed NP levels ranging from 1.75 NP/µL to 67.94 NP/µL (mean: 19.90 ± 14.53 NP/µL), where three of those brands showed significantly higher NP numbers than the pyrogen-free water control. Compared to pyrogen-free water, infant formula and cereal porridge showed very low NP concentrations, with values of 10.27 ± 6.85 and 6.78 ± 2.27 events/µL, respectively, following triplicate analyses of six samples. Additional analyses comparing three similar soft drinks across different packaging (can, plastic bottle, or glass bottle) found no significant differences in NP concentration attributable to the container type. NPs, as ubiquitous contaminants, can be ingested by organisms through food and drink. Potential NP contamination in commercial water may be due to factors such as source water contamination, filtration and packaging. The presence of very low concentrations of NPs in infant foods suggests rigorous and effective quality control. Finally, the presence of NP in soft drinks was not affected by the type of packaging. Although soft drinks have higher NP levels than water, the type of packaging had no effect on the presence of NP in these soft drinks. Despite all plastic bottles being made of polyethylene terephthalate, variation in NP accumulation implies that material quality, storage condition, and substantially, water treatment and filtering processes contribute to NP contamination. This research gives evidence for widespread nanoplastic accumulation in bottled water, common beverages and infant formula and sets the stage for demanding research to further investigate sources, health effects, and development into effective quality control and preventive measures for public health. Full article
(This article belongs to the Collection Feature Papers in Microplastics)
Show Figures

Figure 1

20 pages, 571 KB  
Article
Toxic Trace Element Concentration in Commercially Available Cigarettes in Poland, Europe
by Małgorzata Ćwieląg-Drabek, Joanna Domagalska, Marta Buczkowska and Agata Piekut
Toxics 2025, 13(12), 1088; https://doi.org/10.3390/toxics13121088 - 18 Dec 2025
Viewed by 582
Abstract
(1) Background: Tobacco use constitutes a significant preventable cause of morbidity and mortality on a global scale. It contributes to cumulative exposure to carcinogenic and toxic heavy metals, including cadmium, lead, nickel, and copper. Collectively, these metals promote oxidative stress, multi-organ damage, and [...] Read more.
(1) Background: Tobacco use constitutes a significant preventable cause of morbidity and mortality on a global scale. It contributes to cumulative exposure to carcinogenic and toxic heavy metals, including cadmium, lead, nickel, and copper. Collectively, these metals promote oxidative stress, multi-organ damage, and an increased risk of cancer, cardiovascular, respiratory, and renal diseases; (2) Methods: The research material comprised 119 tobacco samples. The concentrations of cadmium, lead, copper, and nickel in the samples were subsequently determined. A series of calculations were conducted in order to estimate the non-carcinogenic and carcinogenic health risks associated with the consumption of tobacco products under a variety of exposure scenarios; (3) Results: The concentrations of heavy metals in the tobacco samples ranged as follows, with mean values: Cd: 0.3–8.6 mg/kg (mean 1.0), Cu: 3.4–92.6 mg/kg (mean 12.3), Ni: 1.1–15.4 mg/kg (mean 3.4), and Pb: 0.2–1633.3 mg/kg (mean 46.5). A health risk assessment indicated that exposure through inhalation to cadmium Cd, Ni, and Pb, even in the minimal smoking scenario of one cigarette per day, consistently exceeded internationally established thresholds for carcinogenic risk; (4) Conclusions: The presence of high inter-brand variability and high-risk outliers underscores the necessity for enhanced regulation and monitoring of toxic metals in tobacco products. Full article
(This article belongs to the Section Emerging Contaminants)
Show Figures

Graphical abstract

12 pages, 557 KB  
Article
When Low Independence Fuels Luxury Consumption: Uniqueness as a Defense Mechanism During Collective Threats
by Jaeseok Yook and Seunghee Han
Behav. Sci. 2025, 15(12), 1735; https://doi.org/10.3390/bs15121735 - 15 Dec 2025
Viewed by 335
Abstract
Global crises, from pandemics to geopolitical instability, intensify societal anxiety. Paradoxically, these periods of collective threat often witness surges in luxury consumption. Drawing on Terror Management Theory (TMT), we propose this behavior is a psychological response to the deindividuating nature of such threats. [...] Read more.
Global crises, from pandemics to geopolitical instability, intensify societal anxiety. Paradoxically, these periods of collective threat often witness surges in luxury consumption. Drawing on Terror Management Theory (TMT), we propose this behavior is a psychological response to the deindividuating nature of such threats. We argue that a collective crisis increases intentions to purchase luxury goods via an intensified need for uniqueness, which functions as a self-affirming mechanism against a threatened sense of personal identity. We test this model using the COVID-19 pandemic as a salient operationalization of a collective threat. We further propose that this effect is counterintuitively moderated by independent self-construal. Findings from an experimental study (N = 276) show that perceived crisis risk increases luxury purchase intention, and this effect is serially mediated by the need for uniqueness. Critically, this indirect effect is strongest for individuals low in independent self-construal, who are prompted to engage in compensatory uniqueness-seeking when their primary buffer of social connection is disrupted. Our findings contribute to consumer behavior research by identifying a novel psychological pathway linking collective threats to consumption and offer insights for brands navigating consumer behavior during periods of widespread uncertainty. Full article
Show Figures

Figure 1

31 pages, 601 KB  
Article
First-Time Versus Repeat Travellers: Perceptions of the Destination Image of Thailand and Destination Loyalty
by Ammarn Sodawan and Robert Li-Wei Hsu
Tour. Hosp. 2025, 6(5), 278; https://doi.org/10.3390/tourhosp6050278 - 11 Dec 2025
Viewed by 1131
Abstract
Understanding destination image perceptions is critical for tourism destinations seeking to maintain competitive advantage and foster visitor loyalty. While the traditional literature suggests that first-time and repeat visitors differ significantly in their cognitive and affective destination image perceptions due to experiential differences, emerging [...] Read more.
Understanding destination image perceptions is critical for tourism destinations seeking to maintain competitive advantage and foster visitor loyalty. While the traditional literature suggests that first-time and repeat visitors differ significantly in their cognitive and affective destination image perceptions due to experiential differences, emerging evidence from destinations with established branding challenges these conventional assumptions. Thailand, as a globally prominent destination with sustained branding initiatives since 1998, provides an ideal context for examining whether visitor experience moderates destination image formation and loyalty outcomes. This study investigates differences in cognitive and affective destination image perceptions and destination loyalty between first-time and repeat international travellers to Thailand, applying the cognitive–affective–behavioural (CAB) model to examine how these constructs influence revisit and recommendation intentions across visitor segments. Data were collected from 392 international tourists visiting three major southern coastal destinations in Thailand (Phuket, Krabi, and Phang-Nga) through face-to-face surveys using purposive sampling. The sample comprised 185 first-time travellers and 207 repeat visitors. Partial least squares structural equation modeling (PLS-SEM) with multigroup analysis was employed to examine structural relationships and test for significant differences between visitor cohorts using parametric, Welch–Satterthwaite, and permutations tests. Contrary to theoretical expectations, multigroup analysis revealed no statistically significant differences between first-time and repeat travellers across all examined pathways (all permutation p-values > 0.05). Both groups demonstrated equivalent perceptions regarding how cognitive image influences affective image, and how these dimensions affect revisit and recommendation intentions. Affective image emerged as the dominant predictor of destination loyalty for both segments, while cognitive image primarily served as an enabler of emotional responses. These findings challenge traditional assumptions about experiential differences between visitor types suggesting that mature destinations with consistent long-term branding may achieve perceptual uniformity that transcends direct experience. Destination marketing organizations should implement unified rather than segmented strategies, prioritizing emotional engagement mechanisms over rational attribute promotion to cultivate destination loyalty across all visitor segments. However, these findings are specific to coastal leisure destination and may not fully generalize to other destination types. Full article
Show Figures

Figure 1

17 pages, 453 KB  
Article
Sustainable Fashion in China: Consumers’ Second-Hand Clothing Intentions and Market Evolution
by Zhiyi Zhang
Sustainability 2025, 17(24), 10997; https://doi.org/10.3390/su172410997 - 8 Dec 2025
Viewed by 1064
Abstract
As global attention on environmental sustainability grows, the fashion industry is shifting towards circular models, with the second-hand clothing market emerging as a key pathway to sustainable development. In China, this market is rapidly evolving, with millennials and Generation Z showing strong interest [...] Read more.
As global attention on environmental sustainability grows, the fashion industry is shifting towards circular models, with the second-hand clothing market emerging as a key pathway to sustainable development. In China, this market is rapidly evolving, with millennials and Generation Z showing strong interest in environmentally friendly and personalized fashion. This study investigates Chinese consumers’ motivations and barriers to purchasing second-hand clothing and examines the diversity of China’s sustainable fashion ecosystem. Using a mixed-methods approach of semi-structured interviews and surveys, the findings reveal that environmental awareness, economic affordability, and social influence drive purchase intentions, while hygiene concerns, societal perceptions, and trust in platforms act as barriers. The study also compares the roles of online platforms, offline vintage stores, and upcycling fashion brands, highlighting their complementarity across economic, cultural, and social dimensions. Online platforms offer efficiency and convenience, vintage stores build brand loyalty through cultural narratives, and upcycling brands merge creativity with sustainability. It also reflects on the cultural context shaping second-hand fashion adoption in China. The study suggests enhancing trust in platforms, promoting education, and leveraging social media campaigns to support future market development. Full article
Show Figures

Figure 1

19 pages, 1446 KB  
Article
Consumer Acceptance of Digital Product Passports: The Roles of Technological Awareness and Value Orientations
by Rui Zhao and Chuanlan Liu
Sustainability 2025, 17(23), 10878; https://doi.org/10.3390/su172310878 - 4 Dec 2025
Viewed by 658
Abstract
As the fashion industry accelerates its digital and sustainable transformation, the European Union’s policy development on Digital Product Passports (DPPs) has attracted growing attention. However, there is still a lack of systematic research into whether consumers, particularly those outside Europe, are willing to [...] Read more.
As the fashion industry accelerates its digital and sustainable transformation, the European Union’s policy development on Digital Product Passports (DPPs) has attracted growing attention. However, there is still a lack of systematic research into whether consumers, particularly those outside Europe, are willing to adopt this emerging technology for greater transparency. To address this, this study develops an extended Technology Acceptance Model (TAM) by integrating three individual-level consumer variables, Ethical–Sustainability Orientation (ESO), Circular Value Orientation (CVO), and Technological Awareness (TA), to examine how these factors work in concert to shape consumers’ intentions to accept Digital Product Passports (DPPs). Data were collected from US consumers through an online survey, yielding 425 valid responses. Participants were recruited from a professional consumer panel managed by a market research firm. Structural equation modeling was conducted to test the proposed research model and hypotheses. The results reveal that Perceived Usefulness (PU) emerges as the most influential determinant of consumers’ acceptance of Digital Product Passports. Both Ethical–Sustainability Orientation (ESO) and Circular Value Orientation (CVO) demonstrate significant direct effects on adoption intention and indirect impacts through PU. Technological Awareness (TA) exhibits only a modest direct effect, suggesting that its role in shaping adoption behavior is comparatively limited. This study broadens the geographic and cultural scope of existing research on Digital Product Passports (DPPs) by providing empirical evidence on consumer acceptance in a non-European context. The findings advance the theoretical understanding of DPP adoption while offering practical implications for fashion brands and policymakers seeking to facilitate the global implementation of DPP systems within the fashion industry. Full article
Show Figures

Figure 1

Back to TopTop