Sign in to use this feature.

Years

Between: -

Subjects

remove_circle_outline
remove_circle_outline
remove_circle_outline
remove_circle_outline
remove_circle_outline
remove_circle_outline
remove_circle_outline
remove_circle_outline
remove_circle_outline

Journals

Article Types

Countries / Regions

remove_circle_outline
remove_circle_outline
remove_circle_outline

Search Results (464)

Search Parameters:
Keywords = geophysical monitoring

Order results
Result details
Results per page
Select all
Export citation of selected articles as:
34 pages, 2963 KB  
Systematic Review
Sixty Years of Research on Land Subsidence and Sea-Level Change: A Systematic Review of Global Literature with a Regional Lens on the Gulf of Guinea, Africa
by Roberta Bonì, Philip S. J. Minderhoud, Kwasi Appeaning Addo, Selasi Yao Avornyo, Leon T. Hauser, Femi Emmanuel Ikuemonisan, Marie-Noëlle Woillez, Marine Canesi, Cheikh Tidiane Wade, Rafael Almar, Katharina Seeger, Claudia Zoccarato and Pietro Teatini
Land 2026, 15(5), 721; https://doi.org/10.3390/land15050721 - 24 Apr 2026
Abstract
Since the 1960s, research on sea-level rise (SLR) and land subsidence has grown significantly; however, comprehensive syntheses remain limited. This study presents a systematic review of 2171 publications spanning 1964–2025, combining a global perspective with a regional focus on the Gulf of Guinea, [...] Read more.
Since the 1960s, research on sea-level rise (SLR) and land subsidence has grown significantly; however, comprehensive syntheses remain limited. This study presents a systematic review of 2171 publications spanning 1964–2025, combining a global perspective with a regional focus on the Gulf of Guinea, a critically underrepresented region within the African continent. The results show a steady increase in publications, exceeding 80 per year since 2015. A combined bibliometric and content analysis approach was adopted, integrating large-scale metadata analysis with an in-depth evaluation of 166 full-text studies corresponding to 311 study sites. Bibliometric analyses highlight four main themes: (1) factors driving SLR and subsidence, including climate, geophysical, and human effects; (2) monitoring methods such as tide gauges, GPS, and InSAR-based land motion tracking; (3) impacts on coastal communities, and ecosystems; and (4) strategies for adaptation and mitigation. A comparative assessment of global research output and Low-Elevation Coastal Zone (LECZ) exposure reveals a marked spatial mismatch, with critically vulnerable regions, such as the Gulf of Guinea, remaining significantly underrepresented (44 studies). The synthesis identifies key conceptual, methodological, and practical research gaps. Addressing these gaps requires holistic frameworks that integrate SLR and subsidence, long-term monitoring networks, advanced modeling, and evidence-based adaptation strategies. By linking bibliometric evidence with the interpretation of research trends and gaps, this study provides an analytical basis for supporting monitoring strategies, coastal planning, and adaptive responses. Additionally, the results highlight priority directions for future research directions in the Gulf of Guinea region. Full article
(This article belongs to the Special Issue Integrating Climate, Land, and Water Systems)
24 pages, 1653 KB  
Article
Early Detection of Spatiotemporal Stabilization in Open-Pit Mine Waste Dumps via Time-Series InSAR Coherence
by Yueming Sun, Yanjie Tang, Zhibin Li and Yanling Zhao
Remote Sens. 2026, 18(9), 1310; https://doi.org/10.3390/rs18091310 - 24 Apr 2026
Abstract
Accurately monitoring the surface stabilization of waste dumps in open-pit coal mines is critical for hazard prevention and ecological reclamation. In arid and semi-arid regions, traditional optical remote sensing vegetation indices suffer from a systematic “response lag” in assessing physical stability due to [...] Read more.
Accurately monitoring the surface stabilization of waste dumps in open-pit coal mines is critical for hazard prevention and ecological reclamation. In arid and semi-arid regions, traditional optical remote sensing vegetation indices suffer from a systematic “response lag” in assessing physical stability due to the slow establishment of pioneer vegetation. To overcome this biological limitation, this study proposes a quantitative spatiotemporal monitoring framework based on time-series Interferometric Synthetic Aperture Radar (InSAR) coherence to detect early-stage geotechnical stabilization. Using Sentinel-1 imagery of the Balongtu coal mine, a sliding-window detection algorithm was developed to capture the physical transition of surface electromagnetic scattering mechanisms from active disturbance to stable consolidation. The main findings are as follows: (1) Statistical analysis identified a critical geophysical coherence threshold of 0.15, which effectively and objectively distinguishes active dumping disturbance zones from structurally stable areas. (2) The spatiotemporal evolution dynamics of the completed dump areas from 2017 to 2023 were successfully characterized, revealing that 87.6% of the open-pit areas achieved physical stabilization within three years post-mining, with a spatial distribution highly consistent with the objective operational rule of “mining first, dumping later”. (3) Accuracy assessment using 700 spatiotemporally balanced validation points—derived through strict visual interpretation of high-resolution optical imagery—demonstrated high algorithm reliability, achieving overall accuracies (OA) of 87.57% and 90.43% at half-yearly and annual monitoring intervals, respectively. By decoupling physical surface stabilization from optical greenness, this study provides a timely abiotic precursor indicator, offering scientific, quantitative decision support for precision ecological zoning and accelerated land turnover approval in mining areas. Full article
26 pages, 4662 KB  
Article
Evolution of Dynamic Elastic Parameters and Dry-Out-Induced Weakening Mechanisms in Reservoir and Caprock During Underground Gas Storage: Joint Ultrasonic and NMR Monitoring
by Yan Wang, Zhen Zhai, Quan Gan, Saipeng Huang, Limin Li, Juan Zeng, Tingjun Wen and Sida Jia
Appl. Sci. 2026, 16(8), 4053; https://doi.org/10.3390/app16084053 - 21 Apr 2026
Viewed by 171
Abstract
Understanding dry-out-induced weakening of reservoir and caprock rocks driven by gas displacement is critical for ensuring the operational safety and efficiency of underground gas storage (UGS). Using core samples from the Xiangguosi UGS collected from different regions and stratigraphic intervals, we quantify the [...] Read more.
Understanding dry-out-induced weakening of reservoir and caprock rocks driven by gas displacement is critical for ensuring the operational safety and efficiency of underground gas storage (UGS). Using core samples from the Xiangguosi UGS collected from different regions and stratigraphic intervals, we quantify the evolution of dynamic elastic parameters during simulated downhole dry-out with a joint ultrasonic and nuclear magnetic resonance (NMR) monitoring system. The results show that as water saturation (Sw) decreases, the dynamic bulk modulus (Kd) and P-wave velocity (Vp) decline by varying degrees across specimens, with reductions ranging from 3.0% to 50.48% and from 1.34% to 17.56%, respectively, whereas the dynamic shear modulus (Gd) and S-wave velocity (Vs) show only minor variations throughout the process. These findings demonstrate that the sensitivity of dynamic parameters to dry-out is strongly specimen-dependent. Further analysis indicates that the dry-out response is highly variable and depends on a combination of petrophysical properties. Among these, the heterogeneity of the initial pore structure acts as an important factor, with its influence shaped by mineralogy and bulk frame rigidity. Cores with multimodal pore size distributions and well-developed macropores (long T2 components) respond more strongly to dry-out, whereas higher clay mineral contents tend to mitigate modulus degradation by retaining water under stronger capillary confinement. Based on these observations, we propose a conceptual model of pore support and skeleton constraint. The model suggests that dry-out weakening arises from a progressive loss of pore fluid volumetric support to the rock skeleton as free water is preferentially displaced from meso- and macropores. These findings provide key experimental evidence and mechanistic insights for using geophysical methods to monitor dry-out zone expansion and to assess long-term formation stability in UGS. Full article
Show Figures

Figure 1

19 pages, 30013 KB  
Article
Karst Collapse Seepage Field Simulation and Prediction in Tuoshan Mine-Field of Jinzhushan Mining Area, Central Hunan, China
by Yingzi Chen, Ziqiang Zhu and Guangyin Lu
Appl. Sci. 2026, 16(8), 3998; https://doi.org/10.3390/app16083998 - 20 Apr 2026
Viewed by 212
Abstract
Groundwater drainage-induced karst collapse is a major geohazard in coal-mining regions of central Hunan, threatening residential safety and infrastructure. This study focuses on the Tuoshan minefield in the Jinzhushan mining area by integrating multi-source field data, including surveys of 170 collapse points, long-term [...] Read more.
Groundwater drainage-induced karst collapse is a major geohazard in coal-mining regions of central Hunan, threatening residential safety and infrastructure. This study focuses on the Tuoshan minefield in the Jinzhushan mining area by integrating multi-source field data, including surveys of 170 collapse points, long-term groundwater monitoring at six boreholes, and high-density electrical geophysics. A topographically corrected MODFLOW seepage-field model is developed and calibrated for 2014 (RMSE = 0.32 m; NSE = 0.85) and validated for 2015–2016 (RMSE = 0.41 m; NSE = 0.81). To address the large groundwater-level simulation errors commonly encountered in subtropical hilly karst mining settings, the model incorporates a topographic correction, improving simulation accuracy by 12% relative to an uncorrected model. The simulations capture rapid “steep rise–slow fall” groundwater dynamics: Heavy rainfall (>100 mm/day) raises groundwater levels by 2.8–3.1 m within 2–3 days, whereas pumping (200 m3/h) causes a 1.9–2.2 m decline within one week. A 1.2 km drawdown funnel forms and overlaps with 89% of collapse points, indicating that seepage-field evolution and groundwater-level decline control collapse clustering, with soil suffusion and soil–water–rock interaction acting as key amplifying processes. Based on Terzaghi’s effective stress principle and the Theis solution, a collapse prediction formula is derived and validated using measured events (accuracy = 87.5%), and a region-specific critical hydraulic gradient (in = 0.85) is determined, lower than values reported for North China. The proposed workflow provides quantitative thresholds and model-based guidance for karst collapse prevention in subtropical mining areas. Full article
Show Figures

Figure 1

27 pages, 12290 KB  
Review
Ground-Based Electromagnetic Methods for the Monitoring and Surveillance of Urban and Engineering Infrastructures: State-of-the-Art and Future Directions
by Vincenzo Cuomo, Jean Dumoulin, Vincenzo Lapenna and Francesco Soldovieri
Sustainability 2026, 18(8), 3822; https://doi.org/10.3390/su18083822 - 13 Apr 2026
Viewed by 512
Abstract
This review focuses on electromagnetic imaging methods widely used in urban geophysics and civil engineering. The rapid growth of the urban population and the increase in the frequency of extreme events related to climate change make novel approaches to the geophysical monitoring of [...] Read more.
This review focuses on electromagnetic imaging methods widely used in urban geophysics and civil engineering. The rapid growth of the urban population and the increase in the frequency of extreme events related to climate change make novel approaches to the geophysical monitoring of urban areas and civil infrastructures essential in the context of programs for the sustainability and resilience of cities. In this scenario, there is a growing interest in using ground-based electromagnetic methods to investigate strategic infrastructures such as bridges, tunnels, dam embankments, power plants, energy plants and pipelines in a non-invasive way. The development of cost-effective, user-friendly sensor arrays, robust methodologies for tomographic data inversion, and AI-based and machine learning techniques has rapidly transformed these methods. This review critically analyzes the results relating to the application of ground-based electromagnetic methods in infrastructure monitoring and surveillance over the past 20 years by presenting a selection of best practice examples and studies planned to support programs for the resilience and maintenance of engineering infrastructures. The analysis reveals that these methods are highly effective in addressing a broad spectrum of monitoring issues in view of effective maintenance of civil infrastructures. In fact, these methods are essential for detecting the geometry of buried objects (e.g., bars and voids), enabling the early detection of degradation phenomena, and mapping water infiltration processes inside structures, as well as many other challenging applications. Finally, prospectives for development are identified in terms of using soft robot technologies, miniaturized sensors, and AI-based methods to acquire, process and interpret data as well as to design smart operational guidelines for infrastructure management. Full article
Show Figures

Figure 1

16 pages, 3544 KB  
Perspective
Bridging Science and Governance for Earthquake Resilience in Malawi: A Perspective from the Southern East African Rift System
by Patsani Gregory Kumambala, Grivin Chipula, Ponyadira Corner and Chikondi Makwiza
GeoHazards 2026, 7(2), 42; https://doi.org/10.3390/geohazards7020042 - 13 Apr 2026
Viewed by 266
Abstract
Malawi lies within the southern segment of the East African Rift System and is exposed to infrequent but potentially damaging earthquakes. While recent advances in fault mapping, seismic monitoring, and hazard modelling have substantially improved scientific understanding of earthquake hazard in the Malawi [...] Read more.
Malawi lies within the southern segment of the East African Rift System and is exposed to infrequent but potentially damaging earthquakes. While recent advances in fault mapping, seismic monitoring, and hazard modelling have substantially improved scientific understanding of earthquake hazard in the Malawi Rift Zone, the practical reduction in seismic risk remains limited. This Perspective paper argues that earthquake resilience in Malawi is constrained less by scientific uncertainty than by challenges in integrating existing hazard knowledge into governance, planning, and preparedness. Drawing exclusively on published geological, geophysical, engineering, and policy literature, the paper synthesises evidence on seismic hazard, historical earthquake impacts, institutional preparedness, and barriers to the operational use of scientific risk assessments. An integrated, multi-pillar framework is proposed to support improved coordination between science, governance, infrastructure practice, and community preparedness. The framework is conceptual in nature and is intended to inform policy dialogue, prioritisation, and future empirical research rather than to provide a validated operational model. While grounded in the Malawian context, the insights presented are relevant to other low-income, rift-hosted regions facing similar challenges in translating earthquake science into effective disaster risk reduction. Full article
Show Figures

Figure 1

22 pages, 6066 KB  
Article
Data Inventory and Location of Seismic Signals Recorded During the 2021 Unrest on the Island of Vulcano, Italy
by Susanna Falsaperla, Horst Langer, Salvatore Spampinato, Ornella Cocina and Ferruccio Ferrari
Appl. Sci. 2026, 16(7), 3491; https://doi.org/10.3390/app16073491 - 3 Apr 2026
Viewed by 270
Abstract
Since September 2021, numerous seismic events with spectral peaks below 1 Hz occurred on the island of Vulcano, Italy, 131 years after its last eruption. The local monitoring network recorded microseismicity mostly in the form of months-long swarms, concurrent with anomalous values of [...] Read more.
Since September 2021, numerous seismic events with spectral peaks below 1 Hz occurred on the island of Vulcano, Italy, 131 years after its last eruption. The local monitoring network recorded microseismicity mostly in the form of months-long swarms, concurrent with anomalous values of other geophysical and geochemical parameters. By applying a machine learning technique (Self-Organizing Maps, SOMs), we obtained an inventory of ~6600 seismic signals, identifying and separating exogenous signals (anthropic noise) from distinct families of events. These families were located below La Fossa Crater (where the last eruption of the volcano happened) from the surface to a depth of 2.2 km b.s.l. Based on the seismic signature and source location of these events, we hypothesize unsealed/sealed processes through a network of shallow fractures favored by fluid pressure. After the return to background values of geochemical and geophysical parameters in 2023, a resumption of microseismicity occurred between May and June 2024. A test application of the SOM to the new data confirmed the non-destructive source of the new recorded signals, which shared families, location, and depths with our previous inventory. This test showed that SOM can be an effective tool for supporting real-time monitoring and warning of future unrest at Vulcano. Full article
Show Figures

Figure 1

29 pages, 5428 KB  
Article
Stability Study of Deep-Buried Tunnels Crossing Fractured Zones Based on the Mechanical Behavior of Surrounding Rock
by Rui Yang, Hanjun Luo, Weitao Sun, Jiang Xin, Hongping Lu and Tao Yang
Appl. Sci. 2026, 16(7), 3473; https://doi.org/10.3390/app16073473 - 2 Apr 2026
Viewed by 322
Abstract
To address the challenge of surrounding rock instability in deep-buried tunnels crossing fractured fault zones, this study focuses on the Xigu Tunnel of the Lanzhou–Hezuo Railway. A combination of laboratory triaxial tests, an optimized multi-source advanced geological prediction workflow, and a site-specific parameter-weakened [...] Read more.
To address the challenge of surrounding rock instability in deep-buried tunnels crossing fractured fault zones, this study focuses on the Xigu Tunnel of the Lanzhou–Hezuo Railway. A combination of laboratory triaxial tests, an optimized multi-source advanced geological prediction workflow, and a site-specific parameter-weakened Mohr–Coulomb numerical simulation is employed to systematically reveal the physical–mechanical properties, spatial distribution, and deformation response of fractured rock masses under excavation-induced disturbance. The triaxial test results show that the average peak strength of the surrounding rock reaches 149.04 MPa; however, significant variability is observed among samples, and the failure mode exhibits a typical brittle–shear composite feature. The measured cohesion and internal friction angle are 20.57 MPa and 49.91°, respectively, indicating high intrinsic strength of individual rock blocks. Nevertheless, due to the presence of densely developed joints and crushed structures, the overall mass is loose and highly sensitive to dynamic disturbances such as blasting and excavation, revealing a unique mechanical paradox of high-strength rock blocks with low overall rock mass stability in deep-buried fractured zones. Joint TSP (Tunnel Seismic Prediction Ahead) and ground-penetrating radar (GPR) prediction reveals decreased P-wave velocity, increased Poisson’s ratio, and intensive seismic reflection interfaces; a quantitative index system for identifying the boundaries of narrow deep-buried fractured zones is proposed based on these geophysical characteristics. Combined with geological face mapping, these results confirm the existence of a highly fractured zone approximately 130 m in width, characterized by well-developed joints, heterogeneous mechanical properties, and localized risks of blockfall and groundwater ingress. The developed numerical model, with parameters weakened based on triaxial test and geological prediction data, effectively reproduces the deformation law of the fractured zone, and the simulation results agree well with field monitoring data, with peak displacement concentrated at section DK4 + 595, thus accurately identifying the center of the fractured belt as a key engineering validation result of the integrated technical framework. During construction, based on the identified spatial characteristics of the fractured zone and the proposed targeted support insight, enhanced dynamic monitoring and targeted support measures at the fractured zone center are required to ensure structural safety and long-term stability of the tunnel. This study develops an integrated engineering-oriented technical framework for deep-buried tunnels crossing narrow fractured zones, and provides novel mechanical insights and quantitative identification indices for such complex geological engineering scenarios. Full article
Show Figures

Figure 1

22 pages, 6795 KB  
Article
Physics-Aware Hybrid CNN–Transformer Network for GNSS-R Sea Surface Wind Speed Estimation
by Baiwei An, Weiwei Qin, Weijie Kang, Li Zhang and Hao Chi
Remote Sens. 2026, 18(7), 1053; https://doi.org/10.3390/rs18071053 - 31 Mar 2026
Viewed by 588
Abstract
Global Navigation Satellite System Reflectometry (GNSS-R) provides a promising approach for global ocean wind monitoring with high temporal resolution. However, accurate wind speed retrieval remains challenging due to the complex scattering mechanisms and the nonlinear coupling between delay–Doppler maps (DDMs) and observation geometries. [...] Read more.
Global Navigation Satellite System Reflectometry (GNSS-R) provides a promising approach for global ocean wind monitoring with high temporal resolution. However, accurate wind speed retrieval remains challenging due to the complex scattering mechanisms and the nonlinear coupling between delay–Doppler maps (DDMs) and observation geometries. To address these limitations, a Physics-Aware Hybrid CNN–Transformer Network (PA-HCTN) is proposed accordingly. The model integrates a CNN for local DDM feature extraction, a Transformer encoder for global context modeling, and a cross-attention module to dynamically fuse auxiliary physical parameters. A geophysical model function (GMF)-constrained loss is incorporated to enhance physical consistency. Evaluated on CYGNSS and ERA5 data, the PA-HCTN achieves an RMSE of 1.35 m/s and an R2 of 0.75, outperforming existing benchmarks and significantly mitigating high-wind-speed underestimation. In addition, through independent validation using NDBC buoy data from four sites, the results demonstrate the effectiveness of the hybrid architecture and physics-aware design for GNSS-R wind retrieval. Full article
Show Figures

Figure 1

25 pages, 6388 KB  
Article
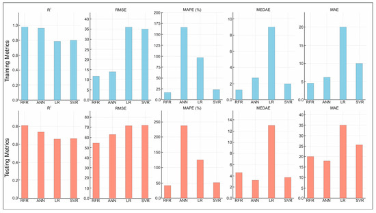
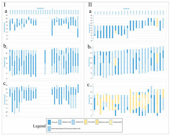
Mapping Complex Artificial Levees and Predicting Their Condition Using Machine Learning-Integrated Electrical Resistivity Tomography
by Diaa Sheishah, Enas Abdelsamei, Viktória Blanka-Végi, Dávid Filyó, Gergő Magyar, Ahmed Mohsen, Alexandru Hegyi, Abbas M. Abbas, Csaba Tóth, Tibor Borza, Péter Kozák, Alexandru Onaca, Sándor Hajdú and György Sipos
Water 2026, 18(7), 826; https://doi.org/10.3390/w18070826 - 30 Mar 2026
Viewed by 454
Abstract
Artificial levees along major rivers are critical for flood-risk mitigation, yet many aging structures have poorly constrained internal composition and material heterogeneity, limiting the reliability of conventional safety assessments. This study develops a quantitative, non-destructive framework for characterizing levee internal structure by integrating [...] Read more.
Artificial levees along major rivers are critical for flood-risk mitigation, yet many aging structures have poorly constrained internal composition and material heterogeneity, limiting the reliability of conventional safety assessments. This study develops a quantitative, non-destructive framework for characterizing levee internal structure by integrating electrical resistivity tomography (ERT) with borehole (BH) observations. ERT profiles were combined with borehole measurements of grain size (D50) and water content to investigate subsurface compositional variability and to evaluate relationships between sedimentological and geophysical parameters. Grain-size data from borehole samples were modeled using four predictive approaches—random forest regression (RFR), artificial neural networks (ANN), linear regression (LR), and support vector regression (SVR)—based on ERT-derived resistivity and moisture information. The results reveal pronounced internal heterogeneity within the investigated levees and demonstrate consistent relationships between sediment composition, water content, and electrical resistivity. Among the tested models, the ensemble-based RFR provided the highest predictive performance (R2 = 0.81). These findings indicate that D50 characteristics of levee materials can be reliably inferred from ERT data using machine learning, reducing the need for destructive sampling. The proposed approach offers a transferable methodology for levee assessment and supports future applications in non-destructive monitoring, spatially explicit flood-risk analysis, and climate-resilient flood-protection management. Full article
Show Figures

Figure 1

16 pages, 2848 KB  
Article
Integrated Mine Geophysics for Identifying Zones of Geological Instability
by Nail Zamaliyev, Alexander Sadchikov, Denis Akhmatnurov, Ravil Mussin, Krzysztof Skrzypkowski, Nikita Ganyukov and Nazym Issina
Appl. Sci. 2026, 16(7), 3303; https://doi.org/10.3390/app16073303 - 29 Mar 2026
Viewed by 349
Abstract
The safety and stability of underground coal mining are largely determined by the structural features of coal seams and surrounding rocks. Geological heterogeneities such as faults, fracture zones, and lithological variations strongly influence the distribution of rock pressure and the occurrence of geodynamic [...] Read more.
The safety and stability of underground coal mining are largely determined by the structural features of coal seams and surrounding rocks. Geological heterogeneities such as faults, fracture zones, and lithological variations strongly influence the distribution of rock pressure and the occurrence of geodynamic hazards. This highlights the need for reliable geophysical methods capable of identifying such zones under mining conditions. Electrical prospecting represents a promising diagnostic approach, as it is highly sensitive to changes in the physical properties of rocks. Unlike conventional geological mapping, it enables the detection of hidden structures and weakened zones often invisible to direct observation. Advances in instrumentation and data processing have further expanded the applicability of electrical methods in complex environments. This study introduces a methodology of electrical prospecting observations for the diagnosis of coal seams. The analysis focuses on conductivity anomalies that reflect tectonic disturbances, fracture systems, and lithological heterogeneities. Field investigations demonstrated the sensitivity of the method to local environmental variations. Comparison with geological records confirmed the validity of the approach: the identified anomalous zones correlated well with documented tectonic features. The methodology showed a stable performance and revealed potential for integration into mine monitoring systems. It allows the identification of areas associated with elevated rock pressure and possible geodynamic activity, thereby contributing to safer underground operations. In the longer term, electrical prospecting may be applied to other coal deposits, including those with a high gas content and complex structure. The development of automated interpretation tools and machine learning algorithms could further increase processing efficiency and improve predictive reliability. Overall, the results confirm that electrical prospecting in mining environments can become an effective instrument for enhancing safety and building more accurate geological–geophysical models of coal seams. Full article
Show Figures

Figure 1

23 pages, 15900 KB  
Article
Combined Satellite Monitoring of a Slow Landslide in the City of Cuenca (Ecuador)
by Lucia Marino, Chester Andrew Sellers, Giuseppe Bausilio, Domenico Calcaterra, Rosa Di Maio, Gina Faicán, Massimo Ramondini, Ricardo Adolfo Rodas, Annamaria Vicari and Diego Di Martire
Remote Sens. 2026, 18(7), 1017; https://doi.org/10.3390/rs18071017 - 28 Mar 2026
Viewed by 1305
Abstract
Accurately characterizing the kinematics of slow-moving urban landslides remains a major scientific and operational challenge, because no single monitoring technique can simultaneously provide spatially continuous deformation patterns and reliable three-dimensional displacement measurements. This study investigates the spatial and temporal evolution of a slow-moving [...] Read more.
Accurately characterizing the kinematics of slow-moving urban landslides remains a major scientific and operational challenge, because no single monitoring technique can simultaneously provide spatially continuous deformation patterns and reliable three-dimensional displacement measurements. This study investigates the spatial and temporal evolution of a slow-moving landslide affecting the University of Azuay campus in Cuenca (Ecuador), where ongoing ground deformation has caused structural damage to several buildings. An integrated monitoring strategy combining GNSS measurements, Sentinel-1 multi-temporal DInSAR analysis, and geophysical investigations (ERT and seismic profiling) was adopted to characterize landslide kinematics and constrain subsurface conditions. GNSS observations revealed that the north–south displacement component was dominant, with cumulative displacements exceeding 20 cm during the monitoring period (from July 2021 to June 2024), while east–west displacements were on the order of 10 cm. MT-DInSAR analysis delineated the spatial extent of the unstable area and identified mean deformation rates of up to approximately −1.5 cm/year in the central sector of the landslide. The combined interpretation of geodetic and geophysical data indicates that slope instability is controlled by saturated fine-grained layers and mechanical contrasts, with the basal sliding zone associated with weak levels of the Mangan Formation. Overall, the results demonstrate the value of a multi-sensor, component-wise monitoring strategy for improving the reliability of deformation estimates and for supporting landslide risk assessment and land-use planning in complex urban environments. Full article
(This article belongs to the Special Issue Advances in Surface Deformation Monitoring Using SAR Interferometry)
Show Figures

Figure 1

19 pages, 11161 KB  
Article
Marine Fiber-Optic Distributed Acoustic Sensing (DAS) for Monitoring Natural CO2 Emissions: A Case Study from Panarea (Aeolian Islands, Italy)
by Cinzia Bellezza, Fabio Meneghini, Andrea Travan, Michele Deponte, Luca Baradello and Andrea Schleifer
Appl. Sci. 2026, 16(6), 2863; https://doi.org/10.3390/app16062863 - 16 Mar 2026
Viewed by 360
Abstract
Submarine gas emissions represent a key expression of fluid migration processes in volcanic and hydrothermal marine environments and provide valuable analogues for monitoring strategies relevant to sub-seabed carbon storage. This study investigates the feasibility of using marine Distributed Acoustic Sensing (DAS) to detect [...] Read more.
Submarine gas emissions represent a key expression of fluid migration processes in volcanic and hydrothermal marine environments and provide valuable analogues for monitoring strategies relevant to sub-seabed carbon storage. This study investigates the feasibility of using marine Distributed Acoustic Sensing (DAS) to detect natural CO2 bubble emissions in a shallow-water setting offshore Panarea (Aeolian Islands, Italy). A 1.1 km armored fiber-optic cable was deployed on the seabed and interrogated using two different DAS systems to acquire continuous passive acoustic data. The DAS recordings were complemented by controlled gas releases from scuba tanks to provide reference signals, as well as by independent high-resolution boomer seismic survey and side-scan sonar imaging to characterize the shallow subsurface and seabed morphology. The results show that DAS is sensitive to acoustic signals associated with both artificial and natural bubble emissions, despite the complex acoustic conditions typical of shallow marine environments. The integration of passive DAS monitoring with independent geophysical observations provides a robust framework for interpreting gas-related signals and seabed processes. These findings demonstrate that marine DAS represents a promising geophysical tool for monitoring of submarine volcanic–hydrothermal systems and offers important insights for the development of sub-seabed CO2 leakage detection in offshore CCS contexts. Full article
(This article belongs to the Section Earth Sciences)
Show Figures

Graphical abstract

26 pages, 6238 KB  
Article
Development of an NB-IoT-Based Measurement and Control System for Frequency Division Multiplexing Electrical Resistivity Tomography (FDM-ERT) Instruments
by Kai Yu, Rujun Chen, Chunming Liu, Shaoheng Chun, Donghai Yu and Zhitong Liu
Appl. Sci. 2026, 16(6), 2774; https://doi.org/10.3390/app16062774 - 13 Mar 2026
Viewed by 362
Abstract
Urban geophysical exploration faces significant hurdles due to strong electromagnetic interference and limited operational space, which restrict the efficiency and depth of traditional Electrical Resistivity Tomography (ERT). To overcome these limitations, this paper presents a novel ERT measurement and control system based on [...] Read more.
Urban geophysical exploration faces significant hurdles due to strong electromagnetic interference and limited operational space, which restrict the efficiency and depth of traditional Electrical Resistivity Tomography (ERT). To overcome these limitations, this paper presents a novel ERT measurement and control system based on the Frequency Division Multiplexing (FDM) principle. Unlike conventional time-domain methods, this instrument synchronously transmits three independent AC signals at distinct frequencies. The acquisition station utilizes Fast Fourier Transform (FFT) to isolate specific frequency responses, enabling the simultaneous retrieval of apparent resistivity data for three different electrode spacings from a single transmission. The system architecture integrates low-power STM32 microcontrollers with an Android-based control terminal via Bluetooth, Wi-Fi, and NB-IoT technologies. This wireless design supports real-time current monitoring and cloud-based data synchronization. Experimental results demonstrate that the FDM operating mode significantly enhances data acquisition efficiency and anti-interference capability through frequency-domain separation. Controlled indoor and preliminary field tests indicate that FDM mode substantially improves acquisition efficiency through concurrent multi-channel measurement while effectively resolving target signals from noise. This study demonstrates the system’s technical feasibility and provides a practical foundation for future geophysical detection in time-constrained urban environments. Full article
Show Figures

Figure 1

47 pages, 12445 KB  
Article
Cognitive Radio–Based Ionospheric Scintillation Detection: A Low-Cost Framework for GNSS Detection and Monitoring in Equatorial Regions
by Jaime Orduy Rodríguez, Walter Abrahao Dos Santos, Claudia Nicoli Candido, Danny Stevens Traslaviña, Cristian Lozano Tafur, Pedro Melo Daza and Iván Felipe Rodríguez Barón
Sensors 2026, 26(6), 1765; https://doi.org/10.3390/s26061765 - 11 Mar 2026
Viewed by 605
Abstract
Global Navigation Satellite Systems (GNSS) are highly affected in equatorial regions, especially due to the formation of Equatorial Plasma Bubbles (EPBs), which cause disturbances in the ionosphere resulting in different forms of signal degradation. Despite Colombia’s privileged geographic position, its limited monitoring infrastructure [...] Read more.
Global Navigation Satellite Systems (GNSS) are highly affected in equatorial regions, especially due to the formation of Equatorial Plasma Bubbles (EPBs), which cause disturbances in the ionosphere resulting in different forms of signal degradation. Despite Colombia’s privileged geographic position, its limited monitoring infrastructure hinders the detection and mitigation of these effects. This study proposes the development of a Low-Cost Scintillation Laboratory (LCSL) using a cognitive radio–based approach for real-time scintillation monitoring, aimed at improving GNSS reliability. The system was designed following a Systems Engineering methodology, defining functional architectures and constraints. A communication system model was developed to account for EPBs’ effects on GNSS signals, while cognitive radio algorithms within a Software-Defined Radio (SDR) framework enabled real-time detection, monitoring, and alert generation. To implement this approach, monitoring stations were deployed in Bogotá, Cartagena, and Santa Marta utilized low-cost GNSS receivers integrated with Machine Learning (ML) algorithms for the automatic classification of scintillation events. Additionally, the system’s accuracy was validated by comparing experimental data with historical records from the Geophysical Institute of Peru (IGP). The results demonstrated that the integration of cognitive radio and ML-based detection enhanced precision and adaptability compared to traditional methods. The network of monitoring stations effectively validated the system’s performance, providing valuable insights into equatorial ionospheric dynamics. This study contributes to the advancement of monitoring methodologies and highlights the importance of accessible infrastructure for mitigating EPB effects on GNSS, ultimately fostering more resilient navigation and communication systems. Full article
(This article belongs to the Special Issue Advanced Physical Sensors for Environmental Monitoring)
Show Figures

Figure 1

Back to TopTop