Sign in to use this feature.

Years

Between: -

Subjects

remove_circle_outline
remove_circle_outline
remove_circle_outline
remove_circle_outline
remove_circle_outline
remove_circle_outline
remove_circle_outline
remove_circle_outline
remove_circle_outline

Journals

Article Types

Countries / Regions

Search Results (35)

Search Parameters:
Keywords = geo-referenced time series

Order results
Result details
Results per page
Select all
Export citation of selected articles as:
22 pages, 5646 KB  
Article
Simulations of Damage Scenarios in Urban Areas: The Case of the Seismic Sequence of L’Aquila 2009
by Rosa Maria Sava, Rosalinda Arcoraci, Annalisa Greco, Alessandro Pluchino and Andrea Rapisarda
Buildings 2025, 15(21), 3980; https://doi.org/10.3390/buildings15213980 - 4 Nov 2025
Viewed by 849
Abstract
Simulation of damage scenarios is an important tool for seismic risk mitigation. While a detailed analysis of each building would be preferable to assess their vulnerability to seismic hazard, simplified yet robust methodologies are necessary at a large urban scale to overcome computational [...] Read more.
Simulation of damage scenarios is an important tool for seismic risk mitigation. While a detailed analysis of each building would be preferable to assess their vulnerability to seismic hazard, simplified yet robust methodologies are necessary at a large urban scale to overcome computational costs or data unavailability. Moreover, most damage assessments simulate single seismic shocks, though in many real sequences, with a series of aftershocks following the mainshocks, it is observed that buildings endure damage accumulation, which increases their vulnerability over time. The present study builds on a recently developed methodology for simulating urban-scale damage scenarios across seismic sequences, explicitly accounting for damage accumulation and the evolution of vulnerability. In particular, the availability of a dataset reporting the damage observed in the L’Aquila area (Italy) during the severe earthquake sequence of 2009, in combination with the georeferenced maps representing the spatial distribution of the ground motion, allows for the calibration of the methodology through the comparison between the simulations’ results and the sequence’s real data. Although calibrated on the L’Aquila dataset, the proposed procedure could also be applied to different urban areas, with both real and synthetic seismic sequences, enabling the forecasting of damage scenarios to support the development of effective strategies for seismic risk mitigation. Full article
Show Figures

Figure 1

21 pages, 7656 KB  
Article
Multitemporal Monitoring for Cliff Failure Potential Using Close-Range Remote Sensing Techniques at Navagio Beach, Greece
by Aliki Konsolaki, Efstratios Karantanellis, Emmanuel Vassilakis, Evelina Kotsi and Efthymios Lekkas
Remote Sens. 2024, 16(23), 4610; https://doi.org/10.3390/rs16234610 - 9 Dec 2024
Cited by 1 | Viewed by 3263
Abstract
This study aims to address the challenges associated with rockfall assessment and monitoring, focusing on the coastal cliffs of “Navagio Shipwreck Beach” in Zakynthos. A complete time-series analysis was conducted using state-of-the-art methodologies including a 2020 survey using unmanned aerial systems (UASs) and [...] Read more.
This study aims to address the challenges associated with rockfall assessment and monitoring, focusing on the coastal cliffs of “Navagio Shipwreck Beach” in Zakynthos. A complete time-series analysis was conducted using state-of-the-art methodologies including a 2020 survey using unmanned aerial systems (UASs) and two subsequent surveys, incorporating terrestrial laser scanning (TLS) and UAS survey techniques in 2023. Achieving high precision and accuracy in georeferencing involving direct georeferencing, the utilization of pseudo ground control points (pGCPs), and integrating post-processing kinematics (PPK) with global navigation satellite system (GNSS) permanent stations’ RINEX data is necessary for co-registering the multitemporal models effectively. For the change detection analysis, UAS surveys were utilized, employing the multiscale model-to-model cloud comparison (M3C2) algorithm, while TLS data were used in a validation methodology due to their very high-resolution model. The synergy of these advanced technologies and methodologies offers a comprehensive understanding of rockfall dynamics, aiding in effective assessment and monitoring strategies for coastal cliffs prone to rockfall risk. Full article
(This article belongs to the Special Issue Application of Remote Sensing in Coastline Monitoring)
Show Figures

Figure 1

17 pages, 21732 KB  
Article
Multi-Method Technics and Deep Neural Networks Tools on Board ARGO USV for the Geoarchaeological and Geomorphological Mapping of Coastal Areas: The Case of Puteoli Roman Harbour
by Gaia Mattei, Pietro P. C. Aucelli, Angelo Ciaramella, Luigi De Luca, Alberto Greco, Gennaro Mellone, Francesco Peluso, Salvatore Troisi and Gerardo Pappone
Sensors 2024, 24(4), 1090; https://doi.org/10.3390/s24041090 - 7 Feb 2024
Cited by 4 | Viewed by 2051
Abstract
The ARGO-USV (Unmanned Surface Vehicle for ARchaeological GeO-application) is a technological project involving a marine drone aimed at devising an innovative methodology for marine geological and geomorphological investigations in shallow areas, usually considered critical areas to be investigated, with the help of traditional [...] Read more.
The ARGO-USV (Unmanned Surface Vehicle for ARchaeological GeO-application) is a technological project involving a marine drone aimed at devising an innovative methodology for marine geological and geomorphological investigations in shallow areas, usually considered critical areas to be investigated, with the help of traditional vessels. The methodological approach proposed in this paper has been implemented according to a multimodal mapping technique involving the simultaneous and integrated use of both optical and geoacoustic sensors. This approach has been enriched by tools based on artificial intelligence (AI), specifically intended to be installed onboard the ARGO-USV, aimed at the automatic recognition of submerged targets and the physical characterization of the seabed. This technological project is composed of a main command and control system and a series of dedicated sub-systems successfully tested in different operational scenarios. The ARGO drone is capable of acquiring and storing a considerable amount of georeferenced data during surveys lasting a few hours. The transmission of all acquired data in broadcasting allows the cooperation of a multidisciplinary team of specialists able to analyze specific datasets in real time. These features, together with the use of deep-learning-based modules and special attention to green-compliant construction phases, are the particular aspects that make ARGO-USV a modern and innovative project, aiming to improve the knowledge of wide coastal areas while minimizing the impact on these environments. As a proof-of-concept, we present the extensive mapping and characterization of the seabed from a geoarchaeological survey of the underwater Roman harbor of Puteoli in the Gulf of Naples (Italy), demonstrating that deep learning techniques can work synergistically with seabed mapping methods. Full article
(This article belongs to the Section Remote Sensors)
Show Figures

Figure 1

15 pages, 651 KB  
Article
Wasserstein Dissimilarity for Copula-Based Clustering of Time Series with Spatial Information
by Alessia Benevento and Fabrizio Durante
Mathematics 2024, 12(1), 67; https://doi.org/10.3390/math12010067 - 24 Dec 2023
Cited by 5 | Viewed by 3034
Abstract
The clustering of time series with geo-referenced data requires a suitable dissimilarity matrix interpreting the comovements of the time series and taking into account the spatial constraints. In this paper, we propose a new way to compute the dissimilarity matrix, merging both types [...] Read more.
The clustering of time series with geo-referenced data requires a suitable dissimilarity matrix interpreting the comovements of the time series and taking into account the spatial constraints. In this paper, we propose a new way to compute the dissimilarity matrix, merging both types of information, which leverages on the Wasserstein distance. We then make a quasi-Gaussian assumption that yields more convenient formulas in terms of the joint correlation matrix. The method is illustrated in a case study involving climatological data. Full article
(This article belongs to the Special Issue Stochastic Processes: Theory, Simulation and Applications)
Show Figures

Figure 1

26 pages, 29208 KB  
Article
A Green Fingerprint of Antarctica: Drones, Hyperspectral Imaging, and Machine Learning for Moss and Lichen Classification
by Juan Sandino, Barbara Bollard, Ashray Doshi, Krystal Randall, Johan Barthelemy, Sharon A. Robinson and Felipe Gonzalez
Remote Sens. 2023, 15(24), 5658; https://doi.org/10.3390/rs15245658 - 7 Dec 2023
Cited by 13 | Viewed by 6964
Abstract
Mapping Antarctic Specially Protected Areas (ASPAs) remains a critical yet challenging task, especially in extreme environments like Antarctica. Traditional methods are often cumbersome, expensive, and risky, with limited satellite data further hindering accuracy. This study addresses these challenges by developing a workflow that [...] Read more.
Mapping Antarctic Specially Protected Areas (ASPAs) remains a critical yet challenging task, especially in extreme environments like Antarctica. Traditional methods are often cumbersome, expensive, and risky, with limited satellite data further hindering accuracy. This study addresses these challenges by developing a workflow that enables precise mapping and monitoring of vegetation in ASPAs. The processing pipeline of this workflow integrates small unmanned aerial vehicles (UAVs)—or drones—to collect hyperspectral and multispectral imagery (HSI and MSI), global navigation satellite system (GNSS) enhanced with real-time kinematics (RTK) to collect ground control points (GCPs), and supervised machine learning classifiers. This workflow was validated in the field by acquiring ground and aerial data at ASPA 135, Windmill Islands, East Antarctica. The data preparation phase involves a data fusion technique to integrate HSI and MSI data, achieving the collection of georeferenced HSI scans with a resolution of up to 0.3 cm/pixel. From these high-resolution HSI scans, a series of novel spectral indices were proposed to enhance the classification accuracy of the model. Model training was achieved using extreme gradient boosting (XGBoost), with four different combinations tested to identify the best fit for the data. The research results indicate the successful detection and mapping of moss and lichens, with an average accuracy of 95%. Optimised XGBoost models, particularly Model 3 and Model 4, demonstrate the applicability of the custom spectral indices to achieve high accuracy with reduced computing power requirements. The integration of these technologies results in significantly more accurate mapping compared to conventional methods. This workflow serves as a foundational step towards more extensive remote sensing applications in Antarctic and ASPA vegetation mapping, as well as in monitoring the impact of climate change on the Antarctic ecosystem. Full article
(This article belongs to the Special Issue Antarctic Remote Sensing Applications)
Show Figures

Figure 1

16 pages, 5555 KB  
Article
Evaluation of Computer Vision Systems and Applications to Estimate Trunk Cross-Sectional Area, Flower Cluster Number, Thinning Efficacy and Yield of Apple
by Luis Gonzalez Nieto, Anna Wallis, Jon Clements, Mario Miranda Sazo, Craig Kahlke, Thomas M. Kon and Terence L. Robinson
Horticulturae 2023, 9(8), 880; https://doi.org/10.3390/horticulturae9080880 - 3 Aug 2023
Cited by 13 | Viewed by 3443
Abstract
Precision crop load management of apple requires counting fruiting structures at various times during the year to guide management decisions. The objective of the current study was to evaluate the accuracy of and compare different commercial computer vision systems and computer applications to [...] Read more.
Precision crop load management of apple requires counting fruiting structures at various times during the year to guide management decisions. The objective of the current study was to evaluate the accuracy of and compare different commercial computer vision systems and computer applications to estimate trunk cross-sectional area (TCSA), flower cluster number, thinning efficacy, and yield estimation. These studies evaluated two companies that offer different vision systems in a series of trials across 23 orchards in four states. Orchard Robotics uses a proprietary camera system, and Pometa (previously Farm Vision) uses a cell phone camera system. The cultivars used in the trials were ‘NY1’, ‘NY2’, ‘Empire’, ‘Granny Smith’, ‘Gala’, ‘Fuji’, and ‘Honeycrisp’. TCSA and flowering were evaluated with the Orchard Robotics camera in full rows. Flowering, fruit set, and yield estimation were evaluated with Pometa. Both systems were compared with manual measurements. Our results showed a positive linear correlation between the TCSA with the Orchard Robotics vision system and manual measurements, but the vision system underestimated the TCSA in comparison with the manual measurements (R2s between 0.5 and 0.79). Both vision systems showed a positive linear correlation between nubers of flowers and manual counts (R2s between 0.5 and 0.95). Thinning efficacy predictions (in June) were evaluated using the fruit growth rate model, by comparing manual measurements and the MaluSim computer app with the computer vision system of Pometa. Both systems showed accurate predictions when the numbers of fruits at harvest were lower than 200 fruit/tree, but our results suggest that, when the numbers of fruits at harvest were higher than 200 fruit/tree, both methods overestimated final fruit numbers per tree when compared with final fruit numbers at harvest (R2s 0.67 with both systems). Yield estimation was evaluated just before harvest (August) with the Pometa system. Yield estimation was accurate when fruit numbers were fewer than 75 fruit per tree, but, when the numbers of fruit at harvest were higher than 75 fruit per tree, the Pometa vision system underestimated the final yield (R2 = 0.67). Our results concluded that the Pometa system using a smartphone offered advantages such as low cost, quick access, simple operation, and accurate precision. The Orchard Robotics vision system with an advanced camera system provided more detailed and accurate information in terms of geo-referenced information for individual trees. Both vision systems evaluated are still in early development and have the potential to provide important information for orchard managers to improve crop load management decisions. Full article
Show Figures

Figure 1

17 pages, 4226 KB  
Article
Standardized Description of Degraded Land Reclamation Actions and Mapping of Actors’ Roles: A Key Step for Action in Combatting Desertification (Niger)
by Abou-Soufianou Sadda, Maud Loireau, Nouhou Salifou Jangorzo, Hassane Bil-Assanou Issoufou and Jean-Luc Chotte
Land 2023, 12(5), 1064; https://doi.org/10.3390/land12051064 - 13 May 2023
Cited by 3 | Viewed by 3152
Abstract
Land degradation is a major issue in the Sahel region. Numerous investments have been made in implementing sustainable land management (SLM) actions to reverse land degradation. Our work aims to (i) describe the variety of degraded land reclamation actions (DLRAs) and (ii) map [...] Read more.
Land degradation is a major issue in the Sahel region. Numerous investments have been made in implementing sustainable land management (SLM) actions to reverse land degradation. Our work aims to (i) describe the variety of degraded land reclamation actions (DLRAs) and (ii) map the stakeholders acting in Niger. A time series (2008–2021) of georeferenced public data was collected and organized using a harmonized nomenclature. The results show that about 279,074 ha could be analysed in our study. Dug structures are the most widespread technique, while treated land is mostly devoted to single agricultural or pastoral uses. DLRAs are unevenly distributed in the Niger. More than 100 stakeholders were part of the effort to restore degraded land in the country—some playing a specific role, while others, such as the Government of the Niger, were responsible for mobilizing funds for implementing sustainable land management programs, while also carrying out certain programmes of their own. Our study points out the added value of creating a geolocalized dataset and, in future, a spatialized database management system to (i) deploy targeted sustainable land management actions complementing past and ongoing actions and (ii) create synergy between all the stakeholders. Full article
(This article belongs to the Special Issue Land, Innovation and Social Good 2.0)
Show Figures

Figure 1

22 pages, 6612 KB  
Article
Conservation Status Assessment of Demersal Elasmobranchs in the Balearic Islands (Western Mediterranean) over the Last Two Decades
by Alba Serrat, Maria Teresa Farriols, Sergio Ramírez-Amaro, Francesc Ordines, Beatriz Guijarro, Francesca Ferragut-Perello and Enric Massutí
Fishes 2023, 8(5), 230; https://doi.org/10.3390/fishes8050230 - 27 Apr 2023
Cited by 7 | Viewed by 3742
Abstract
More than half of the Mediterranean sharks and rays are threatened by fishing exploitation. However, population assessments are limited by the scarcity of specific data on fishing catches. In this study, we assessed temporal trends of the indicators developed within the European Marine [...] Read more.
More than half of the Mediterranean sharks and rays are threatened by fishing exploitation. However, population assessments are limited by the scarcity of specific data on fishing catches. In this study, we assessed temporal trends of the indicators developed within the European Marine Strategy Framework Directive over the last two decades in order to assess the conservation status of demersal sharks and batoids in the Balearic Islands, which represent an important fraction of the bycatch of bottom trawling in this area. On the basis of a georeferenced, fishery-independent dataset of 19 species of elasmobranchs, we analyzed 20 year time series (2002–2021) of nine indicators regarding area distribution, population size, population status, and community structure. Between 30% and 50% of the elasmobranch species and functional groups showed increasing trends in distribution area and population size. This was especially true for batoids, whereas the distribution area and population size of most sharks remained stable over the study period. The remaining indicators showed stability or, in some cases, variable trends. Only in one case did we find a negative trend sustained all along the time series (i.e., the proportion of R. radula large individuals in relation to the reference period). Overall, our results suggest that the populations of elasmobranchs from the Balearic Islands show stable or recovery trends, mainly in terms of distribution area and density. However, it remains elusive whether this community can recover to the levels of more than half a century ago, before the development of the bottom trawl fishery, or whether this apparent current steady state should be interpreted as a new equilibrium. Full article
(This article belongs to the Special Issue Cartilaginous Fishes: Stock Assessment and Population Dynamics)
Show Figures

Graphical abstract

22 pages, 65930 KB  
Article
A Multi-Resolution Approach to Point Cloud Registration without Control Points
by Eleanor A. Bash, Lakin Wecker, Mir Mustafizur Rahman, Christine F. Dow, Greg McDermid, Faramarz F. Samavati, Ken Whitehead, Brian J. Moorman, Dorota Medrzycka and Luke Copland
Remote Sens. 2023, 15(4), 1161; https://doi.org/10.3390/rs15041161 - 20 Feb 2023
Cited by 8 | Viewed by 4866
Abstract
Terrestrial photographic imagery combined with structure-from-motion (SfM) provides a relatively easy-to-implement method for monitoring environmental systems, even in remote and rough terrain. However, the collection of in-situ positioning data and the identification of control points required for georeferencing in SfM processing is the [...] Read more.
Terrestrial photographic imagery combined with structure-from-motion (SfM) provides a relatively easy-to-implement method for monitoring environmental systems, even in remote and rough terrain. However, the collection of in-situ positioning data and the identification of control points required for georeferencing in SfM processing is the primary roadblock to using SfM in difficult-to-access locations; it is also the primary bottleneck for using SfM in a time series. We describe a novel, computationally efficient, and semi-automated approach for georeferencing unreferenced point clouds (UPC) derived from terrestrial overlapping photos to a reference dataset (e.g., DEM or aerial point cloud; hereafter RPC) in order to address this problem. The approach utilizes a Discrete Global Grid System (DGGS), which allows us to capitalize on easily collected rough information about camera deployment to coarsely register the UPC using the RPC. The DGGS also provides a hierarchical set of grids which supports a hierarchical modified iterative closest point algorithm with natural correspondence between the UPC and RPC. The approach requires minimal interaction in a user-friendly interface, while allowing for user adjustment of parameters and inspection of results. We illustrate the approach with two case studies: a close-range (<1 km) vertical glacier calving front reconstructed from two cameras at Fountain Glacier, Nunavut and a long-range (>3 km) scene of relatively flat glacier ice reconstructed from four cameras overlooking Nàłùdäy (Lowell Glacier), Yukon, Canada. We assessed the accuracy of the georeferencing by comparing the UPC to the RPC, as well as surveyed control points; the consistency of the registration was assessed using the difference between successive registered surfaces in the time series. The accuracy of the registration is roughly equal to the ground sampling distance and is consistent across time steps. These results demonstrate the promise of the approach for easy-to-implement georeferencing of point clouds from terrestrial imagery with acceptable accuracy, opening the door for new possibilities in remote monitoring for change-detection, such as monitoring calving rates, glacier surges, or other seasonal changes at remote field locations. Full article
(This article belongs to the Special Issue Remote Sensing of the Cryosphere)
Show Figures

Figure 1

17 pages, 2912 KB  
Article
Mapping Soil Parameters with Environmental Covariates and Land Cover Projection in Tropical Rainforest, Hangadi Watershed, Ethiopia
by Berhanu Tamiru, Teshome Soromessa, Bikila Warkineh and Gudina Legese
Sustainability 2023, 15(2), 1066; https://doi.org/10.3390/su15021066 - 6 Jan 2023
Cited by 8 | Viewed by 3021
Abstract
Machine learning and geostatistics are efficient techniques for investigating the geographic distribution of soil properties. This study’s objectives were to assess soil fertility status, map the spatial variability of selected soil parameters and compare random forest with ordinary kriging. Soil samples were collected [...] Read more.
Machine learning and geostatistics are efficient techniques for investigating the geographic distribution of soil properties. This study’s objectives were to assess soil fertility status, map the spatial variability of selected soil parameters and compare random forest with ordinary kriging. Soil samples were collected to analyze parameters: pH, cation exchange capacity (CEC) and organic carbon (OC) using systematic sampling. Some environmental covariates were used in the machine learning process: a digital elevation model (DEM) collected from USGS distributing shuttle radar topography mission data and a LULC map generated from a 30-year time series (1988–2018) of Landsat 8. Georeferenced samples were sent to Batu Soil Research Laboratory. pH, CEC and OC were mapped and status was determined using random forest and ordinary kriging. Random forest was more accurate with low mean square error (MSE), root mean square error (RMSE), mean absolute error (MAE) and coefficient of determination (high R2). In random forest, pH varied between 5.03 and 5.76 and ordinary kriging pH ranged from 4.96 to 5.76. pH was greater in cultivated land. CEC and OC were higher in the forest. The higher pH in cultivated land was due to grass coverage and minimal tillage. The addition of organic matter and CEC to a forest may result in higher OC. Environmental covariates (topographic, bands, NDVI and LULC) were used to predict the gradients of pH, OC and CEC. For pH, OC and CEC, DEM was the most important predictor. CEC was high in low landscape, but low in high landscape positions. Low OC requires composting, fallow and organic fertilizers. Future research should include the remaining predictors: physiochemical and lithological data to improve the performance of random forest. Full article
Show Figures

Figure 1

14 pages, 2387 KB  
Article
Identification of Co-Clusters with Coherent Trends in Geo-Referenced Time Series
by Xiaojing Wu
ISPRS Int. J. Geo-Inf. 2022, 11(2), 134; https://doi.org/10.3390/ijgi11020134 - 15 Feb 2022
Viewed by 3246
Abstract
Several studies have worked on co-clustering analysis of spatio-temporal data. However, most of them search for co-clusters with similar values and are unable to identify co-clusters with coherent trends, defined as exhibiting similar tendencies in the attributes. In this study, we present the [...] Read more.
Several studies have worked on co-clustering analysis of spatio-temporal data. However, most of them search for co-clusters with similar values and are unable to identify co-clusters with coherent trends, defined as exhibiting similar tendencies in the attributes. In this study, we present the Bregman co-clustering algorithm with minimum sum-squared residue (BCC_MSSR), which uses the residue to quantify coherent trends and enables the identification of co-clusters with coherent trends in geo-referenced time series. Dutch monthly temperatures over 20 years at 28 stations were used as the case study dataset. Station-clusters, month-clusters, and co-clusters in the BCC_MSSR results were showed and compared with co-clusters of similar values. A total of 112 co-clusters with different temperature variations were identified in the Results, and 16 representative co-clusters were illustrated, and seven types of coherent temperature trends were summarized: (1) increasing; (2) decreasing; (3) first increasing and then decreasing; (4) first decreasing and then increasing; (5) first increasing, then decreasing, and finally increasing; (6) first decreasing, then increasing, and finally decreasing; and (7) first decreasing, then increasing, decreasing, and finally increasing. Comparisons with co-clusters of similar values show that BCC_MSSR explored coherent spatio-temporal patterns in regions and certain time periods. However, the selection of the suitable co-clustering methods depends on the objective of specific tasks. Full article
Show Figures

Figure 1

17 pages, 4000 KB  
Article
Validation of CrIS Radiometric Performance through Its Comparison to ABI
by Zhipeng Wang, Flavio Iturbide-Sanchez, Peter Beierle, Kun Zhang and Denis Tremblay
Remote Sens. 2022, 14(4), 876; https://doi.org/10.3390/rs14040876 - 12 Feb 2022
Cited by 1 | Viewed by 3820
Abstract
Radiometric intercomparison between satellite remote sensing instruments has become an increasingly common practice to monitor the stability and even the accuracy of their radiance products. The assessment also enables the evaluation of calibration improvements made to these products, as well as the identification [...] Read more.
Radiometric intercomparison between satellite remote sensing instruments has become an increasingly common practice to monitor the stability and even the accuracy of their radiance products. The assessment also enables the evaluation of calibration improvements made to these products, as well as the identification and resolution of remaining calibration inadequacies. In this paper, the radiance products of the Cross-track Infrared Sounder (CrIS), an interferometer-based hyperspectral IR sounder in low Earth orbit (LEO), is compared with the level-1b (L1b) radiance products of the infrared (IR) bands of the Advanced Baseline Imager (ABI), an imaging radiometer in geostationary (GEO) orbit. Two CrIS instruments are currently in operation on S-NPP and NOAA-20 satellites, respectively, and two ABI instruments are in operation on GOES-16 and GOES-17 satellites, respectively. Radiometric intercomparisons are performed between each CrIS-ABI pair. An established procedure by GSICS for such GEO-LEO instrument comparison is principally followed to emulate the radiance of ABI IR bands from CrIS spectra of the collocated pixels to be compared with the actual ABI radiance. Results show that the long-term time series of CrIS-ABI radiance bias have been stable within 0.2 K for nearly all ABI IR bands within a spectral range from 3.7 μm to 13.3 μm, except those with known calibration issues. Miscellaneous calibration events that had occurred to either instrument and altered the biases are identified and explained. While the main goal of the work is to support the on-orbit Cal/Val of CrIS, including the future JPSS-2/3/4 CrIS, such observations can also be referenced to further improve the calibration of ABI. Full article
Show Figures

Figure 1

22 pages, 2820 KB  
Article
Relationships between the Spatio-Temporal Variation in Reflectance Data from the Sentinel-2 Satellite and Potato (Solanum Tuberosum L.) Yield and Stem Density
by Joseph K. Mhango, W. Edwin Harris and James M. Monaghan
Remote Sens. 2021, 13(21), 4371; https://doi.org/10.3390/rs13214371 - 30 Oct 2021
Cited by 4 | Viewed by 3503
Abstract
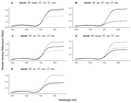
Satellite Image Time Series (SITS) have been used to build models for predicting Potato (Solanum tuberosum L.) yields at regional scales, but evidence of extension of such models to local field scale for practical use in precision agriculture is lacking. In [...] Read more.
Satellite Image Time Series (SITS) have been used to build models for predicting Potato (Solanum tuberosum L.) yields at regional scales, but evidence of extension of such models to local field scale for practical use in precision agriculture is lacking. In this study, multispectral data from the Sentinel-2 satellite were used to interpolate continuous spectral signatures of potato canopies and generate vegetation indices and the red edge inflection point (REIP) to relate to marketable yield and stem density. The SITS data were collected from 94 sampling locations across five potato fields in England, United Kingdom. The sampling locations were georeferenced and the number of stems per square meter, as well as marketable yield, were determined at harvest. The first principal components of the temporal variation of each SITS wavelength were extracted and used to generate 54 vegetation indices to relate to the response variables. Marketable yield was negatively related to the overall seasonal reflectance (first principal component) at 559 nm with a beta coefficient of −0.53 (±0.18 at p = 0.05). Seasonal reflectance at 703 nm had a positive significant relationship with Marketable yield. Marketable yield was modeled with a normalized root mean square error (nRMSE) of 0.16 and R2 of 0.65. On the other hand, Stem density was significantly related to the Specific Leaf Area Vegetation Index (β = 1.66 ± 1.59) but the REIP’s farthest position during the season was reached later in dense canopies (β = 1.18 ± 0.79) with a higher reflectance (β = 3.43 ± 1.9). This suggested that denser canopies took longer to reach their maximum chlorophyll intensity and the intensity was lower than in sparse canopies. Potato stem density was modeled with an nRMSE of 0.24 and R2 of 0.51. These results reinforce the importance of SITS analysis as opposed to the use of single-instance intrinsic indices. Full article
Show Figures

Figure 1

20 pages, 5865 KB  
Article
Spatiotemporal Correlation Feature Spaces to Support Anomaly Detection in Water Distribution Networks
by Susana C. Gomes, Susana Vinga and Rui Henriques
Water 2021, 13(18), 2551; https://doi.org/10.3390/w13182551 - 17 Sep 2021
Cited by 13 | Viewed by 3906
Abstract
Monitoring disruptions to water distribution dynamics are essential to detect leakages, signal fraudlent and deviant consumptions, amongst other events of interest. State-of-the-art methods to detect anomalous behavior from flowarate and pressure signal show limited degrees of success as they generally neglect the simultaneously [...] Read more.
Monitoring disruptions to water distribution dynamics are essential to detect leakages, signal fraudlent and deviant consumptions, amongst other events of interest. State-of-the-art methods to detect anomalous behavior from flowarate and pressure signal show limited degrees of success as they generally neglect the simultaneously rich spatial and temporal content of signals produced by the multiple sensors placed at different locations of a water distribution network (WDN). This work shows that it is possible to (1) describe the dynamics of a WDN through spatiotemporal correlation analysis of pressure and volumetric flowrate sensors, and (2) analyze disruptions on the expected correlation to detect burst leakage dynamics and additional deviant phenomena. Results gathered from Portuguese WDNs reveal that the proposed shift from raw signal views into correlation-based views offers a simplistic and more robust means to handle the irregularity of consumption patterns and the heterogeneity of leakage profiles (both in terms of burst volume and location). We further show that the disruption caused by leakages can be detected shortly after the burst, highlighting the actionability of the proposed correlation-based principles for anomaly detection in heterogeneous and georeferenced time series. The computational approach is provided as an open-source tool available at GitHub. Full article
(This article belongs to the Special Issue Water Supply Assessment Systems Developing)
Show Figures

Figure 1

20 pages, 8133 KB  
Article
Geological-Geomorphological and Paleontological Heritage in the Algarve (Portugal) Applied to Geotourism and Geoeducation
by Antonio Martínez-Graña, Paulo Legoinha, José Luis Goy, José Angel González-Delgado, Ildefonso Armenteros, Cristino Dabrio and Caridad Zazo
Land 2021, 10(9), 918; https://doi.org/10.3390/land10090918 - 31 Aug 2021
Cited by 6 | Viewed by 8068
Abstract
A 3D virtual geological route on Digital Earth of the geological-geomorphological and paleontological heritage in the Algarve (Portugal) is presented, assessing the geological heritage of nine representative geosites. Eighteen quantitative parameters are used, weighing the scientific, didactic and cultural tourist interest of each [...] Read more.
A 3D virtual geological route on Digital Earth of the geological-geomorphological and paleontological heritage in the Algarve (Portugal) is presented, assessing the geological heritage of nine representative geosites. Eighteen quantitative parameters are used, weighing the scientific, didactic and cultural tourist interest of each site. A virtual route has been created in Google Earth, with overlaid georeferenced cartographies, as a field guide for students to participate and improve their learning. This free application allows loading thematic georeferenced information that has previously been evaluated by means of a series of parameters for identifying the importance and interest of a geosite (scientific, educational and/or tourist). The virtual route allows travelling from one geosite to another, interacting in real time from portable devices (e.g., smartphone and tablets), and thus making possible the ability to observe the relief and spatial geological distribution with representative images, as well as to access files with the description and analysis of each geosite. By using a field guide, each geosite is complemented with activities for carrying out and evaluating what has been learned; these resources allow a teaching–learning process where the student is an active part of the development and creation of content using new technologies that provide more entertaining and educational learning, teamwork and interaction with social networks. This itinerary allows the creation of attitudes and skills that involve geoconservation as an element for sustainable development. Full article
(This article belongs to the Section Landscape Archaeology)
Show Figures

Figure 1

Back to TopTop