Sign in to use this feature.

Years

Between: -

Subjects

remove_circle_outline
remove_circle_outline
remove_circle_outline
remove_circle_outline
remove_circle_outline
remove_circle_outline
remove_circle_outline
remove_circle_outline
remove_circle_outline

Journals

remove_circle_outline
remove_circle_outline
remove_circle_outline
remove_circle_outline
remove_circle_outline
remove_circle_outline
remove_circle_outline
remove_circle_outline
remove_circle_outline
remove_circle_outline
remove_circle_outline
remove_circle_outline
remove_circle_outline
remove_circle_outline
remove_circle_outline
remove_circle_outline
remove_circle_outline
remove_circle_outline
remove_circle_outline
remove_circle_outline
remove_circle_outline
remove_circle_outline
remove_circle_outline
remove_circle_outline
remove_circle_outline

Article Types

Countries / Regions

remove_circle_outline
remove_circle_outline
remove_circle_outline
remove_circle_outline
remove_circle_outline
remove_circle_outline
remove_circle_outline
remove_circle_outline
remove_circle_outline

Search Results (4,255)

Search Parameters:
Keywords = generators of power integral bases

Order results
Result details
Results per page
Select all
Export citation of selected articles as:
20 pages, 801 KB  
Article
Optimization Dispatch Method for Integrated Energy Systems in Agricultural Parks Considering the Operational Reliability of Energy Storage Batteries
by Yunjia Wang, Shiyao Hu, Zeya Zhang, Yan Zhang, Hongguang Yu, Ning Pang, Zihao Liu and Chen Shao
Processes 2026, 14(2), 269; https://doi.org/10.3390/pr14020269 (registering DOI) - 12 Jan 2026
Abstract
Current scheduling strategies for energy storage batteries in agricultural parks generally overlook the issue of battery lifespan degradation, which significantly undermines the system’s economic efficiency and long-term reliability. To address this problem, this paper proposes an optimal scheduling method for integrated energy systems [...] Read more.
Current scheduling strategies for energy storage batteries in agricultural parks generally overlook the issue of battery lifespan degradation, which significantly undermines the system’s economic efficiency and long-term reliability. To address this problem, this paper proposes an optimal scheduling method for integrated energy systems in agricultural parks that takes into account the operational reliability of energy storage batteries. First, a battery capacity degradation model integrating both cycle aging and calendar aging is established, and the reliability of multiple components within the energy storage system is evaluated using Monte Carlo simulation. On this basis, an optimization scheduling model aimed at minimizing the total system operating cost is developed, dynamically balancing economic performance and battery service life. Finally, the proposed method is validated through a practical case study of a facility-based agricultural industrial park. The results demonstrate that, while ensuring stable system operation, the approach effectively extends the service life of energy storage equipment by 8–9 years, reduces the average daily operating cost by 61.94 yuan, and increases the power supply reliability rate to 99.921%. Full article
(This article belongs to the Special Issue Energy Storage and Conversion: Next-Generation Battery Technology)
17 pages, 3179 KB  
Article
Collaborative Suppression Strategy for AC Asymmetric Faults in Offshore Wind Power MMC-HVDC Systems
by Xiang Lu, Chenglin Ren, Shi Jiao, Jie Shi, Weicheng Li and Hailin Li
Energies 2026, 19(2), 365; https://doi.org/10.3390/en19020365 - 12 Jan 2026
Abstract
When offshore wind power is connected to a grid via Modular multilevel converter-based High Voltage Direct Current (MMC-HVDC), the sending-end alternating current (AC) system is susceptible to asymmetrical faults. These faults lead to overcurrent surges, voltage drops, and second harmonic circulating currents, which [...] Read more.
When offshore wind power is connected to a grid via Modular multilevel converter-based High Voltage Direct Current (MMC-HVDC), the sending-end alternating current (AC) system is susceptible to asymmetrical faults. These faults lead to overcurrent surges, voltage drops, and second harmonic circulating currents, which seriously threaten the safe operation of the system. To quickly suppress fault current surges, achieve precise control of system variables, and improve fault ride-through capability, this study proposes a collaborative control strategy. This strategy integrates generalized virtual impedance current limiting, positive- and negative-sequence collaborative feedforward control, and model-predictive control-based suppression of arm energy and circulating currents. The positive- and negative-sequence components of the voltage and current are quickly separated by extending and decoupling the decoupled double synchronous reference frame phase-locked loop (DDSRF-PLL). A generalized virtual impedance with low positive-sequence impedance and high negative-sequence impedance was designed to achieve rapid current limiting. Simultaneously, negative-sequence current feedforward compensation and positive-sequence voltage adaptive support are introduced to suppress dynamic fluctuations. Finally, an arm energy and circulating current prediction model based on model predictive control (MPC) is established, and the second harmonic circulating currents are precisely suppressed through rolling optimization. Simulation results based on PSCAD/EMTDC show that the proposed control strategy can effectively suppress the negative-sequence current, significantly improve voltage stability, and greatly reduce the peak fault current. It significantly enhances the fault ride-through capability and operational reliability of offshore wind power MMC-HVDC-connected systems and holds significant potential for engineering applications. Full article
Show Figures

Figure 1

12 pages, 2983 KB  
Article
Characterization of a Bow-Tie Antenna Integrated UTC-Photodiode on Silicon Carbide for Terahertz Wave Generation
by Hussein Ssali, Yoshiki Kamiura, Tatsuro Maeda and Kazutoshi Kato
Telecom 2026, 7(1), 9; https://doi.org/10.3390/telecom7010009 - 12 Jan 2026
Abstract
This work presents the fabrication and characterization of a bow-tie antenna integrated uni-traveling carrier photodiode (UTC-PD) on a silicon carbide (SiC) substrate for efficient terahertz (THz) wave generation. The proposed device exploits the superior thermal conductivity and mechanical robustness of SiC to overcome [...] Read more.
This work presents the fabrication and characterization of a bow-tie antenna integrated uni-traveling carrier photodiode (UTC-PD) on a silicon carbide (SiC) substrate for efficient terahertz (THz) wave generation. The proposed device exploits the superior thermal conductivity and mechanical robustness of SiC to overcome the self-heating limitations associated with conventional indium phosphide (InP)-based photodiodes. An epitaxial layer transfer technique was utilized to bond InP/InGaAs UTC-PD structures onto SiC. The study systematically examines the influence of critical geometric parameters, specifically the mesa diameter and length between the antenna arms, on the emitted THz intensity in the 300 GHz frequency band. Experimental results show that the THz radiation efficiency is primarily governed by the mesa diameter, reflecting the trade-off between light absorption, device capacitance, and bandwidth, while the length between the antenna arms exhibits only a weak influence within the investigated parameter range. The fabricated device demonstrates strong linearity between photocurrent and THz output power up to 7.5 mA, after which saturation occurs due to space-charge effects. This work provides crucial insights for optimizing SiC-based bow-tie antenna integrated UTC-PD devices to realize robust, high-power THz sources vital for future high-data-rate wireless communication systems such as beyond 5G and 6G networks. Full article
Show Figures

Figure 1

24 pages, 2901 KB  
Article
Performance Defect Identification in Switching Power Supplies Based on Multi-Strategy-Enhanced Dung Beetle Optimizer
by Zibo Yang, Jiale Guo, Rui Li, Guoqing An, Kai Zhang, Jiawei Liu and Long Zhang
Math. Comput. Appl. 2026, 31(1), 12; https://doi.org/10.3390/mca31010012 - 12 Jan 2026
Abstract
To address the limited defect-detection capability of existing performance testing methods for switching power supplies under varying operating conditions, this paper proposes a defect identification approach based on an enhanced Dung Beetle Optimizer. The algorithm integrates multi-strategy improvements—including piecewise chaotic mapping, Lévy flight [...] Read more.
To address the limited defect-detection capability of existing performance testing methods for switching power supplies under varying operating conditions, this paper proposes a defect identification approach based on an enhanced Dung Beetle Optimizer. The algorithm integrates multi-strategy improvements—including piecewise chaotic mapping, Lévy flight perturbation, hybrid sine–cosine updating, and an alert sparrow mechanism—to refine the initial population generation, position update rules, and late-stage exploration. These enhancements strengthen its spatial search ability and computational performance. The experimental results show that the method accurately identifies the predefined defect intervals with a precision of 94.79%, covering 91.3% of the operating conditions. Comparisons with existing mainstream methods confirm the superior performance, effectiveness, and feasibility of the proposed method. Full article
Show Figures

Figure 1

36 pages, 3742 KB  
Review
Design Optimization of EV Drive Systems: Building the Next Generation of Automatic AI Platforms
by Haotian Jiang, Yitong Wang, Gang Lei, Xiaodong Sun and Jianguo Zhu
World Electr. Veh. J. 2026, 17(1), 35; https://doi.org/10.3390/wevj17010035 - 12 Jan 2026
Abstract
This paper reviews recent developments in the design optimization of electrical drive systems for electric vehicles (EVs) and proposes a pathway to develop next-generation AI design platforms that integrate system-level optimization methods and digital twins. First, a comprehensive review is presented to five [...] Read more.
This paper reviews recent developments in the design optimization of electrical drive systems for electric vehicles (EVs) and proposes a pathway to develop next-generation AI design platforms that integrate system-level optimization methods and digital twins. First, a comprehensive review is presented to five design optimization models for EV motors, including multiphysics, multiobjective, multimode, robust, and topology optimization, as well as six efficient optimization strategies, such as multilevel optimization and AI-based approaches. Several recommendations on the practical application of these optimization strategies are also presented. Second, representative optimization methods for power converters and control systems of EV drives are summarized. Third, application-oriented and robust system-level design optimization strategies for EV drive systems are discussed. Finally, two proposals are presented and discussed for the design of next-generation EV drive systems and their integration with battery management systems. They are AI-powered automatic design optimization platforms that integrate large language models and a digital-twin-assisted system-level optimization framework. Two case studies on in-wheel motors and drive systems are also included to demonstrate the performance and effectiveness of various optimization methods. Full article
Show Figures

Figure 1

16 pages, 8246 KB  
Article
Measurement and Study of Electric Field Radiation from a High Voltage Pseudospark Switch
by Junou Wang, Lei Chen, Xiao Yu, Jingkun Yang, Fuxing Li and Wanqing Jing
Sensors 2026, 26(2), 482; https://doi.org/10.3390/s26020482 - 11 Jan 2026
Abstract
The pulsed power switch serves as a critical component in pulsed power systems. The electric radiation generated by switching operations threatens the miniaturization of pulsed power systems, causing significant electromagnetic interference (EMI) to nearby signal circuits. The pseudospark switch’s (PSS) exceptionally fast transient [...] Read more.
The pulsed power switch serves as a critical component in pulsed power systems. The electric radiation generated by switching operations threatens the miniaturization of pulsed power systems, causing significant electromagnetic interference (EMI) to nearby signal circuits. The pseudospark switch’s (PSS) exceptionally fast transient response, a key enabler for sophisticated pulsed power systems, is also a major source of severe EMI. This study investigated the electric field radiation from a high voltage PSS within a capacitor discharge unit (CDU), using a near-field scanning system based on an electro-optic probe. The time-frequency distribution of the radiation was characterized, identifying contributions from three sequential stages: the application of the trigger voltage, the main gap breakdown, and the subsequent oscillating high voltage. During the high-frequency oscillation stage, the distribution of the peak electric field radiation aligns with the predictions of the dipole model, with a maximum value of 43.99 kV/m measured near the PSS. The spectral composition extended to 60 MHz, featuring a primary component at 1.24 MHz and distinct harmonics at 20.14 MHz and 32.33 MHz. Additionally, the impacts of circuit parameters and trigger current on the radiated fields were discussed. These results provided essential guidance for the electromagnetic compatibility (EMC) design of highly-integrated pulsed power systems, facilitating more reliable PSS applications. Full article
(This article belongs to the Section Electronic Sensors)
Show Figures

Figure 1

22 pages, 2896 KB  
Article
Probabilistic Photovoltaic Power Forecasting with Reliable Uncertainty Quantification via Multi-Scale Temporal–Spatial Attention and Conformalized Quantile Regression
by Guanghu Wang, Yan Zhou, Yan Yan, Zhihan Zhou, Zikang Yang, Litao Dai and Junpeng Huang
Sustainability 2026, 18(2), 739; https://doi.org/10.3390/su18020739 - 11 Jan 2026
Abstract
Accurate probabilistic forecasting of photovoltaic (PV) power generation is crucial for grid scheduling and renewable energy integration. However, existing approaches often produce prediction intervals with limited calibration accuracy, and the interdependence among meteorological variables is frequently overlooked. This study proposes a probabilistic forecasting [...] Read more.
Accurate probabilistic forecasting of photovoltaic (PV) power generation is crucial for grid scheduling and renewable energy integration. However, existing approaches often produce prediction intervals with limited calibration accuracy, and the interdependence among meteorological variables is frequently overlooked. This study proposes a probabilistic forecasting framework based on a Multi-scale Temporal–Spatial Attention Quantile Regression Network (MTSA-QRN) and an adaptive calibration mechanism to enhance uncertainty quantification and ensure statistically reliable prediction intervals. The framework employs a dual-pathway architecture: a temporal pathway combining Temporal Convolutional Networks (TCN) and multi-head self-attention to capture hierarchical temporal dependencies, and a spatial pathway based on Graph Attention Networks (GAT) to model nonlinear meteorological correlations. A learnable gated fusion mechanism adaptively integrates temporal–spatial representations, and weather-adaptive modules enhance robustness under diverse atmospheric conditions. Multi-quantile prediction intervals are calibrated using conformalized quantile regression to ensure reliable uncertainty coverage. Experiments on a real-world PV dataset (15 min resolution) demonstrate that the proposed method offers more accurate and sharper uncertainty estimates than competitive benchmarks, supporting risk-aware operational decision-making in power systems. Quantitative evaluation on a real-world 40 MW photovoltaic plant demonstrates that the proposed MTSA-QRN achieves a CRPS of 0.0400 before calibration, representing an improvement of over 55% compared with representative deep learning baselines such as Quantile-GRU, Quantile-LSTM, and Quantile-Transformer. After adaptive calibration, the proposed method attains a reliable empirical coverage close to the nominal level (PICP90 = 0.9053), indicating effective uncertainty calibration. Although the calibrated prediction intervals become wider, the model maintains a competitive CRPS value (0.0453), striking a favorable balance between reliability and probabilistic accuracy. These results demonstrate the effectiveness of the proposed framework for reliable probabilistic photovoltaic power forecasting. Full article
(This article belongs to the Topic Sustainable Energy Systems)
31 pages, 3336 KB  
Article
GridFM: A Physics-Informed Foundation Model for Multi-Task Energy Forecasting Using Real-Time NYISO Data
by Ali Sayghe, Mohammed Ahmed Mousa, Salem Batiyah, Abdulrahman Husawi and Mansour Almuwallad
Energies 2026, 19(2), 357; https://doi.org/10.3390/en19020357 - 11 Jan 2026
Abstract
The rapid integration of renewable energy sources and increasing complexity of modern power grids demand advanced forecasting tools capable of simultaneously predicting multiple interconnected variables. While time series foundation models (TSFMs) have demonstrated remarkable zero-shot forecasting capabilities across diverse domains, their application in [...] Read more.
The rapid integration of renewable energy sources and increasing complexity of modern power grids demand advanced forecasting tools capable of simultaneously predicting multiple interconnected variables. While time series foundation models (TSFMs) have demonstrated remarkable zero-shot forecasting capabilities across diverse domains, their application in power grid operations remains limited due to complex coupling relationships between load, price, emissions, and renewable generation. This paper proposes GridFM, a novel physics-informed foundation model specifically designed for multi-task energy forecasting in power systems. GridFM introduces four key innovations: (1) a FreqMixer adaptation layer that transforms pre-trained foundation model representations to power-grid-specific patterns through frequency domain mixing without modifying base weights; (2) a physics-informed constraint module embedding power balance equations and zonal grid topology using graph neural networks; (3) a multi-task learning framework enabling joint forecasting of load demand, locational-based marginal prices (LBMP), carbon emissions, and renewable generation with uncertainty-weighted loss functions; and (4) an explainability module utilizing SHAP values and attention visualization for interpretable predictions. We validate GridFM using over 10 years of real-time data from the New York Independent System Operator (NYISO) at 5 min resolution, comprising more than 10 million data points across 11 load zones. Comprehensive experiments demonstrate that GridFM achieves state-of-the-art performance with an 18.5% improvement in load forecasting MAPE (achieving 2.14%), a 23.2% improvement in price forecasting (achieving 7.8% MAPE), and a 21.7% improvement in emission prediction compared to existing TSFMs including Chronos, TimesFM, and Moirai-MoE. Ablation studies confirm the contribution of each proposed component. The physics-informed constraints reduce physically inconsistent predictions by 67%, while the multi-task framework improves individual task performance by exploiting inter-variable correlations. The proposed model provides interpretable predictions supporting the Climate Leadership and Community Protection Act (CLCPA) 2030/2040 compliance objectives, enabling grid operators to make informed decisions for sustainable energy transition and carbon reduction strategies. Full article
36 pages, 6026 KB  
Article
CNN-LSTM Assisted Multi-Objective Aerodynamic Optimization Method for Low-Reynolds-Number Micro-UAV Airfoils
by Jinzhao Peng, Enying Li and Hu Wang
Aerospace 2026, 13(1), 78; https://doi.org/10.3390/aerospace13010078 - 11 Jan 2026
Abstract
The optimization of low-Reynolds-number airfoils for micro unmanned aerial vehicles (UAVs) is challenging due to strong geometric nonlinearities, tight endurance requirements, and the need to maintain performance across multiple operating conditions. Classical surrogate-assisted optimization (SAO) methods combined with genetic algorithms become increasingly expensive [...] Read more.
The optimization of low-Reynolds-number airfoils for micro unmanned aerial vehicles (UAVs) is challenging due to strong geometric nonlinearities, tight endurance requirements, and the need to maintain performance across multiple operating conditions. Classical surrogate-assisted optimization (SAO) methods combined with genetic algorithms become increasingly expensive and less reliable when class–shape transformation (CST)-based geometries are coupled with several flight conditions. Although deep learning surrogates have higher expressive power, their use in this context is often limited by insufficient local feature extraction, weak adaptation to changes in operating conditions, and a lack of robustness analysis. In this study, we construct a task-specific convolutional neural network–long short-term memory (CNN–LSTM) surrogate that jointly predicts the power factor, lift, and drag coefficients at three representative operating conditions (cruise, forward flight, and maneuver) for the same CST-parameterized airfoil and integrate it into an Non-dominated Sorting Genetic Algorithm II (NSGA-II)-based three-objective optimization framework. The CNN encoder captures local geometric sensitivities, while the LSTM aggregates dependencies across operating conditions, forming a compact encoder–aggregator tailored to low-Re micro-UAV design. Trained on a computational fluid dynamics (CFD) dataset from a validated SD7032-based pipeline, the proposed surrogate achieves substantially lower prediction errors than several fully connected and single-condition baselines and maintains more favorable error distributions on CST-family parameter-range extrapolation samples (±40%, geometry-valid) under the same CFD setup, while being about three orders of magnitude faster than conventional CFD during inference. When embedded in NSGA-II under thickness and pitching-moment constraints, the surrogate enables efficient exploration of the design space and yields an optimized airfoil that simultaneously improves power factor, reduces drag, and increases lift compared with the baseline SD7032. This work therefore contributes a three-condition surrogate–optimizer workflow and physically interpretable low-Re micro-UAV design insights, rather than introducing a new generic learning or optimization algorithm. Full article
(This article belongs to the Section Aeronautics)
Show Figures

Figure 1

23 pages, 6249 KB  
Article
Refining Open-Source Asset Management Tools: AI-Driven Innovations for Enhanced Reliability and Resilience of Power Systems
by Gopal Lal Rajora, Miguel A. Sanz-Bobi, Lina Bertling Tjernberg and Pablo Calvo-Bascones
Technologies 2026, 14(1), 57; https://doi.org/10.3390/technologies14010057 - 11 Jan 2026
Abstract
Traditional methods of asset management in electric power systems rely upon fixed schedules and reactive measurements, leading to challenges in the transparent prioritization of maintenance under evolving operating conditions and incomplete data. In this paper, we introduce a new, fully integrated artificial intelligence [...] Read more.
Traditional methods of asset management in electric power systems rely upon fixed schedules and reactive measurements, leading to challenges in the transparent prioritization of maintenance under evolving operating conditions and incomplete data. In this paper, we introduce a new, fully integrated artificial intelligence (AI)-driven approach for enhancing the resilience and reliability of open-source asset management tools to support improved performance and decisions in electric power system operations. This methodology addresses and overcomes several significant challenges, including data heterogeneity, algorithmic limitations, and inflexible decision-making, through a three-module workflow. The data fidelity module provides a domain-aware pipeline for identifying structural (missing) values from explicit missingness using sophisticated imputation methods, including Multiple Imputation Chain Equations (MICE) and Generative Adversarial Network (GAN)-based hybrids. The characterization module employs seven complementary weighting strategies, including PCA, Autoencoder, GA-based optimization, SHAP, Decision-Tree Importance, and Entropy Weighting, to achieve objective feature weight assignment, thereby eliminating the need for subjective manual rules. The optimization module enhanced the action space through multi-objective optimization, balancing reliability maximization and cost minimization. A synthetic dataset of 100 power transformers was used to validate that the MICE achieved better imputation than other methods. The optimized weighting framework successfully categorizes Health Index values into five condition levels, while the multi-objective maintenance policy optimization generates decisions that align with real-world asset management practices. The proposed framework provides the Transmission and Distribution System Operators (TSOs/DSOs) with an adaptable, industry-oriented decision-support workflow system for enhancing reliability, optimizing maintenance expenses, and improving asset management policies for critical power infrastructure. Full article
(This article belongs to the Special Issue AI for Smart Engineering Systems)
17 pages, 6740 KB  
Article
Spatial Analysis of Rooftop Solar Energy Potential for Distributed Generation in an Andean City
by Isaac Ortega Romero, Xavier Serrano-Guerrero, Christopher Ochoa Malhaber and Antonio Barragán-Escandón
Energies 2026, 19(2), 344; https://doi.org/10.3390/en19020344 - 10 Jan 2026
Viewed by 44
Abstract
Urban energy systems in Andean cities face growing pressure to accommodate rising electricity demand while progressing toward decarbonization and grid modernization. Residential rooftop photovoltaic (PV) generation offers a promising pathway to enhance transformer utilization, reduce emissions, and improve distribution network performance. However, most [...] Read more.
Urban energy systems in Andean cities face growing pressure to accommodate rising electricity demand while progressing toward decarbonization and grid modernization. Residential rooftop photovoltaic (PV) generation offers a promising pathway to enhance transformer utilization, reduce emissions, and improve distribution network performance. However, most GIS-based rooftop solar assessments remain disconnected from operational constraints of urban electrical networks, limiting their applicability for distribution planning. This study examines the technical and environmental feasibility of integrating residential PV distributed generation into the urban distribution network of an Andean city by coupling high-resolution geospatial solar potential analysis with monthly aggregated electricity consumption (MEC) and transformer loadability (LD) information. A GIS-driven framework identifies suitable rooftops based on solar irradiation, orientation, slope, shading, and three-dimensional urban geometry, while MEC data are used to perform energy-balance and planning-level transformer LD assessments. Results indicate that approximately 1.16 MW of rooftop PV capacity could be integrated, increasing average transformer LD from 21.5% to 45.8% and yielding an annual PV generation of about 1.9 GWh. This contribution corresponds to an estimated avoidance of 1143 metric tons of CO2 per year. At the same time, localized reverse power flow causes some transformers to reach or exceed nominal capacity, highlighting the need to explicitly consider network constraints when translating rooftop solar potential into deployable capacity. By explicitly linking rooftop solar resource availability with aggregated electricity consumption and transformer LD, the proposed framework provides a scalable and practical planning tool for distributed PV deployment in complex mountainous urban environments. Full article
(This article belongs to the Section F2: Distributed Energy System)
Show Figures

Graphical abstract

29 pages, 8183 KB  
Article
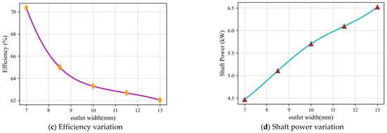
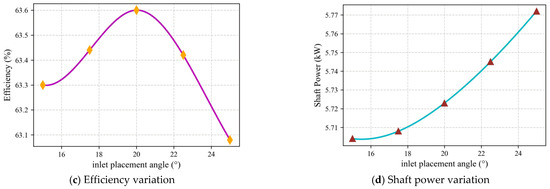
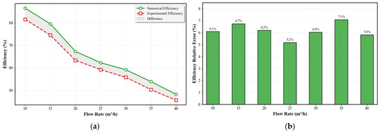
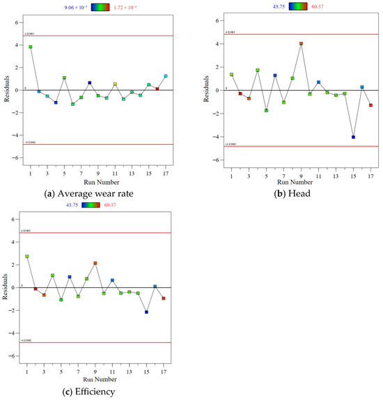
Response Surface Methodology for Wear Optimization of Irrigation Centrifugal Pumps in High-Sediment Water Conditions of Southern Xinjiang: Design and Experimental Validation
by Haoran Chen, Zhuo Shi, Shunjun Hong and Xiaozhou Hu
Agriculture 2026, 16(2), 177; https://doi.org/10.3390/agriculture16020177 - 9 Jan 2026
Viewed by 93
Abstract
This study investigates the wear characteristics and optimization of a centrifugal pump (Q = 25 m3/h, H = 50 m, n = 2900 r/min) applied in sediment-laden waters of Southern Xinjiang irrigation systems. A numerical framework integrating the Realizable [...] Read more.
This study investigates the wear characteristics and optimization of a centrifugal pump (Q = 25 m3/h, H = 50 m, n = 2900 r/min) applied in sediment-laden waters of Southern Xinjiang irrigation systems. A numerical framework integrating the Realizable kε turbulence model, Discrete Phase Model (DPM), and Oka erosion model was established to analyze wear patterns under varying parameters (particle size, density, and mass flow rate). Results indicate that the average erosion rate peaks at 0.92 kg/s mass flow rate. Subsequently, a Response Surface Methodology (RSM)-based optimization was implemented: (1) Plackett–Burman (PB) screening identified the inlet placement angle (A), inlet diameter (C), and outlet width (E) as dominant factors; (2) Full factorial design (FFD) revealed significant interactions (e.g., A × C, C × E); (3) Box–Behnken Design (BBD) generated quadratic regression models for head, efficiency, shaft power, and wear rate (R2 > 0.94). Optimization reduced the average erosion rate by 31.35% (from 1.550 × 10−4 to 1.064 × 10−4 kg·m−2·s−1). Experimental validation confirmed the numerical model’s accuracy in predicting wear localization (e.g., impeller outlet). This work provides a robust methodology for enhancing the wear resistance of centrifugal pumps for agricultural irrigation in water with high fine sediment concentration environments. Full article
(This article belongs to the Section Agricultural Technology)
Show Figures

Figure 1

44 pages, 1911 KB  
Review
Advances in Materials and Manufacturing for Scalable and Decentralized Green Hydrogen Production Systems
by Gabriella Stefánia Szabó, Florina-Ambrozia Coteț, Sára Ferenci and Loránd Szabó
J. Manuf. Mater. Process. 2026, 10(1), 28; https://doi.org/10.3390/jmmp10010028 - 9 Jan 2026
Viewed by 78
Abstract
The expansion of green hydrogen requires technologies that are both manufacturable at a GW-to-TW power scale and adaptable for decentralized, renewable-driven energy systems. Recent advances in proton exchange membrane, alkaline, and solid oxide electrolysis reveal persistent bottlenecks in catalysts, membranes, porous transport layers, [...] Read more.
The expansion of green hydrogen requires technologies that are both manufacturable at a GW-to-TW power scale and adaptable for decentralized, renewable-driven energy systems. Recent advances in proton exchange membrane, alkaline, and solid oxide electrolysis reveal persistent bottlenecks in catalysts, membranes, porous transport layers, bipolar plates, sealing, and high-temperature ceramics. Emerging fabrication strategies, including roll-to-roll coating, spatial atomic layer deposition, digital-twin-based quality assurance, automated stack assembly, and circular material recovery, enable high-yield, low-variance production compatible with multi-GW power plants. At the same time, these developments support decentralized hydrogen systems that demand compact, dynamically operated, and material-efficient electrolyzers integrated with local renewable generation. The analysis underscores the need to jointly optimize material durability, manufacturing precision, and system-level controllability to ensure reliable and cost-effective hydrogen supply. This paper outlines a convergent approach that connects critical-material reduction, high-throughput manufacturing, a digitalized balance of plant, and circularity with distributed energy architectures and large-scale industrial deployment. Full article
38 pages, 40161 KB  
Article
Hybrid-Energy-Powered Electrochemical Ocean Alkalinity Enhancement Model: Plant Operation, Cost, and Profitability
by James Salvador Niffenegger, Kaitlin Brunik, Katie Peterson, Andrew Simms, Tristen Myers Stewart, Jessica Cross and Michael Lawson
Clean Technol. 2026, 8(1), 12; https://doi.org/10.3390/cleantechnol8010012 - 9 Jan 2026
Viewed by 63
Abstract
Electrochemical ocean alkalinity enhancement is a form of marine carbon dioxide removal, a rapidly growing industry that is powered by efficient onshore or offshore energy sources. As more and larger deployments are being planned, it is important to consider how variable energy sources [...] Read more.
Electrochemical ocean alkalinity enhancement is a form of marine carbon dioxide removal, a rapidly growing industry that is powered by efficient onshore or offshore energy sources. As more and larger deployments are being planned, it is important to consider how variable energy sources like tidal energy can impact plant performance and costs. An open-source Python-based generalizable model for electrodialysis-based ocean alkalinity enhancement has been developed that can capture key system-level insights of the electrochemistry, ocean chemistry, acid disposal, and co-product creation of these plants under various conditions. The model additionally accounts for hybrid energy system performance profiles and costs via the National Laboratory of the Rockies’ H2Integrate tool. The model was used to analyze an example theoretical plant deployment in North Admiralty Inlet, including how the plant is impacted by the available energy sources in the region and the scale at which plant costs are covered by the co-products it generates, such as recycled concrete aggregates, without requiring carbon credits. The results show that the example plant could be profitable without carbon credits at commercial scales of 100,000 to 1 million tons of carbon dioxide removal per year, so long as it uses low-cost electricity sources and either sells acid or recovers recycled concrete aggregates with about 1 molar acid concentrations, though more research is needed to confirm these results. Full article
(This article belongs to the Topic CO2 Capture and Renewable Energy, 2nd Edition)
28 pages, 4808 KB  
Article
Hybrid Renewable Systems Integrating Hydrogen, Battery Storage and Smart Market Platforms for Decarbonized Energy Futures
by Antun Barac, Mario Holik, Kristijan Ćurić and Marinko Stojkov
Energies 2026, 19(2), 331; https://doi.org/10.3390/en19020331 - 9 Jan 2026
Viewed by 202
Abstract
Rapid decarbonization and decentralization of power systems are driving the integration of renewable generation, energy storage and digital technologies into unified energy ecosystems. In this context, photovoltaic (PV) systems combined with battery and hydrogen storage and blockchain-based platforms represent a promising pathway toward [...] Read more.
Rapid decarbonization and decentralization of power systems are driving the integration of renewable generation, energy storage and digital technologies into unified energy ecosystems. In this context, photovoltaic (PV) systems combined with battery and hydrogen storage and blockchain-based platforms represent a promising pathway toward sustainable and transparent energy management. This study evaluates the techno-economic performance and operational feasibility of integrated PV systems combining battery and hydrogen storage with a blockchain-based peer-to-peer (P2P) energy trading platform. A simulation framework was developed for two representative consumer profiles: a scientific–educational institution and a residential household. Technical, economic and environmental indicators were assessed for PV systems integrated with battery and hydrogen storage. The results indicate substantial reductions in grid electricity demand and CO2 emissions for both profiles, with hydrogen integration providing additional peak-load stabilization under current cost constraints. Blockchain functionality was validated through smart contracts and a decentralized application, confirming the feasibility of P2P energy exchange without central intermediaries. Grid electricity consumption is reduced by up to approximately 45–50% for residential users and 35–40% for institutional buildings, accompanied by CO2 emission reductions of up to 70% and 38%, respectively, while hydrogen integration enables significant peak-load reduction. Overall, the results demonstrate the synergistic potential of integrating PV generation, battery and hydrogen storage and blockchain-based trading to enhance energy independence, reduce emissions and improve system resilience, providing a comprehensive basis for future pilot implementations and market optimization strategies. Full article
(This article belongs to the Special Issue Energy Management and Life Cycle Assessment for Sustainable Energy)
Show Figures

Figure 1

Back to TopTop