Sign in to use this feature.

Years

Between: -

Subjects

remove_circle_outline
remove_circle_outline
remove_circle_outline
remove_circle_outline
remove_circle_outline
remove_circle_outline

Journals

Article Types

Countries / Regions

Search Results (27)

Search Parameters:
Keywords = generalized maximum correntropy

Order results
Result details
Results per page
Select all
Export citation of selected articles as:
27 pages, 3688 KB  
Article
Vehicle Pose Estimation Method Based on Maximum Correntropy Square Root Unscented Kalman Filter
by Shuyu Liu and Ying Guo
Appl. Sci. 2025, 15(10), 5662; https://doi.org/10.3390/app15105662 - 19 May 2025
Viewed by 632
Abstract
Simultaneous Localization and Mapping (SLAM) is an effective method for estimating and correcting the pose of the mobile robot. However, a large amount of external noise and observed outliers in complex unknown environments often lead to a decrease in the estimation accuracy and [...] Read more.
Simultaneous Localization and Mapping (SLAM) is an effective method for estimating and correcting the pose of the mobile robot. However, a large amount of external noise and observed outliers in complex unknown environments often lead to a decrease in the estimation accuracy and robustness of the SLAM algorithm. To improve the performance of the Square Root Unscented Kalman Filter SLAM (SRUKF-SLAM), this paper proposes the Maximum Correntropy Square Root Unscented Kalman Filter SLAM (MCSRUKF-SLAM) algorithm. The method first generates an estimate of the predicted state and covariance matrix through the Unscented Transform (UT), and then obtains the square root matrix of the covariance through Cholesky and QR decomposition to replace the original covariance, effectively preserving the positive definiteness of the covariance and improving the accuracy of the algorithm. Moreover, the proposed MCSRUKF-SLAM recharacterizes measurement information at the cost of the Maximum Correntropy (MC) instead of the Minimum Mean Square Error (MMSE), effectively improving the SLAM algorithm’s ability to suppress non-Gaussian noise. The simulation results show that compared with EKF-SLAM, UKF-SLAM, SRUKF-SLAM, and MCUKF-SLAM, the accuracy of the proposed MCSRUKF-SLAM in Gaussian mixture noise improves by 81.8%, 80.9%, 78.7%, and 63.6%, and the accuracy of the proposed MCSRUKF-SLAM in colored noise improves by 50.3%, 39.9%, 38.2%, and 36.3%. Full article
Show Figures

Figure 1

20 pages, 4501 KB  
Article
Variable Step-Size Hybrid Filtered-x Affine Projection Generalized Correntropy Algorithm for Active Noise Control
by Zhaoqing Mu, Ying Gao, Xinyu Guo and Shifeng Ou
Sensors 2025, 25(6), 1881; https://doi.org/10.3390/s25061881 - 18 Mar 2025
Viewed by 562
Abstract
Active Noise Control (ANC) is frequently utilized to minimize noise in industrial environments. However, the powerful pulses in industrial noise pose challenges to its application. Consequently, ANC systems necessitate a high-performance algorithm as a core component. In this process, the variable step-size strategy [...] Read more.
Active Noise Control (ANC) is frequently utilized to minimize noise in industrial environments. However, the powerful pulses in industrial noise pose challenges to its application. Consequently, ANC systems necessitate a high-performance algorithm as a core component. In this process, the variable step-size strategy is the main approach for enhancing the ANC algorithm’s performance but ensuring robustness while improving performance remains a challenge. To address this problem, we propose a new ANC algorithm with a variable step size. This algorithm is derived from the Affine Projection Generalized Maximum Correntropy (APGMC) method, featuring a hybrid step-size and a new step-size approach achieved by modifying the mean square deviation (MSD). To showcase the practical effectiveness of the proposed algorithm, noisy audio from a real construction site was used for noise reduction control. Results show that the proposed algorithm effectively manages noise across frequency bands, with an improvement of approximately 16% to 19.2% compared to existing similar algorithms. Full article
(This article belongs to the Section Industrial Sensors)
Show Figures

Figure 1

32 pages, 4386 KB  
Article
Multi-Source, Fault-Tolerant, and Robust Navigation Method for Tightly Coupled GNSS/5G/IMU System
by Zhongliang Deng, Zhichao Zhang, Zhenke Ding and Bingxun Liu
Sensors 2025, 25(3), 965; https://doi.org/10.3390/s25030965 - 5 Feb 2025
Viewed by 1544
Abstract
The global navigation satellite system (GNSS) struggles to deliver the precision and reliability required for positioning, navigation, and timing (PNT) services in environments with severe interference. Fifth-generation (5G) cellular networks, with their low latency, high bandwidth, and large capacity, offer a robust communication [...] Read more.
The global navigation satellite system (GNSS) struggles to deliver the precision and reliability required for positioning, navigation, and timing (PNT) services in environments with severe interference. Fifth-generation (5G) cellular networks, with their low latency, high bandwidth, and large capacity, offer a robust communication infrastructure, enabling 5G base stations (BSs) to extend coverage into regions where traditional GNSSs face significant challenges. However, frequent multi-sensor faults, including missing alarm thresholds, uncontrolled error accumulation, and delayed warnings, hinder the adaptability of navigation systems to the dynamic multi-source information of complex scenarios. This study introduces an advanced, tightly coupled GNSS/5G/IMU integration framework designed for distributed PNT systems, providing all-source fault detection with weighted, robust adaptive filtering. A weighted, robust adaptive filter (MCC-WRAF), grounded in the maximum correntropy criterion, was developed to suppress fault propagation, relax Gaussian noise constraints, and improve the efficiency of observational weight distribution in multi-source fusion scenarios. Moreover, we derived the intrinsic relationships of filtering innovations within wireless measurement models and proposed a time-sequential, observation-driven full-source FDE and sensor recovery validation strategy. This approach employs a sliding window which expands innovation vectors temporally based on source encoding, enabling real-time validation of isolated faulty sensors and adaptive adjustment of observational data in integrated navigation solutions. Additionally, a covariance-optimal, inflation-based integrity protection mechanism was introduced, offering rigorous evaluations of distributed PNT service availability. The experimental validation was carried out in a typical outdoor scenario, and the results highlight the proposed method’s ability to mitigate undetected fault impacts, improve detection sensitivity, and significantly reduce alarm response times across step, ramp, and multi-fault mixed scenarios. Additionally, the dynamic positioning accuracy of the fusion navigation system improved to 0.83 m (1σ). Compared with standard Kalman filtering (EKF) and advanced multi-rate Kalman filtering (MRAKF), the proposed algorithm achieved 28.3% and 53.1% improvements in its 1σ error, respectively, significantly enhancing the accuracy and reliability of the multi-source fusion navigation system. Full article
(This article belongs to the Section Navigation and Positioning)
Show Figures

Figure 1

19 pages, 8294 KB  
Article
Variable-Step-Size Generalized Maximum Correntropy Affine Projection Algorithm with Sparse Regularization Term
by Haorui Li, Ying Gao, Xinyu Guo and Shifeng Ou
Electronics 2025, 14(2), 291; https://doi.org/10.3390/electronics14020291 - 13 Jan 2025
Viewed by 801
Abstract
Adaptive filtering plays a pivotal role in modern electronic information and communication systems, particularly in dynamic and complex environments. While traditional adaptive algorithms work well in many scenarios, they do not fully exploit the sparsity of the system, which restricts their performance in [...] Read more.
Adaptive filtering plays a pivotal role in modern electronic information and communication systems, particularly in dynamic and complex environments. While traditional adaptive algorithms work well in many scenarios, they do not fully exploit the sparsity of the system, which restricts their performance in the presence of varying noise conditions. To overcome these limitations, this paper proposes a variable-step-size generalized maximum correntropy affine projection algorithm (C-APGMC) with a sparse regularization term. The algorithm leverages the system’s sparsity by using a correlated entropy-inducing metric (CIM), which approximates the l0 norm of the norms, assigning stronger zero-attraction to smaller coefficients at each iteration. Moreover, the algorithm employs a variable-step-size approach guided by the mean square deviation (MSD) criterion. This design seeks to optimize both convergence speed and steady-state performance, improving its adaptability in dynamic environments. The simulation results demonstrate that the algorithm outperforms others in echo cancellation tasks, even in the presence of various noise disturbances. Full article
Show Figures

Figure 1

22 pages, 8574 KB  
Article
Study on Mathematical Models for Precise Estimation of Tire–Road Friction Coefficient of Distributed Drive Electric Vehicles Based on Sensorless Control of the Permanent Magnet Synchronous Motor
by Binghao Yu, Yiming Hu and Dequan Zeng
Symmetry 2024, 16(7), 792; https://doi.org/10.3390/sym16070792 - 24 Jun 2024
Cited by 3 | Viewed by 1653
Abstract
In order to reduce the use of wheel angular velocity sensors and improve the estimation accuracy and robustness of the tire–road friction coefficient (TRFC) in non-Gaussian noise environments, this paper proposes a sensorless control-based distributed drive electric vehicle TRFC estimation algorithm using a [...] Read more.
In order to reduce the use of wheel angular velocity sensors and improve the estimation accuracy and robustness of the tire–road friction coefficient (TRFC) in non-Gaussian noise environments, this paper proposes a sensorless control-based distributed drive electric vehicle TRFC estimation algorithm using a permanent magnet synchronous motor (PMSM). The algorithm replaces the wheel angular velocity signal with the rotor speed signal obtained from the sensorless control of the PMSM. Firstly, a seven-degree-of-freedom vehicle dynamics model and a mathematical model of the PMSM are established, and the maximum correntropy singular value decomposition generalized high-degree cubature Kalman filter algorithm (MCSVDGHCKF) is derived. Secondly, a sensorless control system of a PMSM based on the MCSVDGHCKF algorithm is established to estimate the rotor speed and position of the PMSM, and its effectiveness is verified. Finally, the feasibility of the algorithm for TRFC estimation in non-Gaussian noise is demonstrated through simulation experiments, the Root Mean Square Error (RMSE) of TRFC estimates for the right front wheel and the left rear wheel were reduced by at least 41.36% and 40.63%, respectively. The results show that the MCSVDGHCKF has a higher accuracy and stronger robustness compared to the maximum correntropy high-degree cubature Kalman filter (MCHCKF), singular value decomposition generalized high-degree cubature Kalman filter (SVDGHCKF), and high-degree cubature Kalman filter (HCKF). Full article
(This article belongs to the Section Engineering and Materials)
Show Figures

Figure 1

27 pages, 625 KB  
Article
Filtering in Triplet Markov Chain Model in the Presence of Non-Gaussian Noise with Application to Target Tracking
by Guanghua Zhang, Xiqian Zhang, Linghao Zeng, Shasha Dai, Mingyu Zhang and Feng Lian
Remote Sens. 2023, 15(23), 5543; https://doi.org/10.3390/rs15235543 - 28 Nov 2023
Cited by 5 | Viewed by 1587
Abstract
In hidden Markov chain (HMC) models, widely used for target tracking, the process noise and measurement noise are in general assumed to be independent and Gaussian for mathematical simplicity. However, the independence and Gaussian assumptions do not always hold in practice. For instance, [...] Read more.
In hidden Markov chain (HMC) models, widely used for target tracking, the process noise and measurement noise are in general assumed to be independent and Gaussian for mathematical simplicity. However, the independence and Gaussian assumptions do not always hold in practice. For instance, in a typical radar tracking application, the measurement noise is correlated over time as the sampling frequency of a radar is generally much higher than the bandwidth of the measurement noise. In addition, target maneuvers and measurement outliers imply that the process noise and measurement noise are non-Gaussian. To solve this problem, we resort to triplet Markov chain (TMC) models to describe stochastic systems with correlated noise and derive a new filter under the maximum correntropy criterion to deal with non-Gaussian noise. By stacking the state vector, measurement vector, and auxiliary vector into a triplet state vector, the TMC model can capture the complete dynamics of stochastic systems, which may be subjected to potential parameter uncertainty, non-stationarity, or error sources. Correntropy is used to measure the similarity of two random variables; unlike the commonly used minimum mean square error criterion, which uses only second-order statistics, correntropy uses second-order and higher-order information, and is more suitable for systems in the presence of non-Gaussian noise, particularly some heavy-tailed noise disturbances. Furthermore, to reduce the influence of round-off errors, a square-root implementation of the new filter is provided using QR decomposition. Instead of the full covariance matrices, corresponding Cholesky factors are recursively calculated in the square-root filtering algorithm. This is more numerically stable for ill-conditioned problems compared to the conventional filter. Finally, the effectiveness of the proposed algorithms is illustrated via three numerical examples. Full article
(This article belongs to the Section Engineering Remote Sensing)
Show Figures

Graphical abstract

17 pages, 7617 KB  
Article
A Robust GPS Navigation Filter Based on Maximum Correntropy Criterion with Adaptive Kernel Bandwidth
by Dah-Jing Jwo, Yi-Ling Chen, Ta-Shun Cho and Amita Biswal
Sensors 2023, 23(23), 9386; https://doi.org/10.3390/s23239386 - 24 Nov 2023
Cited by 11 | Viewed by 1916
Abstract
Multiple forms of interference and noise that impact the receiver’s capacity to receive and interpret satellite signals, and consequently the preciseness of positioning and navigation, may be present during the processing of Global Positioning System (GPS) navigation. The non-Gaussian noise predominates in the [...] Read more.
Multiple forms of interference and noise that impact the receiver’s capacity to receive and interpret satellite signals, and consequently the preciseness of positioning and navigation, may be present during the processing of Global Positioning System (GPS) navigation. The non-Gaussian noise predominates in the signal owing to the fluctuating character of both natural and artificial electromagnetic interference, and the algorithm based on the minimum mean-square error (MMSE) criterion performs well when assuming Gaussian noise, but drops when assuming non-Gaussian noise. The maximum correntropy criteria (MCC) adaptive filtering technique efficiently reduces pulse noise and has adequate performance in heavy-tailed noise, which addresses the issue of filter performance caused by the presence of non-Gaussian or heavy-tailed unusual noise values in the localizing measurement noise. The adaptive kernel bandwidth (AKB) technique employed in this paper applies the calculated adaptive variables to generate the kernel function matrix, in which the adaptive factor can modify the size of the kernel width across a reasonably appropriate spectrum, substituting the fixed kernel width for the conventional MCC to enhance the performance. The conventional maximum correntropy criterion-based extended Kalman filter (MCCEKF) algorithm’s performance is significantly impacted by the value of the kernel width, and there are certain predetermined conditions in the selection based on experience. The MCCEKF with a fixed adaptive kernel bandwidth (MCCEKF-AKB) has several advantages due to its novel concept and computational simplicity, and gives a qualitative solution for the study of random structures for generalized noise. Additionally, it can effectively achieve the robust state estimation of outliers with anomalous values while guaranteeing the accuracy of the filtering. Full article
(This article belongs to the Special Issue Multi-sensor Integration for Navigation and Environmental Sensing)
Show Figures

Figure 1

19 pages, 994 KB  
Article
Regularized Maximum Correntropy Criterion Kalman Filter for Uncalibrated Visual Servoing in the Presence of Non-Gaussian Feature Tracking Noise
by Glauber Rodrigues Leite, Ícaro Bezerra Queiroz de Araújo and Allan de Medeiros Martins
Sensors 2023, 23(20), 8518; https://doi.org/10.3390/s23208518 - 17 Oct 2023
Cited by 1 | Viewed by 1705
Abstract
Some advantages of using cameras as sensor devices on feedback systems are the flexibility of the data it represents, the possibility to extract real-time information, and the fact that it does not require contact to operate. However, in unstructured scenarios, Image-Based Visual Servoing [...] Read more.
Some advantages of using cameras as sensor devices on feedback systems are the flexibility of the data it represents, the possibility to extract real-time information, and the fact that it does not require contact to operate. However, in unstructured scenarios, Image-Based Visual Servoing (IBVS) robot tasks are challenging. Camera calibration and robot kinematics can approximate a jacobian that maps the image features space to the robot actuation space, but they can become error-prone or require online changes. Uncalibrated visual servoing (UVS) aims at executing visual servoing tasks without previous camera calibration or through camera model uncertainties. One way to accomplish that is through jacobian identification using environment information in an estimator, such as the Kalman filter. The Kalman filter is optimal with Gaussian noise, but unstructured environments may present target occlusion, reflection, and other characteristics that confuse feature extraction algorithms, generating outliers. This work proposes RMCKF, a correntropy-induced estimator based on the Kalman Filter and the Maximum Correntropy Criterion that can handle non-Gaussian feature extraction noise. Unlike other approaches, we designed RMCKF for particularities in UVS, to deal with independent features, the IBVS control action, and simulated annealing. We designed Monte Carlo experiments to test RMCKF with non-Gaussian Kalman Filter-based techniques. The results showed that the proposed technique could outperform its relatives, especially in impulsive noise scenarios and various starting configurations. Full article
(This article belongs to the Special Issue Visual Servoing of Robots: Challenges and Prospects)
Show Figures

Figure 1

18 pages, 2426 KB  
Article
The Maximum Correntropy Criterion-Based Identification for Fractional-Order Systems under Stable Distribution Noises
by Yao Lu
Mathematics 2023, 11(20), 4299; https://doi.org/10.3390/math11204299 - 16 Oct 2023
Viewed by 1338
Abstract
This paper studies the identification for fractional-order systems (FOSs) under stable distribution noises. First, the generalized operational matrix of block pulse functions is used to convert the identified system into an algebraic one. Then, the conventional least mean square (LMS) criterion is replaced [...] Read more.
This paper studies the identification for fractional-order systems (FOSs) under stable distribution noises. First, the generalized operational matrix of block pulse functions is used to convert the identified system into an algebraic one. Then, the conventional least mean square (LMS) criterion is replaced by the maximum correntropy criterion (MCC) to restrain the effect of noises, and a MCC-based algorithm is designed to perform the identification. To verify the superiority of the proposed method, the identification accuracy is examined when the noise follows different types of stable distributions. In addition, the impact of parameters of stable distribution on identification accuracy is discussed. It is shown that when the impulse of noise increases, the identification error becomes larger, but the proposed algorithm is always superior to its LMS counterpart. Moreover, the location parameter of stable distribution noise has a significant impact on the identification accuracy. Full article
Show Figures

Figure 1

14 pages, 5594 KB  
Article
Application of Adaptive Robust Kalman Filter Base on MCC for SINS/GPS Integrated Navigation
by Linfeng Li, Jian Wang, Zhiming Chen and Teng Yu
Sensors 2023, 23(19), 8131; https://doi.org/10.3390/s23198131 - 28 Sep 2023
Cited by 4 | Viewed by 1796
Abstract
In this paper, an adaptive and robust Kalman filter algorithm based on the maximum correntropy criterion (MCC) is proposed to solve the problem of integrated navigation accuracy reduction, which is caused by the non-Gaussian noise and time-varying noise of GPS measurement in complex [...] Read more.
In this paper, an adaptive and robust Kalman filter algorithm based on the maximum correntropy criterion (MCC) is proposed to solve the problem of integrated navigation accuracy reduction, which is caused by the non-Gaussian noise and time-varying noise of GPS measurement in complex environment. Firstly, the Grubbs criterion was used to remove outliers, which are contained in the GPS measurement. Then, a fixed-length sliding window was used to estimate the decay factor adaptively. Based on the fixed-length sliding window method, the time-varying noises, which are considered in integrated navigation system, are addressed. Moreover, a MCC method is used to suppress the non-Gaussian noises, which are generated with external corruption. Finally, the method, which is proposed in this paper, is verified by the designed simulation and field tests. The results show that the influence of the non-Gaussian noise and time-varying noise of the GPS measurement is detected and isolated by the proposed algorithm, effectively. The navigation accuracy and stability are improved. Full article
Show Figures

Figure 1

17 pages, 2865 KB  
Article
Newton Recursion Based Random Data-Reusing Generalized Maximum Correntropy Criterion Adaptive Filtering Algorithm
by Ji Zhao, Yuzong Mu, Yanping Qiao and Qiang Li
Entropy 2022, 24(12), 1845; https://doi.org/10.3390/e24121845 - 18 Dec 2022
Cited by 4 | Viewed by 2065
Abstract
For system identification under impulsive-noise environments, the gradient-based generalized maximum correntropy criterion (GB-GMCC) algorithm can achieve a desirable filtering performance. However, the gradient method only uses the information of the first-order derivative, and the corresponding stagnation point of the method can be a [...] Read more.
For system identification under impulsive-noise environments, the gradient-based generalized maximum correntropy criterion (GB-GMCC) algorithm can achieve a desirable filtering performance. However, the gradient method only uses the information of the first-order derivative, and the corresponding stagnation point of the method can be a maximum point, a minimum point or a saddle point, and thus the gradient method may not always be a good selection. Furthermore, GB-GMCC merely uses the current input signal to update the weight vector; facing the highly correlated input signal, the convergence rate of GB-GMCC will be dramatically damaged. To overcome these problems, based on the Newton recursion method and the data-reusing method, this paper proposes a robust adaptive filtering algorithm, which is called the Newton recursion-based data-reusing GMCC (NR-DR-GMCC). On the one hand, based on the Newton recursion method, NR-DR-GMCC can use the information of the second-order derivative to update the weight vector. On the other hand, by using the data-reusing method, our proposal uses the information of the latest M input vectors to improve the convergence performance of GB-GMCC. In addition, to further enhance the filtering performance of NR-DR-GMCC, a random strategy can be used to extract more information from the past M input vectors, and thus we obtain an enhanced NR-DR-GMCC algorithm, which is called the Newton recursion-based random data-reusing GMCC (NR-RDR-GMCC) algorithm. Compared with existing algorithms, simulation results under system identification and acoustic echo cancellation are conducted and validate that NR-RDR-GMCC can provide a better filtering performance in terms of filtering accuracy and convergence rate. Full article
(This article belongs to the Section Signal and Data Analysis)
Show Figures

Figure 1

15 pages, 1909 KB  
Article
Robust Estimation in Continuous–Discrete Cubature Kalman Filters for Bearings-Only Tracking
by Haoran Hu, Shuxin Chen, Hao Wu and Renke He
Appl. Sci. 2022, 12(16), 8167; https://doi.org/10.3390/app12168167 - 15 Aug 2022
Cited by 2 | Viewed by 1892
Abstract
The model of bearings-only tracking is generally described by discrete–discrete filtering systems. Discrete robust methods are also frequently used to address measurement uncertainty problems in bearings-only tracking. The recently popular continuous–discrete filtering system considers the state model of the target to be continuous [...] Read more.
The model of bearings-only tracking is generally described by discrete–discrete filtering systems. Discrete robust methods are also frequently used to address measurement uncertainty problems in bearings-only tracking. The recently popular continuous–discrete filtering system considers the state model of the target to be continuous in time, and is more suitable for bearings-only tracking because of its higher mathematical solution accuracy. However, the sufficient evaluation of robust methods in continuous–discrete systems is not available. In addition, in the different continuous–discrete measurement environments, the choice of a robust algorithm also needs to be discussed. To fill this gap, this paper firstly establishes the continuous–discrete target tracking model, and then evaluates the performance of proposed robust square-root continuous–discrete cubature Kalman filter algorithms in the measurement of uncertainty problems. From the simulation results, the robust square-root continuous–discrete maximum correntropy cubature Kalman filter algorithm and the variational Bayesian square-root continuous–discrete cubature Kalman filter algorithm have better environmental adaptability, which provides a promising means for solving continuous–discrete robust problems. Full article
(This article belongs to the Section Electrical, Electronics and Communications Engineering)
Show Figures

Figure 1

20 pages, 2484 KB  
Article
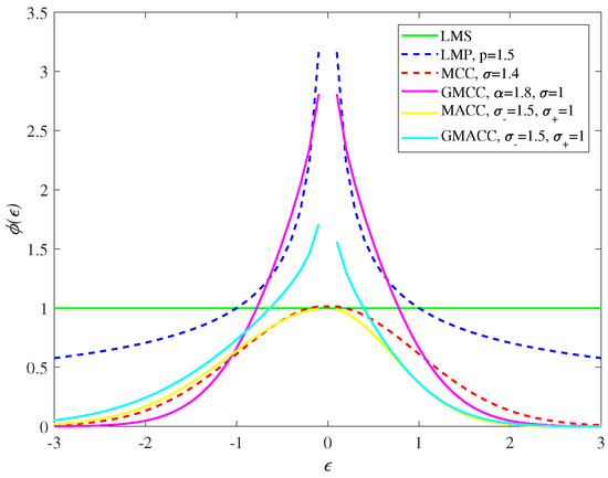
Generalized Asymmetric Correntropy for Robust Adaptive Filtering: A Theoretical and Simulation Study
by Hua Qu, Meng Wang, Jihong Zhao, Shuyuan Zhao, Taihao Li and Pengcheng Yue
Remote Sens. 2022, 14(15), 3677; https://doi.org/10.3390/rs14153677 - 1 Aug 2022
Cited by 5 | Viewed by 2151
Abstract
Correntropy has been proved to be effective in eliminating the adverse effects of impulsive noises in adaptive filtering. However, correntropy is not desirable when the error between the two random variables is asymmetrically distributed around zero. To address this problem, asymmetric correntropy using [...] Read more.
Correntropy has been proved to be effective in eliminating the adverse effects of impulsive noises in adaptive filtering. However, correntropy is not desirable when the error between the two random variables is asymmetrically distributed around zero. To address this problem, asymmetric correntropy using an asymmetric Gaussian function as the kernel function was proposed. However, an asymmetric Gaussian function is not always the best choice and can be further expanded. In this paper, we propose a robust adaptive filtering based on a more flexible definition of asymmetric correntropy, which is called generalized asymmetric correntropy that adopts a generalized asymmetric Gaussian density (GAGD) function as the kernel. With the shape parameter properly selected, the generalized asymmetric correntropy may get better performance than the original asymmetric correntropy. The steady-state performance of the adaptive filter based on the generalized maximum asymmetric correntropy criterion (GMACC) is theoretically studied and verified by simulation experiments. The asymmetric characteristics of queue delay in satellite networks is analyzed and described, and the proposed algorithm is used to predict network delay, which is essential in space telemetry. Simulation results demonstrate the desirable performance of the new algorithm. Full article
(This article belongs to the Section Engineering Remote Sensing)
Show Figures

Graphical abstract

13 pages, 2590 KB  
Article
Generalized Maximum Complex Correntropy Augmented Adaptive IIR Filtering
by Haotian Zheng and Guobing Qian
Entropy 2022, 24(7), 1008; https://doi.org/10.3390/e24071008 - 21 Jul 2022
Cited by 5 | Viewed by 2013
Abstract
Augmented IIR filter adaptive algorithms have been considered in many studies, which are suitable for proper and improper complex-valued signals. However, lots of augmented IIR filter adaptive algorithms are developed under the mean square error (MSE) criterion. It is an ideal optimality criterion [...] Read more.
Augmented IIR filter adaptive algorithms have been considered in many studies, which are suitable for proper and improper complex-valued signals. However, lots of augmented IIR filter adaptive algorithms are developed under the mean square error (MSE) criterion. It is an ideal optimality criterion under Gaussian noises but fails to model the behavior of non-Gaussian noise found in practice. Complex correntropy has shown robustness under non-Gaussian noises in the design of adaptive filters as a similarity measure for the complex random variables. In this paper, we propose a new augmented IIR filter adaptive algorithm based on the generalized maximum complex correntropy criterion (GMCCC-AIIR), which employs the complex generalized Gaussian density function as the kernel function. Stability analysis provides the bound of learning rate. Simulation results verify its superiority. Full article
Show Figures

Figure 1

12 pages, 1776 KB  
Article
Diffusion Generalized MCC with a Variable Center Algorithm for Robust Distributed Estimation
by Wentao Ma, Panfei Cai, Fengyuan Sun, Xiao Kou, Xiaofei Wang and Jianning Yin
Electronics 2021, 10(22), 2807; https://doi.org/10.3390/electronics10222807 - 16 Nov 2021
Cited by 2 | Viewed by 2080
Abstract
Classical adaptive filtering algorithms with a diffusion strategy under the mean square error (MSE) criterion can face difficulties in distributed estimation (DE) over networks in a complex noise environment, such as non-zero mean non-Gaussian noise, with the object of ensuring a robust performance. [...] Read more.
Classical adaptive filtering algorithms with a diffusion strategy under the mean square error (MSE) criterion can face difficulties in distributed estimation (DE) over networks in a complex noise environment, such as non-zero mean non-Gaussian noise, with the object of ensuring a robust performance. In order to overcome such limitations, this paper proposes a novel robust diffusion adaptive filtering algorithm, which is developed by using a variable center generalized maximum Correntropy criterion (GMCC-VC). Generalized Correntropy with a variable center is first defined by introducing a non-zero center to the original generalized Correntropy, which can be used as robust cost function, called GMCC-VC, for adaptive filtering algorithms. In order to improve the robustness of the traditional MSE-based DE algorithms, the GMCC-VC is used in a diffusion adaptive filter to design a novel robust DE method with the adapt-then-combine strategy. This can achieve outstanding steady-state performance under non-Gaussian noise environments because the GMCC-VC can match the distribution of the noise with that of non-zero mean non-Gaussian noise. The simulation results for distributed estimation under non-zero mean non-Gaussian noise cases demonstrate that the proposed diffusion GMCC-VC approach produces a more robustness and stable performance than some other comparable DE methods. Full article
(This article belongs to the Section Microwave and Wireless Communications)
Show Figures

Figure 1

Back to TopTop