Sign in to use this feature.

Years

Between: -

Subjects

remove_circle_outline
remove_circle_outline
remove_circle_outline
remove_circle_outline
remove_circle_outline
remove_circle_outline

Journals

Article Types

Countries / Regions

Search Results (22)

Search Parameters:
Keywords = gel point estimation

Order results
Result details
Results per page
Select all
Export citation of selected articles as:
19 pages, 4563 KB  
Article
Designing Imidazolium-Mediated Polymer Electrolytes for Lithium-Ion Batteries Using Machine-Learning Approaches: An Insight into Ionene Materials
by Ghazal Piroozi and Irshad Kammakakam
Polymers 2025, 17(15), 2148; https://doi.org/10.3390/polym17152148 - 6 Aug 2025
Viewed by 1006
Abstract
Over the past few decades, lithium-ion batteries (LIBs) have gained significant attention due to their inherent potential for environmental sustainability and unparalleled energy storage efficiency. Meanwhile, polymer electrolytes have gained popularity in several fields due to their ability to adapt to various battery [...] Read more.
Over the past few decades, lithium-ion batteries (LIBs) have gained significant attention due to their inherent potential for environmental sustainability and unparalleled energy storage efficiency. Meanwhile, polymer electrolytes have gained popularity in several fields due to their ability to adapt to various battery geometries, enhanced safety features, greater thermal stability, and effectiveness in reducing dendrite growth on the anode. However, their relatively low ionic conductivity compared to liquid electrolytes has limited their application in high-performance devices. This limitation has led to recent studies revolving around the development of poly(ionic liquids) (PILs), particularly imidazolium-mediated polymer backbones as novel electrolyte materials, which can increase the conductivity with fine-tuning structural benefits, while maintaining the advantages of both solid and gel electrolytes. In this study, a curated dataset of 120 data points representing eight different polymers was used to predict ionic conductivity in imidazolium-based PILs as well as the emerging ionene substructures. For this purpose, four ML models: CatBoost, Random Forest, XGBoost, and LightGBM were employed by incorporating chemical structure and temperature as the models’ inputs. The best-performing model was further employed to estimate the conductivity of novel ionenes, offering insights into the potential of advanced polymer architectures for next-generation LIB electrolytes. This approach provides a cost-effective and intelligent pathway to accelerate the design of high-performance electrolyte materials. Full article
(This article belongs to the Special Issue Artificial Intelligence in Polymers)
Show Figures

Figure 1

21 pages, 4881 KB  
Article
A Theoretical Investigation of the Polyaddition of an AB2+A2+B4 Monomer Mixture
by Sergei V. Karpov, Artem Iakunkov, Dmitry A. Chernyaev, Vladimir G. Kurbatov, Georgiy V. Malkov and Elmira R. Badamshina
Polymers 2024, 16(3), 426; https://doi.org/10.3390/polym16030426 - 3 Feb 2024
Viewed by 1562
Abstract
Hyperbranched polymers (HBPs) are widely applied nowadays as functional materials for biomedicine needs, nonlinear optics, organic semiconductors, etc. One of the effective and promising ways to synthesize HBPs is a polyaddition of AB2+A2+B4 monomers that is generated in [...] Read more.
Hyperbranched polymers (HBPs) are widely applied nowadays as functional materials for biomedicine needs, nonlinear optics, organic semiconductors, etc. One of the effective and promising ways to synthesize HBPs is a polyaddition of AB2+A2+B4 monomers that is generated in the A2+CB2, AA′+B3, A2+B′B2, and A2+C2+B3 systems or using other approaches. It is clear that all the foundational features of HBPs that are manufactured by a polyaddition reaction are defined by the component composition of the monomer mixture. For this reason, we have designed a structural kinetic model of AB2+A2+B4 monomer mixture polyaddition which makes it possible to predict the impact of the monomer mixture’s composition on the molecular weight characteristics of hyperbranched polymers (number average (DPn) and weight average (DPw) degree of polymerization), as well as the degree of branching (DB) and gel point (pg). The suggested model also considers the possibility of a positive or negative substitution effect during polyaddition. The change in the macromolecule parameters of HBPs formed by polyaddition of AB2+A2+B4 monomers is described as an infinite system of kinetic equations. The solution for the equation system was found using the method of generating functions. The impact of both the component’s composition and the substitution effect during the polyaddition of AB2+A2+B4 monomers on structural and molecular weight HBP characteristics was investigated. The suggested model is fairly versatile; it makes it possible to describe every possible case of polyaddition with various monomer combinations, such as A2+AB2, AB2+B4, AB2, or A2+B4. The influence of each monomer type on the main characteristics of hyperbranched polymers that are obtained by the polyaddition of AB2+A2+B4 monomers has been investigated. Based on the results obtained, an empirical formula was proposed to estimate the pg = pA during the polyaddition of an AB2+A2+B4 monomer mixture: pg = pA = (−0.53([B]0/[A]0)1/2 + 0.78)υAB2 + (1/3)1/2([B]0/[A]0)1/2, where (1/3)1/2([B]0/[A]0)1/2 is the Flory equation for the A2+B4 polyaddition, [A]0 and [B]0 are the A and B group concentration from A2 and B4, respectively, and υAB2 is the mole fraction of the AB2 monomer in the mixture. The equation obtained allows us to accurately predict the pg value, with an AB2 monomer content of up to 80%. Full article
(This article belongs to the Special Issue Computational and Experimental Approaches in Polymeric Materials)
Show Figures

Figure 1

26 pages, 1101 KB  
Article
Gelation Time of Network-Forming Polymer Solutions with Reversible Cross-Link Junctions of Variable Multiplicity
by Fumihiko Tanaka
Gels 2023, 9(5), 379; https://doi.org/10.3390/gels9050379 - 4 May 2023
Cited by 1 | Viewed by 3358
Abstract
The gelation time tg necessary for a solution of functional (associating) molecules to reach its gel point after a temperature jump, or a sudden concentration change, is theoretically calculated on the basis of the kinetic equation for the stepwise cross-linking reaction as [...] Read more.
The gelation time tg necessary for a solution of functional (associating) molecules to reach its gel point after a temperature jump, or a sudden concentration change, is theoretically calculated on the basis of the kinetic equation for the stepwise cross-linking reaction as a function of the concentration, temperature, functionality f of the molecules, and multiplicity k of the cross-link junctions. It is shown that quite generally tg can be decomposed into the product of the relaxation time tR and a thermodynamic factor Q. They are functions of a single scaled concentration xλ(T)ϕ, where λ(T) is the association constant and ϕ is the concentration. Therefore, the superposition principle holds with λ(T) as a shift factor of the concentration. Additionally, they all depend on the rate constants of the cross-link reaction, and hence it is possible to estimate these microscopic parameters from macroscopic measurements of tg. The thermodynamic factor Q is shown to depend on the quench depth. It generates a singularity of logarithmic divergence as the temperature (concentration) approaches the equilibrium gel point, while the relaxation time tR changes continuously across it. Gelation time tg obeys a power law tg1xn in the high concentration region, whose power index n is related to the multiplicity of the cross-links. The retardation effect on the gelation time due to the reversibility of the cross-linking is explicitly calculated for some specific models of cross-linking to find the rate-controlling steps in order for the minimization of the gelation time to be easier in the gel processing. For a micellar cross-linking covering a wide range of the multiplicity, as seen in hydrophobically-modified water-soluble polymers, tR is shown to obey a formula similar to the Aniansson–Wall law. Full article
(This article belongs to the Special Issue Recent Advances in Crosslinked Gels)
Show Figures

Figure 1

13 pages, 1779 KB  
Article
Mesoscopic Characterization of the Early Stage of the Glucono-δ-Lactone-Induced Gelation of Milk via Image Analysis Techniques
by Kento Sekiguchi, Morimasa Tanimoto and Shuji Fujii
Gels 2023, 9(3), 202; https://doi.org/10.3390/gels9030202 - 6 Mar 2023
Cited by 3 | Viewed by 2384
Abstract
We provide a method for quantifying the kinetics of gelation in milk acidified with glucono-δ-lactone (GDL) using image analysis techniques, particle image velocimetry (PIV), differential variance analysis (DVA) and differential dynamic microscopy (DDM). The gelation of the milk acidified with GDL [...] Read more.
We provide a method for quantifying the kinetics of gelation in milk acidified with glucono-δ-lactone (GDL) using image analysis techniques, particle image velocimetry (PIV), differential variance analysis (DVA) and differential dynamic microscopy (DDM). The gelation of the milk acidified with GDL occurs through the aggregation and subsequent coagulation of the casein micelles as the pH approaches the isoelectric point of the caseins. The gelation of the acidified milk with GDL is an important step in the production of fermented dairy products. PIV qualitatively monitors the average mobility of fat globules during gelation. The gel point estimated by PIV is in good agreement with that obtained by rheological measurement. DVA and DDM methods reveal the relaxation behavior of fat globules during gelation. These two methods make it possible to calculate microscopic viscosity. We also extracted the mean square displacement (MSD) of the fat globules, without following their movement, using the DDM method. The MSD of fat globules shifts to sub-diffusive behavior as gelation progresses. The fat globules used as probes show the change in matrix viscoelasticity caused by the gelling of the casein micelles. Image analysis and rheology can be used complementarily to study the mesoscale dynamics of the milk gel. Full article
(This article belongs to the Special Issue Shaping and Structuring of Polymer Gels)
Show Figures

Figure 1

17 pages, 337 KB  
Communication
Uncertainty Estimation for Quantitative Agarose Gel Electrophoresis of Nucleic Acids
by Konstantin Semenov, Aleksandr Taraskin, Alexandra Yurchenko, Irina Baranovskaya, Lada Purvinsh, Natalia Gyulikhandanova and Andrey Vasin
Sensors 2023, 23(4), 1999; https://doi.org/10.3390/s23041999 - 10 Feb 2023
Cited by 3 | Viewed by 4155
Abstract
This paper considers the evaluation of uncertainty of quantitative gel electrophoresis. To date, such uncertainty estimation presented in the literature are based on the multiple measurements performed for assessing the intra- and interlaboratory reproducibility using standard samples. This paper shows how to estimate [...] Read more.
This paper considers the evaluation of uncertainty of quantitative gel electrophoresis. To date, such uncertainty estimation presented in the literature are based on the multiple measurements performed for assessing the intra- and interlaboratory reproducibility using standard samples. This paper shows how to estimate the uncertainty in cases where we cannot study scattering components of the results. The first point is dedicated to a case where we have standard samples (the direct expressions are shown). The second point considers the situation when standard samples are absent (the algorithm for estimating the lower bound for uncertainty is discussed). The role of the data processing algorithm is demonstrated. Full article
(This article belongs to the Section Chemical Sensors)
18 pages, 2033 KB  
Article
Preparation of Gelatin from Broiler Chicken Stomach Collagen
by Aneta Prokopová, Robert Gál, Pavel Mokrejš and Jana Pavlačková
Foods 2023, 12(1), 127; https://doi.org/10.3390/foods12010127 - 27 Dec 2022
Cited by 11 | Viewed by 5472
Abstract
With the increasing consumption of poultry meat around the world, the use of chicken stomachs as a source of collagen is being offered. The objective of this study was to extract gelatin from the stomachs of broiler chickens and to estimate their gel [...] Read more.
With the increasing consumption of poultry meat around the world, the use of chicken stomachs as a source of collagen is being offered. The objective of this study was to extract gelatin from the stomachs of broiler chickens and to estimate their gel strength, ash content, viscosity, gelling point, melting point, clarity and digestibility. An innovative biotechnological method based on the conditioning of collagen with a microbial endoproteinase (Protamex®) and hot-water extraction was used to control the chemical and thermal denaturation process of collagen to prepare gelatin. The experiments were planned using a Taguchi design, 2 factors at 3 levels; factor A for the amount of proteolytic enzyme (0.10, 0.15 and 0.20%) and factor B for the extraction temperature (55.0, 62.5 and 70.0 °C). Data were statistically processed and analyzed at a significance level of 95%. The gelatin yield averaged 65 ± 8%; the gel strength ranged from 25 ± 1 to 439 ± 6 Bloom, the viscosity from 1.0 ± 0.4 to 3.40 ± 0.03 mPa·s, gelling point from 14.0 ± 2.0 to 22.0 ± 2.0 °C, melting point from 28.0 ± 1.0 to 37.0 ± 1.0 °C. The digestibility of gelatin was 100.0% in all samples; the ash content was very low (0.44 ± 0.02–0.81 ± 0.02%). The optimal conditions for the enzymatic treatment of collagen from chicken stomachs were achieved at a higher temperature (70.0 °C) and a lower amount of enzyme (0.10–0.15%). Conditioning chicken collagen with a microbial endoproteinase is an economically and environmentally friendly processing method, an alternative to the usual acid- or alkaline-based treatment that is used industrially. The extracted products can be used for food and pharmaceutical applications. Full article
(This article belongs to the Special Issue Meat By-Product Utilization)
Show Figures

Figure 1

14 pages, 4056 KB  
Article
Gel Point Determination in Resin Transfer Molding Process with Fiber Bragg Grating Inscribed in Side-Hole Elliptical Core Optical Fiber
by Karol Wachtarczyk, Marcel Bender, Ewald Fauster, Ralf Schledjewski, Paweł Gąsior and Jerzy Kaleta
Materials 2022, 15(18), 6497; https://doi.org/10.3390/ma15186497 - 19 Sep 2022
Cited by 3 | Viewed by 2606
Abstract
Material as well as process variations in the composites industry are reasons to develop methods for in-line monitoring, which would increase reproducibility of the manufacturing process and the final composite products. Fiber Bragg Gratings (FBGs) have shown to be useful for monitoring liquid-composite [...] Read more.
Material as well as process variations in the composites industry are reasons to develop methods for in-line monitoring, which would increase reproducibility of the manufacturing process and the final composite products. Fiber Bragg Gratings (FBGs) have shown to be useful for monitoring liquid-composite molding processes, e.g., in terms of online gel point detection. Existing works however, focus on in-plane strain measurements while out-of-plane residual strain prevails. In order to measure out-of-plane strain, FBG inscribed in highly birefringent fiber (HB FBG) can be used. The purpose of this research is the cure stage detection with (a) FBG inscribed in single mode and (b) FBG inscribed in highly-birefringent side-hole fiber in comparison to the reference gel point detected with an in-mold DC sensor. Results reveal that the curing process is better traceable with HB FBG than with regular FBG. Thus, the use of HB FBG can be a good method for the gel point estimation in the RTM process. Full article
Show Figures

Figure 1

21 pages, 6243 KB  
Article
Effect of Oxalic Acid Concentration and Different Mechanical Pre-Treatments on the Production of Cellulose Micro/Nanofibers
by Gabriela Adriana Bastida, Carla Natalí Schnell, Paulina Mocchiutti, Yamil Nahún Solier, María Cristina Inalbon, Miguel Ángel Zanuttini and María Verónica Galván
Nanomaterials 2022, 12(17), 2908; https://doi.org/10.3390/nano12172908 - 24 Aug 2022
Cited by 16 | Viewed by 3625
Abstract
The present work analyzes the effect of process variables and the method of characterization of cellulose micro/nanofibers (CMNFs) obtained by different treatments. A chemical pre-treatment was performed using oxalic acid at 25 wt.% and 50 wt.%. Moreover, for mechanical pre-treatments, a rotary homogenizer [...] Read more.
The present work analyzes the effect of process variables and the method of characterization of cellulose micro/nanofibers (CMNFs) obtained by different treatments. A chemical pre-treatment was performed using oxalic acid at 25 wt.% and 50 wt.%. Moreover, for mechanical pre-treatments, a rotary homogenizer or a PFI mill refiner were considered. For the mechanical fibrillation to obtain CMNFs, 5 and 15 passes through a pressurized homogenization were considered. The best results of nanofibrillation yield (76.5%), transmittance (72.1%) and surface charges (71.0 µeq/g CMNF) were obtained using the PFI mill refiner, 50 wt.% oxalic acid and 15 passes. Nevertheless, the highest aspect ratio (length/diameter) determined by Transmission Electron Microscopy (TEM) was found using the PFI mill refiner and 25 wt.% oxalic acid treatment. The aspect ratio was related to the gel point and intrinsic viscosity of CMNF suspensions. The values estimated for gel point agree with those determined by TEM. Moreover, a strong relationship between the intrinsic viscosity [η] of the CMNF dispersions and the corresponding aspect ratio (p) was found (ρ[η] = 0.014 p2.3, R2 = 0.99). Finally, the tensile strength of films obtained from CMNF suspensions was more influenced by the nanofibrillation yield than their aspect ratio. Full article
Show Figures

Graphical abstract

14 pages, 16420 KB  
Article
Artificial Neural Network and Regression Models for Predicting Intrusion of Non-Reacting Gases into Production Pipelines
by Girma Tadesse Chala and Berihun Mamo Negash
Energies 2022, 15(5), 1725; https://doi.org/10.3390/en15051725 - 25 Feb 2022
Cited by 4 | Viewed by 1912
Abstract
Wax deposition and gelation of waxy crude oil in production pipelines are detrimental to crude oil transportation from offshore fields. A waxy crude oil forms intra-gel voids in pipelines under cooling mode, particularly below the pour point temperature. Consequently, intrusion of non-reacting gas [...] Read more.
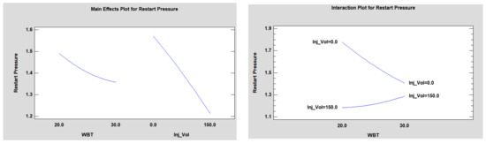
Wax deposition and gelation of waxy crude oil in production pipelines are detrimental to crude oil transportation from offshore fields. A waxy crude oil forms intra-gel voids in pipelines under cooling mode, particularly below the pour point temperature. Consequently, intrusion of non-reacting gas into production pipelines has become a promising method to lessen the restart pressure required and clear the clogged gel. A trial-and-error method is currently employed to determine the required restart pressure and restart time in response to injected gas volume. However, this method is not always accurate and requires expert knowledge. In this study, predictive models based on an Artificial Neural Network (ANN) and multilinear regression are developed to predict restart pressure and time as a function of seabed temperature and non-reacting gas injected volume. The models’ outcomes are compared against experimental results available from the literature. The empirical models predicted the response variables with an absolute error of below 5% compared to the experimental studies. Thus, such models would allow accurate estimation of restart pressure, thereby improving transportation efficiency in offshore fields. Full article
Show Figures

Figure 1

15 pages, 4188 KB  
Article
Application of 3D Gel Dosimetry as a Quality Assurance Tool in Functional Leksell Gamma Knife Radiosurgery
by Linas Kudrevicius, Evelina Jaselske, Diana Adliene, Viktoras Rudzianskas, Andrius Radziunas and Arimantas Tamasauskas
Gels 2022, 8(2), 69; https://doi.org/10.3390/gels8020069 - 20 Jan 2022
Cited by 11 | Viewed by 3634
Abstract
Highly precise dose delivery to the target (tumor or cancerous tissue) is a key point when brain diseases are treated applying recent stereotactic techniques: intensity-modulated, image-guided radiotherapy, volumetric modulated arc therapy, Gamma knife radiosurgery. The doses in one single shot may vary between [...] Read more.
Highly precise dose delivery to the target (tumor or cancerous tissue) is a key point when brain diseases are treated applying recent stereotactic techniques: intensity-modulated, image-guided radiotherapy, volumetric modulated arc therapy, Gamma knife radiosurgery. The doses in one single shot may vary between tens and hundreds of Gy and cause significant cell/tissue/organ damages. This indicates the need for implementation of quality assurance (QA) measures which are realized performing treatment dose verification with more than one calibrated quality assurance method or tool, especially when functional radiosurgery with a high dose (up to 40 Gy in our case) shall be delivered to the target using small 4 mm collimator. Application of two dosimetry methods: radiochromic film dosimetry using RTQA2 and EBT3 films and dose gel dosimetry using modified nPAG polymer gels for quality assurance purposes in stereotactic radiosurgery treatments using Leksell Gamma Knife© Icon™ facility is discussed in this paper. It is shown that due to their polymerization ability upon irradiation nPAG gels might be potentially used as a quality assurance tool in Gamma knife radiosurgery: they indicate well pronounced linear dose response in hypo-fractionated (up to 10 Gy) dose range and are sensitive enough to irradiation dose changes with a high (at least 0.2 mm) spatial resolution. Dose assessment sensitivity of gels depends on parameters of a dose evaluation method (optical or magnetic resonance imaging), however, is similar to this estimated using film dosimetry, which is set as a standard dosimetry method for dose verification in radiotherapy. Full article
(This article belongs to the Special Issue Recent Research Trends in New Generation Polymer Gels)
Show Figures

Figure 1

13 pages, 2838 KB  
Article
Biosynthesis and Fabrication of Copper Oxide Thin Films as a P-Type Semiconductor for Solar Cell Applications
by Emeka Charles Nwanna, Patrick Ehi Imoisili, Sarah Oluwabunmi Bitire and Tien-Chien Jen
Coatings 2021, 11(12), 1545; https://doi.org/10.3390/coatings11121545 - 16 Dec 2021
Cited by 15 | Viewed by 4104
Abstract
This study aimed to synthesize copper oxide (CuO) thin films using an eco-friendly green synthetic approach. A sol-gel spin coating technique was employed for the synthesis of the CuO thin film using Allium cepa as a reducing agent. The fabricated CuO thin film [...] Read more.
This study aimed to synthesize copper oxide (CuO) thin films using an eco-friendly green synthetic approach. A sol-gel spin coating technique was employed for the synthesis of the CuO thin film using Allium cepa as a reducing agent. The fabricated CuO thin film was investigated using the Fourier Transform-Infrared (FTIR) spectroscopy, Ultraviolet-visible spectra studies (UV-Vis), energy-dispersive X-ray spectroscopy (EDX), X-ray diffraction (XRD) analysis, scanning electron microscopy (SEM), and the Four-Point Probe measurement. The SEM micrographs revealed that the particles were spherically shaped, while the EDX analysis revealed that the CuO thin film was composed of copper and oxygen elements. Furthermore, the XRD analysis confirmed the monoclinic crystalline structure of the CuO thin film, while the FTIR spectroscopy investigated the chemical bonds formed during the production process. Contrarily, the UV-Vis spectroscopy reported a strong absorption of the film at the visible spectra with an estimated optical energy band gap of 1.48 eV. The electrical analysis, however, disclosed that the synthesized thin film portrayed good semiconducting behaviors. Full article
Show Figures

Graphical abstract

22 pages, 6181 KB  
Article
Prediction of Conformance Control Performance for Cyclic-Steam-Stimulated Horizontal Well Using the XGBoost: A Case Study in the Chunfeng Heavy Oil Reservoir
by Zehao Xie, Qihong Feng, Jiyuan Zhang, Xiaoxuan Shao, Xianmin Zhang and Zenglin Wang
Energies 2021, 14(23), 8161; https://doi.org/10.3390/en14238161 - 5 Dec 2021
Cited by 6 | Viewed by 3095
Abstract
Conformance control is an effective method to enhance heavy oil recovery for cyclic-steam-stimulated horizontal wells. The numerical simulation technique is frequently used prior to field applications to evaluate the incremental oil production with conformance control in order to ensure cost-efficiency. However, conventional numerical [...] Read more.
Conformance control is an effective method to enhance heavy oil recovery for cyclic-steam-stimulated horizontal wells. The numerical simulation technique is frequently used prior to field applications to evaluate the incremental oil production with conformance control in order to ensure cost-efficiency. However, conventional numerical simulations require the use of specific thermal numerical simulators that are usually expensive and computationally inefficient. This paper proposed the use of the extreme gradient boosting (XGBoost) trees to estimate the incremental oil production of conformance control with N2-foam and gel for cyclic-steam-stimulated horizontal wells. A database consisting of 1000 data points was constructed using numerical simulations based on the geological and fluid properties of the heavy oil reservoir in the Chunfeng Oilfield, which was then used for training and validating the XGBoost model. Results show that the XGBoost model is capable of estimating the incremental oil production with relatively high accuracy. The mean absolute errors (MAEs), mean relative errors (MRE) and correlation coefficients are 12.37/80.89 t, 0.09%/0.059% and 0.99/0.98 for the training/validation sets, respectively. The validity of the prediction model was further confirmed by comparison with numerical simulations for six real production wells in the Chunfeng Oilfield. The permutation indices (PI) based on the XGBoost model indicate that net to gross ratio (NTG) and the cumulative injection of the plugging agent exerts the most significant effects on the enhanced oil production. The proposed method can be easily transferred to other heavy oil reservoirs, provided efficient training data are available. Full article
(This article belongs to the Collection The State of the Art of Geo-Energy Technology in China)
Show Figures

Figure 1

14 pages, 38296 KB  
Article
Evolution of Shock-Induced Pressure in Laser Bioprinting
by Evgenii Mareev, Nikita Minaev, Vyacheslav Zhigarkov and Vladimir Yusupov
Photonics 2021, 8(9), 374; https://doi.org/10.3390/photonics8090374 - 7 Sep 2021
Cited by 15 | Viewed by 3053
Abstract
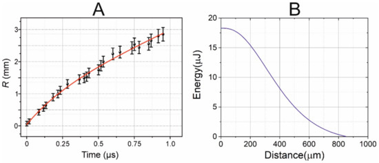
Laser bioprinting with gel microdroplets that contain living cells is a promising method for use in microbiology, biotechnology, and medicine. Laser engineering of microbial systems (LEMS) technology by laser-induced forward transfer (LIFT) is highly effective in isolating difficult-to-cultivate and uncultured microorganisms, which are [...] Read more.
Laser bioprinting with gel microdroplets that contain living cells is a promising method for use in microbiology, biotechnology, and medicine. Laser engineering of microbial systems (LEMS) technology by laser-induced forward transfer (LIFT) is highly effective in isolating difficult-to-cultivate and uncultured microorganisms, which are essential for modern bioscience. In LEMS the transfer of a microdroplet of a gel substrate containing living cell occurs due to the rapid heating under the tight focusing of a nanosecond infrared laser pulse onto thin metal film with the substrate layer. During laser transfer, living organisms are affected by temperature and pressure jumps, high dynamic loads, and several others. The study of these factors’ role is important both for improving laser printing technology itself and from a purely theoretical point of view in relation to understanding the mechanisms of LEMS action. This article presents the results of an experimental study of bubbles, gel jets, and shock waves arising in liquid media during nanosecond laser heating of a Ti film obtained using time-resolving shadow microscopy. Estimates of the pressure jumps experienced by microorganisms in the process of laser transfer are performed: in the operating range of laser energies for bioprinting LEMS technology, pressure jumps near the absorbing film of the donor plate is about 30 MPa. The efficiency of laser pulse energy conversion to mechanical post-effects is about 10%. The estimates obtained are of great importance for microbiology, biotechnology, and medicine, particularly for improving the technologies related to laser bioprinting and the laser engineering of microbial systems. Full article
(This article belongs to the Section Biophotonics and Biomedical Optics)
Show Figures

Figure 1

19 pages, 13558 KB  
Article
Enhanced Morphological Characterization of Cellulose Nano/Microfibers through Image Skeleton Analysis
by Jose Luis Sanchez-Salvador, Cristina Campano, Patricio Lopez-Exposito, Quim Tarrés, Pere Mutjé, Marc Delgado-Aguilar, M. Concepcion Monte and Angeles Blanco
Nanomaterials 2021, 11(8), 2077; https://doi.org/10.3390/nano11082077 - 16 Aug 2021
Cited by 22 | Viewed by 4110
Abstract
The present paper proposes a novel approach for the morphological characterization of cellulose nano and microfibers suspensions (CMF/CNFs) based on the analysis of eroded CMF/CNF microscopy images. This approach offers a detailed morphological characterization and quantification of the micro and nanofibers networks present [...] Read more.
The present paper proposes a novel approach for the morphological characterization of cellulose nano and microfibers suspensions (CMF/CNFs) based on the analysis of eroded CMF/CNF microscopy images. This approach offers a detailed morphological characterization and quantification of the micro and nanofibers networks present in the product, which allows the mode of fibrillation associated to the different CMF/CNF extraction conditions to be discerned. This information is needed to control CMF/CNF quality during industrial production. Five cellulose raw materials, from wood and non-wood sources, were subjected to mechanical, enzymatic, and (2,2,6,6-Tetramethylpiperidin-1-yl)oxyl (TEMPO)-mediated oxidative pre-treatments followed by different homogenization sequences to obtain products of different morphologies. Skeleton analysis of microscopy images provided in-depth morphological information of CMF/CNFs that, complemented with aspect ratio information, estimated from gel point data, allowed the quantification of: (i) fibers peeling after mechanical pretreatment; (ii) fibers shortening induced by enzymes, and (iii) CMF/CNF entanglement from TEMPO-mediated oxidation. Being mostly based on optical microscopy and image analysis, the present method is easy to implement at industrial scale as a tool to monitor and control CMF/CNF quality and homogeneity. Full article
Show Figures

Figure 1

13 pages, 2945 KB  
Article
Mechanical Property of Polypropylene Gels Associated with That of Molten Polypropylenes
by Tetsu Ouchi, Misuzu Yamazaki, Tomoki Maeda and Atsushi Hotta
Gels 2021, 7(3), 99; https://doi.org/10.3390/gels7030099 - 23 Jul 2021
Cited by 5 | Viewed by 3221
Abstract
This study aims to understand the fundamental mechanical relationship between polypropylene (PP)-gels and solid PPs without solvent through mechanical and thermal analyses, by which the mechanical similarities between molten PPs and PP gels were found, leading to the reliable estimate of the mechanical [...] Read more.
This study aims to understand the fundamental mechanical relationship between polypropylene (PP)-gels and solid PPs without solvent through mechanical and thermal analyses, by which the mechanical similarities between molten PPs and PP gels were found, leading to the reliable estimate of the mechanical properties of semi-crystalline gels. The gelation of syndiotactic and isotactic polypropylenes (sPP and iPP) was found when PPs were dissolved in 1,2,3,4-tetrahydronaphthalene (tetralin). Interestingly, it was found that the storage modulus of sPP-gel became higher than that of iPP-gel at low PP concentration (<~40 wt%). The result was distinctly different from the result of neat solid PPs (without solvent), where the modulus of solid sPP is generally significantly lower than that of solid iPP. Such inversion behavior in the mechanical property of semi-crystalline gels had not been reported and discussed before. By further investigation of the storage moduli of neat sPP and iPP, it was found that the storage modulus of sPP became higher than that of iPP above the melting points of PP, which was similar to the behavior of the storage moduli observed in the diluted PP-gels. Such similarity between PP-gels and PP melts was also observed within iPP samples with different molecular weights. Full article
(This article belongs to the Special Issue Gels Horizons: From Science to Smart Materials)
Show Figures

Graphical abstract

Back to TopTop