Preparation of Gelatin from Broiler Chicken Stomach Collagen
Abstract
1. Introduction
2. Materials and Methods
2.1. Laboratory Equipment
2.2. Chicken Stomachs
2.3. Processing of Chicken Stomachs into Gelatins
- Washing of the stomachs with running cold water (approximately 10 min) to remove albumins and impurities from the tissue.
- Processing stomachs in a 0.2 mol/L NaCl solution in a 1:6 ratio at laboratory temperature for 1.5 h to remove globulins from the structure.
- Processing of stomachs in a 0.06 mol/L NaOH solution in a ratio of 1:6 at laboratory temperature for 8 h; then the NaOH solution is replaced with a fresh one and the same treatment is carried out for 16 h. At this point, the noncollagenous substances are removed.
- Gentle drying of the stomachs at 35.0 ± 1.0 °C for 36 h.
- Degreasing of stomachs with petroleum ether/ethanol solvent mixtures (mixed in a 1:1 ratio) in a 1:9 ratio (tissue: solvent mixture) for 36 h. During this time, the solvent is changed twice for a fresh one.
- Grinding of desiccated purified collagen in smaller batches to 1 mm particles.
- Collagen conditioning with Protamex® enzyme; collagen and distilled water mixed in a 1:10 ratio. The solution is gently shaken for approximately 20 min and then the pH is adjusted to 6.5 ± 0.5 using dilute solutions of acids or alkalis.
- The addition of proteolytic enzyme to the mixture in the amount according to factor A (the amount is related to the dry matter of the purified collagen, 90.2%).
- Shaking the mixture at room temperature (22.0 ± 1.5 °C) for 24 h; during the first 4 h, the pH value is checked and adjusted.
- Filtration through a sieve equipped with PA fabric; collagen hydrolysate is obtained. The hydrolysate is heated to 85.0 ± 1.0 °C (enzyme inactivation) and dried in a thin layer (approximately 4 mm) at 60.0 ± 1.0 °C for 48 h.
- Washing the conditioned collagen (approximately 10 min) under cold running water to remove the present enzyme.
- The extraction of the first fraction of gelatin in distilled water (in a collagen: water ratio = 1:8) at a temperature according to factor B for 45 min.
- After filtering a gelatin solution of the first fraction, the remaining collagen is subjected to the second extraction of gelatin in distilled water (in a 1:7 ratio) at 80.0 ± 1.0 °C for 45 min.
- Third extraction of gelatin in distilled water (in a ratio of 1:7) at 90.0 ± 1.0 °C for 45 min.
- Gelatin solutions of the first and second fractions heated to 85.0 ± 1.0 °C and maintained for 10 min to inactivate any remaining enzyme.
- Gelatin solutions poured onto a metal sheet and dried in a thin film (approx. 4 mm) at 53.0 ± 1.0 °C for 24 h.
- The undissolved solid residue is dried at 103.0 ± 2.0 °C for 24 h.
2.4. Experimental Design
2.5. Calculation of the Results
2.5.1. Dry Matter Content
2.5.2. The Yield of Gelatins
2.5.3. Ash
2.5.4. Gel Strength
2.5.5. Viscosity
2.5.6. Clarity
2.5.7. Melting Point
2.5.8. Gelling Point
2.5.9. Digestibility
3. Results
3.1. Yields of Gelatins and Hydrolysates
3.2. Gelatins Properties
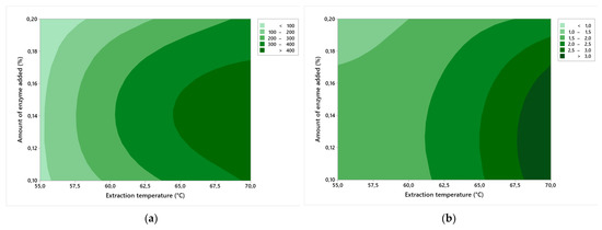
3.2.1. Gelatin Gel Strength and Viscosity
3.2.2. Melting and Gelling Points of Gelatins
3.2.3. Ash Content and Clarity of Gelatins
3.3. Digestibility of Gelatins
4. Discussion
4.1. Yields of Gelatin
4.2. Gelatin Properties
4.3. Digestibility of Gelatins
4.4. Proposed Applications of Chicken Stomach Gelatin
4.5. Evaluation of the Importance of Work for Science and Practice
5. Conclusions
Author Contributions
Funding
Institutional Review Board Statement
Informed Consent Statement
Data Availability Statement
Acknowledgments
Conflicts of Interest
References
- Shoulders, M.D.; Raines, R.T. Collagen structure and stability. Annu. Rev. Biochem. 2009, 78, 929–958. [Google Scholar] [CrossRef] [PubMed]
- Litwack, G. Human Biochemistry, 1st ed.; Academic Press: Los Angeles, CA, USA, 2017; pp. 63–129. [Google Scholar]
- Sántiz-Gómez, M.A.; Mazorra-Manzano, M.A.; Ramírez-Guerra, H.E.; Scheuren-Acevedo, S.M.; Navarro-García, G.; Pacheco-Aquilar, R.; Ramírez-Suárez, J.C. Effect of acid treatment on extraction yield and gel strength of gelatin from whiptail stingray skin. Food Sci. Biotechnol. 2019, 28, 751–757. [Google Scholar] [CrossRef] [PubMed]
- Fatemeh, R.; Javad, K.; Mahdi, K. Optimization of gelatin extraction from chicken deboner residue using RSM method. J. Food Sci. Technol. 2013, 50, 374–380. [Google Scholar]
- Kristoffersen, K.A.; Afseth, N.K.; Böcker, U.; Dankel, K.R.; Rønninger, M.A.; Lislelid, A.; Ofstad, R.; Lindberg, D.; Wubshet, S.G. Post-enzymatic hydrolysis heat treatment as an essential unit operation for collagen solubilization from poultry by-products. Food Chem. 2022, 382, 132201. [Google Scholar] [CrossRef] [PubMed]
- Robinson, P.K. Enzymes: Principles and biotechnological applications. Essays Biochem. 2015, 59, 1–41. [Google Scholar] [CrossRef]
- Sachchidanand, S.G.; Vivek, M.; Maumita, D.M.; Parveen, S.; Kumar, R.R. Amino acid derived biopolymers: Recent advances and biomedical applications. Int. J. Biol. Macromol. 2021, 188, 542–567. [Google Scholar]
- Holliday, G.L.; Fischer, J.D.; Mitchell, J.B.O.; Thornton, J.M. Characterizing the complexity of enzymes on the basis of their mechanisms and structures with a bio-computational analysis. FEBS J. 2011, 278, 3835–3845. [Google Scholar] [CrossRef]
- Mariod, A.A.; Adam, H.F. Review: Gelatin, source, extraction and industrial applications. Acta Sci. Pol. Technol. Aliment. 2013, 12, 135–147. [Google Scholar]
- Ferraro, V.; Anton, M.; Santé-Lhoutellier, V. The “sisters” α-helices of collagen, elastin and keratin recovered from animal by-products: Functionality, bioactivity and trends of application. Trends Food Sci. Technol. 2016, 51, 65–75. [Google Scholar] [CrossRef]
- Badway, H.M.R.; Abd El-Moniem, S.M.; Soliman, A.M.; Rabie, M.A. Physicochemical properties of gelatin extracted from Nile tilapia (Oreochromis niloticus) and Nile perch (Lates niloticus) fish skins. Zagazig J. Agric. Res. 2019, 46, 1529–1537. [Google Scholar] [CrossRef]
- Tanbir, A.; Amin, I.; Siti, A.A.; Khalilah, A.K.; Teik, K.L.; Elmutaz, A.A.; Jurhamid, C.I.; Awis, Q.S. Effects of ultrasound assisted extraction in conjugation with aid of actinidin on the molecular and physicochemical properties of bovine hide gelatin. Molecules 2018, 23, 730. [Google Scholar]
- Jridi, M.; Nasri, R.; Lassoued, I.; Souissi, N.; Mbarek, A.; Barkia, A.; Nasri, M. Chemical and biophysical properties of gelatins extracted from alkali-pretreated skin of cuttlefish (Sepia officinalis) using pepsin. Food Res. Int. 2013, 54, 1680–1687. [Google Scholar] [CrossRef]
- Sulieman, A.M.E. Effects of incorporating chicken’s gizzards and abdominal fat in the quality of burger meat products. J. Food Sci. Nutr. 2013, 3, 91–94. [Google Scholar]
- Ahmad, M.; Benjakul, S. Characteristics of gelatin from the skin of unicorn leatherjacket (Aluterus monoceros) as influenced by acid pretreatment and extraction time. Food Hydrocoll. 2011, 25, 381–388. [Google Scholar] [CrossRef]
- Djagny, K.B.; Wang, Z.; Xu, S. Gelatin: A valuable protein for food and pharmaceutical industries, review. Crit. Rev. Food Sci. Nutr. 2001, 41, 481–492. [Google Scholar] [CrossRef]
- Gómez-Guillén, M.C.; Giménez, B.; López-Caballero, M.E.; Montero, M.P. Functional and bioactive properties of collagen and gelatin from alternative sources: A review. Food Hydrocoll. 2011, 25, 1813–1827. [Google Scholar] [CrossRef]
- Suderman, N.; Sarbon, N.M. Optimization of chicken skin gelatin film production with different glycerol concentrations by response surface methodology (RSM) approach. J. Food Sci. Technol. 2020, 57, 463–472. [Google Scholar] [CrossRef]
- Sompie, M.; Triasih, A. Effect of extraction temperature on characteristics of chicken legskin gelatin. In Proceedings of IOP Conference Series: Earth and Environmental Science, Proceedings of International Symposium on Food and Agro-Biodiversity (ISFA) 2017, Semarang, Indonesia, 26–27 September 2017; IOP Publishing Ltd.: Beijing, China, 2017; p. 12089. [Google Scholar]
- Montero, M.; Acosta, Ó.G. Tuna skin gelatin production: Optimization of extraction steps and process scale-up. CyTA-J. Food 2020, 18, 580–590. [Google Scholar] [CrossRef]
- Taufik, M.; Triatmojo, S.; Erwanto, Y.; Santoso, U. Effect of broiler age and extraction temperature on characteristic chicken feet skin gelatin. In Proceedings of the 5th International Seminar on Tropical Animal Production, Yogyakarta, Indonesia, 19–22 October 2010; pp. 649–656. [Google Scholar]
- Choe, J.; Kim, H.Y. Effects of chicken feet gelatin extracted at different temperatures and wheat fiber with different particle size on the physicochemical properties of gels. Poult. Sci. 2018, 97, 1082–1088. [Google Scholar] [CrossRef]
- Mokrejš, P.; Mrázek, P.; Gál, R.; Pavlačková, J. Biotechnological preparation of gelatins from chicken feet. Polymers 2019, 11, 1060. [Google Scholar] [CrossRef]
- Eurostat Statistics Explained, Meat Production Statistics. Available online: https://ec.europa.eu/eurostat/statistics-explained/index.php?title=Archive:Meat_production_statistics (accessed on 14 November 2022).
- Jayathilakan, K.; Sultana, K.; Radhakrishna, K.; Bawa, A.S. Utilization of by products and waste materials from meat, poultry and fish processing industries: A review. J. Food Sci. Technol. 2012, 49, 278–293. [Google Scholar] [CrossRef] [PubMed]
- OECD-FAO Agricultural Outlook 2019–2028. Available online: http://www.fao.org/3/ca4076en/ca4076en.pdf (accessed on 15 November 2022).
- Alao, B.O.; Falowo, A.B.; Chulayo, A.; Muchenje, V. The potential of animal by-products in food systems: Production, prospect and challenges. Sustainability 2017, 9, 1089. [Google Scholar] [CrossRef]
- Huda, N.; Seow, E.K.; Normawatti, M.N.; Muhammad, N.A.N. Preliminary study on physicochemical properties of duck feet collagen. Int. J. Poult. Sci. 2013, 12, 615–621. [Google Scholar] [CrossRef]
- Mozhiarasi, V.; Natarajan, T.S. Slaughterhouse and poultry wastes: Management practices, feedstocks for renewable energy production, and recovery of value added products. Biomass Convers. Biorefin. 2022. [Google Scholar] [CrossRef]
- The World Bank. Available online: https://datatopics.worldbank.org/what-a-waste/trends_in_solid_waste_management.html (accessed on 13 July 2022).
- Pinto, J.; Boavida-Dias, R.; Matos, H.A.; Azevedo, J. Analysis of the food loss and waste valorisation of animal by-products from the retail sector. Sustainability 2022, 14, 2830. [Google Scholar] [CrossRef]
- Chen, D.M.C.; Bodirsky, B.L.; Krueger, T.; Misgra, A.; Popp, A. The world’s growing municipal solid waste: Trends and impacts. Environ. Res. Lett. 2020, 15, 074021. [Google Scholar] [CrossRef]
- Mokrejš, P.; Gál, R.; Pavlačková, J.; Janáčová, D. Valorization of a by-product from the production of mechanically deboned chicken meat for preparation of gelatins. Molecules 2021, 26, 349. [Google Scholar] [CrossRef]
- Gál, R.; Mokrejš, P.; Mrázek, P.; Pavlačková, J.; Janáčová, D.; Orsavová, J. Chicken heads as a promising by-product for preparation of food gelatins. Molecules 2020, 25, 494. [Google Scholar] [CrossRef]
- Novozymes. Available online: https://biosolutions.novozymes.com/en/animal-protein/products/eu-protamex?utm_source=google&utm_medium=cpc&utm_campaign=FB-Protein-ingredients_2021_emea_petfood&gclid=Cj0KCQiAyMKbBhD1ARIsANs7rEHYH-qGQfXkEHiFR61LyAXcHRlACXiDtqmoBsqQoIcC6Lzsx3SgqoQaAhMgEALw_wcB (accessed on 23 July 2022).
- Zichová, J. Planning of Experiments a Predictive Multivariate Analysis [in Czech], 1st ed.; Karolinum: Prague, Czechia, 2008; pp. 11–68. [Google Scholar]
- Zhang, J.Z.; Chen, J.C.; Kirby, E.D. Surface roughness optimization in an end-milling operation using the Taguchi design method. J. Mater. Process. Technol. 2007, 184, 233–239. [Google Scholar] [CrossRef]
- Standard Testing Methods for Edible Gelatin. Official Procedure of the Gelatin Manufacturers Institute of America, Inc. Available online: http://www.gelatin-gmia.com/images/GMIA_Official_Methods_of_Gelatin_Revised_2013.pdf/ (accessed on 17 June 2022).
- Moosavi-Nasab, M.; Yazdani-Dehnavi, M.; Mirzapour-Kouhdasht, A. The effects of enzymatically aided acid-swelling process on gelatin extracted from fish by-products. Food Sci. Nutr. 2020, 8, 5017–5025. [Google Scholar] [CrossRef]
- Ninan, G.; Jose, J.; Abubacker, Z. Preparation and characterization of gelatin extracted from the skins of rohu (Labeo rohita) and Common Carp (Cyprinus carpio). J. Food Process. Preserv. 2011, 35, 143–161. [Google Scholar] [CrossRef]
- Mišurcová, L.; Kráčmar, S.; Klejdus, B.; Vacek, J. Nitrogen content, dietary fiber, and digestibility in algal food products. Czech J. Food Sci. 2010, 28, 27–35. [Google Scholar] [CrossRef]
- European Pharmacopoeia 9.0. European Directorate for the Quality of Medicines & Health Care. 2017. Available online: https://www.edqm.eu/en/news/shutdown-european-pharmacopoeia-9th-edition (accessed on 9 February 2021).
- Mrázek, P.; Gál, R.; Mokrejš, P.; Orsavová, J.; Janáčová, D. Biotechnological preparation of chicken skin gelatine using factorial design of experiments. Food Biosci. 2022, 47, 101702. [Google Scholar] [CrossRef]
- Schrieber, R.; Gareis, H. Gelatine Handbook—Theory and Industrial Practice, 1st ed.; Wiley-VCH: Weinheim, Germany, 2007; pp. 45–309. [Google Scholar]
- Zhu, S.; Huang, M.; Feng, G.; Miao, Y.; Wu, H.; Zeng, M.; Lo, Y.M. Gelatin versus its two major degradation products, prolyl-hydroxyproline and glycine, as supportive therapy in experimental colitis in mice. Food Sci. Nutr. 2018, 6, 1023–1031. [Google Scholar] [CrossRef] [PubMed]
- Bordin, C.C.D.; Naves, M. Hydrolyzed collagen (gelatin) decreases food efficiency and the bioavailability of high-quality protein in rats. World Rev. Nutr. Diet. 2015, 28, 421–430. [Google Scholar] [CrossRef]
- Vázquez, J.A.; Hermida-Merino, C.; Hermida-Merino, D.; Piñeiro, M.M.; Johnsen, J.; Sotelo, C.G.; Pérez-Martín, R.I.; Valcarcel, J. Characterization of gelatin and hydrolysates from valorization of farmed salmon skin by-products. Polymers 2021, 13, 2828. [Google Scholar] [CrossRef]
- Food and Agriculture Organization of the United Nations. Gateway to Poultry Production and Products. Available online: https://www.fao.org/poultry-production-products/production/en/ (accessed on 6 December 2022).
- Barbooti, M.M.; Raouf, S.R.; Al-Hamdani, F.H.K. Optimization of production of food grade gelatin from bovine hide wastes. Eng. Tech. J. 2008, 26, 240–253. [Google Scholar]





| Equation No. | Equation | Unit |
|---|---|---|
| (1) | % | |
| (2) | % | |
| (3) | % | |
| (4) | % | |
| (5) | % | |
| (6) | mPa·s | |
| (7) | % | |
| (8) | g | |
| (9) | % | |
| (10) | g | |
| (11) | g |
| Exp. No. | Factor A (%) | Factor B (°C) | Hydrolysate Yield (%) | Yield of 1st Gelatin Fraction (%) | Yield of 2nd Gelatin Fraction (%) | Yield of 3rd Gelatin Fraction (%) | Undissolved Solid Residue (%) | BE (%) |
|---|---|---|---|---|---|---|---|---|
| 1 | 0.10 | 55.0 | 9.8 | 70.6 | 5.2 | 1.4 | 9.0 | 4.0 |
| 2 | 0.10 | 62.5 | 9.4 | 62.4 | 6.2 | 3.6 | 7.8 | 6.6 |
| 3 | 0.10 | 70.0 | 9.2 | 59.8 | 6.4 | 3.8 | 6.6 | 3.6 |
| 4 | 0.15 | 55.0 | 9.4 | 67.4 | 5.8 | 1.8 | 11.8 | 3.8 |
| 5 | 0.15 | 62.5 | 9.2 | 62.2 | 6.4 | 3.6 | 11.4 | 7.2 |
| 6 | 0.15 | 70.0 | 9.2 | 59.8 | 6.8 | 3.8 | 11.6 | 8.8 |
| 7 | 0.20 | 55.0 | 8.6 | 63.8 | 6.6 | 1.8 | 11.8 | 7.4 |
| 8 | 0.20 | 62.5 | 8.2 | 61.8 | 7.2 | 3.6 | 11.8 | 7.4 |
| 9 | 0.20 | 70.0 | 8.2 | 59.8 | 7.8 | 3.8 | 11.6 | 8.8 |
| 10 1 | 0.00 | 62.5 | 1.7 | 7.4 | 5.4 | 0.1 | 75.5 | 8.1 |
| Exp. No. | Factor A (%) | Factor B (°C) | Ash Content (%) | Gel Strength (Bloom) | Viscosity (mPa·s) | Gelling Point (°C) | Melting Point (°C) | Clarity (AU) |
|---|---|---|---|---|---|---|---|---|
| 1 | 0.10 | 55.0 | 0.440 ± 0.020 | 76 ± 4 | 1.6 ± 0.3 | 15 ± 1 | 29 ± 2 | 1.514 ± 0.017 |
| 2 | 0.10 | 62.5 | 0.477 ± 0.002 | 275 ± 4 | 2.1 ± 0.1 | 18 ± 2 | 33 ± 2 | 1.007 ± 0.004 |
| 3 | 0.10 | 70.0 | 0.510 ± 0.020 | 409 ± 6 | 3.4 ± 0.3 | 22 ± 2 | 37 ± 1 | 0.880 ± 0.020 |
| 4 | 0.15 | 55.0 | 0.533 ± 0.007 | 82 ± 3 | 1.7 ± 0.2 | 16 ± 1 | 29 ± 1 | 1.523 ± 0.005 |
| 5 | 0.15 | 62.5 | 0.539 ± 0.007 | 356 ± 4 | 2.1 ± 0.2 | 21 ± 2 | 34 ± 1 | 1.171 ± 0.010 |
| 6 | 0.15 | 70.0 | 0.720 ± 0.020 | 439 ± 6 | 3.4 ± 0.3 | 22 ± 1 | 37 ± 2 | 0.991 ± 0.007 |
| 7 | 0.20 | 55.0 | 0.769 ± 0.009 | 25 ± 1 | 1.0 ± 0.4 | 14 ± 2 | 28 ± 1 | 2.059 ± 0.008 |
| 8 | 0.20 | 62.5 | 0.796 ± 0.006 | 188 ± 2 | 1.7 ± 0.3 | 20 ± 2 | 31 ± 2 | 1.544 ± 0.007 |
| 9 | 0.20 | 70.0 | 0.810 ± 0.020 | 322 ± 7 | 2.1 ± 0.2 | 21 ± 1 | 33 ± 1 | 1.059 ± 0.015 |
| 10 1 | - | 62.5 | 0.360 ± 0.020 | 0 ± 0 | 0 ± 0 | 0 ± 0 | 0 ± 0 | 0 ± 0 |
| 11 2 | - | 80.0 | 0.937 ± 0.016 | 172 ± 3 | 1.8 ± 0.2 | 20 ± 1 | 32 ± 1 | 1.946 ± 0.004 |
| 12 3 | - | 90.0 | 1.080 ± 0.020 | 244 ± 5 | 2.2 ± 0.2 | 17 ± 1 | 33 ± 1 | 1.760 ± 0.090 |
| Exp. No. | Processing in Pepsin (Simulation of the Digestion Process in the Stomach) | Processing in Pepsin and Pancreatin (Simulation of the Digestion Process in the Stomach and Intestine) | ||||
|---|---|---|---|---|---|---|
| Processing for 2 h | Processing for 4 h | Processing for 4 and Then 24 h | ||||
| DMD 1 (%) | OMD 2 (%) | DMD 1 (%) | OMD 2 (%) | DMD 1 (%) | OMD 2 (%) | |
| 1 | 99.78 | 100.00 | 100.00 | 100.00 | 100.00 | 100.00 |
| 2 | 99.96 | 100.00 | 100.00 | 100.00 | 100.00 | 100.00 |
| 3 | 98.65 | 98.99 | 100.00 | 100.00 | 100.00 | 100.00 |
| 4 | 100.00 | 100.00 | 100.00 | 100.00 | 100.00 | 100.00 |
| 5 | 98.02 | 99.86 | 100.00 | 100.00 | 100.00 | 100.00 |
| 6 | 98.55 | 98.73 | 100.00 | 100.00 | 100.00 | 100.00 |
| 7 | 98.11 | 99.26 | 99.56 | 99.63 | 99.92 | 100.00 |
| 8 | 100.00 | 100.00 | 100.00 | 100.00 | 100.00 | 100.00 |
| 9 | 100.00 | 100.00 | 100.00 | 100.00 | 100.00 | 100.00 |
| 10 3 | 100.00 | 100.00 | 100.00 | 100.00 | 100.00 | 100.00 |
| 11 4 | 99.86 | 99.88 | 100.00 | 100.00 | 100.00 | 100.00 |
| 12 5 | 98.66 | 98.72 | 99.82 | 99.94 | 100.00 | 100.00 |
Disclaimer/Publisher’s Note: The statements, opinions and data contained in all publications are solely those of the individual author(s) and contributor(s) and not of MDPI and/or the editor(s). MDPI and/or the editor(s) disclaim responsibility for any injury to people or property resulting from any ideas, methods, instructions or products referred to in the content. |
© 2022 by the authors. Licensee MDPI, Basel, Switzerland. This article is an open access article distributed under the terms and conditions of the Creative Commons Attribution (CC BY) license (https://creativecommons.org/licenses/by/4.0/).
Share and Cite
Prokopová, A.; Gál, R.; Mokrejš, P.; Pavlačková, J. Preparation of Gelatin from Broiler Chicken Stomach Collagen. Foods 2023, 12, 127. https://doi.org/10.3390/foods12010127
Prokopová A, Gál R, Mokrejš P, Pavlačková J. Preparation of Gelatin from Broiler Chicken Stomach Collagen. Foods. 2023; 12(1):127. https://doi.org/10.3390/foods12010127
Chicago/Turabian StyleProkopová, Aneta, Robert Gál, Pavel Mokrejš, and Jana Pavlačková. 2023. "Preparation of Gelatin from Broiler Chicken Stomach Collagen" Foods 12, no. 1: 127. https://doi.org/10.3390/foods12010127
APA StyleProkopová, A., Gál, R., Mokrejš, P., & Pavlačková, J. (2023). Preparation of Gelatin from Broiler Chicken Stomach Collagen. Foods, 12(1), 127. https://doi.org/10.3390/foods12010127

