The Response of Mucosal Colonic Microbiota to Probiotic and Dietary Intervention In Vitro
Abstract
1. Introduction
2. Materials and Methods
2.1. Design of the Study
- Once prior to the start of interventions, immediately after the stabilization phase (SL—luminal sample and SM—mucosal sample);
- Five times during the combined probiotic and dietary intervention (on intervention days 3, 6, 8, 10, 12; samples L1–5 and M1–5 for luminal and mucosal SHIME®, respectively);
- Five times during the dietary intervention only (on intervention days 16, 18, 22, 25, 28; samples L6–10 and M6–10 for luminal and mucosal SHIME®, respectively).
2.2. Interventions
2.3. Preparation and Analysis of Samples
2.4. Statistical Analysis
- Principal Coordinate Analysis (PCoA) based on the calculation of Jaccard distance was used to preliminarily assess the structure of M- and L-SHIME® datasets and identify any outliers (OTU level);
- The Wilcoxon signed-rank test was applied to assess differences in general microbiota structure between L- and M-SHIME® (α-diversity indices and F/B ratio);
- Spearman’s correlation analysis was performed to:
- Assess whether fluctuations in genera abundance in L-SHIME® triggered corresponding changes in M-SHIME®;
- Conduct sensitivity analysis to identify potential lagged responses of M-SHIME® microbiota to fluctuations in dietary nutrient intake, following previously described methodology [18];
- Assess associations between dietary macronutrient intake and microbiota structure (at α-diversity, F/B ratio and genus level) in M-SHIME® after adjusting for a parallel LGG intervention.
- Linear model (LM) followed by type III Analysis of Variance (ANOVA) constituted the main analysis. This analysis was performed using data encompassing the whole microbiota at the phylum level. It aimed to evaluate differences in the microbiota responses to interventions between L- and M-SHIME®. The first two principal components (PC) of microbiota abundance and dietary macronutrient intake (animal and non-animal protein, sugars, soluble fiber) data, derived from separate principal component analyses (PCAs), were included in the model described by dependence (1):
3. Results
3.1. The Composition of Mucosal Microbiota in M-SHIME® During the Experiment
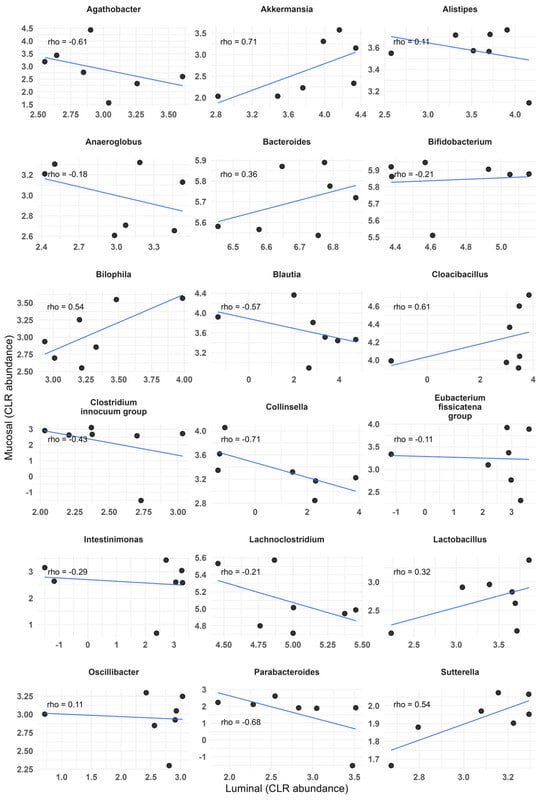
3.2. Comparison of the Mucosal and Luminal Microbiota Composition in SHIME®
3.3. The Impact of Applied Probiotic and Dietary Interventions on the Mucosal Microbiota in SHIME®
4. Discussion
5. Conclusions
Author Contributions
Funding
Institutional Review Board Statement
Informed Consent Statement
Data Availability Statement
Acknowledgments
Conflicts of Interest
Abbreviations
| ANOVA | Analysis of Variance |
| CFU | Colony-forming units |
| DNA | Deoxyribonucleic acid |
| FDR | False discovery rate |
| FOS | Fructooligosaccharides |
| F/B ratio | Firmicutes-to-Bacteroidetes ratio |
| GOS | Galactooligosaccharides |
| HEI | Healthy Eating Index |
| HMO | Human Milk Oligosaccharides |
| LGG | Lacticaseibacillus rhamnosus Strain GG |
| LM | Linear Model |
| L-SHIME® | Luminal Simulator of Human Gastrointestinal Microbial Ecosystem |
| MPG | Most prevalent genera |
| M-SHIME® | Mucosal Simulator of Human Gastrointestinal Microbial Ecosystem |
| NGS | Next Generation Sequencing |
| OTU | Operational taxonomic unit |
| PC | Principal Component |
| PCA | Principal Component Analysis |
| PCoA | Principal Coordinate Analysis |
| PCR | Polymerase chain reaction |
| rRNA | Ribosomal ribonucleic acid |
| SHIME® | Simulator of the Human Intestinal Microbial Ecosystem |
References
- Joja, M.; Grant, E.T.; Desai, M.S. Living on the Edge: Mucus-Associated Microbes in the Colon. Mucosal Immunol. 2025, 18, 770–781. [Google Scholar] [CrossRef] [PubMed]
- Ringel, Y.; Maharshak, N.; Ringel-Kulka, T.; Wolber, E.A.; Sartor, R.B.; Carroll, I.M. High Throughput Sequencing Reveals Distinct Microbial Populations within the Mucosal and Luminal Niches in Healthy Individuals. Gut Microbes 2015, 6, 173–181. [Google Scholar] [CrossRef] [PubMed]
- Vaga, S.; Lee, S.; Ji, B.; Andreasson, A.; Talley, N.J.; Agréus, L.; Bidkhori, G.; Kovatcheva-Datchary, P.; Park, J.; Lee, D.; et al. Compositional and Functional Differences of the Mucosal Microbiota along the Intestine of Healthy Individuals. Sci. Rep. 2020, 10, 14977. [Google Scholar] [CrossRef] [PubMed]
- Suriano, F.; Nyström, E.E.L.; Sergi, D.; Gustafsson, J.K. Diet, Microbiota, and the Mucus Layer: The Guardians of Our Health. Front. Immunol. 2022, 13, 953196. [Google Scholar] [CrossRef]
- Zoetendal, E.G.; von Wright, A.; Vilpponen-Salmela, T.; Ben-Amor, K.; Akkermans, A.D.L.; de Vos, W.M. Mucosa-Associated Bacteria in the Human Gastrointestinal Tract Are Uniformly Distributed along the Colon and Differ from the Community Recovered from Feces. Appl. Environ. Microbiol. 2002, 68, 3401–3407. [Google Scholar] [CrossRef]
- Vuik, F.; Dicksved, J.; Lam, S.; Fuhler, G.; van der Laan, L.; van de Winkel, A.; Konstantinov, S.; Spaander, M.; Peppelenbosch, M.; Engstrand, L.; et al. Composition of the Mucosa-Associated Microbiota along the Entire Gastrointestinal Tract of Human Individuals. United Eur. Gastroenterol. J. 2019, 7, 897–907. [Google Scholar] [CrossRef]
- Juge, N. Relationship between Mucosa-Associated Gut Microbiota and Human Diseases. Biochem. Soc. Trans. 2022, 50, 1225. [Google Scholar] [CrossRef]
- Kim, Y.; Kim, M.K.; Lee, S. Comparative Microbiome Analysis of Paired Mucosal and Fecal Samples in Korean Colorectal Cancer Patients. Front. Oncol. 2025, 15, 1578861. [Google Scholar] [CrossRef]
- Altomare, A.; Putignani, L.; Chierico, F.D.; Cocca, S.; Angeletti, S.; Ciccozzi, M.; Tripiciano, C.; Piccola, B.D.; Cicala, M.; Guarino, M.P.L. Gut Mucosal-Associated Microbiota Better Discloses Inflammatory Bowel Disease Differential Patterns than Faecal Microbiota. Dig. Liver Dis. 2019, 51, 648–656. [Google Scholar] [CrossRef]
- Hetta, H.F.; Ramadan, Y.N.; Alharbi, A.A.; Alsharef, S.; Alkindy, T.T.; Alkhamali, A.; Albalawi, A.S.; El Amin, H. Gut Microbiome as a Target of Intervention in Inflammatory Bowel Disease Pathogenesis and Therapy. Immuno 2024, 4, 400–425. [Google Scholar] [CrossRef]
- Van den Abbeele, P.; Roos, S.; Eeckhaut, V.; MacKenzie, D.A.; Derde, M.; Verstraete, W.; Marzorati, M.; Possemiers, S.; Vanhoecke, B.; Van Immerseel, F.; et al. Incorporating a Mucosal Environment in a Dynamic Gut Model Results in a More Representative Colonization by Lactobacilli. Microb. Biotechnol. 2012, 5, 106–115. [Google Scholar] [CrossRef]
- Van den Abbeele, P.; Grootaert, C.; Possemiers, S.; Verstraete, W.; Verbeken, K.; Van de Wiele, T. In Vitro Model to Study the Modulation of the Mucin-Adhered Bacterial Community. Appl. Microbiol. Biotechnol. 2009, 83, 349–359. [Google Scholar] [CrossRef]
- Deschamps, C.; Fournier, E.; Uriot, O.; Lajoie, F.; Verdier, C.; Comtet-Marre, S.; Thomas, M.; Kapel, N.; Cherbuy, C.; Alric, M.; et al. Comparative Methods for Fecal Sample Storage to Preserve Gut Microbial Structure and Function in an in Vitro Model of the Human Colon. Appl. Microbiol. Biotechnol. 2020, 104, 10233–10247. [Google Scholar] [CrossRef]
- Deyaert, S.; Moens, F.; Pirovano, W.; van den Bogert, B.; Klaassens, E.S.; Marzorati, M.; Van de Wiele, T.; Kleerebezem, M.; Van den Abbeele, P. Development of a Reproducible Small Intestinal Microbiota Model and Its Integration into the SHIME-System, a Dynamic in Vitro Gut Model. Front. Microbiol. 2023, 13, 1054061. [Google Scholar] [CrossRef] [PubMed]
- Liu, L.; Firrman, J.; Tanes, C.; Bittinger, K.; Thomas-Gahring, A.; Wu, G.D.; Van den Abbeele, P.; Tomasula, P.M. Establishing a Mucosal Gut Microbial Community in Vitro Using an Artificial Simulator. PLoS ONE 2018, 13, e0197692. [Google Scholar] [CrossRef] [PubMed]
- Van den Abbeele, P.; Belzer, C.; Goossens, M.; Kleerebezem, M.; De Vos, W.M.; Thas, O.; De Weirdt, R.; Kerckhof, F.-M.; Van de Wiele, T. Butyrate-Producing Clostridium Cluster XIVa Species Specifically Colonize Mucins in an in Vitro Gut Model. ISME J. 2013, 7, 949–961. [Google Scholar] [CrossRef] [PubMed]
- Zhu, W.; Zhang, X.; Wang, D.; Yao, Q.; Ma, G.-L.; Fan, X. Simulator of the Human Intestinal Microbial Ecosystem (SHIME): Current Developments, Applications, and Future Prospects. Pharmaceuticals 2024, 17, 1639. [Google Scholar] [CrossRef]
- Rudzka, A.; Patloka, O.; Płecha, M.; Zborowski, M.; Królikowski, T.; Oczkowski, M.; Kołożyn-Krajewska, D.; Kruk, M.; Karbowiak, M.; Mosiej, W.; et al. A Comparison of the Response of the Human Intestinal Microbiota to Probiotic and Nutritional Interventions In Vitro and In Vivo—A Case Study. Nutrients 2025, 17, 3093. [Google Scholar] [CrossRef]
- Pagnini, C.; Corleto, V.D.; Martorelli, M.; Lanini, C.; D’Ambra, G.; Di Giulio, E.; Delle Fave, G. Mucosal Adhesion and Anti-Inflammatory Effects of Lactobacillus Rhamnosus GG in the Human Colonic Mucosa: A Proof-of-Concept Study. World J. Gastroenterol. 2018, 24, 4652–4662. [Google Scholar] [CrossRef]
- Jardon, K.M.; Canfora, E.E.; Goossens, G.H.; Blaak, E.E. Dietary Macronutrients and the Gut Microbiome: A Precision Nutrition Approach to Improve Cardiometabolic Health. Gut 2022, 71, 1214–1226. [Google Scholar] [CrossRef]
- Hetta, H.F.; Sirag, N.; Elfadil, H.; Salama, A.; Aljadrawi, S.F.; Alfaifi, A.J.; Alwabisi, A.N.; AbuAlhasan, B.M.; Alanazi, L.S.; Aljohani, Y.A.; et al. Artificial Sweeteners: A Double-Edged Sword for Gut Microbiome. Diseases 2025, 13, 115. [Google Scholar] [CrossRef]
- Liu, Y.; Ajami, N.J.; El-Serag, H.B.; Hair, C.; Graham, D.Y.; White, D.L.; Chen, L.; Wang, Z.; Plew, S.; Kramer, J.; et al. Dietary Quality and the Colonic Mucosa–Associated Gut Microbiome in Humans. Am. J. Clin. Nutr. 2019, 110, 701–712. [Google Scholar] [CrossRef] [PubMed]
- Qian, L.; Huang, J.; Qin, H. Probiotics and Dietary Intervention Modulate the Colonic Mucosa-Associated Microbiota in High-Fat Diet Populations. Turk. J. Gastroenterol. 2020, 31, 295–304. [Google Scholar] [CrossRef] [PubMed]
- Chen, E.; Ajami, N.J.; White, D.L.; Liu, Y.; Gurwara, S.; Hoffman, K.; Graham, D.Y.; El-Serag, H.B.; Petrosino, J.F.; Jiao, L. Dairy Consumption and the Colonic Mucosa-Associated Gut Microbiota in Humans—A Preliminary Investigation. Nutrients 2025, 17, 567. [Google Scholar] [CrossRef]
- Djuric, Z.; Bassis, C.M.; Plegue, M.A.; Ren, J.; Chan, R.; Sidahmed, E.; Turgeon, D.K.; Ruffin, M.T.; Kato, I.; Sen, A. Colonic Mucosal Bacteria Are Associated with Inter-Individual Variability in Serum Carotenoid Concentrations. J. Acad. Nutr. Diet. 2018, 118, 606–616.e3. [Google Scholar] [CrossRef] [PubMed]
- Xu, A.A.; Kennedy, L.K.; Hoffman, K.; White, D.L.; Kanwal, F.; El-Serag, H.B.; Petrosino, J.F.; Jiao, L. Dietary Fatty Acid Intake and the Colonic Gut Microbiota in Humans. Nutrients 2022, 14, 2722. [Google Scholar] [CrossRef]
- Rudzka, A.; Patloka, O.; Płecha, M.; Królikowski, T.; Oczkowski, M.; Zborowski, M.; Kołożyn-Krajewska, D.; Zielińska, D. Changes in the Microbiome of a Human and in the Simulator of Human Intestinal Microbial Ecosystem (SHIME) in Response to a Diet and Probiotic Supplementation. Żywność Nauka Technol. Jakość 2023, 134, 53–72. [Google Scholar] [CrossRef]
- Oliphant, K.; Parreira, V.R.; Cochrane, K.; Allen-Vercoe, E. Drivers of Human Gut Microbial Community Assembly: Coadaptation, Determinism and Stochasticity. ISME J. 2019, 13, 3080–3092. [Google Scholar] [CrossRef]
- Rudzka, A.; Patloka, O.; Płecha, M.; Zborowski, M.; Królikowski, T.; Oczkowski, M.; Kolozyn-Krajewska, D.; Kruk, M.; Karbowiak, M.; Mosiej, W.; et al. Dataset Used for the Needs of Publication Entitled “Comparison of the Response of the Human Intestinal Microbiota to Probiotic and Nutritional Intervention in Vitro and in Vivo—A Case Study”. 2025. Available online: https://zenodo.org/records/16751628 (accessed on 20 December 2025).
- Yang, Y.; Sui, J.; Liao, W.; Wang, S.; Pan, D.; Sun, G.; Gao, P.; Xiang, X.; Xia, H. Clinical Evidence on the Health Benefits and Safety of Probiotic Lacticaseibacillus Rhamnosus: A Systematic Review. Probiotics Antimicrob. Prot. 2025. [Google Scholar] [CrossRef]
- Rudzka, A.; Patloka, O.; Płecha, M.; Zborowski, M.; Barczyńska-Felusiak, R.; Królikowski, T.; Oczkowski, M.; Kołozyn-Krajewska, D.; Zielińska, D. Dataset Used for the Publication Entitled “The Response of Mucosal Colonic Microbiota to Probiotic and Dietary Intervention in Vitro”. 2025. Available online: https://zenodo.org/records/17910699 (accessed on 16 January 2026).
- Rudzka, A.; Patloka, O.; Płecha, M.; Królikowski, T.; Oczkowski, M.; Zborowski, M.; Kolozyn-Krajewska, D.; Zielińska, D. Dataset Used for the Needs of Publication Entitled “Changes in the Microbiome of a Human and in the Simulator of Human Intestinal Microbial Ecosystem (Shime®) in Response to a Diet and Probiotic Supplementation”. 2025. Available online: https://zenodo.org/records/15348077 (accessed on 20 December 2025).
- Aitchinson, J. The Statistical Analysis of Compositional Data. J. R. Stat. Society. Ser. B Methodol. 1982, 44, 139–177. [Google Scholar] [CrossRef]
- Zhao, Q.; Maynard, C.L. Mucus, Commensals, and the Immune System. Gut Microbes 2022, 14, 2041342. [Google Scholar] [CrossRef] [PubMed]
- De Weirdt, R.; Hernandez-Sanabria, E.; Fievez, V.; Mees, E.; Geirnaert, A.; Van Herreweghen, F.; Vilchez-Vargas, R.; Van den Abbeele, P.; Jauregui, R.; Pieper, D.H.; et al. Mucosa-Associated Biohydrogenating Microbes Protect the Simulated Colon Microbiome from Stress Associated with High Concentrations of Poly-Unsaturated Fat. Environ. Microbiol. 2017, 19, 722–739. [Google Scholar] [CrossRef] [PubMed]
- Mukhopadhya, I.; Martin, J.C.; Shaw, S.; McKinley, A.J.; Gratz, S.W.; Scott, K.P. Comparison of Microbial Signatures between Paired Faecal and Rectal Biopsy Samples from Healthy Volunteers Using Next-Generation Sequencing and Culturomics. Microbiome 2022, 10, 171. [Google Scholar] [CrossRef] [PubMed]
- Sun, S.; Zhu, X.; Huang, X.; Murff, H.J.; Ness, R.M.; Seidner, D.L.; Sorgen, A.A.; Blakley, I.C.; Yu, C.; Dai, Q.; et al. On the Robustness of Inference of Association with the Gut Microbiota in Stool, Rectal Swab and Mucosal Tissue Samples. Sci. Rep. 2021, 11, 14828. [Google Scholar] [CrossRef]
- Donaldson, G.P.; Lee, S.M.; Mazmanian, S.K. Gut Biogeography of the Bacterial Microbiota. Nat. Rev. Microbiol. 2016, 14, 20–32. [Google Scholar] [CrossRef]
- Tang, M.S.; Poles, J.; Leung, J.M.; Wolff, M.J.; Davenport, M.; Lee, S.C.; Lim, Y.A.; Chua, K.H.; Loke, P.; Cho, I. Inferred Metagenomic Comparison of Mucosal and Fecal Microbiota from Individuals Undergoing Routine Screening Colonoscopy Reveals Similar Differences Observed during Active Inflammation. Gut Microbes 2015, 6, 48–56. [Google Scholar] [CrossRef]
- Iribarren, C.; Magnusson, M.K.; Vigsnæs, L.K.; Aziz, I.; Amundsen, I.D.; Šuligoj, T.; Juge, N.; Patel, P.; Sapnara, M.; Johnsen, L.; et al. The Effects of Human Milk Oligosaccharides on Gut Microbiota, Metabolite Profiles and Host Mucosal Response in Patients with Irritable Bowel Syndrome. Nutrients 2021, 13, 3836. [Google Scholar] [CrossRef]
- Alander, M.; Satokari, R.; Korpela, R.; Saxelin, M.; Vilpponen-Salmela, T.; Mattila-Sandholm, T.; von Wright, A. Persistence of Colonization of Human Colonic Mucosa by a Probiotic Strain, Lactobacillus Rhamnosus GG, after Oral Consumption. Appl. Environ. Microbiol. 1999, 65, 351–354. [Google Scholar] [CrossRef]
- Pagnini, C.; Gori, M.; Di Paolo, M.C.; Urgesi, R.; Cicione, C.; Zingariello, M.; Arciprete, F.; Velardi, V.; Viciani, E.; Padella, A.; et al. Lactobacillus Rhamnosus GG Administration Is Associated with Stimulation of Vitamin D/VDR Pathway and Mucosal Microbiota Modulation in Ulcerative Colitis Patients: A Pilot Study. Pharmaceuticals 2025, 18, 1651. [Google Scholar] [CrossRef]
- Beaumont, M.; Portune, K.J.; Steuer, N.; Lan, A.; Cerrudo, V.; Audebert, M.; Dumont, F.; Mancano, G.; Khodorova, N.; Andriamihaja, M.; et al. Quantity and Source of Dietary Protein Influence Metabolite Production by Gut Microbiota and Rectal Mucosa Gene Expression: A Randomized, Parallel, Double-Blind Trial in Overweight Humans. Am. J. Clin. Nutr. 2017, 106, 1005–1019. [Google Scholar] [CrossRef]
- Guenther, P.M.; Reedy, J.; Krebs-Smith, S.M. Development of the Healthy Eating Index-2005. J. Am. Diet. Assoc. 2008, 108, 1896–1901. [Google Scholar] [CrossRef]
- Morrison, K.E.; Jašarević, E.; Howard, C.D.; Bale, T.L. It’s the Fiber, Not the Fat: Significant Effects of Dietary Challenge on the Gut Microbiome. Microbiome 2020, 8, 15. [Google Scholar] [CrossRef]
- Natividad, J.M.; Marsaux, B.; Rodenas, C.L.G.; Rytz, A.; Vandevijver, G.; Marzorati, M.; Van den Abbeele, P.; Calatayud, M.; Rochat, F. Human Milk Oligosaccharides and Lactose Differentially Affect Infant Gut Microbiota and Intestinal Barrier In Vitro. Nutrients 2022, 14, 2546. [Google Scholar] [CrossRef]
- Van den Abbeele, P.; Sprenger, N.; Ghyselinck, J.; Marsaux, B.; Marzorati, M.; Rochat, F. A Comparison of the In Vitro Effects of 2’Fucosyllactose and Lactose on the Composition and Activity of Gut Microbiota from Infants and Toddlers. Nutrients 2021, 13, 726. [Google Scholar] [CrossRef]
- Lindner, C.; Looijesteijn, E.; van Dijck, H.; Bovee-Oudenhoven, I.; Heerikhuisen, M.; Broek, T.J.V.D.; Marzorati, M.; Triantis, V.; Nauta, A. Infant Fecal Fermentations with Galacto-Oligosaccharides and 2′-Fucosyllactose Show Differential Bifidobacterium Longum Stimulation at Subspecies Level. Children 2023, 10, 430. [Google Scholar] [CrossRef] [PubMed]
- Duysburgh, C.; Van den Abbeele, P.; Krishnan, K.; Bayne, T.F.; Marzorati, M. A Synbiotic Concept Containing Spore-Forming Bacillus Strains and a Prebiotic Fiber Blend Consistently Enhanced Metabolic Activity by Modulation of the Gut Microbiome in Vitro. Int. J. Pharm. X 2019, 1, 100021. [Google Scholar] [CrossRef] [PubMed]
- Arroyo, M.C.; Laurie, I.; Rotsaert, C.; Marzorati, M.; Risso, D.; Karnik, K. Age-Dependent Prebiotic Effects of Soluble Corn Fiber in M-SHIME® Gut Microbial Ecosystems. Plant Foods Hum. Nutr. 2023, 78, 213–220. [Google Scholar] [CrossRef] [PubMed]
- Govaert, M.; Duysburgh, C.; Kesler, B.; Marzorati, M. Effects of NatureKnitTM, a Blend of Fruit and Vegetable Fibers Rich in Naturally Occurring Bound Polyphenols, on the Metabolic Activity and Community Composition of the Human Gut Microbiome Using the M-SHIME® Gastrointestinal Model. Microorganisms 2025, 13, 613. [Google Scholar] [CrossRef]
- Duysburgh, C.; Velumani, D.; Garg, V.; Cheong, J.W.Y.; Marzorati, M. Combined Supplementation of Inulin and Bacillus Coagulans Lactospore Demonstrates Synbiotic Potential in the Mucosal Simulator of the Human Intestinal Microbial Ecosystem (M-SHIME®) Model. J. Diet. Suppl. 2024, 21, 737–755. [Google Scholar] [CrossRef]
- Van den Abbeele, P.; Duysburgh, C.; Cleenwerck, I.; Albers, R.; Marzorati, M.; Mercenier, A. Consistent Prebiotic Effects of Carrot RG-I on the Gut Microbiota of Four Human Adult Donors in the SHIME® Model despite Baseline Individual Variability. Microorganisms 2021, 9, 2142. [Google Scholar] [CrossRef]
- Roussel, C.; Guebara, S.A.B.; Plante, P.-L.; Desjardins, Y.; Marzo, V.D.; Silvestri, C. Short-Term Supplementation with ω-3 Polyunsaturated Fatty Acids Modulates Primarily Mucolytic Species from the Gut Luminal Mucin Niche in a Human Fermentation System. Gut Microbes 2022, 14, 2120344. [Google Scholar] [CrossRef]
- Giuliani, C.; Marzorati, M.; Innocenti, M.; Vilchez-Vargas, R.; Vital, M.; Pieper, D.H.; Van de Wiele, T.; Mulinacci, N. Dietary Supplement Based on Stilbenes: A Focus on Gut Microbial Metabolism by the in Vitro Simulator M-SHIME®. Food Funct. 2016, 7, 4564–4575. [Google Scholar] [CrossRef]
- Ruiz-Álvarez, B.E.; Cattero, V.; Desjardins, Y. Prebiotic-like Effects of Proanthocyanidin-Rich Aronia Extract Supplementation on Gut Microbiota Composition and Function in the Twin-M-SHIME® Model. Pharmaceuticals 2025, 18, 793. [Google Scholar] [CrossRef]
- Cattero, V.; Roussel, C.; Lessard-Lord, J.; Roy, D.; Desjardins, Y. Supplementation with a Cranberry Extract Favors the Establishment of Butyrogenic Guilds in the Human Fermentation SHIME System. Microbiome Res. Rep. 2024, 3, 34. [Google Scholar] [CrossRef]
- Roussel, C.; Sola, M.; Lessard-Lord, J.; Nallabelli, N.; Généreux, P.; Cavestri, C.; Azeggouar Wallen, O.; Villano, R.; Raymond, F.; Flamand, N.; et al. Human Gut Microbiota and Their Production of Endocannabinoid-like Mediators Are Directly Affected by a Dietary Oil. Gut Microbes 2024, 16, 2335879. [Google Scholar] [CrossRef] [PubMed]
- McCoubrey, L.E.; Ferraro, F.; Seegobin, N.; Verin, J.; Alfassam, H.A.; Awad, A.; Marzorati, M.; Verstrepen, L.; Ghyselinck, J.; De Munck, J.; et al. Poly(D,l-Lactide-Co-Glycolide) Particles Are Metabolised by the Gut Microbiome and Elevate Short Chain Fatty Acids. J. Control Release 2024, 369, 163–178. [Google Scholar] [CrossRef] [PubMed]
- Marzorati, M.; Bubeck, S.; Bayne, T.; Krishnan, K.; Giusto, M. Effects of Combined Prebiotic, Probiotic, IgG and Amino Acid Supplementation on the Gut Microbiome of Patients with Inflammatory Bowel Disease. Future Microbiol. 2022, 17, 1307–1324. [Google Scholar] [CrossRef] [PubMed]
- Khoo, C.; Duysburgh, C.; Marzorati, M.; Van den Abbeele, P.; Zhang, D. A Freeze-Dried Cranberry Powder Consistently Enhances SCFA Production and Lowers Abundance of Opportunistic Pathogens In Vitro. BioTech 2022, 11, 14. [Google Scholar] [CrossRef]
- Da Ros, A.; Polo, A.; Rizzello, C.G.; Acin-Albiac, M.; Montemurro, M.; Di Cagno, R.; Gobbetti, M. Feeding with Sustainably Sourdough Bread Has the Potential to Promote the Healthy Microbiota Metabolism at the Colon Level. Microbiol. Spectr. 2021, 9, e00494-21. [Google Scholar] [CrossRef]
- Duysburgh, C.; Van den Abbeele, P.; Kamil, A.; Fleige, L.; De Chavez, P.J.; Chu, Y.; Barton, W.; O’Sullivan, O.; Cotter, P.D.; Quilter, K.; et al. In Vitro–in Vivo Validation of Stimulatory Effect of Oat Ingredients on Lactobacilli. Pathogens 2021, 10, 235. [Google Scholar] [CrossRef]







Disclaimer/Publisher’s Note: The statements, opinions and data contained in all publications are solely those of the individual author(s) and contributor(s) and not of MDPI and/or the editor(s). MDPI and/or the editor(s) disclaim responsibility for any injury to people or property resulting from any ideas, methods, instructions or products referred to in the content. |
© 2026 by the authors. Licensee MDPI, Basel, Switzerland. This article is an open access article distributed under the terms and conditions of the Creative Commons Attribution (CC BY) license.
Share and Cite
Rudzka, A.; Patloka, O.; Płecha, M.; Zborowski, M.; Barczyńska-Felusiak, R.; Królikowski, T.; Oczkowski, M.; Kołożyn-Krajewska, D.; Zielińska, D. The Response of Mucosal Colonic Microbiota to Probiotic and Dietary Intervention In Vitro. Microorganisms 2026, 14, 270. https://doi.org/10.3390/microorganisms14020270
Rudzka A, Patloka O, Płecha M, Zborowski M, Barczyńska-Felusiak R, Królikowski T, Oczkowski M, Kołożyn-Krajewska D, Zielińska D. The Response of Mucosal Colonic Microbiota to Probiotic and Dietary Intervention In Vitro. Microorganisms. 2026; 14(2):270. https://doi.org/10.3390/microorganisms14020270
Chicago/Turabian StyleRudzka, Agnieszka, Ondřej Patloka, Magdalena Płecha, Marek Zborowski, Renata Barczyńska-Felusiak, Tomasz Królikowski, Michał Oczkowski, Danuta Kołożyn-Krajewska, and Dorota Zielińska. 2026. "The Response of Mucosal Colonic Microbiota to Probiotic and Dietary Intervention In Vitro" Microorganisms 14, no. 2: 270. https://doi.org/10.3390/microorganisms14020270
APA StyleRudzka, A., Patloka, O., Płecha, M., Zborowski, M., Barczyńska-Felusiak, R., Królikowski, T., Oczkowski, M., Kołożyn-Krajewska, D., & Zielińska, D. (2026). The Response of Mucosal Colonic Microbiota to Probiotic and Dietary Intervention In Vitro. Microorganisms, 14(2), 270. https://doi.org/10.3390/microorganisms14020270

