Sign in to use this feature.

Years

Between: -

Subjects

remove_circle_outline
remove_circle_outline
remove_circle_outline
remove_circle_outline
remove_circle_outline
remove_circle_outline
remove_circle_outline
remove_circle_outline
remove_circle_outline

Journals

remove_circle_outline
remove_circle_outline
remove_circle_outline
remove_circle_outline
remove_circle_outline
remove_circle_outline
remove_circle_outline
remove_circle_outline
remove_circle_outline
remove_circle_outline
remove_circle_outline
remove_circle_outline

Article Types

Countries / Regions

remove_circle_outline
remove_circle_outline
remove_circle_outline
remove_circle_outline
remove_circle_outline

Search Results (528)

Search Parameters:
Keywords = gait assistance

Order results
Result details
Results per page
Select all
Export citation of selected articles as:
19 pages, 5786 KB  
Article
Center of Pressure Measurement Sensing System for Dynamic Biomechanical Signal Acquisition and Its Self-Calibration
by Ni Li, Jianrui Zhang and Keer Zhang
Sensors 2026, 26(3), 910; https://doi.org/10.3390/s26030910 - 30 Jan 2026
Abstract
The development of highly dynamic bipedal robots demands sensing capable of capturing key contact-related signals in real time, particularly the Center of Pressure (CoP). CoP is fundamental for locomotion control and state estimation and is also of interest in biomedical applications such as [...] Read more.
The development of highly dynamic bipedal robots demands sensing capable of capturing key contact-related signals in real time, particularly the Center of Pressure (CoP). CoP is fundamental for locomotion control and state estimation and is also of interest in biomedical applications such as gait analysis and lower-limb assistive devices. To enable reliable CoP acquisition under dynamic walking, this paper presents a foot-mounted measurement system and an online self-calibration method that adapts sensor scale and bias parameters during locomotion using both external foot sensors and the robot’s proprioceptive measurements. We demonstrate an online self-calibration pipeline that updates foot-sensor scale and bias parameters during a walking experiment on a NAO-V5 platform using a sliding window optimization. The reported results indicate improved within-trial consistency relative to an offline-calibrated reference baseline under the tested walking conditions. In addition, the framework reconstructs a digitized estimate of the vertical ground reaction force (vGRF) from load-cell readings; due to ADC quantization and the discrete offline calibration dataset, the vGRF signal may exhibit stepwise behavior and should be interpreted as a reconstructed (digitized) quantity rather than laboratory-grade continuous force metrology. Overall, the proposed sensing-and-calibration pipeline offers a practical solution for dynamic CoP acquisition with low-cost hardware. Full article
(This article belongs to the Special Issue Advanced Biomedical Imaging and Signal Processing)
Show Figures

Figure 1

15 pages, 2204 KB  
Article
Individualized Gait Deviation Profiling Using Image-Based Markerless Motion Capture in Pediatric Neurological Disorders
by Yu-Sun Min
Appl. Sci. 2026, 16(3), 1406; https://doi.org/10.3390/app16031406 - 30 Jan 2026
Abstract
Markerless motion capture is increasingly used in pediatric neurorehabilitation, yet its ability to detect patient-specific gait abnormalities in small and heterogeneous cohorts remains unclear. This study evaluated a smartphone-based markerless workflow (OpenCap integrated with OpenSim) as a clinical assessment tool to support individualized [...] Read more.
Markerless motion capture is increasingly used in pediatric neurorehabilitation, yet its ability to detect patient-specific gait abnormalities in small and heterogeneous cohorts remains unclear. This study evaluated a smartphone-based markerless workflow (OpenCap integrated with OpenSim) as a clinical assessment tool to support individualized planning in the context of robot-assisted gait rehabilitation (RAGT) by characterizing individualized gait deviations in four pediatric patients with neurological gait disorders, referenced against normative data from 30 healthy individuals. Sagittal hip, knee, and ankle kinematics were extracted, normalized, and converted into gait-cycle–dependent Z-scores. Group-level comparisons using one-sample Statistical Parametric Mapping (SPM) revealed no significant deviations between patient-group means and normative trajectories (p ≥ 0.05). In contrast, individualized deviation profiling—including Z-score heatmaps, phase-wise Z-score analysis, and per-patient kinematic overlays—identified distinct, clinically meaningful abnormalities in every patient, such as excessive swing-phase hip and knee flexion, mid-stance knee extension deficits, reduced terminal-stance hip extension, and markedly diminished late-stance ankle plantarflexion and push-off. Several deviations exceeded |2–5| SD from the normative dataset, indicating substantial impairments that were obscured by group averaging. These individualized patterns were consistent with each patient’s clinical presentation and could be interpreted in relation to modifiable gait features that are commonly considered during planning and phase-specific adjustment of robot-assisted gait rehabilitation, rather than serving as direct evidence of therapeutic efficacy. Overall, the findings demonstrate that smartphone-based markerless motion capture enables sensitive, individualized gait assessment even when group-level statistics remain nonsignificant, supporting its use as an exploratory, decision-support framework rather than as an outcome measure of RAGT. Full article
Show Figures

Figure 1

21 pages, 2013 KB  
Article
Machine Learning Models for Reliable Gait Phase Detection Using Lower-Limb Wearable Sensor Data
by Muhammad Fiaz, Rosita Guido and Domenico Conforti
Appl. Sci. 2026, 16(3), 1397; https://doi.org/10.3390/app16031397 - 29 Jan 2026
Abstract
Accurate gait-phase detection is essential for rehabilitation monitoring, prosthetic control, and human–robot interaction. Artificial intelligence supports continuous, personalized mobility assessment by extracting clinically meaningful patterns from wearable sensors. A richer view of gait dynamics can be achieved by integrating additional signals, including inertial, [...] Read more.
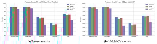
Accurate gait-phase detection is essential for rehabilitation monitoring, prosthetic control, and human–robot interaction. Artificial intelligence supports continuous, personalized mobility assessment by extracting clinically meaningful patterns from wearable sensors. A richer view of gait dynamics can be achieved by integrating additional signals, including inertial, plantar flex, footswitch, and EMG data, leading to more accurate and informative gait analysis. Motivated by these needs, this study investigates discrete gait-phase recognition for the right leg using a multi-subject IMU dataset collected from lower-limb sensors. IMU recordings were segmented into 128-sample windows across 23 channels, and each window was flattened into a 2944-dimensional feature vector. To ensure reliable ground-truth labels, we developed an automatic relabeling pipeline incorporating heel-strike and toe-off detection, adaptive threshold tuning, and sensor fusion across sensor modalities. These windowed vectors were then used to train a comprehensive suite of machine learning models, including Random Forests, Extra Trees, k-Nearest Neighbors, XGBoost, and LightGBM. All models underwent systematic hyperparameter tuning, and their performance was assessed through k-fold cross-validation. The results demonstrate that tree-based ensemble models provide accurate and stable gait-phase classification with accuracy exceeding 97% across both test sets, underscoring their potential for future real-time gait analysis and lower-limb assistive technologies. Full article
Show Figures

Figure 1

14 pages, 1067 KB  
Article
A Dangerous Region Generation Method for Computer-Assisted Pelvic Bone Tumor Resection Surgery: A Retrospective Study
by Daming Pang, Zhuoyu Li, Yang Sun, Weifeng Liu, Yu Zhang and Qing Zhang
J. Clin. Med. 2026, 15(3), 1034; https://doi.org/10.3390/jcm15031034 - 28 Jan 2026
Viewed by 47
Abstract
Background: Achieving adequate margins in pelvic bone tumor resection remains difficult, as conventional navigation provides no direct three-dimensional margin feedback. We proposed an innovative dangerous region generation method based on 3D image resampling and anisotropic distance transform, integrated with computer-assisted navigation, to enhance [...] Read more.
Background: Achieving adequate margins in pelvic bone tumor resection remains difficult, as conventional navigation provides no direct three-dimensional margin feedback. We proposed an innovative dangerous region generation method based on 3D image resampling and anisotropic distance transform, integrated with computer-assisted navigation, to enhance surgical margin accuracy. This study aimed to evaluate its oncological safety, functional outcomes, and perioperative efficacy in pelvic tumor surgery. Methods: The study was conducted on 19 patients (8 males, 11 females) with primary pelvic bone tumors between May 2018 and June 2024. The age range was 19 to 66 years (mean age: 62.67 years). Histological diagnoses included chondrosarcoma (n = 6), giant cell tumor (n = 4), osteosarcoma (n = 1), chordoma (n = 2), Ewing sarcoma (n = 3), spindle cell sarcoma (n = 1), chondromyxoid fibroma (n = 1), and peripheral nerve sheath tumor (n = 1). The feasibility of the dangerous region generation method for computer-assisted pelvic tumor resection surgery was assessed by general results, oncological and functional results. Results: All patients successfully underwent surgery with a mean operative time of 252 min and average intraoperative blood loss of 1358 mL. The mean hospital stay was 22 days, and all patients completed follow-up (mean, 37 months). Two patients developed postoperative wound complications, which resolved after debridement. Adequate surgical margins were achieved in all cases. The 5-year overall survival rate was 75.6%, increasing to 80.0% among patients with wide-margin resections. At the final follow-up, the mean MSTS score among 16 limb-salvage patients was 26.6, corresponding to an average functional recovery of 88.5%. Most patients exhibited a normal gait and were able to ambulate without assistive devices. Conclusions: This dangerous region generation method, when combined with computer-assisted techniques for pelvic bone tumor resection, is feasible and can achieve favorable clinical outcomes. Full article
(This article belongs to the Section Orthopedics)
Show Figures

Figure 1

21 pages, 359 KB  
Review
Artificial Intelligence and Neuromuscular Diseases: A Narrative Review
by Donald C. Wunsch, Daniel B. Hier and Donald C. Wunsch
AI Med. 2026, 1(1), 5; https://doi.org/10.3390/aimed1010005 - 27 Jan 2026
Viewed by 112
Abstract
Neuromuscular diseases are biologically diverse, clinically heterogeneous, and often difficult to diagnose and treat, highlighting the need for computational tools that can help resolve overlapping phenotypes and support timely, mechanism-informed interventions. This narrative review synthesizes recent advances in artificial intelligence (AI) and machine [...] Read more.
Neuromuscular diseases are biologically diverse, clinically heterogeneous, and often difficult to diagnose and treat, highlighting the need for computational tools that can help resolve overlapping phenotypes and support timely, mechanism-informed interventions. This narrative review synthesizes recent advances in artificial intelligence (AI) and machine learning applied to neuromuscular diseases across diagnosis, outcome modeling, biomarker development, and therapeutics. AI-based approaches may assist clinical and genetic diagnosis from phenotypic data; however, early phenotype-driven tools have seen limited clinician adoption due to modest accuracy, usability challenges, and poor workflow integration. Electrophysiological studies remain central to diagnosing neuromuscular diseases, and AI shows promise for accurate classification of electrophysiological signals. Predictive models for disease outcome and progression—particularly in amyotrophic lateral sclerosis—are under active investigation, but most remain at an early stage of development and are not yet ready for routine clinical use. Digital biomarkers derived from imaging, gait, voice, and wearable sensors are emerging, with MRI-based quantification of muscle fat replacement representing the most mature and widely accepted application to date. Efforts to apply AI to therapeutic discovery, including drug repurposing and optimization of gene-based therapies, are ongoing but have thus far yielded limited clinical translation. Persistent barriers to broader adoption include disease rarity, data scarcity, heterogeneous acquisition protocols, inconsistent terminology, limited external validation, insufficient model explainability, and lack of seamless integration into clinical workflows. Addressing these challenges is essential to moving AI tools from the laboratory into clinical practice. We conclude with a practical checklist of considerations intended to guide the development and adoption of AI tools in neuromuscular disease care. Full article
16 pages, 477 KB  
Article
REEV SENSE IMUs for Spatiotemporal Gait Analysis in Post-Stroke Patients: Validation Against Optical Motion Capture
by Thibault Marsan, Sacha Clauzade, Xiang Zhang, Nicolas Grandin, Tatiana Urman, Evan Linton, Samy Sibachir, Catherine E. Ricciardi and Robin Temporelli
Sensors 2026, 26(2), 667; https://doi.org/10.3390/s26020667 - 19 Jan 2026
Viewed by 244
Abstract
Objective gait assessment is essential for post-stroke rehabilitation monitoring, yet optical motion capture systems remain inaccessible to most clinical settings due to cost and infrastructure constraints. This study assessed the validity of the REEV SENSE IMU for measuring spatiotemporal gait parameters in post-stroke [...] Read more.
Objective gait assessment is essential for post-stroke rehabilitation monitoring, yet optical motion capture systems remain inaccessible to most clinical settings due to cost and infrastructure constraints. This study assessed the validity of the REEV SENSE IMU for measuring spatiotemporal gait parameters in post-stroke individuals and evaluated assistive device effects on measurement accuracy. Twenty chronic post-stroke participants were enrolled, and fourteen completed the study (ten without an assistive device, four using a cane) after applying pre-defined exclusion criteria (walking speed <0.28 m/s, n = 6). Participants walked at self-selected speed while simultaneously being recorded by REEV SENSE IMUs and optical motion capture. Spatiotemporal parameters from matched heel strikes were compared using intraclass correlation coefficients (ICC), mean relative error (MRE), and Bland–Altman analysis. Temporal parameters demonstrated excellent reliability: contact time (ICC 0.96–0.99, MRE 2.77–5.45%), stride duration (ICC 0.95–0.99, MRE 2.57–2.62%), and cadence (ICC 0.98–0.99, MRE 1.80–1.93%). Spatial parameters showed greater variability, with stride length degrading substantially in slow-walking conditions (Cane group: ICC 0.76, MRE 8.60%). REEV SENSE provides reliable temporal parameter measurement comparable to commercial systems, positioning it as a practical tool for clinical gait monitoring in post-stroke rehabilitation. However, spatial parameter accuracy requires cautious interpretation in slow-walking regimes, necessitating independent validation when clinical decisions depend on precise stride length estimates. Full article
(This article belongs to the Special Issue Wearable Sensors for Gait Monitoring and Motion Analysis)
Show Figures

Figure 1

9 pages, 1549 KB  
Case Report
Delayed Neurologic Response to Dabrafenib and Trametinib in the Case of Mixed Histiocytosis (LCH/ECD): Case Report and Literature Review
by Shinsaku Imashuku, Miyako Kobayashi, Takashi Miyoshi and Naoyuki Anzai
Reports 2026, 9(1), 18; https://doi.org/10.3390/reports9010018 - 7 Jan 2026
Viewed by 233
Abstract
Background and Clinical Significance: Histiocytosis encompasses Langerhans cell histiocytosis (LCH) and non-LCH, such as Erdheim–Chester disease (ECD). ECD or a mixed type of histiocytosis (LCH/ECD) may initially involve the central nervous system (CNS), resulting in a delayed diagnosis. More recently, dabrafenib and [...] Read more.
Background and Clinical Significance: Histiocytosis encompasses Langerhans cell histiocytosis (LCH) and non-LCH, such as Erdheim–Chester disease (ECD). ECD or a mixed type of histiocytosis (LCH/ECD) may initially involve the central nervous system (CNS), resulting in a delayed diagnosis. More recently, dabrafenib and trametinib (Dab/Tra regimen) have become available in its treatment. Case Presentation: A 46-year-old woman with CNS involvement of mixed histiocytosis (BRAF V600E-positive LCH/ECD) was treated with combination therapy using a Dab/Tra regimen. At initial presentation, she exhibited central diabetes insipidus, dysarthria, and gait disturbance with mild spasticity and ataxia, requiring walking assistance even for short distances. The interval from the onset of central neurological symptoms to diagnosis of mixed histiocytosis was 4 years. The introduction of targeted therapy was 2 years later. After seven months of Dab/Tra therapy, partial neurological improvement was observed, as reflected by a decrease in the SARA score from 21/40 to 13/40 and the ICARS score from 33/100 to 28/100. However, further neurological recovery remained significantly delayed. Conclusions: We suspect that the limited improvement may be attributable to the delayed initiation of targeted therapy, in contrast to the more rapid and pronounced responses reported in cases where treatment was started earlier. Full article
(This article belongs to the Section Haematology)
Show Figures

Figure 1

36 pages, 1927 KB  
Review
Research on Control Strategy of Lower Limb Exoskeleton Robots: A Review
by Xin Xu, Changbing Chen, Zuo Sun, Wenhao Xian, Long Ma and Yingjie Liu
Sensors 2026, 26(2), 355; https://doi.org/10.3390/s26020355 - 6 Jan 2026
Viewed by 462
Abstract
With an aging population and the high incidence of neurological diseases, rehabilitative lower limb exoskeleton robots, as a wearable assistance device, present important application prospects in gait training and human function recovery. As the core of human–computer interaction, control strategy directly determines the [...] Read more.
With an aging population and the high incidence of neurological diseases, rehabilitative lower limb exoskeleton robots, as a wearable assistance device, present important application prospects in gait training and human function recovery. As the core of human–computer interaction, control strategy directly determines the exoskeleton’s ability to perceive and respond to human movement intentions. This paper focuses on the control strategies of rehabilitative lower limb exoskeleton robots. Based on the typical hierarchical control architecture of “perception–decision–execution,” it systematically reviews recent research progress centered around four typical control tasks: trajectory reproduction, motion following, Assist-As-Needed (AAN), and motion intention prediction. It emphasizes analyzing the core mechanisms, applicable scenarios, and technical characteristics of different control strategies. Furthermore, from the perspectives of drive system and control coupling, multi-source perception, and the universality and individual adaptability of control algorithms, it summarizes the key challenges and common technical constraints currently faced by control strategies. This article innovatively separates the end-effector control strategy from the hardware implementation to provide support for a universal control framework for exoskeletons. Full article
Show Figures

Figure 1

19 pages, 525 KB  
Systematic Review
Electromyography After Total Hip Arthroplasty: A Systematic Review of Neuromuscular Alterations and Functional Movement Patterns
by Maria Cesarina May, Andrea Zanirato, Luca Puce, Eugenio Giannarelli, Carlo Trompetto, Lucio Marinelli and Matteo Formica
J. Clin. Med. 2026, 15(1), 400; https://doi.org/10.3390/jcm15010400 - 5 Jan 2026
Viewed by 301
Abstract
Background: Electromyography (EMG) is increasingly used to characterize neuromuscular alterations after total hip arthroplasty (THA), yet available evidence remains fragmented and inconsistent. This systematic review synthesizes postoperative EMG findings during gait, functional tasks, and static assessments, highlighting clinical implications and future research [...] Read more.
Background: Electromyography (EMG) is increasingly used to characterize neuromuscular alterations after total hip arthroplasty (THA), yet available evidence remains fragmented and inconsistent. This systematic review synthesizes postoperative EMG findings during gait, functional tasks, and static assessments, highlighting clinical implications and future research needs. Methods: Peer-reviewed studies employing surface, needle, or high-density EMG after THA were systematically examined. Extracted variables included activation amplitude, timing (onset, offset, burst duration), co-activation patterns, and the influence of surgical approach. Methodological rigor, normalization procedures, and the extractability of quantitative EMG metrics were also assessed. Results: Across studies, postoperative EMG consistently revealed non-physiological activation patterns, including delayed or prolonged gluteus medius activity and excessive recruitment of posterior chain muscles. These abnormalities persisted for up to 12 months and, in isolated cases, beyond a decade. Comparisons of surgical approaches demonstrated early denervation signs and impaired recruitment following lateral-based incisions, whereas later adaptations differed between lateral and posterior approaches but remained abnormal in both. Needle EMG studies confirmed transient involvement of muscles innervated by the superior gluteal nerve, while high-density EMG identified persistent deficits in spatial and temporal organization despite clinical improvement. Load-bearing and assisted-task studies showed that cane use and balance challenges modulate abductor demand yet continue to expose asymmetries and elevated stabilization requirements. Nonetheless, comparability across investigations remains limited because few studies adopted standardized normalization procedures or reproducible locomotor tasks. Conclusions: Neuromuscular recovery after THA appears incomplete and asymmetric, characterized by compensatory strategies not detectable through clinical or kinematic assessments alone. Improved diagnostic sensitivity and clinical applicability will require protocol standardization and the broader adoption of advanced EMG approaches. Full article
Show Figures

Figure 1

16 pages, 2885 KB  
Case Report
Precision in Complexity: A Protocol-Driven Quantitative Anatomic Strategy for Giant Olfactory Groove Meningioma Resection in a High-Risk Geriatric Patient
by Valentin Titus Grigorean, Cosmin Pantu, Alexandru Breazu, George Pariza, Octavian Munteanu, Mugurel Petrinel Radoi and Adrian Vasile Dumitru
Diagnostics 2026, 16(1), 127; https://doi.org/10.3390/diagnostics16010127 - 1 Jan 2026
Viewed by 377
Abstract
Background/Objectives: Managing large midline olfactory groove meningiomas is especially difficult in elderly patients who have limited physiological reserves. Here we describe a unique and dangerous geriatric case where we used new quantifiable anatomical measurements and developed a structured multidisciplinary preoperative and postoperative [...] Read more.
Background/Objectives: Managing large midline olfactory groove meningiomas is especially difficult in elderly patients who have limited physiological reserves. Here we describe a unique and dangerous geriatric case where we used new quantifiable anatomical measurements and developed a structured multidisciplinary preoperative and postoperative protocol to assist in all aspects of surgery. Case Presentation: A 68-year-old male with fronto-lobe syndrome and disability (astasia-abasia; Tinetti Balance Score of 4/16 and Gait Score of 0/12) as well as cognitive dysfunction (MoCA score of 12/30) and blindness bilaterally. Imaging prior to surgery demonstrated a very large olfactory groove meningioma which severely compressed both optic pathways at the level of the optic canals (up to 71% reduction in cross-sectional area of the optic nerves) and had complex vascular relationships with the anterior cerebral artery complex (210° contact surface). Due to significant cardiovascular disease and liver disease, his care followed a coordinated optimization protocol for the perioperative period. He underwent bifrontal craniotomy, initial early devascularization and then staged ultrasonic internal decompression (approximately 70% reduction in tumor volume) and finally microsurgical dissection of the tumor under multi-modal monitoring of neurophysiology. Discussion: We analyzed his imaging data prior to surgery using a standardized measurement protocol to provide quantitative measures of the degree of compression of the optic pathways (traction-stretch index = 1.93; optic angulation = 47.3°). These quantitative measures allowed us to make a risk-based evaluation of the anatomy and to guide our choices of corridors through which to dissect and remove the tumor. Following surgery, imaging studies demonstrated complete removal of the tumor with significant relief of the frontal lobe and optic apparatus from compression. His pathology showed that he had a WHO Grade I meningioma with an AKT1(E17K) mutation identified on molecular profiling. Conclusions: This case is intended to demonstrate the feasibility of integrating quantitative anatomical measurements into a multidisciplinary, protocol-based perioperative pathway to maximize the safety and effectiveness of the surgical removal of a complex and high-risk skull-base tumor. While the proposed quantitative indices are experimental and require additional validation, the use of a systematic approach such as this may serve as a useful paradigm for other complex skull-base cases. Full article
(This article belongs to the Special Issue Advancing Diagnostics in Neuroimaging)
Show Figures

Figure 1

13 pages, 711 KB  
Article
Exoskeleton-Assisted Gait: Exploring New Rehabilitation Perspectives in Degenerative Spinal Cord Injury
by Martina Regazzetti, Mirko Zitti, Giovanni Lazzaro, Samuel Vianello, Sara Federico, Błażej Cieślik, Agnieszka Guzik, Carlos Luque-Moreno and Pawel Kiper
Technologies 2026, 14(1), 17; https://doi.org/10.3390/technologies14010017 - 25 Dec 2025
Viewed by 510
Abstract
Background: Recovery following incomplete spinal cord injury (iSCI) remains challenging, with conventional rehabilitation often emphasizing compensation over functional restoration. As most new spinal cord injury cases preserve some motor or sensory pathways, there is increasing interest in therapies that harness neuroplasticity. Robotic exoskeletons [...] Read more.
Background: Recovery following incomplete spinal cord injury (iSCI) remains challenging, with conventional rehabilitation often emphasizing compensation over functional restoration. As most new spinal cord injury cases preserve some motor or sensory pathways, there is increasing interest in therapies that harness neuroplasticity. Robotic exoskeletons provide a promising means to deliver task-specific, repetitive gait training that may promote adaptive neural reorganization. This feasibility study investigates the feasibility, safety, and short-term effects of exoskeleton-assisted walking in individuals with degenerative iSCI. Methods: Two cooperative male patients (patients A and B) with degenerative iSCI (AIS C, neurological level L1) participated in a four-week intervention consisting of one hour of neuromotor physiotherapy followed by one hour of exoskeleton-assisted gait training, three times per week. Functional performance was assessed using the 10-Meter Walk Test, while gait quality was examined through spatiotemporal gait analysis. Vendor-generated surface electromyography (sEMG) plots were available only for qualitative description. Results: Patient A demonstrated a clinically meaningful increase in walking speed (+0.15 m/s). Spatiotemporal parameters showed mixed and non-uniform changes, including longer cycle, stance, and swing times, which reflect a slower stepping pattern rather than improved efficiency or coordination. Patient B showed a stable walking speed (+0.03 m/s) and persistent gait asymmetries. Qualitative sEMG plots are presented descriptively but cannot support interpretations of muscle recruitment patterns or neuromuscular changes. Conclusions: In this exploratory study, exoskeleton-assisted gait training was feasible and well tolerated when combined with conventional physiotherapy. However, observed changes were heterogeneous and do not allow causal or mechanistic interpretation related to neuromuscular control, muscle recruitment, or device-specific effects. These findings highlight substantial inter-individual variability and underscore the need for larger controlled studies to identify predictors of response and optimize rehabilitation protocols. Full article
Show Figures

Figure 1

13 pages, 3271 KB  
Article
Comparative Analysis of Robotic Assistive Devices on Paretic Knee Motion in Post-Stroke Patients: An IMU-Based Pilot Study
by Toshiaki Tanaka, Shunichi Sugihara and Takahiro Miura
J. Funct. Morphol. Kinesiol. 2026, 11(1), 5; https://doi.org/10.3390/jfmk11010005 - 24 Dec 2025
Viewed by 250
Abstract
Background: Robotic assistive devices are increasingly used in post-stroke gait rehabilitation, yet quantitative evaluations of synchronization between human and robotic joint motion remain limited. This study examined gait kinematics in post-stroke hemiplegic patients using two exoskeleton-type devices—HAL® (Cyberdine Inc., Tsukuba, Japan) [...] Read more.
Background: Robotic assistive devices are increasingly used in post-stroke gait rehabilitation, yet quantitative evaluations of synchronization between human and robotic joint motion remain limited. This study examined gait kinematics in post-stroke hemiplegic patients using two exoskeleton-type devices—HAL® (Cyberdine Inc., Tsukuba, Japan) and curara® (AssistMotion Inc., Ueda, Japan)—based on synchronized IMU measurements. Methods: Two post-stroke patients performed treadmill walking under non-assisted and assisted conditions with HAL® and curara®. Only the paretic knee joint was analyzed to focus on the primary control joint during gait. Inertial measurement units (IMUs) simultaneously recorded human and robotic joint angles. Synchronization was assessed using Bland–Altman (BA) analysis, root mean square error (RMSE), and mean synchronization jerk (MSJ). The study was designed as an exploratory methodological case study to verify the feasibility of synchronized IMU-based human–robot joint measurement. Results: Both assistive devices improved paretic knee motion during gait. RMSE decreased from 7.8° to 4.6° in patient A and from 8.1° to 5.0° in patient B. MSJ was lower during curara-assisted gait than HAL-assisted gait, indicating smoother temporal coordination. BA plots revealed reduced bias and narrower limits of agreement in assisted conditions, particularly for curara®. Differences between HAL® and curara® reflected their distinct control strategies—voluntary EMG-based assist vs. cooperative gait-synchronization—rather than superiority of one device. Conclusions: Both devices enhanced synchronization and smoothness of paretic knee motion. curara® demonstrated particularly smooth torque control and consistent alignment with human movement. IMU-based analysis proved effective for quantifying human–robot synchronization and offers a practical framework for optimizing robotic gait rehabilitation. The novelty of this study lies in the direct IMU-based comparison of human and robotic knee joint motion under two contrasting assistive control strategies. Full article
Show Figures

Figure 1

11 pages, 3569 KB  
Case Report
Analysis of the Temporo-Spatial and Electromyographic Characteristics of Gait in a Hemiplegic Patient: A Single-Subject Case Report
by Nohra Fernanda Nuñez Molano, Daniela Scarpetta Castrillon and Florencio Arias Coronel
Reports 2026, 9(1), 6; https://doi.org/10.3390/reports9010006 - 24 Dec 2025
Viewed by 362
Abstract
Background and Clinical Significance: Hemiplegia following a cerebrovascular accident (CVA) disrupts gait symmetry and efficiency, compromising functional independence. The integration of surface electromyography (sEMG) and inertial measurement units (IMU) enables quantitative assessment of muscle activation and segmental dynamics, providing objective data for therapeutic [...] Read more.
Background and Clinical Significance: Hemiplegia following a cerebrovascular accident (CVA) disrupts gait symmetry and efficiency, compromising functional independence. The integration of surface electromyography (sEMG) and inertial measurement units (IMU) enables quantitative assessment of muscle activation and segmental dynamics, providing objective data for therapeutic planning. Case presentation: A 57-year-old male with chronic right hemiplegia, eight years post-ischemic stroke of the left middle cerebral artery. The patient ambulated independently without assistive devices, exhibiting right lower-limb circumduction. Clinical assessment revealed the following scores: Barthel Index 85/100, Tinetti Performance-Oriented Mobility Assessment (POMA) 16/28, Timed Up and Go (TUG) test 13 s, and Modified Ashworth Scale (MAS) scores of 1 (upper limb) and 1+ (lower limb). Methods: Multichannel sEMG (Miotool 800®, 8 channels) was recorded form the lumbar erectors, gluteus medius and maximus, vastus medialis, vastus intermedius, vastus lateralis, biceps femoris, tibialis anterior, medial gastrocnemius, and lateral gastrocnemius. Ag/AgCI electrodes were positioned according to SENIAM recommendations: sampling rate: 1000 Hz; band-pass filter: 20–500 Hz; notch filter: 60 Hz; normalization to %MVC. Simultaneously, IMU signals (Xsens DOT®, 60 Hz) were collected from both ankles during slow, medium and fast walking (20 s each) and compared with a healthy control subject. Results: The patient exhibited reduced sEMG amplitude and increased peak irregularity on the affected side, particularly in the gluteus medius, tibialis anterior, and gastrocnemius, along with agonist desynchronication. IMU data revealed decreased range of motion and angular pattern irregularity, with inconsistent acceleration peaks in the right ankle compared to the control, confirming neuromuscular and kinematic asymmetry. Conclusions: The combined sEMG-IMU analysis identified deficits in selective motor control and propulsion on the affected hemibody, providing essential information to guide physiotherapeutic interventions targeting pelvic stability, dorsiflexion, and propulsive phase training, enabling objective follow-up beyond specialized laboratory settings. Full article
Show Figures

Figure 1

17 pages, 1694 KB  
Systematic Review
From Dogs to Robots: Pet-Assisted Interventions for Depression in Older Adults—A Network Meta-Analysis of Randomized Controlled Trials
by Mei-Ling Dai, Berne Ting, Ray Jui-Hung Tseng, Yu-Ling Huang, Chia-Ching Lin, Min-Hsiung Chen, Pan-Yen Lin and Tzu-Yu Liu
Healthcare 2026, 14(1), 38; https://doi.org/10.3390/healthcare14010038 - 23 Dec 2025
Viewed by 567
Abstract
Background/Objectives: Late-life depression is prevalent yet frequently underdiagnosed, underscoring the need for accessible and safe non-pharmacological approaches. Pet-assisted interventions, including live animal-assisted therapy and robotic pets, have gained attention, but their comparative effectiveness remains unclear. This study aimed to evaluate and rank [...] Read more.
Background/Objectives: Late-life depression is prevalent yet frequently underdiagnosed, underscoring the need for accessible and safe non-pharmacological approaches. Pet-assisted interventions, including live animal-assisted therapy and robotic pets, have gained attention, but their comparative effectiveness remains unclear. This study aimed to evaluate and rank different pet-assisted approaches for reducing depressive symptoms in older adults using network meta-analysis. Methods: We systematically searched PubMed, Embase, Web of Science, and the Cochrane Library up to August 2025 for randomized controlled trials involving adults aged 60 years or older with depression. The protocol was prospectively registered on INPLASY (INPLASY2025100023). Depression severity, assessed using validated scales, was synthesized using a frequentist random-effects network meta-analysis framework. Results: Twenty trials involving 1073 participants were included. Live animal-assisted therapy produced the greatest reduction in depressive symptoms versus passive control (SMD −2.04; 95% CI −3.03 to −1.04). Combining it with gait training (structured walking-based activity conducted with the animal) was associated with a reduction in depressive symptoms (SMD −4.82; 95% CI −6.69 to −2.95). Robotic pets showed a directionally beneficial but non-significant effect (SMD −1.21; 95% CI −2.79 to 0.38). Conclusions: Pet-assisted interventions are effective in reducing depressive symptoms among older adults. Live animal-assisted therapy, particularly when delivered in structured or combined formats, shows the greater benefit. Robotic pets may serve as a practical alternative when live animals cannot be implemented. Full article
Show Figures

Figure 1

17 pages, 524 KB  
Review
Hyponatraemia After Hip and Knee Replacement: Incidence, Risk Factors, Clinical Consequences and Management in the Era of Enhanced Recovery
by Lauren Thornley, James Craig, Thomas W. Wainwright and Robert G. Middleton
Clin. Pract. 2025, 15(12), 236; https://doi.org/10.3390/clinpract15120236 - 16 Dec 2025
Viewed by 400
Abstract
Introduction: Total hip replacements and total knee replacements are among the most frequently performed operations worldwide, and the demand for such procedures is ever-growing. It is essential to focus on preventable medical complications that can arise from these procedures, specifically postoperative hyponatraemia. Postoperative [...] Read more.
Introduction: Total hip replacements and total knee replacements are among the most frequently performed operations worldwide, and the demand for such procedures is ever-growing. It is essential to focus on preventable medical complications that can arise from these procedures, specifically postoperative hyponatraemia. Postoperative hyponatraemia has an incidence of 20–40% in total hip and knee replacement patient cohorts. Even mild postoperative hyponatraemia is clinically relevant, as it is associated with cognitive impairment and gait disturbance and may undermine the aims of enhanced recovery protocols. Severe postoperative hyponatraemia can lead to seizures, coma, intensive care admission, and death. Although uncommon, the high volume of patients treated in busy orthopaedic centres means such cases will inevitably be encountered. This narrative review summarises the current evidence on incidence, risk factors and consequences of postoperative hyponatraemia in total hip and knee replacement populations. Methods: A literature review was performed through the EBSCO and PubMed databases to identify relevant studies. Key search terms included were “hyponatraemia”, “total hip replacement”, and “total knee replacement”. Results: The incidence of postoperative hyponatraemia is largely between 20% and 40%; however, there are some outliers to this. Multiple risk factors have been identified through observational studies, including age, preoperative hyponatraemia, female sex and certain medications, which signal a need for a risk stratification strategy that can assist in preoperative assessment and the early identification of patients at higher risk of developing postoperative hyponatraemia. Evidence is scarce regarding interventional studies for the prevention and management of postoperative hyponatraemia, despite multiple studies highlighting the issue. Conclusion: Future work should focus on testable, quality improvement interventions, such as automatic sodium checks on postoperative day one, weight-based oral fluid protocols, oral salt supplementation, and escalation pathways for high-risk patients. Incorporating these into enhanced recovery frameworks has the potential not only to optimise safe early discharge for the majority but also to prevent rare but significant complications. Full article
Show Figures

Figure 1

Back to TopTop