Sign in to use this feature.

Years

Between: -

Subjects

remove_circle_outline
remove_circle_outline
remove_circle_outline
remove_circle_outline
remove_circle_outline
remove_circle_outline
remove_circle_outline
remove_circle_outline

Journals

Article Types

Countries / Regions

Search Results (67)

Search Parameters:
Keywords = frontal-temporal dynamics

Order results
Result details
Results per page
Select all
Export citation of selected articles as:
25 pages, 2228 KB  
Article
EEG Sensor-Based Computational Model for Personality and Neurocognitive Health Analysis Under Social Stress
by Majid Riaz, Pedro Guerra and Raffaele Gravina
Sensors 2025, 25(24), 7634; https://doi.org/10.3390/s25247634 - 16 Dec 2025
Viewed by 581
Abstract
This paper introduces an innovative EEG sensor-based computational framework that establishes a pioneering nexus between personality trait quantification and neural dynamics, leveraging biosignal processing of brainwave activity to elucidate their intrinsic influence on cognitive health and oscillatory brain rhythms. By employing electroencephalography (EEG) [...] Read more.
This paper introduces an innovative EEG sensor-based computational framework that establishes a pioneering nexus between personality trait quantification and neural dynamics, leveraging biosignal processing of brainwave activity to elucidate their intrinsic influence on cognitive health and oscillatory brain rhythms. By employing electroencephalography (EEG) recordings from 21 participants undergoing the Trier Social Stress Test (TSST), we propose a machine learning (ML)-driven methodology to decode the Big Five personality traits—Extraversion (Ex), Agreeableness (A), Neuroticism (N), Conscientiousness (C), and Openness (O)—using classification algorithms such as support vector machine (SVM) and multilayer perceptron (MLP) applied to 64-electrode EEG sensor data. A novel multiphase neurocognitive analysis across the TSST stages (baseline, mental arithmetic, job interview, and recovery) systematically evaluates the bidirectional relationship between personality traits and stress-induced neural responses. The proposed framework reveals significant negative correlations between frontal–temporal theta–beta ratio (TBR) and self-reported Extraversion, Conscientiousness, and Openness, indicating faster stress recovery and higher cognitive resilience in individuals with elevated trait scores. The binary classification model achieves high accuracy (88.1% Ex, 94.7% A, 84.2% N, 81.5% C, and 93.4% O), surpassing the current benchmarks in personality neuroscience. These findings empirically validate the close alignment between personality constructs and neural oscillatory patterns, highlighting the potential of EEG-based sensing and machine-learning analytics for personalized mental-health monitoring and human-centric AI systems attuned to individual neurocognitive profiles. Full article
(This article belongs to the Section Internet of Things)
Show Figures

Figure 1

26 pages, 3434 KB  
Article
EEG-Based Decoding of Neural Mechanisms Underlying Impersonal Pronoun Resolution
by Mengyuan Zhao, Hanqing Wang, Yingyi Qiu, Wenlong Wu, Han Liu, Yilin Chang, Xinlin Shao, Yulin Yang and Zhong Yin
Algorithms 2025, 18(12), 778; https://doi.org/10.3390/a18120778 - 10 Dec 2025
Cited by 1 | Viewed by 401
Abstract
Pronoun resolution is essential for language comprehension, yet the neural mechanisms underlying this process remain poorly characterized. Here, we investigate the neural dynamics of impersonal pronoun processing using electroencephalography combined with machine learning approaches. We developed a novel experimental paradigm that contrasts impersonal [...] Read more.
Pronoun resolution is essential for language comprehension, yet the neural mechanisms underlying this process remain poorly characterized. Here, we investigate the neural dynamics of impersonal pronoun processing using electroencephalography combined with machine learning approaches. We developed a novel experimental paradigm that contrasts impersonal pronoun resolution with direct nominal reference processing. Using electroencephalography (EEG) recordings and machine learning techniques, including local learning-based clustering feature selection (LLCFS), recursive feature elimination (RFE), and logistic regression (LR), we analyzed neural responses from twenty participants. Our approach revealed differential EEG feature patterns across frontal, temporal, and parietal electrodes within multiple frequency bands during pronoun resolution compared to nominal reference tasks, achieving classification accuracies of 78.52% for subject-dependent and 60.10% for cross-subject validation. Behavioral data revealed longer reaction times and lower accuracy for pronoun resolution compared to nominal reference tasks. Combined with differential EEG patterns, these findings demonstrate that pronoun resolution engages more complex mechanisms of referent selection and verification compared to nominal reference tasks. The results establish potential EEG-based indicators for language processing assessment, offering new directions for cross-linguistic investigations. Full article
Show Figures

Figure 1

20 pages, 764 KB  
Hypothesis
Multisensory Rhythmic Entrainment as a Mechanistic Framework for Modulating Prefrontal Network Stability in Focal Epilepsy
by Ekaterina Andreevna Narodova
Brain Sci. 2025, 15(12), 1318; https://doi.org/10.3390/brainsci15121318 - 10 Dec 2025
Cited by 1 | Viewed by 564
Abstract
Epilepsy is increasingly conceptualized as a disorder of large-scale network instability, involving impairments in interhemispheric connectivity, prefrontal inhibitory control, and slow-frequency temporal processing. Rhythmic sensory stimulation—auditory, vibrotactile, or multisensory—can entrain neuronal oscillations and modulate attentional and sensorimotor networks, yet its mechanistic relevance to [...] Read more.
Epilepsy is increasingly conceptualized as a disorder of large-scale network instability, involving impairments in interhemispheric connectivity, prefrontal inhibitory control, and slow-frequency temporal processing. Rhythmic sensory stimulation—auditory, vibrotactile, or multisensory—can entrain neuronal oscillations and modulate attentional and sensorimotor networks, yet its mechanistic relevance to epileptic network physiology remains insufficiently explored. This conceptual and mechanistic article integrates empirical findings from entrainment research, prefrontal timing theories, multisensory integration, and network-based models of seizure dynamics and uses them to formulate a hypothesis-driven framework for multisensory exogenous rhythmic stimulation (ERS) in focal epilepsy. Rather than presenting a tested intervention, we propose a set of speculative mechanistic pathways through which low-frequency rhythmic cues might serve as an external temporal reference, engage fronto-parietal control systems, facilitate multisensory-driven sensorimotor coupling, and potentially modulate interhemispheric frontal coherence. These putative mechanisms are illustrated by exploratory neurophysiological observations, including a small pilot study reporting frontal coherence changes during mobile ERS exposure, but they have not yet been validated in controlled experimental settings. The framework does not imply therapeutic benefit; instead, it identifies theoretical pathways through which rhythmic sensory cues may transiently interact with epileptic networks. The proposed model is intended as a conceptual foundation for future neurophysiological validation, computational simulations, and early feasibility research in the emerging field of digital neuromodulation, rather than as evidence of clinical efficacy. This Hypothesis article formulates explicitly testable predictions regarding how multisensory ERS may transiently modulate candidate physiological markers of prefrontal network stability in focal epilepsy. Full article
(This article belongs to the Section Systems Neuroscience)
Show Figures

Figure 1

24 pages, 3446 KB  
Article
Exploring Brain Dynamics Within the Approach–Avoidance Bias
by Aitana Grasso-Cladera, Johannes Solzbacher, Debora Nolte and Peter König
Brain Sci. 2025, 15(12), 1276; https://doi.org/10.3390/brainsci15121276 - 27 Nov 2025
Viewed by 536
Abstract
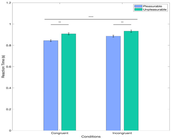
Background: Approach–avoidance behaviors are fundamental mechanisms guiding our interactions with the environment, driven by the emotional valence of stimuli. While previous research has extensively explored behavioral aspects of the AAB, the neural dynamics underlying these processes remain insufficiently understood. Objectives: The present study [...] Read more.
Background: Approach–avoidance behaviors are fundamental mechanisms guiding our interactions with the environment, driven by the emotional valence of stimuli. While previous research has extensively explored behavioral aspects of the AAB, the neural dynamics underlying these processes remain insufficiently understood. Objectives: The present study employs electroencephalography (EEG) to systematically investigate the neural correlates of AAB in a non-clinical population, focusing on stimulus- and response-locked event-related potentials (ERPs). Methods: Forty-three participants performed a classic Approach–Avoidance Task (AAT) while EEG activity was recorded. Results: Behavioral results confirmed the AAB effect, with faster reaction times in congruent compared to incongruent trials, as well as for positive versus negative trials. ERP analyses revealed significant differences in the Valence factor, with early effects for stimulus-locked trials and late differences at the parietal-occipital region for response-locked trials. However, no significant effects were found for the Condition factor, suggesting that the neural mechanisms differentiating congruent and incongruent responses might not be optimally captured through EEG. Additionally, frontal alpha asymmetry (FAA) analyses showed no significant differences between conditions, aligning with the literature. Conclusions: These findings provide novel insights into the temporal and spatial characteristics of AAB-related neural activity, emphasizing the role of early visual processing and motor preparation in affect-driven decision-making. Future research should incorporate methodological approaches for assessing AAB in ecologically valid settings. Full article
(This article belongs to the Section Behavioral Neuroscience)
Show Figures

Figure 1

26 pages, 1221 KB  
Article
Theta Cordance Decline in Frontal and Temporal Cortices: Longitudinal Evidence of Regional Cortical Aging
by Selami Varol Ülker, Metin Çınaroğlu, Eda Yılmazer and Sultan Tarlacı
J. Clin. Med. 2025, 14(23), 8341; https://doi.org/10.3390/jcm14238341 - 24 Nov 2025
Viewed by 481
Abstract
Background: Theta-band cordance is a quantitative EEG (qEEG) metric that integrates absolute and relative spectral power and correlates with regional cerebral perfusion. Although widely applied in psychiatric and neurophysiological research, its longitudinal trajectory in healthy adults remains largely unknown. This study aimed [...] Read more.
Background: Theta-band cordance is a quantitative EEG (qEEG) metric that integrates absolute and relative spectral power and correlates with regional cerebral perfusion. Although widely applied in psychiatric and neurophysiological research, its longitudinal trajectory in healthy adults remains largely unknown. This study aimed to characterize multi-year changes in theta cordance across cortical regions, determine which areas show stability versus decline, and evaluate whether individuals maintain a trait-like cordance profile over time. Methods: Nineteen cognitively healthy, medication-free adults underwent resting-state EEG recordings at two time points, separated by an average of 6.4 years (range: 1.9–14.8). Theta cordance (4–8 Hz) was computed at 19 scalp electrodes using the Leuchter algorithm and aggregated into eight lobar regions (left/right frontal, temporal, parietal, occipital). Paired-samples t-tests assessed longitudinal changes. Inter-regional Pearson correlations examined evolving connectivity patterns. Canonical correlation analysis (CCA), validated via LOOCV and bootstrap confidence intervals, evaluated multivariate stability between baseline and follow-up cordance profiles. Results: Theta cordance remained normally distributed at both time points. Significant longitudinal decreases emerged in the right temporal (t(18) = 5.34, p < 0.001, d = 1.23) and right frontal (t(18) = 2.65, p = 0.016, d = 0.61) regions, while other lobes showed no significant change. Midline Cz demonstrated a robust increase over time (p < 0.001). CCA revealed a strong cross-time association (Rc = 0.999, p = 0.029), indicating preservation of a stable, frontally anchored cordance profile despite regional right-hemisphere decline. Inter-regional correlation matrices showed both preserved posterior synchrony and emerging inverse anterior–posterior and cross-hemispheric relationships, suggesting age-related reorganization of cortical connectivity. Conclusions: Theta cordance exhibits a mixed pattern of trait-like stability and region-specific aging effects. A dominant, stable fronto-central profile persists across years, yet the right frontal and right temporal cortices show significant decline, consistent with lateralized vulnerability in normative aging. Evolving inter-regional correlation patterns further indicate network-level reorganization. Longitudinal cordance assessment may provide a noninvasive marker of functional brain aging and help differentiate normal aging trajectories from early pathological change. This longitudinal quantitative EEG (qEEG) study examined theta-band cordance dynamics across cortical regions in healthy adults over an average follow-up of 6.4 years (range: 1.9–14.8). Resting-state EEGs were recorded at two time points from 19 participants and analyzed using Leuchter’s cordance algorithm across 19 scalp electrodes. Regional cordance values were computed for frontal, temporal, parietal, and occipital lobes. Paired-samples t-tests revealed significant longitudinal decreases in theta cordance in the right frontal (p = 0.016, d = 0.61) and right temporal lobes (p < 0.001, d = 1.23), while other regions remained stable. Inter-regional Pearson correlations showed strong bilateral synchrony in posterior regions and emergent inverse anterior–posterior relationships over time. Canonical correlation analysis revealed a robust multivariate association (Rc = 0.999, p = 0.029) between baseline and follow-up patterns. Partial correlations (controlling for follow-up interval) identified region-specific trait stability, highest in left occipital and right frontal cortices. These findings suggest that theta cordance reflects both longitudinally stable neural traits and regionally specific aging effects in cortical physiology. Full article
(This article belongs to the Section Clinical Neurology)
Show Figures

Figure 1

20 pages, 5203 KB  
Article
Musical Training and Perceptual History Shape Alpha Dynamics in Audiovisual Speech Integration
by Jihyun Lee, Ji-Hye Han and Hyo-Jeong Lee
Brain Sci. 2025, 15(12), 1258; https://doi.org/10.3390/brainsci15121258 - 24 Nov 2025
Viewed by 485
Abstract
Introduction: Speech perception relies on integrating auditory and visual information, shaped by both perceptual and cognitive factors. Musical training has been shown to affect multisensory processing, whereas cognitive processes, such as recalibration derived from a perceptual history, influence neural responses to upcoming sensory [...] Read more.
Introduction: Speech perception relies on integrating auditory and visual information, shaped by both perceptual and cognitive factors. Musical training has been shown to affect multisensory processing, whereas cognitive processes, such as recalibration derived from a perceptual history, influence neural responses to upcoming sensory inputs. To investigate these influences, we evaluated cortical activity associated with the McGurk illusion focusing specifically on how musical training and perceptual history affect multisensory speech perception. Methods: Musicians and age-matched nonmusicians participated in electroencephalogram experiments using a McGurk task. We analyzed five conditions on the basis of stimulus type and participants’ responses and quantified the rate of illusory percepts and cortical alpha power between groups using dynamic imaging of coherent sources. Results: No differences in McGurk susceptibility were detected between musicians and nonmusicians. Source-localized alpha, however, revealed group-specific patterns: musical training was associated with frontal alpha modulation during integration, a finding consistent with enhanced top-down control, whereas nonmusicians relied more on sensory-driven processing. Additionally, illusory responses occurred in auditory-only trials. Follow-up analyses revealed no significant alpha modulation clusters in musicians, but temporal alpha modulations in nonmusicians depending on preceding audiovisual congruency. Conclusions: These findings suggest that musical training may influence the neural mechanisms of audiovisual integration during speech perception. Specifically, musicians appear to employ enhanced top-down control involving frontal regions, whereas nonmusicians rely more on sensory-driven processing mediated by parietal and temporal regions. Furthermore, perceptual recalibration may be more prominent in nonmusicians, whereas musicians appear to focus more on current sensory input, reducing their reliance on perceptual history. Full article
(This article belongs to the Special Issue Plasticity of Sensory Cortices: From Basic to Clinical Research)
Show Figures

Figure 1

6 pages, 1756 KB  
Proceeding Paper
Cortical Dynamics of Phosphene Perception: A Study Using EEG Signals
by Fernando Daniel Farfán, Fabrizio Grani, Leili Soo, Cristina Soto-Sanchez and Eduardo Fernández
Eng. Proc. 2024, 81(1), 24; https://doi.org/10.3390/engproc2024081024 - 19 Nov 2025
Viewed by 536
Abstract
The electrical stimulation of the primary occipital cortex can evoke luminous perceptions known as phosphenes, forming the basis for cortical visual prostheses for blind individuals. In this study, cortical dynamics during phosphene perception were investigated in a blind subject implanted with a 10 [...] Read more.
The electrical stimulation of the primary occipital cortex can evoke luminous perceptions known as phosphenes, forming the basis for cortical visual prostheses for blind individuals. In this study, cortical dynamics during phosphene perception were investigated in a blind subject implanted with a 10 × 10 Utah microelectrode array in the visual cortex. EEG analyses revealed significant event-related synchronization/desynchronization (ERS/ERD) differences in the 4–7.5 Hz range, primarily in frontal regions, 250–750 ms post-stimulus. Connectivity analysis using the directed transfer function (DTF) showed directional connections from temporal to frontal areas during perception. These findings provide preliminary insights into the cortical dynamics associated with phosphene perception and highlight the potential of EEG for characterizing neural activity in such contexts. Full article
(This article belongs to the Proceedings of The 1st International Online Conference on Bioengineering)
Show Figures

Figure 1

13 pages, 2196 KB  
Article
Embodied Cognition of Manipulative Actions: Subliminal Grasping Semantics Enhance Using-Action Recognition
by Yanglan Yu, Qin Huang, Shiying Gao and Anmin Li
Brain Sci. 2025, 15(11), 1206; https://doi.org/10.3390/brainsci15111206 - 8 Nov 2025
Viewed by 751
Abstract
Background: Grasping actions, owing to their manipulated nature, play a central role in research on embodied action language. However, their foundational contribution to the cognition of using actions remains debated. This study examined the relationship between grasping and using actions from the [...] Read more.
Background: Grasping actions, owing to their manipulated nature, play a central role in research on embodied action language. However, their foundational contribution to the cognition of using actions remains debated. This study examined the relationship between grasping and using actions from the perspective of subthreshold semantic processing. Methods: Participants engaged with objects affording both action types while behavioral responses and event-related potentials (ERPs) were recorded. Semantic congruency between subliminally presented grasping verbs and the actions of target objects was systematically manipulated. Results: Subthreshold processing of grasping verbs facilitated the recognition of using actions, as reflected in faster response times and modulations of ERP components. Spatiotemporal analyses revealed a processing pathway from occipital to parietal and frontal regions, with the posterior parietal cortex serving as a critical hub for integrating object function semantics with action information. Conclusions: These findings provide novel evidence that grasping action semantics support the recognition of using actions even below conscious awareness, elucidating the neural dynamics of embodied cognition and refining the temporal characterization of manipulative action processing pathways proposed by the two-action system theory. Full article
Show Figures

Figure 1

23 pages, 8644 KB  
Article
Understanding What the Brain Sees: Semantic Recognition from EEG Responses to Visual Stimuli Using Transformer
by Ahmed Fares
AI 2025, 6(11), 288; https://doi.org/10.3390/ai6110288 - 7 Nov 2025
Viewed by 1358
Abstract
Understanding how the human brain processes and interprets multimedia content represents a frontier challenge in neuroscience and artificial intelligence. This study introduces a novel approach to decode semantic information from electroencephalogram (EEG) signals recorded during visual stimulus perception. We present DCT-ViT, a spatial–temporal [...] Read more.
Understanding how the human brain processes and interprets multimedia content represents a frontier challenge in neuroscience and artificial intelligence. This study introduces a novel approach to decode semantic information from electroencephalogram (EEG) signals recorded during visual stimulus perception. We present DCT-ViT, a spatial–temporal transformer architecture that pioneers automated semantic recognition from brain activity patterns, advancing beyond conventional brain state classification to interpret higher level cognitive understanding. Our methodology addresses three fundamental innovations: First, we develop a topology-preserving 2D electrode mapping that, combined with temporal indexing, generates 3D spatial–temporal representations capturing both anatomical relationships and dynamic neural correlations. Second, we integrate discrete cosine transform (DCT) embeddings with standard patch and positional embeddings in the transformer architecture, enabling frequency-domain analysis that quantifies activation variability across spectral bands and enhances attention mechanisms. Third, we introduce the Semantics-EEG dataset comprising ten semantic categories extracted from visual stimuli, providing a benchmark for brain-perceived semantic recognition research. The proposed DCT-ViT model achieves 72.28% recognition accuracy on Semantics-EEG, substantially outperforming LSTM-based and attention-augmented recurrent baselines. Ablation studies demonstrate that DCT embeddings contribute meaningfully to model performance, validating their effectiveness in capturing frequency-specific neural signatures. Interpretability analyses reveal neurobiologically plausible attention patterns, with visual semantics activating occipital–parietal regions and abstract concepts engaging frontal–temporal networks, consistent with established cognitive neuroscience models. To address systematic misclassification between perceptually similar categories, we develop a hierarchical classification framework with boundary refinement mechanisms. This approach substantially reduces confusion between overlapping semantic categories, elevating overall accuracy to 76.15%. Robustness evaluations demonstrate superior noise resilience, effective cross-subject generalization, and few-shot transfer capabilities to novel categories. This work establishes the technical foundation for brain–computer interfaces capable of decoding semantic understanding, with implications for assistive technologies, cognitive assessment, and human–AI interaction. Both the Semantics-EEG dataset and DCT-ViT implementation are publicly released to facilitate reproducibility and advance research in neural semantic decoding. Full article
(This article belongs to the Special Issue AI in Bio and Healthcare Informatics)
Show Figures

Figure 1

24 pages, 2447 KB  
Article
Augmented Gait Classification: Integrating YOLO, CNN–SNN Hybridization, and GAN Synthesis for Knee Osteoarthritis and Parkinson’s Disease
by Houmem Slimi, Ala Balti, Mounir Sayadi and Mohamed Moncef Ben Khelifa
Signals 2025, 6(4), 64; https://doi.org/10.3390/signals6040064 - 7 Nov 2025
Viewed by 917
Abstract
We propose a novel hybrid deep learning framework that synergistically integrates Convolutional Neural Networks (CNNs), Spiking Neural Networks (SNNs), and Generative Adversarial Networks (GANs) for robust and accurate classification of high-resolution frontal and sagittal human gait video sequences—capturing both lower-limb kinematics and upper-body [...] Read more.
We propose a novel hybrid deep learning framework that synergistically integrates Convolutional Neural Networks (CNNs), Spiking Neural Networks (SNNs), and Generative Adversarial Networks (GANs) for robust and accurate classification of high-resolution frontal and sagittal human gait video sequences—capturing both lower-limb kinematics and upper-body posture—from subjects with Knee Osteoarthritis (KOA), Parkinson’s Disease (PD), and healthy Normal (NM) controls, classified into three disease-type categories. Our approach first employs a tailored CNN backbone to extract rich spatial features from fixed-length clips (e.g., 16 frames resized to 128 × 128 px), which are then temporally encoded and processed by an SNN layer to capture dynamic gait patterns. To address class imbalance and enhance generalization, a conditional GAN augments rare severity classes with realistic synthetic gait sequences. Evaluated on the controlled, marker-based KOA-PD-NM laboratory public dataset, our model achieves an overall accuracy of 99.47%, a sensitivity of 98.4%, a specificity of 99.0%, and an F1-score of 98.6%, outperforming baseline CNN, SNN, and CNN–SNN configurations by over 2.5% in accuracy and 3.1% in F1-score. Ablation studies confirm that GAN-based augmentation yields a 1.9% accuracy gain, while the SNN layer provides critical temporal robustness. Our findings demonstrate that this CNN–SNN–GAN paradigm offers a powerful, computationally efficient solution for high-precision, gait-based disease classification, achieving a 48.4% reduction in FLOPs (1.82 GFLOPs to 0.94 GFLOPs) and 9.2% lower average power consumption (68.4 W to 62.1 W) on Kaggle P100 GPU compared to CNN-only baselines. The hybrid model demonstrates significant potential for energy savings on neuromorphic hardware, with an estimated 13.2% reduction in energy per inference based on FLOP-based analysis, positioning it favorably for deployment in resource-constrained clinical environments and edge computing scenarios. Full article
Show Figures

Figure 1

20 pages, 3686 KB  
Article
Decoding Temporally Encoded 3D Objects from Low-Cost Wearable Electroencephalography
by John LaRocco, Qudsia Tahmina, Saideh Zia, Shahil Merchant, Jason Forrester, Eason He and Ye Lin
Technologies 2025, 13(11), 501; https://doi.org/10.3390/technologies13110501 - 1 Nov 2025
Viewed by 1003
Abstract
Decoding visual content from neural activity remains a central challenge at the intersections of engineering, neuroscience, and computational modeling. Prior work has primarily leveraged electroencephalography (EEG) with generative models to recover static images. In this study, we advance EEG-based decoding by introducing a [...] Read more.
Decoding visual content from neural activity remains a central challenge at the intersections of engineering, neuroscience, and computational modeling. Prior work has primarily leveraged electroencephalography (EEG) with generative models to recover static images. In this study, we advance EEG-based decoding by introducing a temporal encoding framework that approximates dynamic object transformations across time. EEG recordings from healthy participants (n = 20) were used to model neural representations of objects presented in “initial” and “later” states. Individualized classifiers trained on time-specific EEG signatures achieved high discriminability, with Random Forest models reaching a mean accuracy and standard deviation of 92 ± 2% and a mean AUC-ROC and standard deviation of 0.87 ± 0.10, driven largely by gamma- and beta-band activity at the frontal electrodes. These results confirm and extend evidence of strong interindividual variability, showing that subject-specific models outperform intersubject approaches in decoding temporally varying object representations. Beyond classification, we demonstrate that pairwise temporal encodings can be integrated into a generative pipeline to produce approximated reconstructions of short video sequences and 3D object renderings. Our findings establish that temporal EEG features, captured using low-cost open-source hardware, are sufficient to support the decoding of visual content across discrete time points, providing a versatile platform for potential applications in neural decoding, immersive media, and human–computer interaction. Full article
Show Figures

Figure 1

23 pages, 72366 KB  
Article
InSAR Coherence Linked to Soil Moisture, Water Level and Precipitation on a Blanket Peatland in Scotland
by Rachel Z. Walker, Doreen S. Boyd, Roxane Andersen and David J. Large
Remote Sens. 2025, 17(21), 3507; https://doi.org/10.3390/rs17213507 - 22 Oct 2025
Viewed by 929
Abstract
Hydrological changes in peatland are directly related to peat condition. Restoration projects typically aim to raise the water table to enhance peat development, support ecology and increase carbon storage. Remote monitoring of peatland hydrology is challenging but advantageous for assessing condition and restoration [...] Read more.
Hydrological changes in peatland are directly related to peat condition. Restoration projects typically aim to raise the water table to enhance peat development, support ecology and increase carbon storage. Remote monitoring of peatland hydrology is challenging but advantageous for assessing condition and restoration effectiveness. This study explores how temporal Sentinel-1-derived InSAR coherence relates to ground-based measurements of soil moisture, water level and local precipitation at two sites, near-natural (Munsary) and degraded (Knockfin Heights), in the Flow Country, Scotland, alongside regional Wick weather station precipitation data (2015–2024). Stronger seasonal linear relationships were observed between soil moisture and InSAR coherence in spring/summer (R2 reaching 0.83 at Munsary subsite C, p < 0.001), with in-phase cross correlation throughout the year. In contrast, the relationship between water level and InSAR coherence was more complex with an out-of-phase relationship for much of the year and a weaker linear correlation. These relationships varied with peatland condition, strongest at the more intact bog (Munsary). InSAR coherence and precipitation were in-phase, but not linearly correlated, and land use/cover had no significant effect. Outcomes suggest that InSAR coherence could, when combined with other data, assist in mapping soil moisture/water level dynamics in blanket peatlands, and identify the timing of precipitation events in areas with non-frontal rainfall. Full article
(This article belongs to the Special Issue Remote Sensing for the Study of the Changes in Wetlands)
Show Figures

Figure 1

30 pages, 1297 KB  
Systematic Review
A Systematic Review of Inter-Brain Synchrony and Psychological Conditions: Stress, Anxiety, Depression, Autism and Other Disorders
by Atiqah Azhari, Ashvina Rai and Y. H. Victoria Chua
Brain Sci. 2025, 15(10), 1113; https://doi.org/10.3390/brainsci15101113 - 16 Oct 2025
Viewed by 4044
Abstract
Background: Inter-brain synchrony (IBS)—the temporal alignment of neural activity between individuals during social interactions—has emerged as a key construct in social neuroscience, reflecting shared attention, emotional attunement, and coordinated behavior. Enabled by hyperscanning techniques, IBS has been observed across a range of dyadic [...] Read more.
Background: Inter-brain synchrony (IBS)—the temporal alignment of neural activity between individuals during social interactions—has emerged as a key construct in social neuroscience, reflecting shared attention, emotional attunement, and coordinated behavior. Enabled by hyperscanning techniques, IBS has been observed across a range of dyadic contexts, including cooperation, empathy, and communication. This systematic review synthesizes recent empirical findings on inter-brain synchrony (IBS)—the temporal alignment of neural activity between individuals—across psychological and neurodevelopmental conditions, including stress, anxiety, depression, and autism spectrum disorder (ASD). Methods: Drawing on 30 studies employing hyperscanning methodologies (EEG, fNIRS, fMRI), we examined how IBS patterns vary by clinical condition, dyad type, and brain region. Results: Findings indicate that IBS is generally reduced in anxiety, depression, and ASD, particularly in key social brain regions such as the dorsolateral and medial prefrontal cortices (dlPFC, mPFC, vmPFC), temporoparietal junction (TPJ), and inferior frontal gyrus (IFG), suggesting impaired emotional resonance and social cognition. In contrast, stress elicited both increases and decreases in IBS, modulated by context, emotional proximity, and cooperative strategies. Parent–child, therapist–client, and romantic dyads exhibited distinct synchrony profiles, with gender and relational dynamics further shaping neural coupling. Conclusions: Collectively, the findings support IBS as a potentially dynamic, condition-sensitive, and contextually modulated neurophysiological indicator of interpersonal functioning, with implications for diagnostics, intervention design, and the advancement of social neuroscience in clinical settings. Full article
Show Figures

Figure 1

14 pages, 2907 KB  
Article
Neural Dynamics of Strategic Early Predictive Saccade Behavior in Target Arrival Estimation
by Ryo Koshizawa, Kazuma Oki and Masaki Takayose
Brain Sci. 2025, 15(7), 750; https://doi.org/10.3390/brainsci15070750 - 15 Jul 2025
Viewed by 786
Abstract
Background/Objectives: Accurately predicting the arrival position of a moving target is essential in sports and daily life. While predictive saccades are known to enhance performance, the neural mechanisms underlying the timing of these strategies remain unclear. This study investigated how the timing [...] Read more.
Background/Objectives: Accurately predicting the arrival position of a moving target is essential in sports and daily life. While predictive saccades are known to enhance performance, the neural mechanisms underlying the timing of these strategies remain unclear. This study investigated how the timing of saccadic strategies—executed early versus late—affects cortical activity patterns, as measured by electroencephalography (EEG). Methods: Sixteen participants performed a task requiring them to predict the arrival position and timing of a parabolically moving target that became occluded midway through its trajectory. Based on eye movement behavior, participants were classified into an Early Saccade Strategy Group (SSG) or a Late SSG. EEG signals were analyzed in the low beta band (13–15 Hz) using the Hilbert transform. Group differences in eye movements and EEG activity were statistically assessed. Results: No significant group differences were observed in final position or response timing errors. However, time-series analysis showed that the Early SSG achieved earlier and more accurate eye positioning. EEG results revealed greater low beta activity in the Early SSG at electrode sites FC6 and P8, corresponding to the frontal eye field (FEF) and middle temporal (MT) visual area, respectively. Conclusions: Early execution of predictive saccades was associated with enhanced cortical activity in visuomotor and motion-sensitive regions. These findings suggest that early engagement of saccadic strategies supports more efficient visuospatial processing, with potential applications in dynamic physical tasks and digitally mediated performance domains such as eSports. Full article
Show Figures

Figure 1

16 pages, 2721 KB  
Article
An Adapter and Segmentation Network-Based Approach for Automated Atmospheric Front Detection
by Xinya Ding, Xuan Peng, Yanguang Xue, Liang Zhang, Tianying Wang and Yunpeng Zhang
Appl. Sci. 2025, 15(14), 7855; https://doi.org/10.3390/app15147855 - 14 Jul 2025
Viewed by 535
Abstract
This study presents AD-MRCNN, an advanced deep learning framework for automated atmospheric front detection that addresses two critical limitations in existing methods. First, current approaches directly input raw meteorological data without optimizing feature compatibility, potentially hindering model performance. Second, they typically only provide [...] Read more.
This study presents AD-MRCNN, an advanced deep learning framework for automated atmospheric front detection that addresses two critical limitations in existing methods. First, current approaches directly input raw meteorological data without optimizing feature compatibility, potentially hindering model performance. Second, they typically only provide frontal category information without identifying individual frontal systems. Our solution integrates two key innovations: 1. An intelligent adapter module that performs adaptive feature fusion, automatically weighting and combining multi-source meteorological inputs (including temperature, wind fields, and humidity data) to maximize their synergistic effects while minimizing feature conflicts; the utilized network achieves an average improvement of over 4% across various metrics. 2. An enhanced instance segmentation network based on Mask R-CNN architecture that simultaneously achieves (1) precise frontal type classification (cold/warm/stationary/occluded), (2) accurate spatial localization, and (3) identification of distinct frontal systems. Comprehensive evaluation using ERA5 reanalysis data (2009–2018) demonstrates significant improvements, including an 85.1% F1-score, outperforming traditional methods (TFP: 63.1%) and deep learning approaches (Unet: 83.3%), and a 31% reduction in false alarms compared to semantic segmentation methods. The framework’s modular design allows for potential application to other meteorological feature detection tasks. Future work will focus on incorporating temporal dynamics for frontal evolution prediction. Full article
Show Figures

Figure 1

Back to TopTop