Sign in to use this feature.

Years

Between: -

Subjects

remove_circle_outline
remove_circle_outline
remove_circle_outline
remove_circle_outline
remove_circle_outline
remove_circle_outline

Journals

Article Types

Countries / Regions

Search Results (68)

Search Parameters:
Keywords = frequency-selective fading

Order results
Result details
Results per page
Select all
Export citation of selected articles as:
17 pages, 4010 KB  
Article
Blind Channel Estimation Based on K-Means Clustering with Resource Grouping in Fading Channel
by Yumin Kim, Jonghyun Bang and Taehyoung Kim
Mathematics 2026, 14(3), 400; https://doi.org/10.3390/math14030400 - 23 Jan 2026
Viewed by 254
Abstract
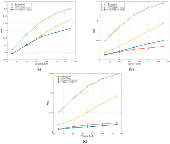
This paper proposes a novel blind channel estimation method based on K-means clustering algorithm with efficient time–frequency resource grouping. Existing K-means-based blind channel estimation techniques assume that received symbols within the coherence time and coherence bandwidth experience the same channel response, which is [...] Read more.
This paper proposes a novel blind channel estimation method based on K-means clustering algorithm with efficient time–frequency resource grouping. Existing K-means-based blind channel estimation techniques assume that received symbols within the coherence time and coherence bandwidth experience the same channel response, which is not valid under fading channel with severe time variation or frequency selectivity. To overcome this limitation, this paper proposes an efficient time–frequency resource grouping pattern selection algorithm. The proposed method introduces the concept of an effective number of data symbols, which eliminates patterns that are computationally expensive yet performance-irrelevant, thereby reducing the search space compared to exhaustive search. Two strategies are applied: Time-main, which prioritizes grouping in the time domain, and Freq-main, which prioritizes grouping in the frequency domain. Simulation results demonstrate that the proposed method consistently outperforms conventional and fixed-pattern approaches across various channel conditions. Full article
(This article belongs to the Special Issue Computational Methods in Wireless Communications with Applications)
Show Figures

Figure 1

25 pages, 1283 KB  
Article
Achieving Enhanced Spectral Efficiency for Constant Envelope Transmission in CP-OFDMA Framework
by Zhuhong Zhu, Yiming Zhu, Xiaodong Xu, Wenjin Wang, Li Chai and Yi Zheng
Sensors 2025, 25(23), 7257; https://doi.org/10.3390/s25237257 - 28 Nov 2025
Viewed by 721
Abstract
Orthogonal frequency-division multiplexing (OFDM) has been adopted as the baseline waveform for sixth-generation (6G) networks owing to its robustness and high spectral efficiency. However, its inherently high peak-to-average power ratio (PAPR) limits power amplifier efficiency and causes nonlinear distortion, particularly in power- and [...] Read more.
Orthogonal frequency-division multiplexing (OFDM) has been adopted as the baseline waveform for sixth-generation (6G) networks owing to its robustness and high spectral efficiency. However, its inherently high peak-to-average power ratio (PAPR) limits power amplifier efficiency and causes nonlinear distortion, particularly in power- and cost-constrained 6G scenarios. To address these challenges, we propose a constant-envelope cyclic-prefix OFDM (CE-CP-OFDM) transceiver under the CP-OFDMA framework, which achieves high spectral efficiency while maintaining low PAPR. Specifically, we introduce a spectrally efficient subcarrier mapping scheme with partial frequency overlap and establish a multiuser received signal model under frequency-selective fading channels. Subsequently, to minimize channel estimation error, we develop an optimal multiuser CE pilot design by exploiting frequency-domain phase shifts and generalized discrete Fourier transform-based time-domain sequences. For large-scale multiuser scenarios, a joint delay–frequency-domain channel estimation method is proposed, complemented by a low-complexity linear minimum mean square error (LMMSE) estimator in the delay domain. To mitigate inter-symbol and multiple-access interference, we further design an iterative frequency-domain LMMSE (FD-LMMSE) equalizer based on the multiuser joint received-signal model. Numerical results demonstrate that the proposed CE-CP-OFDM transceiver achieves superior bit-error-rate performance compared with conventional waveforms while maintaining high spectral efficiency. Full article
(This article belongs to the Section Communications)
Show Figures

Figure 1

18 pages, 5712 KB  
Article
A Fractional Fourier Transform-Based Channel Estimation and Equalization Algorithm for Mud Pulse Telemetry
by Jingchen Zhang, Zitong Sha, Lei Wan, Yishan Su, Jiang Zhu and Fengzhong Qu
J. Mar. Sci. Eng. 2025, 13(8), 1468; https://doi.org/10.3390/jmse13081468 - 31 Jul 2025
Viewed by 1108
Abstract
Mud pulse telemetry (MPT) systems are a promising approach to transmitting downhole data to the ground. During transmission, the amplitudes of pressure waves decay exponentially with distance, and the channel is often frequency-selective due to reflection and multipath effect. To address these issues, [...] Read more.
Mud pulse telemetry (MPT) systems are a promising approach to transmitting downhole data to the ground. During transmission, the amplitudes of pressure waves decay exponentially with distance, and the channel is often frequency-selective due to reflection and multipath effect. To address these issues, this work proposes a fractional Fourier transform (FrFT)-based channel estimation and equalization method. Leveraging the energy aggregation of linear frequency-modulated signals in the fractional Fourier domain, the time delay and attenuation parameters of the multipath channel can be estimated accurately. Furthermore, a fractional Fourier domain equalizer is proposed to pre-filter the frequency-selective fading channel using fractionally spaced decision feedback equalization. The effectiveness of the proposed method is evaluated through a simulation analysis and field experiments. The simulation results demonstrate that this method can significantly reduce multipath effects, effectively control the impact of noise, and facilitate subsequent demodulation. The field experiment results indicate that the demodulation of real data achieves advanced data rate communication (over 12 bit/s) and a low bit error rate (below 0.5%), which meets engineering requirements in a 3000 m drilling system. Full article
(This article belongs to the Section Ocean Engineering)
Show Figures

Figure 1

31 pages, 853 KB  
Article
Adversarial Sample Generation Method Based on Frequency Domain Transformation and Channel Awareness
by Yalin Gao, Dongwei Xu, Huiyan Zhu and Qi Xuan
Sensors 2025, 25(12), 3779; https://doi.org/10.3390/s25123779 - 17 Jun 2025
Viewed by 1268
Abstract
In OFDM wireless communication systems, low-resolution channel characteristics and noise interference pose significant challenges to accurate channel estimation. To solve these problems, we propose a super-resolution denoising residual network (SDRNet), which combines the advantages of the super-resolution convolutional neural network (SRCNN) and the [...] Read more.
In OFDM wireless communication systems, low-resolution channel characteristics and noise interference pose significant challenges to accurate channel estimation. To solve these problems, we propose a super-resolution denoising residual network (SDRNet), which combines the advantages of the super-resolution convolutional neural network (SRCNN) and the denoising convolutional neural network (DnCNN) to construct a pilot-based OFDM signal model, train SDRNet using OFDM pilot data containing Gaussian noise, and optimize its feature enhancement ability in frequency-selective fading channels. To further explore the role of channel estimation in communication security, we propose a frequency-domain adversarial attack method based on SDRNet output. This method first converts the time-domain signal to the frequency domain by using the Fourier transform and then applies Gaussian noise and selective masking. By integrating the channel gradient information, the adversarial perturbation we generated significantly improves the attack success rate compared with the non-channel awareness method. The experimental results show that SDRNet is superior to traditional algorithms (such as the least square method, minimum mean square error estimation, etc.) in both mean square error and bit error rate. Furthermore, the adversarial samples optimized through channel awareness frequency-domain masking exhibit stronger attack performance, confirming that accurate channel estimation can not only enhance communication reliability but also provide key guidance for adversarial perturbation. The experimental results show that under the same noise conditions, the MSE of SDRNet is significantly lower than that of LS and MMSE. The bit error rate is lower than 0.01 when the signal-to-noise ratio is 10 dB, which is significantly better than the traditional algorithm. The attack success rate of the proposed adversarial attack method reached 79.9%, which was 16.3% higher than that of the non-channel aware method, verifying the key role of accurate channel estimation in enhancing the effectiveness of the attack. Full article
(This article belongs to the Section Communications)
Show Figures

Figure 1

15 pages, 6517 KB  
Article
A Fading Suppression Method for Φ-OTDR Systems Based on Multi-Domain Multiplexing
by Shuai Tong, Shaoxiong Tang, Yifan Lu, Nuo Yuan, Chi Zhang, Huanhuan Liu, Dao Zhang, Ningmu Zou, Xuping Zhang and Yixin Zhang
Sensors 2025, 25(8), 2629; https://doi.org/10.3390/s25082629 - 21 Apr 2025
Viewed by 1369
Abstract
The phase-sensitive optical time domain reflectometry (Φ-OTDR) has been widely applied in various fields. However, due to fading noise, false alarms often occur; this limits its engineering applications. In this paper, a fading suppression method for Φ-OTDR systems based on multi-domain multiplexing (MDM) [...] Read more.
The phase-sensitive optical time domain reflectometry (Φ-OTDR) has been widely applied in various fields. However, due to fading noise, false alarms often occur; this limits its engineering applications. In this paper, a fading suppression method for Φ-OTDR systems based on multi-domain multiplexing (MDM) is proposed. The principles and limitations of existing suppression methods such as spatial-domain multiplexing (SDM), polarization-domain multiplexing (PDM), and frequency-domain multiplexing (FDM) are analyzed. The principle of MDM is explained in detail, and an experimental system is established to test the fading noise suppression capabilities of different parameter combinations of the PDM, FDM, and SDM methods. Experimental results show that it is difficult to comprehensively suppress fading noise with single-domain multiplexing. Through optimizations of different parameter combinations, MDM can comprehensively suppress fading noise by appropriately selecting the number of FDM frequencies, the spatial weighting intervals, and using PDM, thus obtaining the optimal anti-fading solution between performance and hardware complexity. Through MDM, the fade-free measurement is achieved, providing a promising technical solution for the practical application of the Φ-OTDR technology. Full article
(This article belongs to the Section Optical Sensors)
Show Figures

Figure 1

31 pages, 1953 KB  
Article
UAV Trajectory Control and Power Optimization for Low-Latency C-V2X Communications in a Federated Learning Environment
by Xavier Fernando and Abhishek Gupta
Sensors 2024, 24(24), 8186; https://doi.org/10.3390/s24248186 - 22 Dec 2024
Cited by 7 | Viewed by 4989
Abstract
Unmanned aerial vehicle (UAV)-enabled vehicular communications in the sixth generation (6G) are characterized by line-of-sight (LoS) and dynamically varying channel conditions. However, the presence of obstacles in the LoS path leads to shadowed fading environments. In UAV-assisted cellular vehicle-to-everything (C-V2X) communication, vehicle and [...] Read more.
Unmanned aerial vehicle (UAV)-enabled vehicular communications in the sixth generation (6G) are characterized by line-of-sight (LoS) and dynamically varying channel conditions. However, the presence of obstacles in the LoS path leads to shadowed fading environments. In UAV-assisted cellular vehicle-to-everything (C-V2X) communication, vehicle and UAV mobility and shadowing adversely impact latency and throughput. Moreover, 6G vehicular communications comprise data-intensive applications such as augmented reality, mixed reality, virtual reality, intelligent transportation, and autonomous vehicles. Since vehicles’ sensors generate immense amount of data, the latency in processing these applications also increases, particularly when the data are not independently identically distributed (non-i.i.d.). Furthermore, when the sensors’ data are heterogeneous in size and distribution, the incoming packets demand substantial computing resources, energy efficiency at the UAV servers and intelligent mechanisms to queue the incoming packets. Due to the limited battery power and coverage range of UAV, the quality of service (QoS) requirements such as coverage rate, UAV flying time, and fairness of vehicle selection are adversely impacted. Controlling the UAV trajectory so that it serves a maximum number of vehicles while maximizing battery power usage is a potential solution to enhance QoS. This paper investigates the system performance and communication disruption between vehicles and UAV due to Doppler effect in the orthogonal time–frequency space (OTFS) modulated channel. Moreover, a low-complexity UAV trajectory prediction and vehicle selection method is proposed using federated learning, which exploits related information from past trajectories. The weighted total energy consumption of a UAV is minimized by jointly optimizing the transmission window (Lw), transmit power and UAV trajectory considering Doppler spread. The simulation results reveal that the weighted total energy consumption of the OTFS-based system decreases up to 10% when combined with federated learning to locally process the sensor data at the vehicles and communicate the processed local models to the UAV. The weighted total energy consumption of the proposed federated learning algorithm decreases by 10–15% compared with convex optimization, heuristic, and meta-heuristic algorithms. Full article
(This article belongs to the Section Communications)
Show Figures

Figure 1

13 pages, 3193 KB  
Article
Multi-Pilot Channel Estimation for Orthogonal Time–Frequency Space Systems Based on Constant-Amplitude Zero-Autocorrelation Sequences
by Renjie Ju, Yangyanhao Guo, Xiaojuan Hou, Jian He, Ting Li, Zhiqiang Lan and Xiujian Chou
Sensors 2024, 24(23), 7588; https://doi.org/10.3390/s24237588 - 27 Nov 2024
Viewed by 2498
Abstract
Future communication systems must support high-speed mobile scenarios, while the mainstream Orthogonal Frequency Division Multiplexing (OFDM) technology faces severe inter-carrier interference in such environments. Therefore, the adoption of Orthogonal Time–Frequency Space (OTFS) modulation in 6G systems is an effective solution. The widely used [...] Read more.
Future communication systems must support high-speed mobile scenarios, while the mainstream Orthogonal Frequency Division Multiplexing (OFDM) technology faces severe inter-carrier interference in such environments. Therefore, the adoption of Orthogonal Time–Frequency Space (OTFS) modulation in 6G systems is an effective solution. The widely used single-pilot channel estimation in OTFS systems is susceptible to path loss and inaccurate fading coefficient estimation, leading to reduced estimation accuracy, signal distortion, and degraded overall system communication quality. To address this problem, this paper proposes a Constant-Amplitude Zero-Autocorrelation (CAZAC) sequence-based multi-pilot OTFS channel estimation scheme. The proposed method inserts multiple low-power pilots in the delayed Doppler domain (DD) and employs joint signal processing at the receiver to effectively suppress noise, thereby significantly improving the accuracy and reliability of channel estimation. Additionally, this paper analyzes the impact of CAZAC sequence length on estimation performance and provides reasonable parameter selection recommendations. In summary, this work proposes an innovative solution to the channel estimation challenge in OTFS systems, laying a solid theoretical foundation for the realization of future high-speed mobile communication technologies such as 6G, with important academic value and application prospects. Full article
(This article belongs to the Special Issue 5G/6G Networks for Wireless Communication and IoT)
Show Figures

Figure 1

19 pages, 6697 KB  
Article
SSL-LRN: A Lightweight Semi-Supervised-Learning-Based Approach for UWA Modulation Recognition
by Chaojin Ding, Wei Su, Zehong Xu, Daqing Gao and En Cheng
J. Mar. Sci. Eng. 2024, 12(8), 1317; https://doi.org/10.3390/jmse12081317 - 4 Aug 2024
Cited by 1 | Viewed by 1454
Abstract
Due to the lack of sufficient valid labeled data and severe channel fading, the recognition of various underwater acoustic (UWA) communication modulation types still faces significant challenges. In this paper, we propose a lightweight UWA communication type recognition network based on semi-supervised learning, [...] Read more.
Due to the lack of sufficient valid labeled data and severe channel fading, the recognition of various underwater acoustic (UWA) communication modulation types still faces significant challenges. In this paper, we propose a lightweight UWA communication type recognition network based on semi-supervised learning, named the SSL-LRN. In the SSL-LRN, a mean teacher–student mechanism is developed to improve learning performance by averaging the weights of multiple models, thereby improving recognition accuracy for insufficiently labeled data. The SSL-LRN employs techniques such as quantization and small convolutional kernels to reduce floating-point operations (FLOPs), enabling its deployment on underwater mobile nodes. To mitigate the performance loss caused by quantization, the SSL-LRN adopts a channel expansion module to optimize the neuron distribution. It also employs an attention mechanism to enhance the recognition robustness for frequency-selective-fading channels. Pool and lake experiments demonstrate that the framework effectively recognizes most modulation types, achieving a more than 5% increase in recognition accuracy at a 0 dB signal-to-noise ratio (SNRs) while reducing FLOPs by 84.9% compared with baseline algorithms. Even with only 10% labeled data, the performance of the SSL-LRN approaches that of the fully supervised LRN algorithm. Full article
(This article belongs to the Section Ocean Engineering)
Show Figures

Figure 1

14 pages, 1300 KB  
Article
Hybrid FSO/RF Communications in Space–Air–Ground Integrated Networks: A Reduced Overhead Link Selection Policy
by Petros S. Bithas, Hector E. Nistazakis, Athanassios Katsis and Liang Yang
Electronics 2024, 13(4), 806; https://doi.org/10.3390/electronics13040806 - 19 Feb 2024
Cited by 16 | Viewed by 6646
Abstract
Space–air–ground integrated network (SAGIN) is considered an enabler for sixth-generation (6G) networks. By integrating terrestrial and non-terrestrial (satellite, aerial) networks, SAGIN seems to be a quite promising solution to provide reliable connectivity everywhere and all the time. Its availability can be further enhanced [...] Read more.
Space–air–ground integrated network (SAGIN) is considered an enabler for sixth-generation (6G) networks. By integrating terrestrial and non-terrestrial (satellite, aerial) networks, SAGIN seems to be a quite promising solution to provide reliable connectivity everywhere and all the time. Its availability can be further enhanced if hybrid free space optical (FSO)/radio frequency (RF) links are adopted. In this paper, the performance of a hybrid FSO/RF communication system operating in SAGIN has been analytically evaluated. In the considered system, a high-altitude platform station (HAPS) is used to forward the satellite signal to the ground station. Moreover, the FSO channel model assumed takes into account the turbulence, pointing errors, and path losses, while for the RF links, a relatively new composite fading model has been considered. In this context, a new link selection scheme has been proposed that is designed to reduced the signaling overhead required for the switching operations between the RF and FSO links. The analytical framework that has been developed is based on the Markov chain theory. Capitalizing on this framework, the performance of the system has been investigated using the criteria of outage probability and the average number of link estimations. The numerical results presented reveal that the new selection scheme offers a good compromise between performance and complexity. Full article
Show Figures

Figure 1

20 pages, 6562 KB  
Article
Clustering Approach for Reliable Wireless Communication
by Carmen Florea, Mădălina-Georgiana Berceanu, Răzvan-Florentin Trifan and Ioana-Manuela Marcu
Appl. Sci. 2024, 14(1), 13; https://doi.org/10.3390/app14010013 - 19 Dec 2023
Cited by 3 | Viewed by 1977
Abstract
Multiple access techniques for 5G systems are based on principles related to security, efficiency, and performance increase. Multi-user shared access (MUSA) is included in code-domain non-orthogonal multiple access (CD-NOMA) techniques with multiple benefits including multiple-access interference minimization and system capacity increase. The additional [...] Read more.
Multiple access techniques for 5G systems are based on principles related to security, efficiency, and performance increase. Multi-user shared access (MUSA) is included in code-domain non-orthogonal multiple access (CD-NOMA) techniques with multiple benefits including multiple-access interference minimization and system capacity increase. The additional benefits of MUSA include its grant-free nature, which makes it applicable to scenarios involving random access channels, minimal latency communications, etc. Depending on the high-frequency diversity of the fading-affected channels, this technique is also used to lessen their effects. This paper illustrates the concept of code correlation used in MUSA by proposing a method to allocate MUSA codes to active users in an uplink data transmission system based on clusters. This clustering approach (grouping of 3GPP TR 38.812 spreading codewords) enables performance improvement in different system configurations by implementing various scenarios and providing reliable results. It is demonstrated that four-length spreading code selection from 3GPP family codes is a satisfactory solution, and this cluster grouping can be designed in a less overloaded multi-user system. The challenges, advantages, and limitations of the proposed method are outlined throughout the study. Full article
(This article belongs to the Section Electrical, Electronics and Communications Engineering)
Show Figures

Figure 1

17 pages, 768 KB  
Article
Joint Sub-Band and Transmission Rate Selection for Anti-Jamming Non-Contiguous Orthogonal Frequency Division Multiplexing System: An Upper Confidence Bound Based Reinforcement Learning Approach
by Xinyi Yuan, Long Yu, Yusheng Li, Yifan Xu and Yuxin Shi
Electronics 2023, 12(21), 4418; https://doi.org/10.3390/electronics12214418 - 26 Oct 2023
Cited by 1 | Viewed by 1736
Abstract
Reinforcement Learning (RL) has been employed to assign transmission parameters to all sub-carriers in a set frequency band for anti-jamming Orthogonal Frequency Division Multiplexing (OFDM) systems. However, prior works often overlooked the influence of wireless environment fading and convergence issues stemming from overly [...] Read more.
Reinforcement Learning (RL) has been employed to assign transmission parameters to all sub-carriers in a set frequency band for anti-jamming Orthogonal Frequency Division Multiplexing (OFDM) systems. However, prior works often overlooked the influence of wireless environment fading and convergence issues stemming from overly large parameter sets. To address these challenges, an anti-jamming scheme was proposed based on the Non-Contiguous Orthogonal Frequency Division Multiplexing (NC-OFDM) communication system integrated with reinforcement learning. First, all sub-carriers were divided into sub-bands, and a Finite State Markov Sub-bands (FSMS) model was established to describe the time-varying fading characteristics of each sub-band by combining Adaptive Modulation and Coding (AMC) technology. To mitigate instability due to the fading channel, a joint sub-band and modulation anti-jamming decision scheme was adopted, enabling the transmitter to select the optimal sub-band and transmission rate. Ultimately, this decision-making process was modeled as a Markov Decision Process (MDP), and an Upper Confidence Bound based Q-learning (UCB-Q) anti-jamming algorithm was proposed for obtaining the joint sub-band and transmission rate selection strategies. Simulation results indicate that the proposed algorithm demonstrates enhanced speed and superior average throughput. Additionally, the algorithm showcases the same commendable anti-jamming performance in scenarios with time-varying dynamic jamming. Full article
Show Figures

Figure 1

19 pages, 13148 KB  
Article
An Adaptive Hybrid Automatic Repeat Request (A-HARQ) Scheme Based on Reinforcement Learning
by Shih-Yang Lin, Miao-Hui Yang and Shuo Jia
Electronics 2023, 12(19), 4127; https://doi.org/10.3390/electronics12194127 - 3 Oct 2023
Cited by 6 | Viewed by 4830
Abstract
V2X communication is susceptible to attenuation and fading caused by external interference. This interference often leads to bit error and poor quality and stability of the wireless link, and it can easily disrupt packet transmission. In order to enhance communication reliability, the 3rd [...] Read more.
V2X communication is susceptible to attenuation and fading caused by external interference. This interference often leads to bit error and poor quality and stability of the wireless link, and it can easily disrupt packet transmission. In order to enhance communication reliability, the 3rd Generation Partnership Project (3GPP) introduced the Hybrid Automatic Repeat Request (HARQ) technology for both 4G and 5G systems. Nevertheless, it can be improved for poor communication conditions (e.g., heavy traffic flow, long-distance transmission), especially in advanced or cooperative driving scenarios. In this paper, we propose an Adaptive Hybrid Automatic Repeat Request (A-HARQ) scheme that can reduce the average block error rate, the average number of retransmissions, and the round-trip time (RTT). It adapts the Q-learning model to select the timing and frequency of retransmission to enhance the transmission reliability. We also design some transmission schemes—K-repetition, T-delay and [T, K]-overlap—which are used to shorten latency and avoid packet collision. Compared with the conventional 5G HARQ, our simulation results show that the proposed A-HARQ scheme decreases the system’s average BLER, the number of retransmissions, and the RTT to 5.55%, 1.55 ms, and 0.97 ms, respectively. Full article
(This article belongs to the Special Issue Artificial Intelligence for Wireless Networks)
Show Figures

Figure 1

18 pages, 1525 KB  
Article
Co-Efficient Vector Based Differential Distributed Quasi-Orthogonal Space Time Frequency Coding
by Nnamdi Nwanekezie, Oluyomi Simpson, Gbenga Owojaiye and Yichuang Sun
Sensors 2023, 23(17), 7540; https://doi.org/10.3390/s23177540 - 30 Aug 2023
Cited by 2 | Viewed by 1288
Abstract
Distributed space time frequency coding (DSTFC) schemes address problems of performance degradation encountered by cooperative broadband networks operating in highly mobile environments. Channel state information (CSI) acquisition is, however, impractical in such highly mobile environments. Therefore, to address this problem, designers focus on [...] Read more.
Distributed space time frequency coding (DSTFC) schemes address problems of performance degradation encountered by cooperative broadband networks operating in highly mobile environments. Channel state information (CSI) acquisition is, however, impractical in such highly mobile environments. Therefore, to address this problem, designers focus on incorporating differential designs with DSTFC for signal recovery in environments where neither the relay nodes nor destination have CSI. Traditionally, unitary matrix-based differential designs have been used to generate the differentially encoded symbols and codeword matrices. Unitary based designs are suitable for cooperative networks that utilize the amplify-and-forward protocol where the relay nodes are typically required to forego differential decoding. In considering other scenarios where relay nodes are compelled to differentially decode and re-transmit information signals, we propose a novel co-efficient vector differential distributed quasi-orthogonal space time frequency coding (DQSTFC) scheme for decode-and-forward cooperative networks. Our proposed space time frequency coding scheme relaxes the need for constant channel gain in the temporal and frequency dimensions over long symbol periods; thus, performance degradation is reduced in frequency-selective and time-selective fading environments. Simulation results illustrate the performance of our proposed co-efficient vector differential DQSTFC scheme under different channel conditions. Through pair-wise error probability analysis, we derive the full diversity design criteria for our code. Full article
(This article belongs to the Section Sensor Networks)
Show Figures

Figure 1

16 pages, 944 KB  
Article
Performance Analysis of Relay-Aided Hybrid FSO/RF Cooperation Communication System over the Generalized Turbulence Channels with Pointing Errors and Nakagami-m Fading Channels
by Yan Wu, Gang Li and Dejin Kong
Sensors 2023, 23(13), 6191; https://doi.org/10.3390/s23136191 - 6 Jul 2023
Cited by 7 | Viewed by 1969
Abstract
To improve the performance of fee-space optical communication systems, this paper analyzes the performance of a relay-aided hybrid fee-space optical (FSO)/radio frequency (RF) cooperation system based on a selective combination and decoding forward transmission scheme. In this system, the FSO sub-link experienced Málaga [...] Read more.
To improve the performance of fee-space optical communication systems, this paper analyzes the performance of a relay-aided hybrid fee-space optical (FSO)/radio frequency (RF) cooperation system based on a selective combination and decoding forward transmission scheme. In this system, the FSO sub-link experienced Málaga turbulence with pointing errors and the RF sub-link suffered Nakagami-m fading. Firstly, the probability density function (PDF) and cumulative distribution function (CDF) of the end-to-end output signal-to-noise ratio (SNR) of the relay-aided hybrid FSO/RF system are derived. Then, using the extended generalized bivariate Meijer’s G-function (EGBMGF) and the approximate analytical formula of the generalized Gauss–Laguerre integral, mathematical expressions of the end-to-end average bit error rate (ABER) and outage probability of the relay-aided hybrid FSO/RF system with different subcarrier intensity modulation and different detection schemes are derived. Through a simulation analysis of the system, the results show that compared with the other three modulation technologies, the hybrid FSO/RF direct link and relay-aided hybrid FSO/RF system with coherent binary phase shift keying (CBPSK) modulation have the best bit error performance. Compared with direct detection, the hybrid direct link and relay-aided hybrid system with coherent detection can significantly improve the communication performance. Increasing the RF fading parameter m can further improve the bit error and outage performance of the hybrid direct link and relay-aided hybrid system; the hybrid direct link can significantly mitigate the degradation of communication performance in the FSO system caused by pointing errors, and the relay-aided hybrid system can further improve the communication performance; under weak turbulence conditions, the impact of pointing errors on the performance of the relay-aided hybrid system can even be ignored. The greater the total number of paths in the relay-aided hybrid system, the better the communication performance of the system; however, the more hops, the worse the performance of the system. The outage probability of the hybrid direct link and relay-aided hybrid system are very sensitive to the decision threshold, and the larger the decision threshold, the worse the outage performance. The transmission distance of different hybrid direct links has little impact on the performance of hybrid direct links and relay-aided hybrid systems. Improving the signal-to-noise ratio of RF sub-links significantly improves the performance of hybrid direct links and relay-aided hybrid systems. Full article
(This article belongs to the Section Communications)
Show Figures

Figure 1

23 pages, 1701 KB  
Article
Critical Comparison of Li-Ion Aging Models for Second Life Battery Applications
by Sai Vinayak Ganesh and Matilde D’Arpino
Energies 2023, 16(7), 3023; https://doi.org/10.3390/en16073023 - 26 Mar 2023
Cited by 10 | Viewed by 3888
Abstract
Lithium-ion batteries (LIBs) from electrified vehicles (EVs) that have reached the automotive end of life (EoL) may provide a low-cost, highly available energy storage solution for grid-connected systems, such as peak shaving and ancillary services. There are several issues related to the integration [...] Read more.
Lithium-ion batteries (LIBs) from electrified vehicles (EVs) that have reached the automotive end of life (EoL) may provide a low-cost, highly available energy storage solution for grid-connected systems, such as peak shaving and ancillary services. There are several issues related to the integration of second life batteries (SLBs) in power systems, such as the variability of the pack design and cell chemistry, in-field assessments of the state of health (SoH), and estimations of the expected lifetimes of SLBs in different power system applications. Model-based approaches are commonly used in the automotive industry for estimating/predicting the capacity and power fade trajectories of LIBs during their life. However, a large variety of models are available with different fidelities, complexities, and computational costs. The accuracy of these estimations is critical for the derivation of business models for SLB applications. This paper presents a qualitative and quantitative assessment of the performance of two well-accepted, state-of-the-art aging models, initially developed for automotive applications and here applied to different SLB applications to predict both the capacity and power fade. These models are evaluated with respect to several performance metrics, such as fidelity of estimation and capability of extrapolation outside the calibration data range. The considered models are classified as semi-empirical physics-based and empirical models, respectively. Three different SLB power profiles, bulk energy for DC fast charge stations and two frequency regulation profiles, are considered, corresponding to different ranges of the SoC, C-rates, and battery temperatures, with the aim of exciting different aging mechanisms. The numerical results provide insight for the selection of aging models for SLB applications based on their performances and limitations. Full article
Show Figures

Figure 1

Back to TopTop