Sign in to use this feature.

Years

Between: -

Subjects

remove_circle_outline
remove_circle_outline
remove_circle_outline
remove_circle_outline
remove_circle_outline
remove_circle_outline
remove_circle_outline
remove_circle_outline
remove_circle_outline

Journals

remove_circle_outline
remove_circle_outline
remove_circle_outline
remove_circle_outline
remove_circle_outline
remove_circle_outline
remove_circle_outline
remove_circle_outline
remove_circle_outline

Article Types

Countries / Regions

remove_circle_outline
remove_circle_outline
remove_circle_outline
remove_circle_outline
remove_circle_outline

Search Results (792)

Search Parameters:
Keywords = foundry

Order results
Result details
Results per page
Select all
Export citation of selected articles as:
13 pages, 3418 KB  
Article
Environmental Compliance of Ferrous Waste Moulding Sand and Best Foundry Practices for Hazardous Metals (Mn, Ni, and Cr)
by Kolela Joseph Nyembwe, Martina Petranikova, Kasongo Didier Nyembwe, Thabo T. I. Nkambule and Mukuna Patrick Mubiayi
Processes 2026, 14(2), 273; https://doi.org/10.3390/pr14020273 - 13 Jan 2026
Abstract
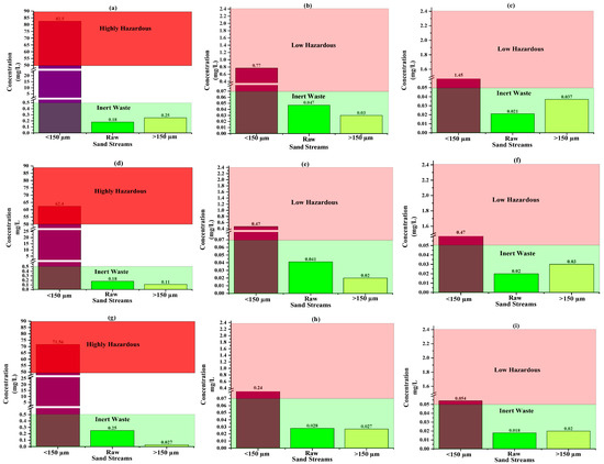
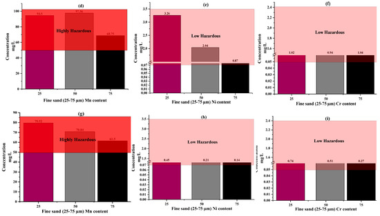
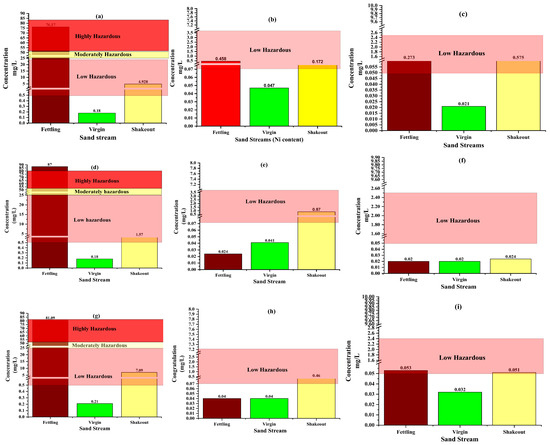
The circular economy approach aims to reduce raw material use and limit landfill disposal of industrial by-products. In the metal casting industry, waste foundry sand (WFS) disposal is a persistent financial and environmental challenge due to hazardous metal contamination. This study assessed three [...] Read more.
The circular economy approach aims to reduce raw material use and limit landfill disposal of industrial by-products. In the metal casting industry, waste foundry sand (WFS) disposal is a persistent financial and environmental challenge due to hazardous metal contamination. This study assessed three South African ferrous foundries’ sand streams—virgin, fettling/shot blast, and moulding/shakeout—using the toxicity characteristic leach procedure (TCLP) under the South African Waste Management Act. Results showed that while virgin sand was inert, fettling/shot blast and shakeout sands contained elevated Cr (0.024–1.02 mg/L), Mn (62–97 mg/L), and Ni (0.14–3.26 mg/L), exceeding inert waste thresholds (Cr: 0.05 mg/L; Mn: 0.5 mg/L; Ni: 0.07 mg/L). The shakeout sand, which accounts for 50–70% of total foundry waste, was the most critical stream. Particle size analysis revealed that the majority of sand (70%) falls between 600 and 75 µm, with hazardous metals concentrated in fine fractions (<150 µm). These fines contained up to 94–97% magnetic metallic debris, primarily Cr, Mn, and Ni, and exhibited TCLP leachability above inert classification limits. By contrast, coarser fractions (>150 µm) had low leachability and characteristics comparable to virgin sand. A simple size segregation treatment reduced hazardous metal content by up to 93–97%, rendering 75–85% of shakeout sand inert, while only 10–15% (fine portion) required hazardous waste disposal. These findings highlight that targeted removal of fines can substantially reduce disposal costs and environmental risk, supporting greener and more sustainable foundry operations. Full article
(This article belongs to the Special Issue Advanced Methods of Metal Recycling)
Show Figures

Figure 1

18 pages, 2523 KB  
Article
Antibacterial and Hydrophobic PLA Biocomposites Enabled by Geraniol-Modified Flax Fibres
by Alona Pawłowska, Magdalena Stepczyńska, Volodymyr Krasinskyi and Joanna Pach
Polymers 2026, 18(2), 183; https://doi.org/10.3390/polym18020183 - 9 Jan 2026
Viewed by 214
Abstract
In the medical industry, strong disinfectants are used to limit bacterial proliferation on the surface of polymer-based materials; however, they may leave hazardous residues. To prevent potential harm to human health, safer disinfection substitutes are continuously searched. This study evaluates the effect of [...] Read more.
In the medical industry, strong disinfectants are used to limit bacterial proliferation on the surface of polymer-based materials; however, they may leave hazardous residues. To prevent potential harm to human health, safer disinfection substitutes are continuously searched. This study evaluates the effect of a natural biocidal modifier, geraniol (GR), on the properties of flax-reinforced biocomposites. Biocomposites containing 80 wt% polylactide (PLA) and 20 wt% flax fibres were prepared, and fibres were modified with 1%, 5%, 10%, or 20% GR. The materials were examined using tensile tests, dynamic mechanical analysis (DMA), differential scanning calorimetry (DSC), thermogravimetry (TG), contact angle measurements, scanning electron microscopy (SEM), and antibacterial activity tests. The incorporation of flax fibres increased the storage modulus from 2730 MPa (PLA) to 3447 MPa, while GR-modified fibres further enhanced stiffness up to 3769 MPa for the 20% GR sample. Strong antibacterial activity against Escherichia coli and Staphylococcus aureus was achieved in biocomposites containing ≥10% GR, with R = 5 and R ≥ 6, respectively. Surface hydrophobicity also improved progressively, and a water contact angle of 92° was obtained at 20% GR. These results demonstrate that geraniol-modified flax fibres effectively impart antibacterial activity and hydrophobicity to PLA biocomposites, indicating their potential for use in sustainable packaging applications and materials for the medical sector. Full article
(This article belongs to the Special Issue Modification of Natural Biodegradable Polymers)
Show Figures

Figure 1

19 pages, 4354 KB  
Article
Study of the Impact of External Influences on the Protective Coating Applied to Moulding Sand
by Mariusz Łucarz, Dariusz Drożyński, Alena Pribulová and Peter Futáš
Coatings 2026, 16(1), 39; https://doi.org/10.3390/coatings16010039 - 31 Dec 2025
Viewed by 285
Abstract
Obtaining a good casting surface without defects requires proper preparation of the mould for the given metal alloy. It is important to select the appropriate moulding sand, which consists of a grain matrix and a binder. Due to the temperature and dynamics of [...] Read more.
Obtaining a good casting surface without defects requires proper preparation of the mould for the given metal alloy. It is important to select the appropriate moulding sand, which consists of a grain matrix and a binder. Due to the temperature and dynamics of the poured alloy, it is also important to apply a suitably selected protective coating to the surface of the mould. Depending on its chemical composition, the carrier used (water or alcohol), and the method of application, it is possible to create the most favourable conditions for obtaining a flawless casting. This article presents the impact of various protective coatings applied to moulding sand on a chromite matrix, comparing their technological parameters and selecting the best one for the given application conditions. During commonly used tests on moulding sand with a protective coating, its permeability, abrasion, and adhesion were determined. To verify the results obtained, microscopic photographs of the prepared surface layers of the moulding sand with a protective coating were also taken. It was found that, despite the same viscosity, the same carrier, and the same application method, the quality of the protective coating is determined by its appropriate composition developed by the manufacturers. The permeability of Pu moulding blocks after coating was found to be significantly reduced, from 255 to 37 [×10−8 m2/Pa × s]. The use of protective coatings significantly increased the moulding sand’s abrasion resistance, reducing the loss value from 0.826% to 0.330% for the weakest coating. In the group of protective coatings tested, the coating marked PC1M in the tests had the highest adhesion Np and its value, depending on the application method, ranged from 0.30 MPa to 0.37 MPa. Full article
Show Figures

Figure 1

15 pages, 1510 KB  
Article
Watching Alkaline Phosphatase Catalysis Through Its Vibrational Fingerprint
by Margherita Tamagnini, Haoyue Jiang, Liana Klivansky, Carlos Bustamante and Alessandra Lanzara
Biology 2026, 15(1), 68; https://doi.org/10.3390/biology15010068 - 30 Dec 2025
Viewed by 255
Abstract
Despite decades of structural and kinetic characterization, the full spectral molecular vibrations that accompany the catalysis in alkaline phosphatase (ALP) have remained largely unexplored. In this study, we combine in situ real-time attenuated total reflection Fourier transform infrared (ATR-FTIR) measurements over a large [...] Read more.
Despite decades of structural and kinetic characterization, the full spectral molecular vibrations that accompany the catalysis in alkaline phosphatase (ALP) have remained largely unexplored. In this study, we combine in situ real-time attenuated total reflection Fourier transform infrared (ATR-FTIR) measurements over a large energy range to track the hydrolysis of p-nitrophenyl phosphate (PNPP) and inorganic phosphate (Pi) over a large range of enzyme concentrations. From the static spectra of the pure components (ALP, PNPP, PNP, Pi), we identify their characteristic vibrational frequencies and use them as reference points for the time-resolved spectra. The reaction reveals a monotonic growth of the inorganic-phosphate band at 1077 cm−1. At the highest alkaline phosphatase concentration, we resolve two blue shifts in the nitro/aromatic region (1510 → 1518 cm−1; 1494 → 1499 cm−1), two red shifts in the fingerprint region (1345 → 1340 cm−1; 1294 → 1290 cm−1), and a splitting of the ~1592 cm−1 band into 1595 and 1583 cm−1. In conclusion, by anchoring the time-resolved spectra to the static spectra of individual constituents, we were able to resolve the infrared readout of the enzymatic reaction, offering a generalizable approach for FTIR-based tracking of catalytic processes. Full article
(This article belongs to the Section Biochemistry and Molecular Biology)
Show Figures

Figure 1

28 pages, 1819 KB  
Article
Promoting Circularity Through Industrial Waste for a Sustainable Built Environment in South Africa
by Nomfundo Dlamini, Douglas Aghimien, John Ogbeleakhu Aliu and Lerato Aghimien
Sustainability 2026, 18(1), 46; https://doi.org/10.3390/su18010046 - 19 Dec 2025
Viewed by 238
Abstract
To promote material circularity and a sustainable built environment, this study investigates the application of industrial waste within South Africa’s built environment, with a focus on civil engineering projects. A post-positivist philosophical stance was adopted, with a quantitative method and a structured questionnaire [...] Read more.
To promote material circularity and a sustainable built environment, this study investigates the application of industrial waste within South Africa’s built environment, with a focus on civil engineering projects. A post-positivist philosophical stance was adopted, with a quantitative method and a structured questionnaire used for data collection. Responses were solicited from built environment professionals involved in the delivery of civil engineering projects, and the data gathered were analysed using appropriate descriptive and inferential statistics, including exploratory factor analysis and partial least squares structural equation modelling (PLS-SEM). Findings revealed that, despite increased awareness of recycled construction and demolition waste, fly ash, and foundry sand, among others, their use remains limited due to three significant constraints. These are (1) knowledge, skills, and awareness, (2) operational and regulatory, and (3) governance and industry collaboration. PLS-SEM further showed that prioritizing sustainable practices and fostering multidisciplinary collaboration are the most significant strategies for enhancing industrial waste usage in the country. Practically, the study indicates that overcoming regulatory, knowledge, and operational issues through targeted policies, infrastructure investments, and collaborative efforts can significantly promote material circularity and sustainability in the South African built environment. Theoretically, the findings offer valuable insights for future studies on the application of industrial waste in the delivery of built environment projects in developing countries, where such studies have not been explored. Full article
Show Figures

Figure 1

24 pages, 8113 KB  
Article
Incorporation of Temperature Impact on Hot-Carrier Degradation into Compact Physics Model
by Stanislav Tyaginov, Erik Bury, Alexander Grill, Ethan Kao, An De Keersgieter, Alexander Makarov, Michiel Vandemaele, Alessio Spessot, Adrian Chasin and Ben Kaczer
Micromachines 2025, 16(12), 1424; https://doi.org/10.3390/mi16121424 - 18 Dec 2025
Viewed by 436
Abstract
We extend our compact physics model (CPM) for hot-carrier degradation (HCD) to cover the impact of ambient temperature on HCD. Three components of this impact are taken into account. First, variations in temperature perturb carrier transport. Second, the thermal component of Si-H bond [...] Read more.
We extend our compact physics model (CPM) for hot-carrier degradation (HCD) to cover the impact of ambient temperature on HCD. Three components of this impact are taken into account. First, variations in temperature perturb carrier transport. Second, the thermal component of Si-H bond rupture becomes more prominent at elevated temperatures. Third, vibrational lifetime of the bond decreases with temperature. While the first and the third mechanisms impede HCD, the second one accelerates this detrimental phenomenon. The aforementioned mechanisms are consolidated in our extended CPM, which was verified against experimental data acquired from foundry quality n-channel transistors with a gate length of 28 nm. For model validation, we use experimental data recorded using four combinations of gate and drain voltages and across a broad temperature range of 150–300 K. We demonstrate that the extended CPM is capable of reproducing measured degradation ΔId,lin(t) (normalized change of the linear drain current with stress time) traces with good accuracy over a broad temperature range. Full article
(This article belongs to the Special Issue Reliability Issues in Advanced Transistor Nodes, Second Edition)
Show Figures

Figure 1

10 pages, 2882 KB  
Article
AI-Assisted Composite Etch Model for MPT
by Yanbin Gong, Fengsheng Zhao, Devin Sima, Wenzhang Li, Yingxiong Guo, Cheming Hu and Shengrui Zhang
Micromachines 2025, 16(12), 1410; https://doi.org/10.3390/mi16121410 - 15 Dec 2025
Viewed by 317
Abstract
For advanced semiconductor nodes, the demand for high-precision patterning of complex foundry circuits drives the widespread use of Lithography-Etch-Lithography-Etch (LELE)—a key Multiple Patterning Technology (MPT)—in Deep Ultraviolet (DUV) processes. However, the interaction between LELE’s two Lithography-Etch (LE) cycles makes it very challenging to [...] Read more.
For advanced semiconductor nodes, the demand for high-precision patterning of complex foundry circuits drives the widespread use of Lithography-Etch-Lithography-Etch (LELE)—a key Multiple Patterning Technology (MPT)—in Deep Ultraviolet (DUV) processes. However, the interaction between LELE’s two Lithography-Etch (LE) cycles makes it very challenging to build a model for etching contour simulation and hotspot detection. This study presents an Artificial Intelligence (AI)-assisted composite etch model to capture inter-LE interactions, which directly outputs the final post-LELE etch contour, enabling Etch Rule Check (ERC)-based simulation detection of After Etch Inspection (AEI) hotspots. In addition, the etch model proposed in this study can also predict the etch bias of different types of pattern (especially complex two-dimensional (2D) patterns), thereby enabling auto retargeting for After Develop Inspection (ADI) target generation. In the future, the framework of this composite model can be adapted to the Self-Aligned Reverse Patterning (SARP) + Cut process to address more complex MPT challenges. Full article
(This article belongs to the Special Issue Recent Advances in Lithography)
Show Figures

Figure 1

13 pages, 3501 KB  
Article
Channel-Free Micro-Well–Template-Assisted Magnetic Particle Trapping for Efficient Single-Particle Isolation
by Jin-Yeong Park, Kyeong-Taek Nam, Young-Ho Nam, Yong-Kweon Kim, Seung-Ki Lee and Jae-Hyoung Park
Micromachines 2025, 16(12), 1397; https://doi.org/10.3390/mi16121397 - 11 Dec 2025
Viewed by 504
Abstract
This study presents a channel-free, micro-well–template-assisted magnetic particle trapping method for efficient single-particle isolation without the need for microfluidic channels. Dual-surface silicon micro-well arrays were fabricated using photolithography, PE-CVD, and DRIE processes, featuring hydrophilic well interiors and hydrophobic outer surfaces to enhance trapping [...] Read more.
This study presents a channel-free, micro-well–template-assisted magnetic particle trapping method for efficient single-particle isolation without the need for microfluidic channels. Dual-surface silicon micro-well arrays were fabricated using photolithography, PE-CVD, and DRIE processes, featuring hydrophilic well interiors and hydrophobic outer surfaces to enhance trapping performance. The proposed method combines magnet-assisted sedimentation with rotational sweeping of a glass slide placed above the micro-well array, enabling rapid and uniform particle confinement within a 250 × 250 well array. Experimental results showed that the trapping efficiency increased with the well width and depth, achieving over 93.8% within three trapping cycles for optimized structures. High single-particle occupancy was obtained for wells of comparable size to the particle diameter, while deeper wells enabled stable trapping with minimal loss. The entire trapping process was completed within five minutes per cycle, demonstrating a rapid, simple, and scalable approach applicable to digital immunoassay systems for ultrasensitive biomolecule detection. Full article
(This article belongs to the Special Issue Microfluidics in Biomedical Research)
Show Figures

Figure 1

9 pages, 633 KB  
Proceeding Paper
Potential Use of Metallurgical and Foundry By-Products in High-Strength Concrete
by Piotr Zubek, Vojtěch Václavík, Jiří Šafrata, Marek Džupin, Adriana Eštoková, Martin Jaš and Tomáš Dvorský
Eng. Proc. 2025, 116(1), 34; https://doi.org/10.3390/engproc2025116034 - 9 Dec 2025
Viewed by 132
Abstract
This article deals with the potential use of by-products from Třinecké železárny company—namely steelworks slag and spent foundry sand (SFS)—as an alternative to natural aggregate in the production of high-strength concrete. The aim of the study was to design and experimentally verify two [...] Read more.
This article deals with the potential use of by-products from Třinecké železárny company—namely steelworks slag and spent foundry sand (SFS)—as an alternative to natural aggregate in the production of high-strength concrete. The aim of the study was to design and experimentally verify two concrete mixtures. For the first mixture (Mixture 1), natural aggregate was fully replaced by steelworks slag. For the second mixture (Mixture 2), the replacement was made by a combination of steelworks slag and SFS in the same volume ratio. The results have shown that Mixture 1 achieved a strength class of C70/85 and was classified as high-strength concrete. In contrast, Mixture 2, despite optimization of the composition, only achieved a strength class of C35/40, which does not allow for its classification as high-strength concrete. Full article
Show Figures

Figure 1

29 pages, 2940 KB  
Article
Aluminum Spent Foundry Sand as an Emergent Raw Material in the Production of a Sustainable Aluminosilicate Refractory Castable
by Jesús Fernando López-Perales, Leonel Díaz-Tato, Yadira González-Carranza, José Eulalio Contreras de León, Cristian Gómez-Rodríguez, Daniel Fernández-González and Edén Amaral Rodríguez-Castellanos
Materials 2025, 18(24), 5500; https://doi.org/10.3390/ma18245500 - 7 Dec 2025
Viewed by 458
Abstract
Metal casting industries generate substantial quantities of spent foundry sand (SFS), a silica- and alumina-rich by-product that remains underutilized, with recycling rates below 30%. This study explores the incorporation of aluminum SFS as a secondary raw material in aluminosilicate refractory castables to promote [...] Read more.
Metal casting industries generate substantial quantities of spent foundry sand (SFS), a silica- and alumina-rich by-product that remains underutilized, with recycling rates below 30%. This study explores the incorporation of aluminum SFS as a secondary raw material in aluminosilicate refractory castables to promote sustainable waste valorization and circular economy practices. Refractory mixtures were prepared with bauxite, kyanite, calcium aluminate cement, microsilica, and flint clay, where fine flint clay was partially replaced by aluminum SFS at 0, 5, 10, and 15 wt.%. Samples were dried at 120 °C and sintered at 850, 1050, and 1400 °C for 4 h. Bulk density, apparent porosity, cold crushing strength, and modulus of rupture were measured, while phase and microstructural evolution were examined by XRD and SEM. The 5 wt.% SFS-containing castable exhibited comparable strength and density to the reference formulation, attributed to the formation of secondary mullite and anorthite that improved matrix cohesion. Higher SFS contents (10–15 wt.%) increased porosity and reduced strength due to excess SiO2 and silica polymorphism. These results demonstrate the technical feasibility of using aluminum SFS in refractory castables, contributing to resource conservation, waste reduction, and the development of environmentally sustainable refractory materials for high-temperature applications. Full article
Show Figures

Graphical abstract

13 pages, 3426 KB  
Article
High-Temperature Properties of an Equimolar CoNiFeCr Medium-Entropy Alloy with Added Titanium
by Patrice Berthod, Siouare Hammi, Lionel Aranda and Christophe Rapin
Micro 2025, 5(4), 57; https://doi.org/10.3390/micro5040057 - 6 Dec 2025
Viewed by 179
Abstract
This study investigates the effects of Ti addition on the microstructures, melting temperature ranges, thermal expansion behavior, high-temperature creep and oxidation resistances of an equimolar CoNiFeCr alloy of a foundry origin. The addition of 1.5 wt.% Ti does not really change the single-phase [...] Read more.
This study investigates the effects of Ti addition on the microstructures, melting temperature ranges, thermal expansion behavior, high-temperature creep and oxidation resistances of an equimolar CoNiFeCr alloy of a foundry origin. The addition of 1.5 wt.% Ti does not really change the single-phase state of the reference quaternary alloy but induces a significant decrease in the melting start and melting end temperatures. The thermal expansion coefficient is slightly lowered. The creep resistance at 1100 °C is significantly enhanced. The oxidation at 1200 °C is controlled by species diffusion through a continuous chromia layer. The parabolic constant is higher than for the quaternary alloy, due to external and internal Ti oxidation. The presence of a thin layer of titanium oxide covering the chromia scale is suspected to limit chromia volatilization and the scale spallation at cooling. Globally, Ti demonstrated the beneficial influence of the high-temperature properties of the alloy. Full article
Show Figures

Figure 1

20 pages, 3834 KB  
Article
SnO2 Nanoparticles for Sensing and Bone Regeneration Application: Wet-Chemical and Plant-Based Green Synthesis, Spectroscopic Characterization, Photocatalytic, and SERS Activities
by Edyta Proniewicz, Olga Surma, Marta Gajewska and Marcin Molenda
Nanomaterials 2025, 15(24), 1839; https://doi.org/10.3390/nano15241839 - 5 Dec 2025
Viewed by 535
Abstract
This study presents the synthesis and comprehensive characterization of tin dioxide nanoparticles (SnO2NPs). SnO2NPs were obtained using a conventional wet-chemistry route and an environmentally friendly green-chemistry approach employing plant extracts from rooibos leaves (Aspalathus linearis), pomegranate seeds [...] Read more.
This study presents the synthesis and comprehensive characterization of tin dioxide nanoparticles (SnO2NPs). SnO2NPs were obtained using a conventional wet-chemistry route and an environmentally friendly green-chemistry approach employing plant extracts from rooibos leaves (Aspalathus linearis), pomegranate seeds (Punica granatum), and kiwifruit peels (family Actinidiaceae). The thermal stability and decomposition profiles were analyzed by thermogravimetric analysis (TGA), while their structural and physicochemical properties were investigated using X-ray diffraction (XRD), energy-dispersive X-ray spectroscopy (EDS), ultraviolet–visible (UV–Vis) spectroscopy, dynamic light scattering (DLS), Raman spectroscopy, and attenuated total reflectance Fourier-transform infrared (ATR-FTIR) spectroscopy. Transmission electron microscopy (TEM) confirmed the nanoscale morphology and uniformity of the obtained particles. The photocatalytic activity of SnO2NPs was evaluated via the degradation of methyl orange (MeO) under UV irradiation, revealing that nanoparticles synthesized using rooibos extract exhibited the highest efficiency (68% degradation within 180 min). Furthermore, surface-enhanced Raman scattering (SERS) spectroscopy was employed to study the adsorption behavior of L-phenylalanine (L-Phe) on the SnO2NP surface. To the best of our knowledge, this is the first report demonstrating the use of pure SnO2 nanoparticles as SERS substrates for biologically active, low-symmetry molecules. The calculated enhancement factor (EF) reached up to two orders of magnitude (102), comparable to other transition metal-based nanostructures. These findings highlight the potential of SnO2NPs as multifunctional materials for biomedical and sensing applications, bridging nanotechnology and regenerative medicine. Full article
(This article belongs to the Section Biology and Medicines)
Show Figures

Figure 1

21 pages, 11427 KB  
Article
The Effect of Heat Treatment on the Abrasive Wear Resistance of Boron-Alloyed Armor Steel Welded Joints
by Martyna Zemlik, Beata Białobrzeska, Mateusz Stachowicz and Łukasz Konat
Appl. Sci. 2025, 15(24), 12860; https://doi.org/10.3390/app152412860 - 5 Dec 2025
Viewed by 323
Abstract
As a result of welding processes in boron-alloyed martensitic armor steels, unfavorable microstructural changes occur, leading to a significant reduction in the mechanical properties of both the weld metal and the base material. The dendritic structure of the weld metal and the partial [...] Read more.
As a result of welding processes in boron-alloyed martensitic armor steels, unfavorable microstructural changes occur, leading to a significant reduction in the mechanical properties of both the weld metal and the base material. The dendritic structure of the weld metal and the partial tempering in the heat-affected zone contribute to the decreased durability of structural components, thereby deteriorating their performance. This issue is particularly important since such steels are widely used not only in the defense industry but also in the mining, construction, transportation, and metallurgical sectors, where they operate under conditions of intensive abrasive wear. For this reason, the authors attempted to improve the mechanical properties of welded joints of boron-alloyed martensitic armor steel (with a nominal hardness of 500 HBW) through post-weld heat treatment. The welded joint was evaluated based on metallographic examinations using light microscopy and scanning electron microscopy, as well as abrasive wear tests carried out on a T-07 tribotester. The conducted investigations demonstrated that, under loose abrasive conditions (using electrofused alumina), heat treatment increased the wear resistance of the joints by 55% compared to the as-welded condition. The obtained results were compared with selected grades of Hardox steel commonly used in industrial applications. Full article
(This article belongs to the Special Issue Advanced Welding Technology and Its Applications)
Show Figures

Figure 1

24 pages, 7231 KB  
Article
UV Light-Curable Epoxy Coatings with Natural Plant-Based Fillers—Evaluation of Antibacterial and Functional Properties
by Wojciech Żyłka, Barbara Pilch-Pitera, Katarzyna Krawczyk, Ewa Ciszkowicz, Beata Grabowska and Artur Bobrowski
Materials 2025, 18(23), 5464; https://doi.org/10.3390/ma18235464 - 4 Dec 2025
Viewed by 414
Abstract
This article presents the results of research on UV-curable epoxy coatings developed with selected plant modifiers such as garlic (Allium sativum), turmeric (Curcuma longa), common nettle (Urtica dioica), and privet (Ligustrum vulgare). This study aimed [...] Read more.
This article presents the results of research on UV-curable epoxy coatings developed with selected plant modifiers such as garlic (Allium sativum), turmeric (Curcuma longa), common nettle (Urtica dioica), and privet (Ligustrum vulgare). This study aimed to evaluate the influence of these natural components on the functional properties of UV-cured coatings and to assess their potential as bio-based modifiers. The coatings were formulated using Epidian® 5 epoxy resin, a safe and non-toxic material approved for food-contact applications, and cured with a commercial cationic photoinitiator. Their mechanical, surface, optical, and antibacterial properties were investigated. The results showed that all plant-based additives modified both the mechanical and esthetic characteristics of the coatings; however, garlic demonstrated outstanding antibacterial activity, achieving nearly complete inhibition of Staphylococcus aureus growth with a reduction rate of 99.998%. These findings highlight that natural modifiers, especially garlic, can serve as highly effective functional components, while future work should focus on implementing these coatings for surfaces exposed to bacteria, such as public utility items and shop, hospital, sports, and rehabilitation equipment. Full article
Show Figures

Graphical abstract

14 pages, 6496 KB  
Article
Thermodynamic and Experimental Analysis of the Selective Reduction of Iron by Hydrogen from the Kergetas Iron–Manganese Ore
by Nurlybai Kosdauletov, Bakyt Suleimen, Galymzhan Adilov, Assylbek Nurumgaliyev, Bauyrzhan Kelamanov, Yerbol Kuatbay, Talgat Zhunuskaliyev, Gulzat Bulekova, Semen Salikhov and Assylbek Abdirashit
Metals 2025, 15(12), 1330; https://doi.org/10.3390/met15121330 - 2 Dec 2025
Viewed by 297
Abstract
Thermodynamic modeling combined with experimental reduction tests was conducted to investigate the selective reduction behavior of iron-manganese ore using hydrogen gas at 800–900 °C. The results reveal that hydrogen reduction at a flow rate of 0.5 L/min promotes the stepwise transformation of iron [...] Read more.
Thermodynamic modeling combined with experimental reduction tests was conducted to investigate the selective reduction behavior of iron-manganese ore using hydrogen gas at 800–900 °C. The results reveal that hydrogen reduction at a flow rate of 0.5 L/min promotes the stepwise transformation of iron oxides (Fe2O3 → Fe3O4 → FeO → Fe), accompanied by the decomposition of the intermediate spinel phase Fe2MnO4, resulting in the formation of metallic iron. In contrast, the reduction of MnO to metallic manganese is thermodynamically unfavorable (ΔG > 0), limiting the extent of manganese reduction. Experimental findings confirm the formation of metallic iron inclusions enriched in Fe, while manganese predominantly remains in the form of MnO and silicate-associated oxides. X-ray diffraction analysis of reduced samples shows a decrease in Fe3O4 and Fe2MnO4 phases with increasing reduction degree and indicates the growth of metallic Fe particles with rising temperature. These results demonstrate that hydrogen enables controlled and selective reduction of iron with minimal manganese conversion, providing a promising route for subsequent efficient magnetic separation of metallic and oxide phases following reduction roasting. Full article
Show Figures

Figure 1

Back to TopTop