UV Light-Curable Epoxy Coatings with Natural Plant-Based Fillers—Evaluation of Antibacterial and Functional Properties
Abstract
1. Introduction
2. Materials and Methods
- L*—lightness (0 = black, 100 = white);
- a*—green-red axis (− = green, + = red);
- b*—blue-yellow axis (− = blue, + = yellow).
3. Results
3.1. Fillers Characterization
3.1.1. Light Stability
3.1.2. Thermal Stability
3.2. Coatings Characterization
3.2.1. Chemical Structure Characterization of the Coatings
3.2.2. Surface Roughness
3.2.3. Scratch Resistance
3.2.4. Cross-Cut Test
3.2.5. Kӧnig Pendulum Hardness
3.2.6. Gloss
3.2.7. Color
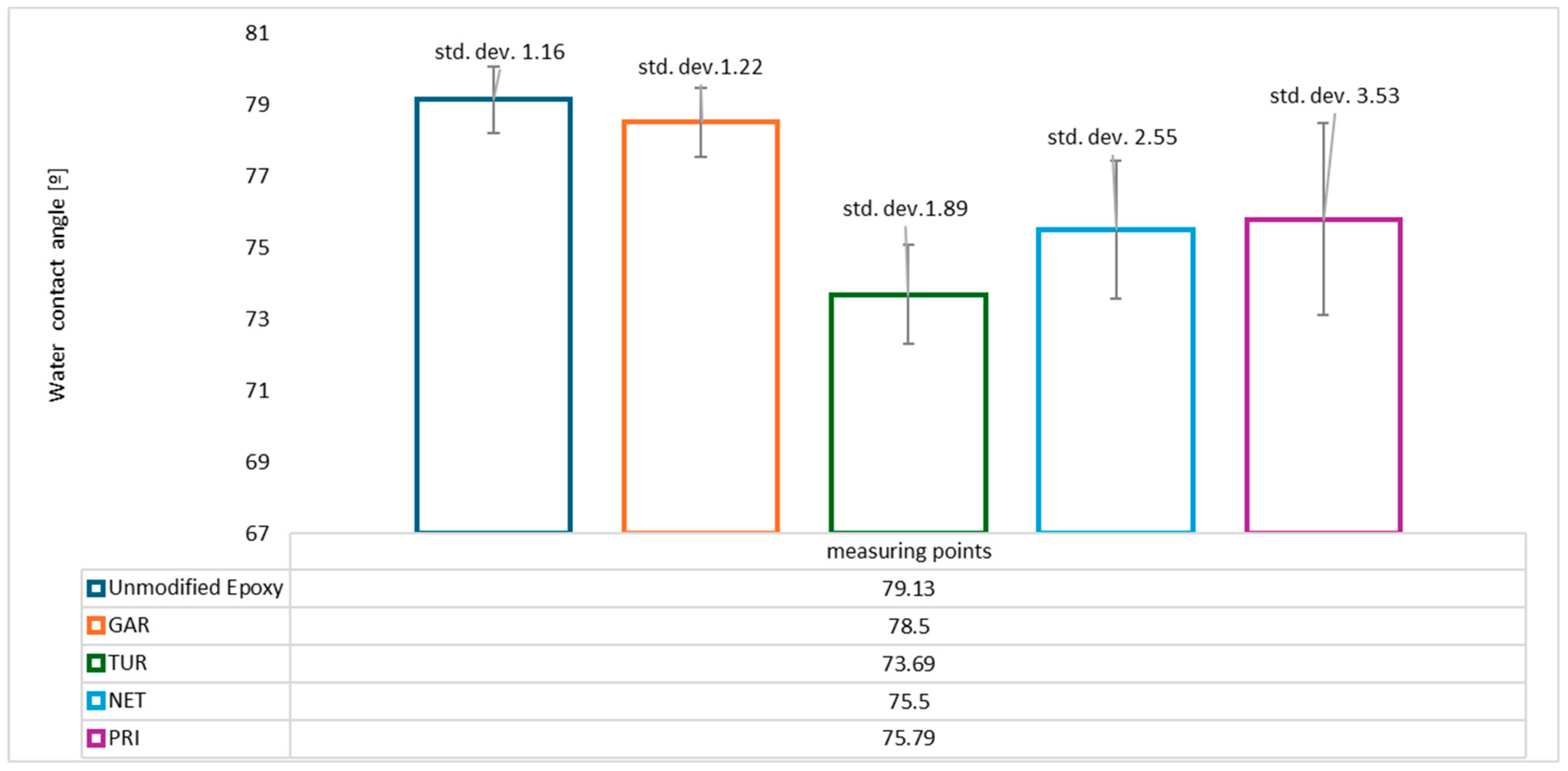
3.2.8. Contact Angle Measurements
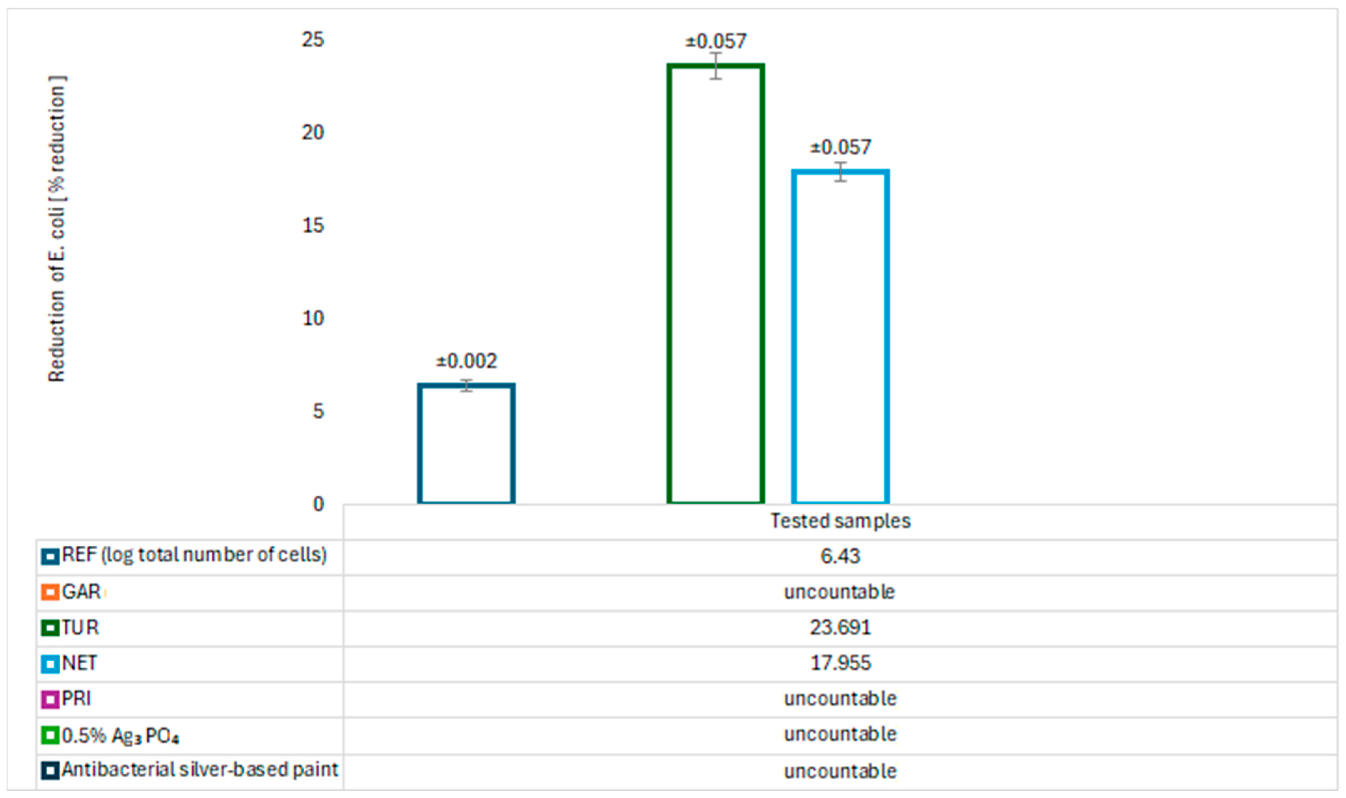
3.2.9. Assessment of Antimicrobial Activity
3.2.10. Scanning Kelvin Probe Measurements
4. Conclusions
Author Contributions
Funding
Institutional Review Board Statement
Informed Consent Statement
Data Availability Statement
Conflicts of Interest
References
- Pezzana, L.; Malmström, E.; Johansson, M.; Sangermano, M. UV-curable bio-based polymers derived from industrial pulp and paper processes. Polymers 2021, 13, 1530. [Google Scholar] [CrossRef]
- Pojnar, K.; Pilch-Pitera, B.; Kisiel, M.; Zioło, A.; Kędzierski, M. UV-cured powder transparent coatings based on oligo(meth)acrylic resins. Polimery 2024, 69, 11–24. [Google Scholar] [CrossRef]
- Czachor-Jadacka, D.; Pilch-Pitera, B. Progress in development of UV curable powder coatings. Prog. Org. Coat. 2021, 158, 106355. [Google Scholar] [CrossRef]
- Decker, C. Photoinitiated crosslinking polymerisation. Prog. Polym. Sci. 1996, 21, 593–650. [Google Scholar] [CrossRef]
- Zubielewicz, M.; Kaminska-Tarnawska, E. Pigmenty i Wypełniacze. Wpływ Upakowania Fazy Stałej na Właściwości Wyrobów Lakierowych; Łukasiewicz Research Network; Institute for Engineering of Polymer Materials and Dyes: Toruń, Poland, 2013; ISBN 978-83-63555-22-1. [Google Scholar]
- Belgacem, M.N.; Gandini, A. (Eds.) Monomers, Polymers and Composites from Renewable Resources; Elsevier: Oxford, UK, 2008; ISBN 978-0-08-045316-3. [Google Scholar]
- Goktas, O.; Bozkaya, Y.T.; Yeniocak, M. The use of herbal extracts in lacquer paint colouring and determination of some mechanical resistance properties on wood-based surfaces. Maderas Cienc. Tecnol. 2023, 25, e3123. [Google Scholar] [CrossRef]
- Li, J.; Sun, H.; Weng, Y. Natural extracts and their applications in polymer-based active packaging. Polymers 2024, 16, 625. [Google Scholar] [CrossRef] [PubMed]
- Castro, M.C.R.; Rodrigues, P.V.; Cruz, V.; Machado, A.V. A new approach in PLA/TPS compatibilization using garlic oil: Effect on morphological and antioxidant properties. Antioxidants 2024, 13, 1589. [Google Scholar] [CrossRef] [PubMed]
- Flores-Hernández, C.G.; López-Barroso, J.; Salazar-Cruz, B.A.; Saucedo-Rivalcoba, V.; Almendarez-Camarillo, A.; Rivera-Armenta, J.L. Evaluation of starch–garlic husk polymeric composites. Polymers 2024, 16, 289. [Google Scholar] [CrossRef] [PubMed]
- Moghadamtousi, S.Z.; Abdul, K.H.; Hassandarvish, P.; Tajik, H.; Abubakar, S.; Zandi, K. A review on antibacterial, antiviral, and antifungal activity of curcumin. BioMed Res. Int. 2014, 2014, 186864. [Google Scholar] [CrossRef]
- Dhouibi, R.; Affes, H.; Ben, S.M.; Hammami, S.; Sahnoun, Z.; Zeghal, K.M.; Ksouda, K. Screening of pharmacological uses of Urtica dioica and other benefits. Prog. Biophys. Mol. Biol. 2020, 150, 67–77. [Google Scholar] [CrossRef]
- Đurović, S.; Kojić, I.; Radić, D.; Smyatskaya, Y.A.; Bazarnova, J.G.; Filip, S.; Tosti, T. Chemical constituents of stinging nettle (Urtica dioica L.): A comprehensive review on phenolic and polyphenolic compounds and their bioactivity. Int. J. Mol. Sci. 2024, 25, 3430. [Google Scholar] [CrossRef]
- Ankri, S.; Mirelman, D. Antimicrobial properties of allicin from garlic. Microbes Infect. 1999, 1, 125–129. [Google Scholar] [CrossRef]
- Pilch-Pitera, B.; Krawczyk, K.; Kędzierski, M.; Pojnar, K.; Lehmann, H.; Czachor-Jadacka, D.; Bieniek, K.; Hilt, M. Antimicrobial Powder Coatings Based on Environmentally Friendly Biocides. ACS Sustain. Chem. Eng. 2024, 12, 10325–10339. [Google Scholar] [CrossRef]
- Xia, Y.; Quirino, R.L.; Larock, R.C. Bio-based Thermosetting Polymers from Vegetable Oils. J. Renew. Mater. 2013, 1, 3–27. [Google Scholar] [CrossRef]
- Patil, R.S.; Thomas, J.; Patil, M.; John, J. To shed light on the UV curable coating technology: Current state of the art and perspectives. J. Compos. Sci. 2023, 7, 513. [Google Scholar] [CrossRef]
- Czachor-Jadacka, D.; Biller, K.; Pilch-Pitera, B. Recent development advances in bio-based powder coatings: A review. J. Coat. Technol. Res. 2024, 21, 435–444. [Google Scholar] [CrossRef]
- Żyłka, M.; Żyłka, W.; Szczerba, Z.; Biskup, M. An original system for controlling the speed of movement of pneumatic drives in rehabilitation devices. Adv. Sci. Technol. Res. J. 2023, 17, 81–88. [Google Scholar] [CrossRef] [PubMed]
- Żyłka, M.; Żyłka, W.; Klukowski, K. Technical solutions enabling the physical training of astronauts during long-term stays at space stations. Adv. Sci. Technol. Res. J. 2023, 17, 270–279. [Google Scholar] [CrossRef] [PubMed]
- Żyłka, M.I.; Szczerba, Z.; Szczerba, K. Experimental research on the velocity of two pneumatic drives with an element for concurrent motion. Adv. Sci. Technol. Res. J. 2022, 16, 81–88. [Google Scholar] [CrossRef]
- PN-EN ISO 12085:1999; Profile Method—Motifs Parameters. Polish Committee for Standardization (PKN): Warsaw, Poland, 1999.
- PN-EN ISO 1518-1:2019; Paints and Varnishes—Scratch Hardness Tests—Part 1: Constant-Loading Method. Polish Committee for Standardization (PKN): Warsaw, Poland, 2019.
- PN-EN ISO 2409:2022; Paints and Varnishes—Cross-Cut Test. Polish Committee for Standardization (PKN): Warsaw, Poland, 2022.
- PN-EN ISO 1522:2011; Paints and Varnishes—Pendulum Damping Test. Polish Committee for Standardization (PKN): Warsaw, Poland, 2011.
- PN-EN ISO 2813:2014; Paints and Varnishes—Determination of Gloss Value at 20°, 60° and 85°. Polish Committee for Standardization (PKN): Warsaw, Poland, 2014.
- PN-EN ISO 2808:2019; Paints and Varnishes—Determination of Film Thickness. Polish Committee for Standardization (PKN): Warsaw, Poland, 2019.
- PN-ISO 7724:2003; Paints and Varnishes—Colorimetry Part 1: Principles; Part 2: Colour Measurement. Polish Committee for Standardization (PKN): Warsaw, Poland, 2003.
- EN 828:2000; Adhesives—Wettability—Determination by Measurement of Contact Angle and Surface Free Energy of Solid Surface. iTeh: Newark, DE, USA, 2000.
- Owens, D.K.; Wendt, R.C. Estimation of the surface free energy of polymers. J. Appl. Polym. Sci. 1969, 13, 1741–1747. [Google Scholar] [CrossRef]
- ISO 22196:2011; Measurement of Antibacterial Activity on Plastics and Other Non-Porous Surfaces. International Organization for Standardization: Geneva, Switzerland, 2011.
- Reddy, J.P.; Rhim, J.-W. Extraction and Characterization of Cellulose Microfibers from Agricultural Wastes of Onion and Garlic. J. Nat. Fibers 2018, 15, 465–473. [Google Scholar] [CrossRef]
- Zhou, S.; Yan, X.; Qiao, X.; Qiu, Z.; Zhu, W.; Lu, X.; Zheng, Z.; Zhang, B. Evaluate the stability of synthesized allicin and its reactivity with endogenous compounds in garlic. npj Sci. Food 2025, 9, 18. [Google Scholar] [CrossRef]
- Büyükkaya, K. Examining the Physical and Thermal Properties of Nettle Fibers Obtained from Different Genetic Sources and Determining Their Usability as Reinforcement Materials in Composites. J. Nat. Fibers 2025, 22, 2519609. [Google Scholar] [CrossRef]
- Delgado, A.; Ciro-Velásquez, H.; Restrepo, M.D. Thermal and thermodynamic characterization of a dye powder from liquid turmeric extracts by spray drying. Rev. Fac. Nac. Agron. 2015, 69, 7845–7854. [Google Scholar] [CrossRef]
- Mitchell, J.; Lockaby, G.; Brantley, E. Influence of Chinese Privet (Ligustrum sinense) on decomposition and nutrient availability in riparian forests. Invasive Plant Sci. Manag. 2011, 4, 437–447. [Google Scholar] [CrossRef]
- Kowalczyk, K.; Kowalczyk, A. Influence of cationic photoinitiator type on properties of coating materials based on cycloaliphatic and glycidyl epoxy resins. Prog. Org. Coat. 2017, 112, 1–8. [Google Scholar] [CrossRef]
- Abbasian, A.; Ekbatani, S. Resin migration tracking via real-time monitoring FTIR-ATR in a self-stratifying system. Prog. Org. Coat. 2019, 131, 159–164. [Google Scholar] [CrossRef]
- Nikolic, G.; Zlatkovic, S.; Cakic, M.; Cakic, S.; Lacnjevac, C.; Rajic, Z. Fast Fourier Transform IR Characterization of Epoxy GY Systems Crosslinked with Aliphatic and Cycloaliphatic EH Polyamine Adducts. Sensors 2010, 10, 684–696. [Google Scholar] [CrossRef]
- Qualicoat. Specifications for a Quality Label for Liquid and Powder Organic Coatings on Aluminium for Architectural Applications, 20th ed.; Qualicoat: Zurich, Switzerland, 2023. [Google Scholar]
- Pilch-Pitera, B. Polyurethane powder coatings containing polysiloxane. Prog. Org. Coat. 2014, 77, 1653–1662. [Google Scholar] [CrossRef]
- Zhang, J.; Xu, B.; Zhang, P.; Cai, M.; Li, B. Effects of surface roughness on wettability and surface energy of coal. Front. Earth Sci. 2023, 10, 1054896. [Google Scholar] [CrossRef]
- Kittu, A.; Bulut, R.; Puckette, J. Effects of Surface Roughness on Contact Angle Measurements on a Limestone Aggregate. Geotech. Spec. Publ. 2014, 1–8. [Google Scholar] [CrossRef]
- Razavifar, M.; Abdi, A.; Nikooee, E.; Aghili, O.; Riazi, M. Quantifying the impact of surface roughness on contact angle dynamics under varying conditions. Sci. Rep. 2025, 15, 16611. [Google Scholar] [CrossRef] [PubMed]

























| Component/ Symbol of Coating | Epoxy Resin, wt.% | Photoinitiator wt.% | GAR wt.% | TUR wt.% | NET wt.% | PRI wt.% |
|---|---|---|---|---|---|---|
| REF (EP) | 98.0 | 2.0 | - | - | - | - |
| GAR | 93.0 | 2.0 | 5.0 | - | - | - |
| TUR | 93.0 | 2.0 | - | 5.0 | - | - |
| NET | 93.0 | 2.0 | - | - | 5.0 | - |
| PRI | 93.0 | 2.0 | - | - | 5.0 |
| GAR | |||
|---|---|---|---|
| Parameter | Before Weathering | After Weathering | Δ (Before − After) |
| L* | 72.13 | 73.43 | 1.30 |
| a* | 7.82 | 8.11 | 0.29 |
| b* | 24.77 | 23.20 | 1.57 |
| ΔE* = 2.06 | |||
| TUR | |||
|---|---|---|---|
| Parameter | Before Weathering | After Weathering | Δ (Before − After) |
| L* | 52.70 | 57.37 | 0.33 |
| a* | 24.78 | 21.28 | 3.50 |
| b* | 51.96 | 42.70 | 9.26 |
| ΔE* = 9.90 | |||
| NET | |||
|---|---|---|---|
| Parameter | Before Weathering | After Weathering | Δ (Before − After) |
| L* | 42.10 | 48.37 | 6.27 |
| a* | −3.31 | −1.42 | 1.89 |
| b* | 18.48 | 16.88 | 1.60 |
| ΔE* = 6.74 | |||
| PRI | |||
|---|---|---|---|
| Parameter | Before Weathering | After Weathering | Δ (Before − After) |
| L* | 50.06 | 54.60 | 4.54 |
| a* | −4.02 | −2.24 | 1.78 |
| b* | 22.73 | 15.31 | 7.42 |
| ΔE* = 8.88 | |||
| Filler Symbol | Decomposition Temperature Ranges [°C]/wt.% Loss | DTG Max [°C] | Total wt.% Loss at 600 °C |
|---|---|---|---|
| GAR | 25–150/6 | 100 | 71.8 |
| 150–270/36 | 225 | ||
| 270–600/29.8 | 315 | ||
| TUR | 25–190/7 | 90 | 70.9 |
| 190–600/63.9 | 290 | ||
| NET | 25–165/7 | 70 | 64.2 |
| 165–600/57.2 | 310 | ||
| PRI | 25–140/6 | 80 | 75.2 |
| 140–600/69.2 | 310 |
| Sample | ISO Class [24] | Evaluation Description |
|---|---|---|
| Neat | 0 | No coating damage |
| GAR | 0 | No coating damage |
| TUR | 3 | Squares partly or fully damaged, 15–35% coating detachment |
| NET | 3 | Squares partly or fully damaged, 15–35% coating detachment |
| PRI | 0 | No coating damage |
| GAR | |||
|---|---|---|---|
| Parameter | Standard | Sample Garlic | Δ (Sample − Standard) |
| L* | 39.67 | 46.52 | 0.02 |
| a* | 0.06 | 0.08 | −0.02 |
| b* | 0.56 | 2.04 | 0.04 |
| ΔE* = 0.05 | |||
| TUR | |||
|---|---|---|---|
| Parameter | Standard | Sample Curcuma | Δ (Sample − Standard) |
| L* | 39.67 | 33.56 | 6.27 |
| a* | 0.06 | 0.37 | −0.31 |
| b* | 0.56 | 7.37 | −6.81 |
| ΔE* = 9.26 | |||
| NET | |||
|---|---|---|---|
| Parameter | Standard | Sample Urica Dioica | Δ (Sample − Standard) |
| L* | 39.67 | 38.18 | 1.31 |
| a* | 0.06 | −2.15 | 2.2 |
| b* | 0.56 | 6.91 | −6.35 |
| ΔE* = 6.85 | |||
| PRI | |||
|---|---|---|---|
| Parameter | Standard | Sample Ligustrum | Δ (Sample − Standard) |
| L* | 39.67 | 36.78 | 2.89 |
| a* | 0.06 | −3.76 | 3.82 |
| b* | 0.56 | 14.82 | −14.26 |
| ΔE* = 15.04 | |||
Disclaimer/Publisher’s Note: The statements, opinions and data contained in all publications are solely those of the individual author(s) and contributor(s) and not of MDPI and/or the editor(s). MDPI and/or the editor(s) disclaim responsibility for any injury to people or property resulting from any ideas, methods, instructions or products referred to in the content. |
© 2025 by the authors. Licensee MDPI, Basel, Switzerland. This article is an open access article distributed under the terms and conditions of the Creative Commons Attribution (CC BY) license (https://creativecommons.org/licenses/by/4.0/).
Share and Cite
Żyłka, W.; Pilch-Pitera, B.; Krawczyk, K.; Ciszkowicz, E.; Grabowska, B.; Bobrowski, A. UV Light-Curable Epoxy Coatings with Natural Plant-Based Fillers—Evaluation of Antibacterial and Functional Properties. Materials 2025, 18, 5464. https://doi.org/10.3390/ma18235464
Żyłka W, Pilch-Pitera B, Krawczyk K, Ciszkowicz E, Grabowska B, Bobrowski A. UV Light-Curable Epoxy Coatings with Natural Plant-Based Fillers—Evaluation of Antibacterial and Functional Properties. Materials. 2025; 18(23):5464. https://doi.org/10.3390/ma18235464
Chicago/Turabian StyleŻyłka, Wojciech, Barbara Pilch-Pitera, Katarzyna Krawczyk, Ewa Ciszkowicz, Beata Grabowska, and Artur Bobrowski. 2025. "UV Light-Curable Epoxy Coatings with Natural Plant-Based Fillers—Evaluation of Antibacterial and Functional Properties" Materials 18, no. 23: 5464. https://doi.org/10.3390/ma18235464
APA StyleŻyłka, W., Pilch-Pitera, B., Krawczyk, K., Ciszkowicz, E., Grabowska, B., & Bobrowski, A. (2025). UV Light-Curable Epoxy Coatings with Natural Plant-Based Fillers—Evaluation of Antibacterial and Functional Properties. Materials, 18(23), 5464. https://doi.org/10.3390/ma18235464

