Upgrading of Wash Oil through Reduction of Nitrogen-Containing Compounds
Abstract
1. Introduction
2. Materials and Experimental Methods
2.1. Materials
2.2. Experimental Method
2.3. Material Systems and Experimental Conditions
3. Results and Discussion
3.1. Gas Chromatogram of Wash Oil
3.2. Batch Equilibrium Extraction
3.2.1. Definition Equation
3.2.2. Review of Mass Balance and Reproducibility
3.2.3. Confirmation of Equilibrium Arrival Time
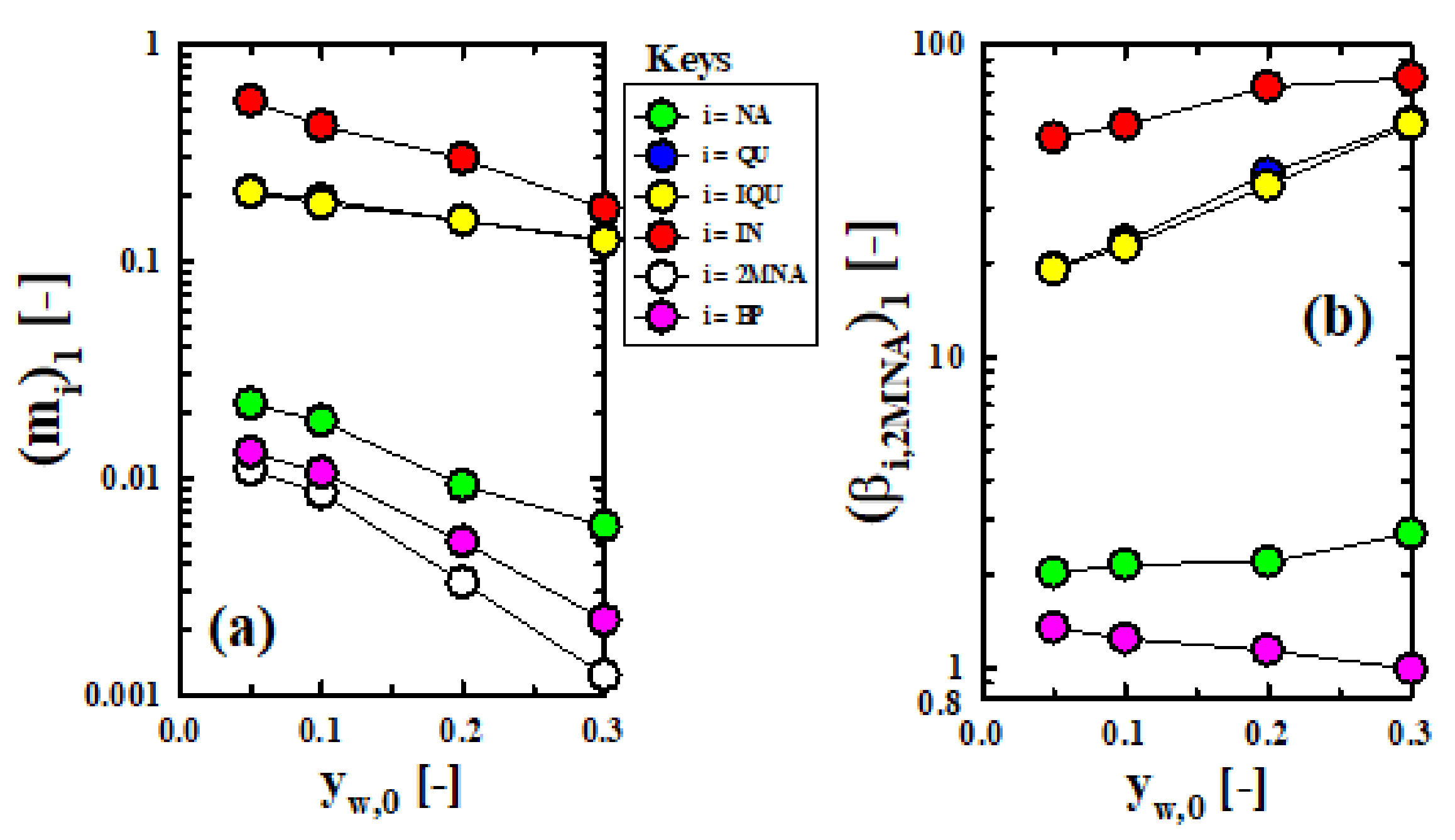
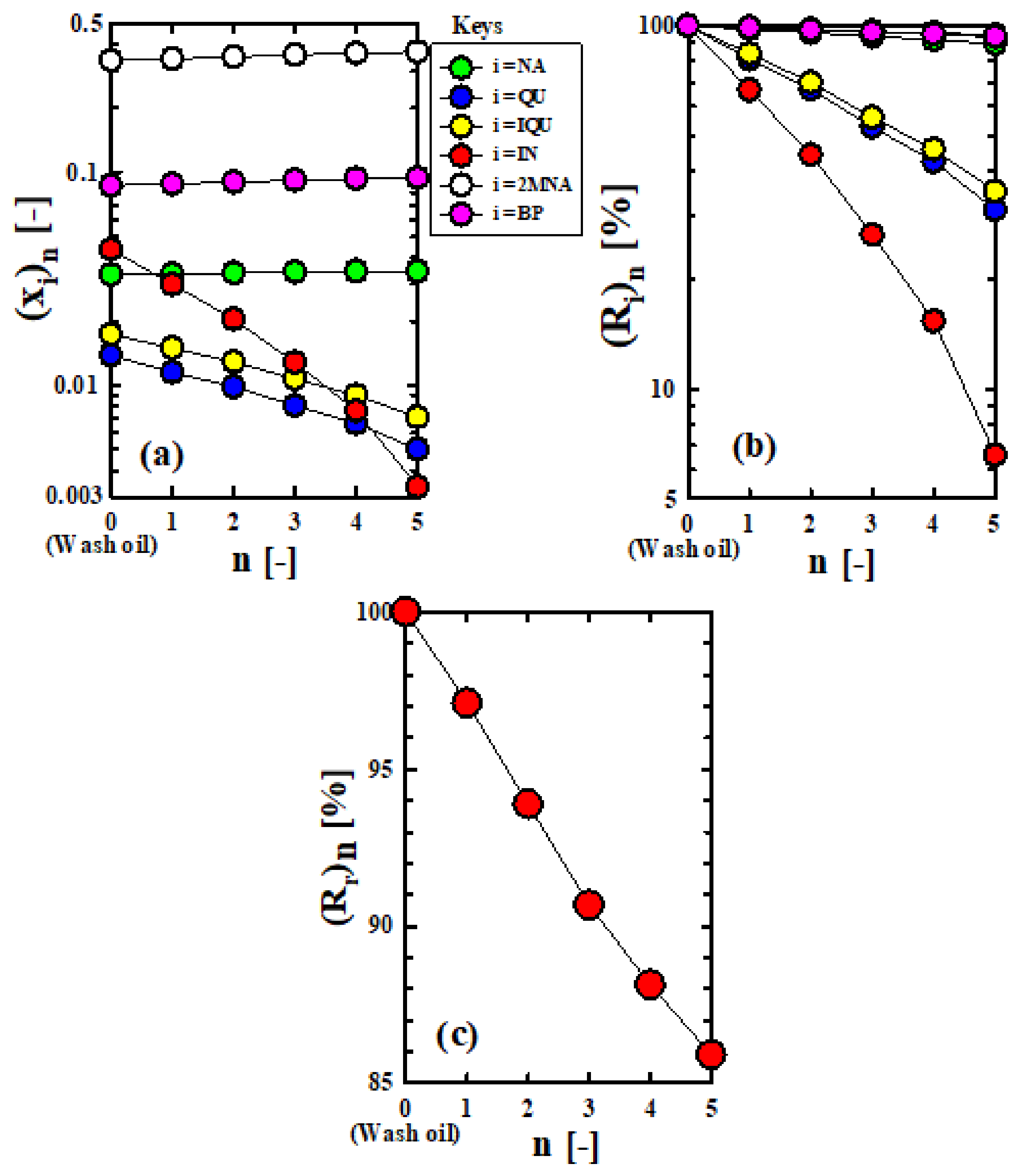
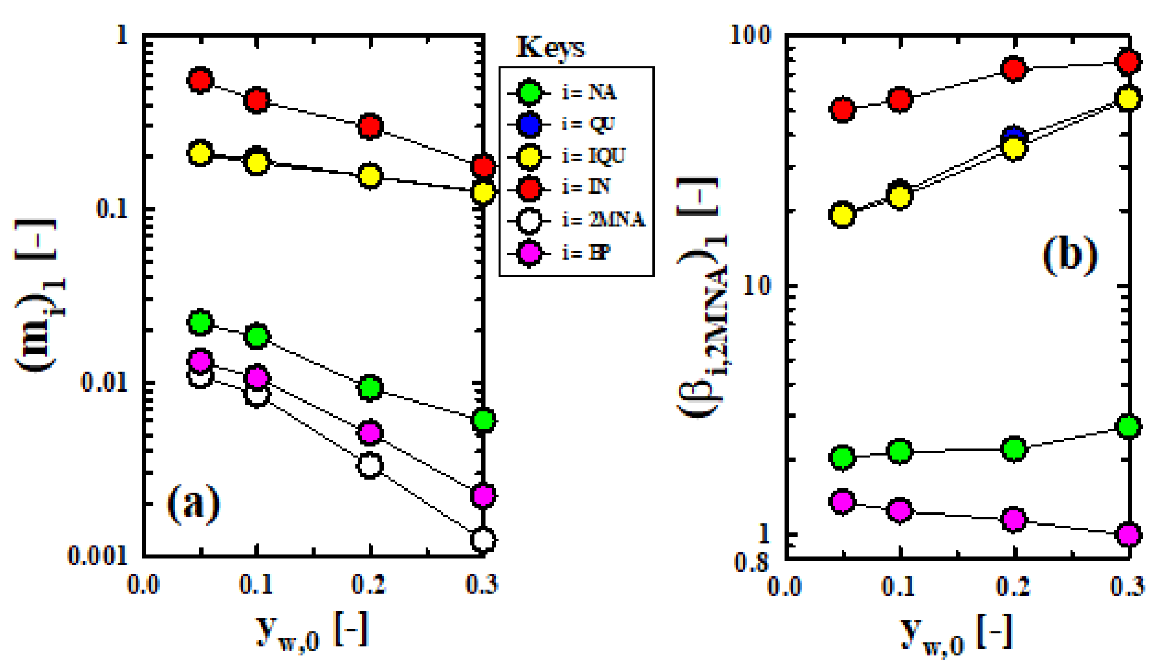
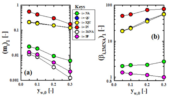
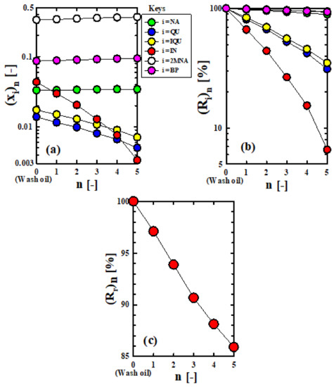
3.2.4. Reduction Performance
3.2.5. Comparison of Gas Chromatogram
3.2.6. Reduction Process of NC from Wash Oil
4. Conclusions
Funding
Institutional Review Board Statement
Informed Consent Statement
Data Availability Statement
Conflicts of Interest
References
- Kim, S.J. Separation and Purification of Indole in Model Coal Tar Fraction of 9 Compounds System. Polycycl. Aromat. Compd. 2019, 39, 60–72. [Google Scholar] [CrossRef]
- Kang, H.-C.; Kim, S.J. Comparison of Methanol with Formamide on Separation of Nitrogen Heterocyclic Compounds from Model Coal Tar Fraction by Batch Cocurrent Multistage Equilibrium Extraction. Polycycl. Aromat. Compd. 2016, 36, 745–757. [Google Scholar] [CrossRef]
- Kim, S.J.; Chun, Y.J. Separation of Nitrogen Heterocyclic Compounds from Model Coal Tar Fraction by Solvent Extraction. Sep. Sci. Technol. 2005, 40, 2095–2109. [Google Scholar] [CrossRef]
- Egashira, R.; Nagai, M. Separation of Nitrogen Heterocyclic Compounds Contained in Coal Tar Absorption Oil Fraction by Solvent Extraction. J. Jpn. Pet. Inst. 2000, 43, 339–345. [Google Scholar] [CrossRef][Green Version]
- Xu, D.; Zhang, M.; Gao, J.; Zhang, L.; Zhou, S.; Wang, Y. Separation of heterocyclic nitrogen compounds from coal tar fractions via ionic liquids: COSMO-SAC screening and experimental study. Chem. Eng. Commun. 2019, 206, 1199–1217. [Google Scholar] [CrossRef]
- Jiao, T.; Zhuang, X.; He, H.; Zhao, L.; Li, C.; Chen, H.; Zhang, S. An ionic liquid extraction process for the separation of indole from wash oil. Green Chem. 2015, 17, 3783–3790. [Google Scholar] [CrossRef]
- Zhang, L.; Xu, D.; Gao, J.; Zhou, S.; Zhao, L.; Zhang, Z. Extraction and mechanism for the separation of neutral N-compounds from coal tar by ionic liquids. Fuel 2017, 194, 27–35. [Google Scholar] [CrossRef]
- Sakanishi, K.; Obata, H.; Mochida, I.; Sakaki, T. Capture and Recovery of indole from methylnaphthalene oil in a continuous supercritical CO2 extraction apparatus over a fixed bed of anion-exchange resin. Ind. Eng. Chem. Res. 1996, 35, 335–337. [Google Scholar] [CrossRef]
- Sakanishi, K.; Obata, H.; Mochida, I.; Sakaki, T. Removal and Recovery of quinoline bases from methylnaphthalene oil in a semicontinuous supercritical CO2 separation apparatus with a fixed bed of supported aluminum sulfate. Ind. Eng. Chem. Res. 1995, 34, 4118–4121. [Google Scholar] [CrossRef]
- Uemasu, I. Effect of methanol-water mixture solvent on concentration of indole in coal tar using β-cyclodextrin as complexing agent. J. Jpn. Pet. Inst. 1991, 34, 371–374. [Google Scholar] [CrossRef][Green Version]
- Ukegawa, K.; Matsumura, A.; Kodera, Y.; Kondo, T.; Nakayama, T.; Tanabe, H.; Yoshida, S.; Mito, Y. Solvent extraction of nitrogen compounds from a coal tar fraction. (Part 1). Effect of extraction conditions on the extraction rate and the selectivities of nitrogen compounds. J. Jpn. Pet. Inst. 1990, 33, 250–254. [Google Scholar] [CrossRef][Green Version]
- Egashira, R.; Salim, C. Solvent Extraction of nitrogen heterocyclic compounds contained in coal tar absorption oil fraction. improvement of separation performance by addition of aluminum chloride to solvent. J. Jpn. Pet. Inst. 2001, 44, 178–182. [Google Scholar] [CrossRef][Green Version]
- Kodera, Y.; Ukegawa, K.; Mito, Y.; Komoto, M.; Ishikawa, E.; Nakayama, T. Solvent extraction of nitrogen compounds from coal liquids. Fuel 1991, 70, 765–769. [Google Scholar] [CrossRef]






| System | |
| Feed: wash oil and raffinate phases | |
| Solvent: aqueous solution of formamide | |
| Experimental Conditions | |
| Liquid–liquid contact time, t (h) | 12~96 |
| Number of equilibrium extractions, n (-) | 1~5 |
| Operating temperature, T (K) | 303 |
| Volume of fresh solvent (mL) | 400 |
| Volume fraction of water in solvent in initial state, yw,0 (-) | 0.05~0.3 |
| Volume ratio of solvent to feed in initial state, S1/R0 (-) | 1 |
| Component | Mass Fraction (-) |
|---|---|
| Naphthalene (NA, C10H8) | 0.033 |
| Quinoline (QU, C9H7N) | 0.014 |
| Iso-quinoline (IQU, C9H7N) | 0.017 |
| Indole (IN, C8H7N) | 0.044 |
| 2-Methylnaphthalene (2MNA, C11H10) | 0.335 |
| Biphenyl (BP, C12H10) | 0.087 |
| Others | 0.470 |
Publisher’s Note: MDPI stays neutral with regard to jurisdictional claims in published maps and institutional affiliations. |
© 2021 by the author. Licensee MDPI, Basel, Switzerland. This article is an open access article distributed under the terms and conditions of the Creative Commons Attribution (CC BY) license (https://creativecommons.org/licenses/by/4.0/).
Share and Cite
Kim, S.J. Upgrading of Wash Oil through Reduction of Nitrogen-Containing Compounds. Processes 2021, 9, 1869. https://doi.org/10.3390/pr9111869
Kim SJ. Upgrading of Wash Oil through Reduction of Nitrogen-Containing Compounds. Processes. 2021; 9(11):1869. https://doi.org/10.3390/pr9111869
Chicago/Turabian StyleKim, Su Jin. 2021. "Upgrading of Wash Oil through Reduction of Nitrogen-Containing Compounds" Processes 9, no. 11: 1869. https://doi.org/10.3390/pr9111869
APA StyleKim, S. J. (2021). Upgrading of Wash Oil through Reduction of Nitrogen-Containing Compounds. Processes, 9(11), 1869. https://doi.org/10.3390/pr9111869
