Preparation, Characterization and Application of a Molecularly Imprinted Polymer for Selective Recognition of Sulpiride
Abstract
:1. Introduction
2. Materials and Methods
2.1. Materials and Reagents
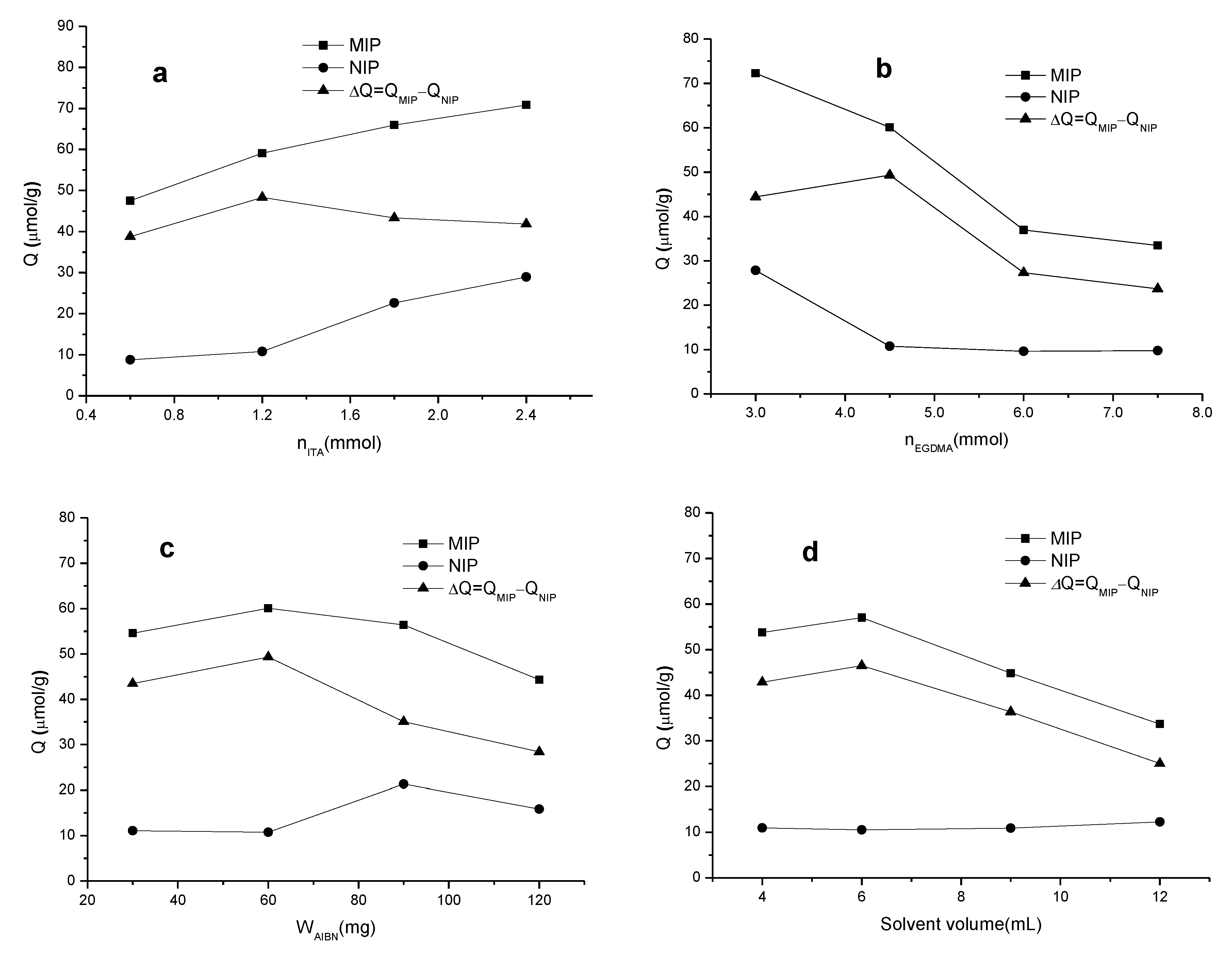
2.2. Preparation of the MIP
2.3. Material Characterization [21]
2.4. Static Adsorption of the MIP
2.5. Solid-Phase Extraction of the MIP
2.6. The Preparation and Analysis of Serum Samples
2.7. Drug Loading and Preparation of MIP-Sulpiride Tablets
2.8. Drug Release of the MIP
3. Results and Discussion
3.1. Polymerization Conditions of MIPs
3.2 Characterization of the MIP
3.3. Adsorption Characteristics of the MIP
3.3.1. Adsorption Performance of the MIP
3.3.2. The Kinetic Adsorption Behavior of the MIP
3.3.3. The Adsorption Selectivity of the MIP
3.4. Investigation of the Recognition Mechanism of the MIP
3.5. Applications of the MIP
3.5.1. Selective Solid-Phase Extraction
3.5.2. Solid-Phase Extraction of Serum Sample
3.5.3. Drug Release of the MIP [44]
4. Conclusions
Acknowledgments
Author Contributions
Conflicts of Interest
References
- Wang, J.; Sampson, S. Sulpiride versus placebo for schizophrenia. Cochrane Database Syst. Rev. 2014, 4, 1–44. [Google Scholar] [CrossRef]
- Barry, S.J.E.; Gaughan, T.M.; Hunter, R. Augmentation strategies for treatment-resistant schizophrenia. Clin. Evid. 2012, 6, 1007–1070. [Google Scholar]
- Caley, C.F.; Weber, S.S. Sulpiride: An antipsychotic with selective dopaminergic antagonist properties. Ann. Pharmacother. 1995, 29, 152–160. [Google Scholar] [CrossRef] [PubMed]
- Phillips, M.R. Characteristics, experience, and treatment of schizophrenia in China. Dialogues Clin. Neurosci. 2001, 3, 109–119. [Google Scholar] [PubMed]
- Long, J.; Huang, G.; Liang, W.; Liang, B.; Chen, Q.; Xie, J.; Jiang, J.; Su, L. The prevalence of schizophrenia in mainland China: evidence from epidemiological surveys. Acta. Psychiatr. Scand. 2014, 130, 244–256. [Google Scholar] [CrossRef] [PubMed]
- Huang, Y.; Liu, G.; Liu, Y.H.; Zhang, H. Economic burden of schizophrenia in China: Based on medical insurance database from Guangzhou city. Value Health 2014, 17, A767–A768. [Google Scholar] [CrossRef] [PubMed]
- Chakrabarti, A.; Adams, C.E.; Rathbone, J.; Wright, J.; Xia, J.; Wong, W.; Von Reibnitz, P.; Koenig, C.; Baier, S.; Pfeiffer, C.; et al. Schizophrenia trials in China: A survey. Acta Psychiatr. Scand. 2007, 116, 6–9. [Google Scholar] [CrossRef] [PubMed]
- Vlatakis, G.; Andersson, L.I.; Müller, R.; Mosbach, K. Drug assay using antibody mimics made by molecular imprinting. Nature 1993, 361, 645–647. [Google Scholar] [CrossRef] [PubMed]
- Cormack, P.A.G.; Mosbach, K. Molecular imprinting: Recent developments and the road ahead. React. Funct. Polym. 1999, 41, 115–124. [Google Scholar] [CrossRef]
- Turiel, E.; Martín-Esteban, A. Molecularly imprinted polymers for sample preparation: A review. Anal. Chim. Acta 2010, 668, 87–99. [Google Scholar] [CrossRef] [PubMed]
- Sarafraz-Yazdi, A.; Razavi, N. Application of molecularly-imprinted polymers in solid-phase microextraction techniques. TrAC Trends Anal. Chem. 2015, 73, 81–90. [Google Scholar] [CrossRef]
- Lin, Z.Z.; Zhang, H.Y.; Li, L.; Huang, Z.Y. Application of magnetic molecularly imprinted polymers in the detection of malachite green in fish samples. Reac. Funct. Polym. 2016, 98, 24–30. [Google Scholar] [CrossRef]
- Zahedi, P.; Ziaee, M.; Abdouss, M.; Farazin, A.; Mizaikoff, B. Biomacromolecule template-basedmolecularly imprinted polymers with anemphasis on their synthesis strategies: A review. Polym. Adv. Technol. 2016, 27, 1124–1142. [Google Scholar] [CrossRef]
- Asfaram, A.; Ghaedi, M.; Dashtian, K. Ultrasound assisted combined molecularly imprinted polymer for selective extraction of nicotinamide in human urine and milk samples: Spectrophotometric determination and optimization study. Ultrason. Sonochem. 2017, 34, 640–650. [Google Scholar] [CrossRef] [PubMed]
- Anene, A.; Hosni, K.; Chevalier, Y.; Kalfat, R.; Hbaieb, S. Molecularly imprinted polymer for extraction of patulin in apple juice samples. Food Control 2016, 70, 90–95. [Google Scholar] [CrossRef]
- Karim, K.; Breton, F.; Rouillon, R.; Piletska, E.V.; Guerreiro, A.; Chianella, I.; Piletsky, S.A. How to find effective functional monomers for effective molecularly imprinted polymers? Adv. Drug Deliv. Rev. 2005, 57, 1795–1808. [Google Scholar] [CrossRef] [PubMed]
- Dhanashree, S.; Priyanka, M.; Manisha, K.; Vilasrao, K. Molecularly imprinted polymers: Novel discovery for drug delivery. Curr. Drug Deliv. 2016, 13, 632–645. [Google Scholar] [CrossRef] [PubMed]
- Cowen, T.; Karim, K.; Piletsky, S. Computational approaches in the design of synthetic receptors—A review. Anal. Chim. Acta 2016, 936, 62–74. [Google Scholar] [CrossRef] [PubMed]
- Kubo, T.; Otsuka, K. Recent progress for the selective pharmaceutical analyses using molecularly imprinted adsorbents and their related techniques: A review. J. Pharm. Biomed. Anal. 2016, 130, 68–80. [Google Scholar] [CrossRef] [PubMed]
- Ye, L. Synthetic strategies in molecular imprinting. Adv. Biochem. Eng. Biotechnol. 2015, 150, 1–24. [Google Scholar] [PubMed]
- Cormack, P.A.G.; Elorza, A.Z. Molecularly imprinted polymers: Synthesis and characterization. J. Chromatogr. B 2004, 804, 173–182. [Google Scholar] [CrossRef] [PubMed]
- Kubo, T.; Kuroda, K.; Tominaga, Y.; Naito, T.; Sueyoshi, K.; Hosoya, K.; Otsuka, K. Effective determination of a pharmaceutical, sulpiride, in river waterby online SPE-LC-MS using a molecularly imprinted polymer as apreconcentration medium. J. Pharm. Biomed. Anal. 2014, 89, 111–117. [Google Scholar] [CrossRef] [PubMed]
- Zhang, W.; She, X.H.; Fan, H.J.; Jiang, Z.T.; Wu, K.H.; Wang, L.P. Preparation of molecularly imprinted polymer for sulpiride and its adsorption characteristics. Chin. J. Process Eng. 2012, 12, 31–37. [Google Scholar]
- Chinese Pharmacopoeia Commission, Sulpiride. Pharmacopoeia of the People’s Republic of China; China Medicine Science and Technology Press: Beijing, China, 2015. [Google Scholar]
- Sergeyeva, T.A.; Gorbach, L.A.; Slinchenko, O.A.; Goncharova, L.A.; Piletska, O.V.; Brovko, O.O.; Sergeeva, L.M.; Elska, G.V. Towards development of colorimetric test-systems for phenols detection based on computationally-designed molecularly imprinted polymer membranes. Mater. Sci. Eng. C 2010, 30, 431–436. [Google Scholar] [CrossRef]
- Gryshchenko, A.O.; Bottaro, C.S. Development of molecularly imprinted polymer in porous film format for binding of phenol and alkylphenols from water. Int. J. Mol. Sci. 2014, 15, 1338–1357. [Google Scholar] [CrossRef] [PubMed]
- Tamayo, F.G.; Turiel, E.; Martín-Esteban, A. Molecularly imprinted polymers for solid-phase extraction and solid-phase microextraction: Recent developments and future trends. J. Chromatogr. A 2007, 1152, 32–40. [Google Scholar] [CrossRef] [PubMed]
- Lopez, C.; Claude, B.; Morin, P.; Max, J.P.; Pena, R.; Ribet, J.P. Synthesis and study of a molecularly imprinted polymer for the specific extraction of indole alkaloids from Catharanthus roseus extracts. Anal. Chim. Acta 2011, 683, 198–205. [Google Scholar] [CrossRef] [PubMed]
- Pascale, M.; De Girolamo, A.; Visconti, A.; Magan, N.; Chianella, I.; Piletska, E.V.; Piletsky, S.A. Use of itaconic acid-based polymers for solid-phase extraction of deoxynivalenol and application to pasta analysis. Anal. Chim. Acta 2008, 609, 131–138. [Google Scholar] [CrossRef] [PubMed]
- Bakas, I.; Oujji, N.B.; Moczkoc, E.; Istamboulie, G.; Piletsky, S.; Piletska, E.; Ait-Ichou, I.; Ait-Addi, E.; Noguer, T.; Rouillon, R. Molecular imprinting solid phase extraction for selective detection of methidathion in olive oil. Anal. Chim. Acta 2012, 734, 99–105. [Google Scholar] [CrossRef] [PubMed]
- Bakas, I.; Oujji, N.B.; Moczko, E.; Istamboulie, G.; Piletsky, S.; Piletska, E.; Ait-Addi, E.; Ait-Ichou, I.; Noguer, T.; Rouillon, R. Computational and experimental investigation of molecular imprinted polymers for selective extraction of dimethoate and its metabolite omethoate from olive oil. J. Chromatogr. A 2013, 1274, 13–18. [Google Scholar] [CrossRef] [PubMed]
- Sergeyeva, T.A.; Gorbach, L.A.; Piletska, E.V.; Piletsky, S.A.; Brovko, O.O.; Honcharova, L.A.; Lutsyk, O.D.; Sergeeva, L.M.; Zinchenko, O.A.; El’skaya, A.V. Colorimetric test-systems for creatinine detection based on composite molecularly imprinted polymer membranes. Anal. Chim. Acta 2013, 770, 161–168. [Google Scholar] [CrossRef] [PubMed]
- Basozabal, I.; Gomez-Caballero, A.; Diaz-Diaz, G.; Guerreiro, A.; Gilby, S.; Goicolea, M.A.; Barrio, R.J. Rational design and chromatographic evaluation of histamine imprinted polymers optimised for solid-phase extraction of wine samples. J. Chromatogr. A 2013, 1308, 45–51. [Google Scholar] [CrossRef] [PubMed]
- Sobiech, M.; Żołek, T.; Luliński, P.; Maciejewska, D. Separation of octopamine racemate on (R,S)-2-amino-1-phenylethanol imprinted polymer—Experimental and computational studies. Talanta 2016, 146, 556–567. [Google Scholar] [CrossRef] [PubMed]
- Huang, B.Y.; Chen, Y.C.; Liu, C.Y. An insight into the mechanism of CEC separation of template analogues on a norepinephrine-imprinted monolith. J. Sep. Sci. 2011, 34, 2293–2300. [Google Scholar] [CrossRef] [PubMed]
- Pitre, D.; Stradi, R.; Nathansohn, G. Sulpiride. In Analytical Profiles of Drug Substances; Elsevier: Amsterdam, Netherlands, 1988. [Google Scholar]
- García-Calzón, J.A.; Díaz-García, M.E. Characterization of binding sites in molecularly imprinted polymers. Sens. Actuators B 2007, 123, 1180–1194. [Google Scholar] [CrossRef]
- Sellergren, B. The non-covalent approach to molecular imprinting. In Molecularly Imprinted Polymers: Man-Made Mimics of Antibodies and Their Applications in Analytical Chemistry, Techniques and Instrumentation in Analytical Chemistry; Elsevier: Amsterdam, Netherlands, 2001. [Google Scholar]
- He, X.P.; Lian, Z.R.; Tan, L.J.; Wang, J.T. Preparation and characterization of magnetic molecularly imprinted polymers for selective trace extraction of dienestrol in seawater. J. Chromatogr. A 2016, 1469, 8–16. [Google Scholar] [CrossRef] [PubMed]
- Zhang, H.; Ye, L.; Mosbach, K. Non-covalent molecular imprinting with emphasis on its application in separation and drug development. J. Mol. Recognit. 2006, 19, 248–259. [Google Scholar]
- Mayes, A.G.; Whitcombe, M.J. Synthetic strategies for the generation of molecularly imprinted organic polymers. Adv. Drug Deliv. Rev. 2005, 57, 1742–1778. [Google Scholar] [CrossRef] [PubMed]
- Nasser, I.I.; Algieri, C.; Garofalo, A.; Drioli, E.; Ahmed, C.; Donato, L. Hybrid imprinted membranes for selective recognition of quercetin. Sep. Purif. Tech. 2016, 163, 331–340. [Google Scholar] [CrossRef]
- Donato, L.; Chiappetta, G.; Drioli, E. Surface functionalization of PVDF membrane with a naringin-imprinted polymer layer using photo-polymerization method. Sep. Sci. Tech. 2011, 46, 1555–1562. [Google Scholar] [CrossRef]
- Ruela, A.L.M.; Figueiredo, E.C.; Pereira, G.R. Molecularly imprinted polymers as nicotine transdermal delivery systems. Chem. Eng. J. 2014, 248, 1–8. [Google Scholar] [CrossRef]









| Substrate | Chemical Structure | QMIP (μmol/g) | QNIP (μmol/g) | ΔQ (μmol/g) | Specific Adsorption Ratio (%) | Imprinting Factor, α | Specific Factor, β |
|---|---|---|---|---|---|---|---|
| Sulpiride | ![]() | 60.05 | 11.20 | 48.85 | 81.35 | 5.36 | 1.00 |
| Amisulpride | ![]() | 55.00 | 15.10 | 39.90 | 72.55 | 3.64 | 0.82 |
| Tiapride | ![]() | 50.35 | 15.55 | 34.80 | 69.12 | 3.24 | 0.71 |
| Lidocaine | ![]() | 25.75 | 6.60 | 19.15 | 74.37 | 3.90 | 0.39 |
| Cisapride | ![]() | 18.50 | 6.55 | 11.95 | 64.59 | 2.82 | 0.24 |
| Substrate | Chemical Structure | QMIP (μmol/g) | QNIP (μmol/g) | ΔQ (μmol/g) | Specific Adsorption Ratio (%) | Imprinting Factor, α |
|---|---|---|---|---|---|---|
| p-Toluenesulfonamide | ![]() | 0.51 | 0.01 | 0.50 | 98.04 | – |
| Formamide | ![]() | 7.53 | 2.51 | 5.02 | 66.67 | 3.01 |
| 1-Methylpyrrolidine | ![]() | 85.01 | 62.46 | 22.55 | 26.52 | 1.36 |
| Substrate | Chemical Structure | Q MIP (μmol/g) | QNIP (μmol/g) | Recovery (%) | Specific Factor, β |
|---|---|---|---|---|---|
| Sulfamethoxazole | ![]() | 0 | 0 | 0 | 0 |
| Sulfanilamide | ![]() | 0.21 | 0.03 | 2.10 | 0.03 |
| p-Toluenesulfonamide | ![]() | 0 | 0 | 0 | 0 |
| p-Nitroaniline | ![]() | 0.24 | 0.13 | 2.39 | 0.02 |
| Acetanilide | ![]() | 0 | 0 | 0 | 0 |
| Trimethoprim | ![]() | 6.43 | 3.26 | 64.3 | 0.52 |
| Sulpiride | ![]() | 8.39 | 2.28 | 86.9 | 1.00 |
| Sample | Spike Levels (μmol/L) | Determined (μmol/L) | Recovery (%) |
|---|---|---|---|
| 1 | 0.050 | 0.432 ± 0.005 | 86.63 ± 0.75 |
| 2 | 0.100 | 0.862 ± 0.038 | 86.23 ± 3.75 |
| 3 | 0.150 | 1.223 ± 0.041 | 81.57 ± 2.73 |
© 2017 by the authors. Licensee MDPI, Basel, Switzerland. This article is an open access article distributed under the terms and conditions of the Creative Commons Attribution (CC BY) license (http://creativecommons.org/licenses/by/4.0/).
Share and Cite
Zhang, W.; She, X.; Wang, L.; Fan, H.; Zhou, Q.; Huang, X.; Tang, J.Z. Preparation, Characterization and Application of a Molecularly Imprinted Polymer for Selective Recognition of Sulpiride. Materials 2017, 10, 475. https://doi.org/10.3390/ma10050475
Zhang W, She X, Wang L, Fan H, Zhou Q, Huang X, Tang JZ. Preparation, Characterization and Application of a Molecularly Imprinted Polymer for Selective Recognition of Sulpiride. Materials. 2017; 10(5):475. https://doi.org/10.3390/ma10050475
Chicago/Turabian StyleZhang, Wei, Xuhui She, Liping Wang, Huajun Fan, Qing Zhou, Xiaowen Huang, and James Z. Tang. 2017. "Preparation, Characterization and Application of a Molecularly Imprinted Polymer for Selective Recognition of Sulpiride" Materials 10, no. 5: 475. https://doi.org/10.3390/ma10050475
APA StyleZhang, W., She, X., Wang, L., Fan, H., Zhou, Q., Huang, X., & Tang, J. Z. (2017). Preparation, Characterization and Application of a Molecularly Imprinted Polymer for Selective Recognition of Sulpiride. Materials, 10(5), 475. https://doi.org/10.3390/ma10050475















