Sign in to use this feature.

Years

Between: -

Subjects

remove_circle_outline
remove_circle_outline
remove_circle_outline
remove_circle_outline
remove_circle_outline
remove_circle_outline
remove_circle_outline
remove_circle_outline
remove_circle_outline

Journals

remove_circle_outline
remove_circle_outline
remove_circle_outline

Article Types

Countries / Regions

remove_circle_outline
remove_circle_outline
remove_circle_outline
remove_circle_outline
remove_circle_outline

Search Results (1,085)

Search Parameters:
Keywords = forest surface soil

Order results
Result details
Results per page
Select all
Export citation of selected articles as:
34 pages, 13615 KB  
Article
Seamless Reconstruction of MODIS Land Surface Temperature via Multi-Source Data Fusion and Multi-Stage Optimization
by Yanjie Tang, Yanling Zhao, Yueming Sun, Shenshen Ren and Zhibin Li
Remote Sens. 2025, 17(19), 3374; https://doi.org/10.3390/rs17193374 - 7 Oct 2025
Abstract
Land Surface Temperature (LST) is a critical variable for understanding land–atmosphere interactions and is widely applied in urban heat monitoring, evapotranspiration estimation, near-surface air temperature modeling, soil moisture assessment, and climate studies. MODIS LST products, with their global coverage, long-term consistency, and radiometric [...] Read more.
Land Surface Temperature (LST) is a critical variable for understanding land–atmosphere interactions and is widely applied in urban heat monitoring, evapotranspiration estimation, near-surface air temperature modeling, soil moisture assessment, and climate studies. MODIS LST products, with their global coverage, long-term consistency, and radiometric calibration, are a major source of LST data. However, frequent data gaps caused by cloud contamination and atmospheric interference severely limit their applicability in analyses requiring high spatiotemporal continuity. This study presents a seamless MODIS LST reconstruction framework that integrates multi-source data fusion and a multi-stage optimization strategy. The method consists of three key components: (1) topography- and land cover-constrained spatial interpolation, which preliminarily fills orbit-induced gaps using elevation and land cover similarity criteria; (2) pixel-level LST reconstruction via random forest (RF) modeling with multi-source predictors (e.g., NDVI, NDWI, surface reflectance, DEM, land cover), coupled with HANTS-based temporal smoothing to enhance temporal consistency and seasonal fidelity; and (3) Poisson-based image fusion, which ensures spatial continuity and smooth transitions without compromising temperature gradients. Experiments conducted over two representative regions—Huainan and Jining—demonstrate the superior performance of the proposed method under both daytime and nighttime scenarios. The integrated approach (Step 3) achieves high accuracy, with correlation coefficients (CCs) exceeding 0.95 and root mean square errors (RMSEs) below 2K, outperforming conventional HANTS and standalone interpolation methods. Cross-validation with high-resolution Landsat LST further confirms the method’s ability to retain spatial detail and cross-scale consistency. Overall, this study offers a robust and generalizable solution for reconstructing MODIS LST with high spatial and temporal fidelity. The framework holds strong potential for broad applications in land surface process modeling, regional climate studies, and urban thermal environment analysis. Full article
Show Figures

Figure 1

19 pages, 1489 KB  
Article
Methodological Study on Maize Water Stress Diagnosis Based on UAV Multispectral Data and Multi-Model Comparison
by Jiaxin Zhu, Sien Li, Wenyong Wu, Pinyuan Zhao, Xiang Ao and Haochong Chen
Agronomy 2025, 15(10), 2318; https://doi.org/10.3390/agronomy15102318 - 30 Sep 2025
Viewed by 141
Abstract
In response to water scarcity and low agricultural water-use efficiency in arid regions in Northwest China, this study conducted field experiments in Wuwei, Gansu Province, from 2023 to 2024. It aimed to develop a water stress diagnosis model for spring maize to provide [...] Read more.
In response to water scarcity and low agricultural water-use efficiency in arid regions in Northwest China, this study conducted field experiments in Wuwei, Gansu Province, from 2023 to 2024. It aimed to develop a water stress diagnosis model for spring maize to provide a scientific basis for precision irrigation and water management. In this work, two irrigation methods—plastic film-mulched drip irrigation (FD, where drip lines are laid on the soil surface and covered with film) and plastic film-mulched shallow-buried drip irrigation (MD, where drip lines are buried 3–7 cm below the surface under film)—were tested under five irrigation gradients. Multispectral UAV remote sensing data were collected from key growth stages (i.e., the jointing stage, the tasseling stage, and the grain filling stage). Then, vegetation indices were extracted, and the leaf water content (LWC) was retrieved. LWC inversion models were established using Partial Least Squares Regression (PLSR), Random Forest (RF), and Support Vector Regression (SVR). Different irrigation treatments significantly affected LWC in spring maize, with higher LWC under sufficient water supply. In the correlation analysis, plant height (hc) showed the strongest correlation with LWC under both MD and FD treatments, with R2 values of −0.87 and −0.82, respectively. Among the models tested, the RF model under the MD treatment achieved the highest prediction accuracy (training set: R2 = 0.98, RMSE = 0.01; test set: R2 = 0.88, RMSE = 0.02), which can be attributed to its ability to capture complex nonlinear relationships and reduce multicollinearity. This study can provide theoretical support and practical pathways for precision irrigation and integrated water–fertilizer regulation in smart agriculture, boasting significant potential for broader application of such models. Full article
(This article belongs to the Section Water Use and Irrigation)
38 pages, 6865 KB  
Article
Land Use and Land Cover Change Patterns from Orbital Remote Sensing Products: Spatial Dynamics and Trend Analysis in Northeastern Brazil
by Jhon Lennon Bezerra da Silva, Marcos Vinícius da Silva, Pabrício Marcos Oliveira Lopes, Rodrigo Couto Santos, Ailton Alves de Carvalho, Geber Barbosa de Albuquerque Moura, Thieres George Freire da Silva, Alan Cézar Bezerra, Alexandre Maniçoba da Rosa Ferraz Jardim, Maria Beatriz Ferreira, Patrícia Costa Silva, Josef Augusto Oberdan Souza Silva, Marcio Mesquita, Pedro Henrique Dias Batista, Rodrigo Aparecido Jordan and Henrique Fonseca Elias de Oliveira
Land 2025, 14(10), 1954; https://doi.org/10.3390/land14101954 - 26 Sep 2025
Viewed by 493
Abstract
Environmental degradation and soil desertification are among the most severe environmental issues of recent decades worldwide. Over time, these processes have led to increasingly extreme and highly dynamic climatic conditions. In Brazil, the Northeast Region is characterized by semi-arid and arid areas that [...] Read more.
Environmental degradation and soil desertification are among the most severe environmental issues of recent decades worldwide. Over time, these processes have led to increasingly extreme and highly dynamic climatic conditions. In Brazil, the Northeast Region is characterized by semi-arid and arid areas that exhibit high climatic variability and are extremely vulnerable to environmental changes and pressures from human activities. The application of geotechnologies and geographic information system (GIS) modeling is essential to mitigate the impacts and pressures on the various ecosystems of Northeastern Brazil (NEB), where the Caatinga biome is predominant and critically threatened by these factors. In this context, the objective was to map and assess the spatiotemporal patterns of land use and land cover (LULC), detecting significant trends of loss and gain, based on surface reflectance data and precipitation data over two decades (2000–2019). Remote sensing datasets were utilized, including Landsat satellite data (LULC data), MODIS sensor data (surface reflectance product) and TRMM data (precipitation data). The Google Earth Engine (GEE) software was used to process orbital images and determine surface albedo and acquisition of the LULC dataset. Satellite data were subjected to multivariate analysis, descriptive statistics, dispersion and variability assessments. The results indicated a significant loss trend over the time series (2000–2019) for forest areas (ZMK = −5.872; Tau = −0.958; p < 0.01) with an annual loss of −3705.853 km2 and a total loss of −74,117.06 km2. Conversely, farming areas (agriculture and pasture) exhibited a significant gain trend (ZMK = 5.807; Tau = 0.947; p < 0.01), with an annual gain of +3978.898 km2 and a total gain of +79,577.96 km2, indicating a substantial expansion of these areas over time. However, it is important to emphasize that deforestation of the region’s native vegetation contributes to reduced water production and availability. The trend analysis identified an increase in environmental degradation due to the rapid expansion of land use. LULC and albedo data confirmed the intensification of deforestation in the Northern, Northwestern, Southern and Southeastern regions of NEB. The Northwestern region was the most directly impacted by this increase due to anthropogenic pressures. Over two decades (2000–2019), forested areas in the NEB lost approximately 80.000 km2. Principal component analysis (PCA) identified a significant cumulative variance of 87.15%. It is concluded, then, that the spatiotemporal relationship between biophysical conditions and regional climate helps us to understand and evaluate the impacts and environmental dynamics, especially of the vegetation cover of the NEB. Full article
Show Figures

Figure 1

16 pages, 3745 KB  
Article
Differences in Soil Solution Chemistry and Their Vertical Variation Between Moso Bamboo Forests and Japanese Cedar Plantations in Western Japan
by Dongchuan Fu and Masaaki Chiwa
Forests 2025, 16(10), 1519; https://doi.org/10.3390/f16101519 - 26 Sep 2025
Viewed by 169
Abstract
Bamboo invasion into adjacent forests highlights the need to clarify its ecological impacts, particularly on soil solution chemistry, which influences forest nutrient availability and downstream water quality. This study examined how bamboo invasion alters base cations and anion concentrations, their vertical distribution, and [...] Read more.
Bamboo invasion into adjacent forests highlights the need to clarify its ecological impacts, particularly on soil solution chemistry, which influences forest nutrient availability and downstream water quality. This study examined how bamboo invasion alters base cations and anion concentrations, their vertical distribution, and the distinct ionic compositions maintaining charge balance in soil solution by comparing Moso bamboo (BF) and adjacent Japanese cedar (CF) forests. In surface soil solution (5 cm), most ion concentrations were significantly higher in CF than in BF, likely attributable to a greater interception of atmospheric nitrogen resulting from taller tree height in CF. In vertical distribution, CF showed generally higher ion concentrations in surface soil solution than at 50 cm, whereas in BF, this phenomenon was observed only for NO3, NH4+, and K+, consistent with bamboo’s high demand for macronutrients. Significant correlations between the concentration of NO3 and those of Ca2+ and Mg2+ were absent only in BF soil leachate. Conversely, a deficit of strong anions showed a significant correlation with the concentration of Ca2+ and Mg2+ in BF soil leachate, with HCO3 identified as a potentially major component. Our findings provide insights into the concomitant-ion relationships between base cations and NO3 across forest types and soil depths. Full article
(This article belongs to the Section Forest Soil)
Show Figures

Figure 1

22 pages, 4958 KB  
Article
Impact of Land Cover Change on Eutrophication Processes in Phewa Lake, Nepal
by Rajan Subedi, Bikesh Jojiju, Matthew McBroom, Leticia Gaspar, Gerd Dercon and Ana Navas
Hydrology 2025, 12(10), 246; https://doi.org/10.3390/hydrology12100246 - 25 Sep 2025
Viewed by 1232
Abstract
Increasing demand for land and resources in Himalayan catchments is altering hydrological processes and threatening freshwater ecosystems. Sediment mobilization and nutrient fluxes, especially during monsoon rainfall events, are intensifying the degradation of water bodies. This study investigates land cover change and its effects [...] Read more.
Increasing demand for land and resources in Himalayan catchments is altering hydrological processes and threatening freshwater ecosystems. Sediment mobilization and nutrient fluxes, especially during monsoon rainfall events, are intensifying the degradation of water bodies. This study investigates land cover change and its effects on nutrient dynamics in the Phewa Lake catchment, Nepal. Landsat imagery from 1990 to 2021, processed through Google Earth Engine, was used to map land changes. Nutrient loading for the two time periods was estimated with the InVEST model. Surface soils were sampled across the catchment to analyze nitrogen and phosphorus distribution, while their particle-bound transport to the lake was assessed through riverbed sediments and the suspended sediments collected during monsoon rainfalls. Pre-monsoon water quality was examined to evaluate eutrophication levels across different lake zones. Results reveal forest recovery in the upper catchment, but agricultural land in the lower catchment is being rapidly converted to urban areas. While forest recovery has enhanced sediment retention, nutrient inputs to the lake, particularly nitrogen and phosphorus, have increased. Fertilizer leaching and untreated sewage emerge as key sources in rural and urban areas, respectively. Seasonal constraints of the dataset may underestimate the overall extent of water quality deterioration, as indicated by high nutrient loads in monsoon suspended sediments. Overall, this study highlights the dual effect of land cover change: forest regrowth coincides with rising nutrient discharge. Without timely interventions, growing urban populations in the region may face worsening water quality challenges. Full article
(This article belongs to the Special Issue Lakes as Sensitive Indicators of Hydrology, Environment, and Climate)
Show Figures

Figure 1

16 pages, 3181 KB  
Article
Linking Morphological Traits of Fine Root to Soil CO2 Efflux in Middle-Aged Plantations of Four Tree Species
by Seung Won Lim, Kyu Hong Song, Ji Won Jang, Se Hee Lee, Namin Koo, Sukwoo Kim and Nam Jin Noh
Forests 2025, 16(10), 1513; https://doi.org/10.3390/f16101513 - 25 Sep 2025
Viewed by 280
Abstract
Understanding belowground carbon dynamics is essential for predicting the carbon balance of forest ecosystems. This study aimed to investigate links between soil CO2 efflux (RS), soil physicochemical properties, and fine-root morphology across four middle-aged plantations of different species (Robinia [...] Read more.
Understanding belowground carbon dynamics is essential for predicting the carbon balance of forest ecosystems. This study aimed to investigate links between soil CO2 efflux (RS), soil physicochemical properties, and fine-root morphology across four middle-aged plantations of different species (Robinia pseudoacacia, Quercus mongolica, Pinus koraiensis, and Metasequoia glyptostroboides) in Mt. Ansan, Seoul, Republic of Korea. Seasonal measurements of RS, soil temperature (TS), and soil water content (SWC) were conducted, and soils and fine roots (≤2.0 mm) were analyzed for physicochemical properties and morphological traits, with a focus on very-fine roots (≤0.5 mm). The results showed that RS was positively correlated with TS (r = 0.77) and negatively with SWC (r = −0.33). RS normalized at 25 °C (R25), differed significantly among plantations, and exhibited strong positive correlations with electrical conductivity (r = 0.81), as well as with total nitrogen and carbon concentrations and clay content. Among fine root traits, the length, surface area, and volume of very-fine roots exhibited the strongest associations with R25, underscoring their pivotal role in regulating belowground respiration. These findings suggest that species-specific fine root strategies and soil conditions jointly control RS dynamics, particularly under warmer conditions, and highlight very-fine root traits as key indicators of soil carbon flux in forest ecosystems. Full article
Show Figures

Figure 1

27 pages, 8010 KB  
Article
Deep Learning-Based Short- and Mid-Term Surface and Subsurface Soil Moisture Projections from Remote Sensing and Digital Soil Maps
by Saman Rabiei, Ebrahim Babaeian and Sabine Grunwald
Remote Sens. 2025, 17(18), 3219; https://doi.org/10.3390/rs17183219 - 18 Sep 2025
Viewed by 520
Abstract
Accurate real-time information about soil moisture (SM) at a large scale is essential for improving hydrological modeling, managing water resources, and monitoring extreme weather events. This study presents a framework using convolutional long short-term memory (ConvLSTM) network to produce short- (1, 3, and [...] Read more.
Accurate real-time information about soil moisture (SM) at a large scale is essential for improving hydrological modeling, managing water resources, and monitoring extreme weather events. This study presents a framework using convolutional long short-term memory (ConvLSTM) network to produce short- (1, 3, and 7 days ahead) and mid-term (14 and 30 days ahead) forecasts of SM at surface (0–10 cm) and subsurface (10–40 and 40–100 cm) soil layers across the contiguous U.S. The model was trained with five-year period (2018–2022) datasets including Soil Moisture Active Passive (SMAP) level 3 ancillary covariables, North American Land Data Assimilation System phase 2 (NLDAS-2) SM product, shortwave infrared reflectance from Moderate Resolution Imaging Spectroradiometer (MODIS), and terrain features (e.g., elevation, slope, curvature), as well as soil texture and bulk density maps from the Soil Landscape of the United States (SOLUS100) database. To develop and evaluate the model, the dataset was divided into three subsets: training (January 2018–January 2021), validation (2021), and testing (2022). The outputs were validated with observed in situ data from the Soil Climate Analysis Network (SCAN) and the United States Climate Reference Network (USCRN) soil moisture networks. The results indicated that the accuracy of SM forecasts decreased with increasing lead time, particularly in the surface (0–10 cm) and subsurface (10–40 cm) layers, where strong fluctuations driven by rainfall variability and evapotranspiration fluxes introduced greater uncertainty. Across all soil layers and lead times, the model achieved a median unbiased root mean square error (ubRMSE) of 0.04 cm3 cm−3 with a Pearson correlation coefficient of 0.61. Further, the performance of the model was evaluated with respect to both land cover and soil texture databases. Forecast accuracy was highest in coarse-textured soils, followed by medium- and fine-textured soils, likely because the greater penetration depth of microwave observations improves SM retrieval in sandy soils. Among land cover types, performance was strongest in grasslands and savannas and weakest in dense forests and shrublands, where dense vegetation attenuates the microwave signal and reduces SM estimation accuracy. These results demonstrate that the ConvLSTM framework provides skillful short- and mid-term forecasts of surface and subsurface soil moisture, offering valuable support for large-scale drought and flood monitoring. Full article
(This article belongs to the Special Issue Earth Observation Satellites for Soil Moisture Monitoring)
Show Figures

Graphical abstract

28 pages, 9916 KB  
Article
Understanding Surface Water Dynamics in Post-Mining Area Through Multi-Source Remote Sensing and Spatial Regression Analysis
by Anna Buczyńska, Dariusz Głąbicki, Anna Kopeć and Paulina Modlińska
Remote Sens. 2025, 17(18), 3218; https://doi.org/10.3390/rs17183218 - 17 Sep 2025
Viewed by 500
Abstract
Despite successful land reclamation efforts, post-mining areas are still prone to secondary effects of mineral extraction. These effects include surface deformations, damage to infrastructure and buildings, and periodic or permanent changes to surface water resources. This study focused on analyzing a former copper [...] Read more.
Despite successful land reclamation efforts, post-mining areas are still prone to secondary effects of mineral extraction. These effects include surface deformations, damage to infrastructure and buildings, and periodic or permanent changes to surface water resources. This study focused on analyzing a former copper mine in southwest Poland in terms of surface water changes, which may be caused by the restoration of groundwater conditions in the region after mine closure. The main objective of the study was to detect areas with statistically significant changes in surface water between 2015 and 2024, as well as to identify the main factors influencing the observed changes. The methodology integrated open remote sensing datasets from Landsat and Sentinel-1 missions for deriving spectral indices—Modified Normalized Difference Water Index (MNDWI) and Normalized Difference Moisture Index (NDMI), as well as Surface Soil Moisture index (SSM); spatial statistics methods, including Emerging Hot Spot analysis; and regression models—Random Forest Regression (RFR) and Geographically Weighted Regression (GWR). The results obtained indicated a general increase in vegetation water content, a reduction in the extent of surface water, and minor soil moisture changes during the analyzed period. The Emerging Hot Spot analysis revealed a number of new hot spots, indicating regions with statistically significant increases in surface water content in the study area. Out of the investigated regression models, global regression (RFR) outperformed local (GWR) models, with R2 ranging between 74.7% and 87.3% for the studied dependent variables. The most important factors in terms of influence were the distance from groundwater wells, surface topography, vegetation conditions and distance from active mining areas, while surface geology conditions and permeability had the least importance in the regression models. Overall, this study offers a comprehensive framework for integrating multi-source data to support the analysis of environmental changes in post-mining regions. Full article
Show Figures

Figure 1

19 pages, 2231 KB  
Article
Mapping and Characterization of Planosols in the Omo-Gibe Basin, Southwestern Ethiopia
by Eyasu Elias, Alemayehu Regassa, Gudina Legesse Feyisa and Abreham Berta Aneseyee
Sustainability 2025, 17(18), 8341; https://doi.org/10.3390/su17188341 - 17 Sep 2025
Viewed by 419
Abstract
Planosols are seasonally waterlogged soils characterized by an abrupt transition from coarse-textured surface horizons to dense, clay-enriched subsoils. Despite the increased agricultural expansion in the Planosol landscapes, these soils have been largely overlooked in Ethiopia. The FAO soil map of Ethiopia (1:200,000 scale) [...] Read more.
Planosols are seasonally waterlogged soils characterized by an abrupt transition from coarse-textured surface horizons to dense, clay-enriched subsoils. Despite the increased agricultural expansion in the Planosol landscapes, these soils have been largely overlooked in Ethiopia. The FAO soil map of Ethiopia (1:200,000 scale) does not recognize the presence of Planosols. In contrast, the more recent digital soil map of Ethiopia, EthoSoilGrids v1.0, at a 250 spatial resolution, was not detailed enough to capture Planosol landscapes, reflecting their historical undersampling in the legacy data. To address this gap, we conducted a thorough mapping and characterization of Planosols in the Omo-Gibe basin, southwestern Ethiopian highlands. Using over 200 auger observations, 74 georeferenced soil profiles, 296 laboratory analyses, and Random Forest modeling, we produced a 30 m-resolution soil-landscape map. Our results show that Planosols cover about 18% of the basin, a substantial extent previously unrecognized in national exploratory maps. Morphologically, these soils exhibit abrupt textural change from the coarse-textured, light grey Ap/Eg horizon (about 30–40 cm thick) to a very clayey, grey–black Bssg/Bt horizon occurring below 40 cm depth. Analytical data on selected parameters show the following pattern: low clay contents (20–29%) and acidic pH (5.2–5.8) with relatively low CEC values (11–26 cmol/kg) in the surface horizons (Ap/Eg), but pronounced clay increase (37–74%), higher bulk density (1.3 g/cm3), higher pH (up to 6.5), and substantially higher CEC (37–47 cmol/kg) in the sub-surface horizons (Bss/Bt). In terms of soil fertility, Planosols are low in SOC, TN, and exchangeable K contents, but micronutrient levels are variable—high in Fe-Mn-Zn and low in B and Cu. The findings confirm the diagnostic features of WRB Planosols and align with regional East African averages, underscoring the reproducibility of our approach. By rectifying long-standing misclassifications and generating fine-scale, field-validated evidence on soil fertility constraints and management options, this study establishes a strong foundation for targeted soil management in Ethiopia. It offers transferable insights for Planosol-dominated agroecosystems across Eastern Africa. Globally, the dataset contributes to enriching the global scientific knowledge and evidence base on Planosols, thereby supporting their improved characterization and management. Full article
(This article belongs to the Special Issue The Sustainability of Agricultural Soils)
Show Figures

Figure 1

30 pages, 26397 KB  
Article
Dynamic Landslide Susceptibility Assessment in the Yalong River Alpine Gorge Region Integrating InSAR-Derived Deformation Velocity
by Zhoujiang Li, Jianming Xiang, Guanchen Zhuo, Hongyuan Zhang, Keren Dai and Xianlin Shi
Remote Sens. 2025, 17(18), 3210; https://doi.org/10.3390/rs17183210 - 17 Sep 2025
Viewed by 464
Abstract
Dynamic susceptibility assessment is essential for mitigating evolving landslide risks in alpine gorge regions. To address the static limitations and unit mismatch issues in conventional landslide susceptibility assessments in alpine gorge regions, this study proposes a dynamic framework integrating time-series InSAR-derived deformation. Applied [...] Read more.
Dynamic susceptibility assessment is essential for mitigating evolving landslide risks in alpine gorge regions. To address the static limitations and unit mismatch issues in conventional landslide susceptibility assessments in alpine gorge regions, this study proposes a dynamic framework integrating time-series InSAR-derived deformation. Applied to the Xinlong–Kangding section of the Yalong River, annual surface deformation velocities were retrieved using SBAS-InSAR with Sentinel-1 data, identifying 24 active landslide zones (>25 mm/a). The Geodetector model quantified the spatial influence of 18 conditioning factors, highlighting deformation velocity as the second most significant (q = 0.21), following soil type. Incorporating historical landslide data and InSAR deformation zones, slope unit delineation was optimized to construct a refined sample dataset. A Random Forest model was then used to assess the contribution of deformation factors. Results show that integrating InSAR data substantially improved model performance: “Very High” risk landslides increased from 67.21% to 87.01%, the AUC score improved from 0.9530 to 0.9798, and the Kappa coefficient increased from 0.7316 to 0.8870. These results demonstrate the value of InSAR-based dynamic monitoring in enhancing landslide susceptibility mapping, particularly for spatial clustering, classification precision, and model robustness. This approach offers a more efficient dynamic evaluation pathway for dynamic assessment and early warning of landslide hazards in mountainous regions. Full article
(This article belongs to the Special Issue Role of SAR/InSAR Techniques in Investigating Ground Deformation)
Show Figures

Figure 1

21 pages, 4685 KB  
Article
Influence of Soil Background Noise on Accuracy of Soil Moisture Content Inversion in Alfalfa Fields Based on UAV Multispectral Data
by Jinxi Chen, Yuanbo Jiang, Wenjing Yu, Guangping Qi, Yanxia Kang, Minhua Yin, Yanlin Ma, Yayu Wang, Jiapeng Zhu, Yanbiao Wang and Boda Li
Soil Syst. 2025, 9(3), 98; https://doi.org/10.3390/soilsystems9030098 - 12 Sep 2025
Viewed by 426
Abstract
Soil moisture plays a critical role in the global water cycle, the exchange of matter and energy within ecosystems, and the movement of water in plants. Accurate monitoring of soil moisture is essential for drought early warning systems, irrigation decision-making, and crop growth [...] Read more.
Soil moisture plays a critical role in the global water cycle, the exchange of matter and energy within ecosystems, and the movement of water in plants. Accurate monitoring of soil moisture is essential for drought early warning systems, irrigation decision-making, and crop growth assessment. The use of drone-based multispectral remote sensing technology for estimating the soil moisture content offers advantages such as wide coverage, high accuracy, and efficiency. However, the soil background can often interfere with the accuracy of these estimations. In specific environments, such as areas with strong winds, removing soil background noise may not necessarily enhance the precision of estimates. This study utilizes unmanned aerial vehicle (UAV) multispectral imagery and employs a vegetation index threshold method to remove soil background noise. It systematically analyzes the response relationship between spectral reflectance, spectral indices, and the soil moisture content in the top 0–10 cm layer of alfalfa; constructs K-Nearest Neighbors (KNN), Random Forest Regression (RFR), ridge regression (RR), and XG-Boost inversion models; and comprehensively evaluates model performance. The results indicate the following: (1) The XG-Boost model validation set had the highest R2 value (0.812) when spectral reflectance was used as the input variable, which was significantly better than the other models (R2 = 0.465 to 0.770), and the RFR model validation set had the highest R2 value when the spectral index was used as the input variable (0.632), which was significantly better than the other models (R2 = 0.366 to 0.535). (2) After removing soil background noise, the accuracy of the soil moisture estimates for each model did not show significant changes; specifically, the R2 value for the XG-Boost model decreased to 0.803 when using spectral reflectance as the input, and the R2 value for the RFR model dropped to 0.628 when using spectral indices. (3) Before and after removing the soil background noise, the spectral reflectance can provide more accurate data support for the inversion of the soil moisture content than the spectral index, and the XG-Boost model is the most effective in the inversion of the soil moisture content when using the spectral reflectance as the input variable. The research findings provide both theoretical and technical support for the retrieval of the surface soil moisture content in alfalfa using drone-based multispectral remote sensing. Additionally, they offer evidence that validates large-scale soil moisture remote sensing monitoring. Full article
(This article belongs to the Special Issue Research on Soil Management and Conservation: 2nd Edition)
Show Figures

Figure 1

24 pages, 7737 KB  
Article
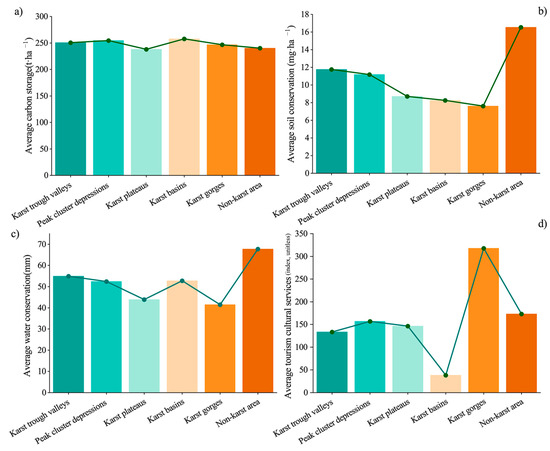
Socio-Ecological Drivers of Ecosystem Services in Karst Forest Park: Interactions Among Climate, Vegetation, Geomorphology, and Tourism
by Zhixin Li, Rui Li and Mei Chen
Sustainability 2025, 17(18), 8174; https://doi.org/10.3390/su17188174 - 11 Sep 2025
Viewed by 499
Abstract
Forest parks are vital terrestrial ecosystems that provide multiple ecosystem services (ESs) to both society and nature, including carbon storage, water conservation, soil retention, and tourism-related cultural services. These services are essential for maintaining ecological security and supporting socio-economic development. However, little is [...] Read more.
Forest parks are vital terrestrial ecosystems that provide multiple ecosystem services (ESs) to both society and nature, including carbon storage, water conservation, soil retention, and tourism-related cultural services. These services are essential for maintaining ecological security and supporting socio-economic development. However, little is known about how ESs vary across forest parks situated in different karst landforms, and integrated re-search on the combined effects of climate, vegetation, karst surface characteristics, and tourism remains limited. In this study, we examine forest parks in Guizhou Province, China, selecting four key ESs—water conservation, soil retention, carbon storage, and cultural services associated with tourism—and evaluate their levels through a comprehensive ecosystem services index (CES). We apply a structural equation model (PLS-SEM) to disentangle how climate, vegetation, karst surface features, and tourism activities drive spatial heterogeneity in CES. The results reveal significant differences among karst land-form units: carbon storage is relatively low in karst plateaus and gorges, whereas water conservation is highest in non-karst areas. Together, the four categories of driving factors explain 71.6–74.2% of the variance in CES, with climate emerging as the dominant contributor to spatial variation. For individual services, the principal drivers differ: normalized difference vegetation index (NDVI) and tourist numbers are jointly shaped by karst surface characteristics and climate, while multi-year average spring precipitation is the most influential factor across forest parks. This study provides new evidence of the socio-ecological mechanisms regulating ESs in karst mountain forestscapes and offers a scientific reference for enhancing and regeneratively managing ecosystem services in these fragile regions. Full article
Show Figures

Figure 1

26 pages, 5306 KB  
Article
Interfacial Shear Strength of Sand–Recycled Rubber Mixtures Against Steel: Ring-Shear Testing and Machine Learning Prediction
by Rayed Almasoudi, Hossam Abuel-Naga and Abolfazl Baghbani
Buildings 2025, 15(18), 3276; https://doi.org/10.3390/buildings15183276 - 10 Sep 2025
Viewed by 453
Abstract
Soil–structure contacts often govern deformation and stability in foundations and buried infrastructure. Rubber waste is used in soil mixtures to enhance geotechnical performance and promote environmental sustainability. This study investigates the peak and residual shear strength of sand–steel interfaces, where the sand is [...] Read more.
Soil–structure contacts often govern deformation and stability in foundations and buried infrastructure. Rubber waste is used in soil mixtures to enhance geotechnical performance and promote environmental sustainability. This study investigates the peak and residual shear strength of sand–steel interfaces, where the sand is mixed with recycled rubber. It also develops predictive machine learning (ML) models based on the experimental data. Two silica sands, medium and coarse, were mixed with two rubber gradations; however, Rubber B was included only in limited comparative tests at a fixed content. Ring-shear tests were performed against smooth and rough steel plates under normal stresses of 25 to 200 kPa to capture the full τ–δ response. Nine input variables were considered: median particle size (D50), regularity index (RI), porosity (n), coefficients of uniformity (Cu) and curvature (Cc), rubber content (RC), applied normal stress (σn), normalised roughness (Rn), and surface hardness (HD). These variables were used to train multiple linear regression (MLR) and random forest regression (RFR) models. The models were trained and validated on 96 experimental data points derived from ring-shear tests across varied material and loading conditions. The machine learning models facilitated the exploration of complex, non-linear relationships between the input variables and both peak and residual interfacial shear strength. Experimental findings demonstrated that particle size compatibility, rubber content, and surface roughness significantly influence interface behaviour, with optimal conditions varying depending on the surface type. Moderate inclusion of rubber was found to enhance strength under certain conditions, while excessive content could lead to performance reduction. The MLR model demonstrated superior generalisation in predicting peak strength, whereas the RFR model yielded higher accuracy for residual strength. Feature importance analyses from both models identified the most influential parameters governing the shear response at the sand–steel interface. Full article
Show Figures

Figure 1

14 pages, 863 KB  
Article
Planting Native Herbaceous Species During Land Reclamation: 3-Year Growth Response to Soil Type and Competing Vegetation
by Camille Chartrand-Pleau, Dani Degenhardt and Amanda Schoonmaker
Forests 2025, 16(9), 1442; https://doi.org/10.3390/f16091442 - 10 Sep 2025
Viewed by 325
Abstract
In forest land reclamation, revegetation efforts often focus on restoring tree composition, while the recovery of the understory vegetation community is typically left to natural regeneration. This regeneration relies mainly on wind-dispersed seeds, ingress from adjacent intact forests, or seed emergence from stockpiled [...] Read more.
In forest land reclamation, revegetation efforts often focus on restoring tree composition, while the recovery of the understory vegetation community is typically left to natural regeneration. This regeneration relies mainly on wind-dispersed seeds, ingress from adjacent intact forests, or seed emergence from stockpiled surface soils. We examined the growth and survival of nursery-propagated, field-planted native herbaceous forbs on a reclaimed industrial site where topsoil placement depth was varied to manipulate soil nutrient availability and levels of competing vegetation. A pre-emergent herbicide was applied to half of the standard topsoil plots to assess the impact of ruderal vegetation competition. We addressed the following two questions: (1) How does placed topsoil depth affect the growth and survival of native forbs? We hypothesized that deeper topsoil (higher nutrient availability) would enhance growth but reduce survival due to increased competition. (2) Does competing ruderal vegetation negatively affect survival and/or growth? We hypothesized that competition would reduce growth in all species, but that Canada goldenrod (Solidago canadensis L.) would show greater resilience due to its pioneering nature. The results showed that S. canadensis exhibited consistently high growth and survival across all topsoil treatments, confirming its competitive advantage. Showy aster (Eurybia conspicua (Lindl.) G.L.Nesom) survival remained high during no-topsoil and shallow-topsoil treatments, with reductions under standard-depth topsoil linked to increased competition. Spreading dogbane (Apocynum androsaemifolium L.) survival varied but tended to be higher in no-topsoil and shallow-topsoil conditions. These findings suggest that certain native forbs can thrive across a range of soil conditions, and that Canada goldenrod, in particular, is a strong candidate for revegetation programs where competition from ruderal vegetation is a concern. Full article
Show Figures

Figure 1

27 pages, 11860 KB  
Article
The Analysis of the Spatial Distribution Characteristics and Influencing Factors of SOC in a Coastal Tamarix Chinensis Forest—The Case of China’s Changyi National Marine Ecological Special Protection Area
by Ruiting Liu, Jin Wang, Feiyong Chen, Xiuqin Sun, Xiaoxiang Cheng, Keqin Liu, Lin Wang, Geng Xu, Yufeng Du and Jingtao Xu
Forests 2025, 16(9), 1432; https://doi.org/10.3390/f16091432 - 7 Sep 2025
Viewed by 498
Abstract
This study investigates the spatial distribution characteristics and influencing factors of soil organic carbon (SOC) in the Tamarix chinensis forest ecosystem in Changyi National Marine Ecological Special Reserve, China. Five sampling routes and 32 sampling points were established; 293 soil samples were collected [...] Read more.
This study investigates the spatial distribution characteristics and influencing factors of soil organic carbon (SOC) in the Tamarix chinensis forest ecosystem in Changyi National Marine Ecological Special Reserve, China. Five sampling routes and 32 sampling points were established; 293 soil samples were collected every 10 cm from the surface downwards. GIS spatial analysis techniques were employed to analyze the overall, horizontal, and vertical distribution characteristics of SOC within the 0–100 cm depth range. The results show that SOC content in the reserve ranges from 1.0 to 10.0 gC/kg, with an average of 2.5–8.2 gC/kg. High-SOC zones are in the southwest, where human disturbance is minimal and vegetation is dense, whereas low-SOC areas are in the west, and the north suffers from frequent tides and salinization. Horizontally, the surface SOC (0–10 cm) increased from 2.30 gC/kg in the east to 9.15 gC/kg in the western tidal flat. Vertically, six profile types were identified; the fluctuating type dominated (74.07%). Eight ecological zones were delineated based on land cover and function: the Tamarix core area exhibited surface aggregation with a depth-wise decline; the ecological restoration zone showed a mid-depth peak; and the moisture-proof dam zone displayed a “shallow-rise–deep-drop” pattern. Storm surges, moisture-proof dams, ecological zoning, and restoration projects were key drivers of SOC distribution. Full article
(This article belongs to the Section Forest Inventory, Modeling and Remote Sensing)
Show Figures

Figure 1

Back to TopTop