The Analysis of the Spatial Distribution Characteristics and Influencing Factors of SOC in a Coastal Tamarix Chinensis Forest—The Case of China’s Changyi National Marine Ecological Special Protection Area
Abstract
1. Introduction
2. Materials and Methods
2.1. General Situation of Study Area
2.1.1. Geographic Situation
2.1.2. Climate and Precipitation
2.2. Soil Sample Collection and Processing
2.3. Data Processing and Spatial Visualization
3. Results and Discussion
3.1. Range and Distribution Characteristics of SOC Content in the Study Area (Depth Range of 0–100 cm)
3.1.1. Statistical Characteristics of SOC Content in the Study Area
3.1.2. Spatial Distribution Characteristics of SOC Content in the Study Area
- (1)
- The high-value areas (SOC > 5.0 gC/kg) are relatively concentrated, corresponding to sample points 3, 4, 5, 8, 9, and 26, which are concentrated in the southwest, northwest, and northeast, likely due to minimal human disturbance and high vegetation cover, which facilitate organic carbon accumulation. Specifically, the southwest region, with an average SOC value of 8.09 gC/kg, represents the peak accumulation zone, possibly due to its favorable vegetation and soil conditions.
- (2)
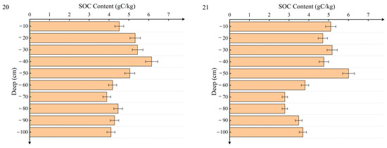
- The distribution of the median region (SOC ranging from 4.0 to 5.0 gC/kg) is relatively regular, corresponding to sample points 1, 14, 15, 16, 18, 19, 20, 21, 25, 28, and 31. The SOC mean value distribution is in the range of 4.24–4.89 gC/kg. The main distribution range of the median region of SOC is a stepped distribution from west–central to northeast, and is influenced by a combination of natural and anthropogenic factors. For instance, the area near sampling points 20 and 21, characterized by artificial planting and increased Tamarix coverage, exhibits relatively stable SOC levels. The area near points 20 and 21 belongs to the artificial planting area, the coverage of Tamarix has increased, and the distribution of SOC content is relatively stable.
- (3)
- In contrast, the low-value zones, located in the central western region and southeastern corners, are severely affected by tidal intrusion, leading to high salinization and SOC depletion [35]. The western moisture-proof dam may further restrict the influx of external organic matter, limiting SOC accumulation [36,37]. Additionally, the southeastern corners, impacted by intensive human activities and low vegetation cover, show consistently low SOC values.
- (4)
- The mean value distribution of SOC content in the boundary area of the study area shows significant differences. We conclude that this is mainly because the distribution characteristics of SOC content within the protection area are mainly influenced by various factors such as geographical location, vegetation coverage, salinization degree and human activities, while the background environment of the marginal areas is quite different [7,38]. For example, the two points 9 and 4 in the western part of the study area both have high sum and mean values, and the SOC content in the eastern part is relatively low.
3.2. Horizontal Spatial Distribution Characteristics of SOC in Each Soil Layer Within the Study Area
3.2.1. Analysis of Spatial Distribution Characteristics Within Each Horizontal Layer
3.2.2. Analysis of SOC Changes Between Each Horizontal Layer
3.3. Vertical Spatial Distribution Characteristics of SOC in the Study Area
3.3.1. The Variation Trend Characteristics of SOC with Depth at Each Sampling Point in the Study Area
- (1)
- Points 5, 7, 11, and 27 show relatively high R2 values in linear function fitting. Combined with the results of Table 2, this can be explained by the fact that the slopes of the fitting lines of SOC and depth change at the three points of 5, 7, and 27 are <−0.20; that is, the SOC content decreases significantly with depth [46]. The slope of the fitting line corresponding to point 11 is −0.15, showing an overall downward trend. The number of points belonging to these two variation trend types accounts for 11.11% and 3.7% of the total number of points, respectively.
- (2)
- Points 4, 8, and 10 show lower R2 values in linear function fitting. Combined with the results of Table 2, it can be seen that the slope of the fitting line between SOC and depth change at point 4 is only 0.024; that is, the SOC content is relatively stable with depth change. The slope of the fitting line between SOC and depth change at point 8 is 0.32, and the SOC content increases significantly with depth. The slope of the 10-point fitting curve is only 0.081, showing an overall downward trend. Altogether, the number of points belonging to these three variation trend types accounts for 3.70% of the total number of points.
- (3)
- Points 3, 12, 13, 17, 18, 25, and 28 have higher R2 values in quadratic function fitting. Combined with Table 2, it can be concluded that the SOC content of the above points increases first and then decreases or decreases first and then increases with depth, and the number of points accounts for 25.92% of the total points.
- (4)
- Points 1, 2, 6, 8, 9, 10, 14, 15, 16, 19, 20, 21, 23, 26, and 31 show relatively high R2 values in cubic function fitting. Combined with the results of Table 2, it can be concluded that the SOC content of the above points shows a wave-like trend with depth, and the number of points accounts for 48.15% of the total points.
- (1)
- The significant rising areas are mainly distributed in some coastal areas in the north–central part of the study area, such as the area near sampling point 8. The SOC content in these areas increases significantly with depth, and the SOC content in deep soil is higher. This study concludes that this phenomenon may be caused by the “sedimentary effect” of organic matter input, storm surges, moisture-proof dams, vegetation coverage, and other factors.
- (2)
- The overall growth trend area appears in the north–central region of the reserve, such as sampling point 10. The SOC content in this area fluctuates at different depths, but the overall trend is an increasing one. This study concludes that this phenomenon may also be caused by tidal phenomena, storm surges, moisture-proof dams, vegetation coverage, and other factors. However, the point is at a distance of 977 m from the coast and the vegetation coverage less than point 8.
- (3)
- The relatively stable area is mainly concentrated in the southwest of the protection area, such as sampling point 4. The SOC content in this area does not vary much with depth and remains relatively stable, reflecting the balance of soil environmental conditions.
- (4)
- The significant decline areas are mainly distributed in some areas in the south–central and eastern parts of the reserve, such as the areas where sampling points 5, 7, and 27 are located. The SOC content in these areas decreases significantly with depth, and the SOC content in deep soil is low, which may be related to soil erosion, drainage conditions, or the salt effect [47].
- (5)
- The integral decline trend area is mainly distributed in the southeast corner of the southernmost part of the reserve. For example, the SOC content of sampling point 11 gradually decreases with the increase in depth, but the decrease is relatively gentle.
- (6)
- The area of the fluctuation change trend area accounts for the largest area of the protection area (the number of corresponding points of the fluctuation change trend accounts for 74.07% of the total number of sampling points), which appears in some areas in the south, west, northwest, and central northeast of the protection area, such as the surrounding areas corresponding to the sampling points of 1, 2, 3, 9, 14, 16, 19 and 21 in the protection area. The SOC content in these areas shows an obvious fluctuation with depth, which is similar to the wave shape. This may be related to the interaction of various factors such as soil bedding structure, seasonal variation, tidal action and salinity change [48,49,50].
3.3.2. Vertical Spatial Distribution Characteristics of SOC in Different Regions of the Study Area
- (1)
- In the core area of the Tamarix forest and high-density Tamarix forest area (near point 5), the SOC content in the surface layer (0–10 cm) is as high as 9.18 gC/kg, but it has decreased to 2.38 gC/kg in the soil layer at a depth of 90–100 cm, showing a distribution characteristic of “surface aggregation, gradually decreasing layer by layer”. This study concludes that the reason is that dense Tamarix vegetation inputs organic matter through dead branches, fallen leaves, and root exudates, but the deep soil has poor air permeability and slow organic matter decomposition.
- (2)
- In the core area of the Tamarix forest and the medium-density Tamarix forest area (near points 6, 7, 14, and 31), the surface SOC content is relatively low compared to point 5, and SOC fluctuates with increasing depth. This may be related to the effects of vegetation coverage, soil disturbance, and root exudates on organic matter input. In addition, medium-density Tamarix forests may have a balancing effect on the input and decomposition rate of SOC, thereby affecting the vertical distribution of SOC [52].
- (3)
- In the northeast ecological restoration area and low-density Tamarix forest area (near points 13, 18, 19, 20, 21, 23, 25, 26, 27, 28), the surface SOC is relatively low compared to the core area. SOC shows an overall upward trend from the surface to the middle soil layer, with a sharp decrease in soil SOC near 50 cm, and SOC exhibits relatively small fluctuations in the deep layer. The upward trend may be mainly influenced by the root system of artificially planted Tamarix, and the stabilization may be influenced by the leaching effect. The different trends in SOC content at each point may be due to different factors such as tree age, the shallow root system, soil disturbance and other factors in different regions.
- (4)
- In the southeastern inland area and medium-density Tamarix forest area (around points 1, 2, 11, and 12), the surface SOC content is relatively small and fluctuates with increasing depth. As the region is located adjacent to the inland area on the southeast side, this study concludes that the dominant factors affecting the distribution characteristics of SOC content in the region may be relatively low vegetation coverage and strong human activities.
- (5)
- In the area affected by seawater intrusion and high-density Tamarix forest (around points 15, 16, and 17), the surface SOC content is similar. Except for point 17 (due to seawater backflow, it is impossible to accurately distinguish the soil samples of each soil layer, so accurate sampling below a depth of 30 cm is not possible), there is a significant increase in SOC in the middle soil layer at a depth scale of 40 cm. This study suggests that the increase in salt content may inhibit the activity of microorganisms, slow down the decomposition rate of organic matter, and thus facilitate the accumulation of SOC [53].
- (6)
- The variation in SOC content with depth is complex and varied in the area affected by seawater intrusion and medium-density Tamarix chinensis forest (around points 8, 10, and 31). This study concludes that this may be due to the significant difference in the impact of seawater backflow, as well as the input and decomposition rate of SOC by the Tamarix forest.
- (7)
- In the moisture-proof dam protection area and low-density Tamarix forest area (around point 9), the SOC content is relatively high in the depth range of 0–40 cm and shows an overall upward trend, and decreases significantly when the depth increases to more than 40 cm. This study concludes that the moisture-proof dam greatly reduces the impact of seawater backflow in the area, which in turn affects the trend of SOC variation with depth.
- (8)
- In the area affected by the Di River and the medium-density Tamarix forest area (near point 3 and point 4), the overall SOC content is relatively high. The SOC variation trend shows an overall upward trend in the upper layer and reaches its maximum value in the 30–40 cm soil layer, and then gradually decreases or remains relatively stable with increasing soil depth. This study concludes that the upward trend may be influenced by the change in soil moisture conditions due to the impact of the Di River, leading to the accumulation of SOC [54].
3.4. Comparative Analysis of SOC Content in Typical Areas Inside and Outside the Study Area
3.4.1. Comparative Analysis of SOC Between “Single-Row Tamarix Area Along Inland Roads”, “Bare Soil and To-Be-Repaired Area” and Low-Density Tamarix Forest Area
3.4.2. Comparative Analysis of SOC Between Inland Bare Soil Area and Artificial Restoration Area
3.4.3. Comparative Analysis of SOC Between Natural Growth Recovery Zone and Ecological Engineering Recovery Zone
3.4.4. Comparative Analysis of SOC Between the Tidal-Flat Area Outside the Moisture-Proof Dam and the Ecological Restoration Area Inside the Moisture-Proof Dam
3.5. Analysis of Influencing Factors of SOC in the Study Area
3.5.1. The Impact of Storm Surges and Moisture-Proof Dams on the Spatial Distribution Characteristics of SOC
3.5.2. The Impact of Ecological Functional Zoning on the Spatial Distribution Characteristics of SOC
3.5.3. The Impact of Ecological Restoration Project on the Spatial Distribution Characteristics of SOC
3.5.4. Suggestions for Management and Related Protective Measures
- (1)
- Strengthen the construction and maintenance of key defense facilities such as moisture-proof dams, repair and build the first line of defense for ecological resources in the reserve from damage, so as to resist natural disasters such as storm surges to the greatest extent.
- (2)
- It is necessary to study the long-term impact of storm surges on SOC spatial distribution, as well as planning the construction of submerged areas so as to minimize the negative impact of natural disasters such as storm surges, while providing data support for the development of scientific and reasonable defense strategies.
- (3)
- The Tamarix forest is a vital core ecological resource in the region. In view of this, emphasis should be placed on strengthening its protection by establishing clear protected area and precisely and strictly restricting all unrelated development and construction activities. At the same time, we should actively engage in in-depth cooperation with scientific research institutions; carry out scientific research and monitoring work on Tamarix in a holistic manner, controlling its growth dynamics and health status in real time so as to prevent the degradation of the Tamarix forest area in advance; lay a strong foundation for ensuring that the Tamarix forest area will not be reduced; and gradually realize recovery and expansion. In addition, for the restoration area in the northeast direction, Tamarix seedlings should be planted to further limit the development and construction behavior in the area.
- (4)
- In terms of ecological restoration projects, it is necessary to strive towards Tamarix restoration projects via multiple channels; inject strong impetus into the improvement of vegetation coverage in the area; and promote the effective protection of the Tamarix forest ecosystem, the scientific restoration of wetland resources, and the rational development and utilization of the economic value of the Tamarix forest. In the process of promotion, we should actively unite the forces of the departments of the ecological environment, forestry, and others; build a collaborative cooperation mechanism; jointly overcome technical difficulties in the repair process; and ensure the successful implementation of the repair project.
- (5)
- In terms of management, we should make full use of modern scientific and technological means such as remote sensing technology to establish an efficient ecological state monitoring system, so as to realize real-time and accurate monitoring of the Tamarix forest and other ecological elements in the reserve, and ensure that problems can be found in time and respond quickly. In addition, a detailed and operable ecological protection and restoration plan should be formulated, with clearly set protection objectives, detailed specific measures, a reasonable planning schedule, and a strict monitoring and evaluation mechanism to ensure that all protection measures are effectively implemented without fail, so as to provide a solid institutional guarantee for the long-term stability and sustainable development of the Tamarix forest and its ecosystem.
4. Conclusions
- (1)
- Overall, SOC spans 1.0–10.0 gC kg−1 (mean: 2.5–8.2). High values (>5.0) cluster east and south where human impact is low; lows (<4.0) dominate north–central and west–central zones shaped by tidal submergence and salinization. Marked disparities at the boundaries arise from contrasting locations, vegetation cover, salinity, human pressure, storm surges, and seawater intrusion.
- (2)
- Horizontal SOC shows marked spatial heterogeneity. In surface soils, values decrease steadily from southwest to northeast under strong external forcing; down-profile, this gradient fades as the environmental influence weakens. By the bottom layer, heterogeneity re-emerges: SOC declines from the southwest corner toward the center, then climbs from southeast to northwest, achieving its maximum in the southwest corner and minimum in the northwest.
- (3)
- Vertical patterns: six SOC depth trends and eight functional zones were delineated based on cover, function, and location. A wave-like decline prevails in 74% of profiles, reflecting the interplay between bedding, seasonality, tides, and salinity. In the core and high-density Tamarix stands, “surface enrichment with stepwise decline” dominates, driven by dense litter and root inputs yet slow decomposition in poorly permeable subsoil. In zones affected by seawater intrusion within high-density stands, surface SOC converges at low values, but a marked mid-layer (≈40 cm) peak emerges as salt loading and marine erosion redistribute carbon.
- (4)
- Comparisons across land types show consistent patterns. Inside the reserve, artificially planted (point 23) and restored (point 21) zones yield 0–30 cm SOC levels that are 1.5–2.0 times those of adjacent bare sites (24, 30), owing to dense vegetation and limited disturbance; this advantage persists below 30 cm at point 21. Inside the moisture-proof dam (point 28), SOC remains markedly higher than outside (point 29), peaking at 60 cm and forming a symmetrical 50–60 cm bulge. Bare sites (24, 29, 30) suffer salinization, erosion, or seawater intrusion, suppressing vegetation and microbial activity and flattening SOC profiles.
- (5)
- Influencing factors such as offshore distance, storm surges, and moisture-proof dams, ecological function zoning and ecological restoration projects have a significant impact on the spatial distribution characteristics of SOC. The construction of moisture-proof dams effectively reduces the erosion of inland soil by seawater, while storm surges may lead to the loss and redistribution of SOC. The ecological function zoning and ecological restoration project significantly affected the accumulation and distribution of SOC by changing the vegetation coverage and soil environmental conditions.
- (6)
- In view of the management and protection of the Changyi National Special Marine Ecological Protection Area, it is suggested that the construction and maintenance of key defense facilities such as moisture-proof dams should be strengthened, the impact of storm surges on SOC and other ecological factors should be studied in depth, the protection of the Tamarix forest should be increased, ecological restoration projects should be implemented, land use types should be optimized, and modern scientific and technological means should be used to strengthen ecological state monitoring to ensure the stability and sustainable development of the ecosystem in the protection area.
Author Contributions
Funding
Data Availability Statement
Conflicts of Interest
References
- Mahmoudzadeh, H.; Matinfar, H.R.; Taghizadeh-Mehrjardi, R.; Kerry, R. Spatial Prediction of Soil Organic Carbon Using Machine Learning Techniques in Western Iran. Geoderma Reg. 2020, 21, e00260. [Google Scholar] [CrossRef]
- Sun, W.; Liu, X. Review on carbon storage estimation of forest ecosystem and applications in China. Forest Ecosyst. 2020, 7, 37–50. [Google Scholar] [CrossRef]
- Rui, Y.; Mingyue, L.; Yongbin, Z. Estimation of Soil Organic Carbon Stocks Utilizing Machine Learning Algorithms and Multi-source Geospatial Data in Coastal Wetlands of Tianjin and Hebei, China. Chin. Geogr. Sci. 2025, 35, 707–721. [Google Scholar] [CrossRef]
- Angst, G.; Mueller, K.E.; Castellano, M.J. Unlocking Complex Soil Systems as Carbon Sinks: Multi-Pool Management as the Key. Nat. Commun. 2023, 14, 2967. [Google Scholar] [CrossRef] [PubMed]
- Sokol, N.W.; Whalen, E.D.; Jilling, A. Global Distribution, Formation and Fate of Mineral-Associated Soil Organic Matter Under a Changing Climate: A Trait-Based Perspective. Funct. Ecol. 2022, 36, 1411–1429. [Google Scholar] [CrossRef]
- Kai, L.; Huimin, D.; Yunhong, S. Climate and Soil Geochemistry Influence the Soil Organic Carbon Content in Drylands of the Songliao Plain, Northeast China. Acta Geol. Sin. 2024, 98, 1394–1403. [Google Scholar]
- Wang, H.L.; Wang, J.C.; Zhang, Y.; He, G.X.; Wen, S.Z. Spatial distribution of soil organic carbon and its response to forest growth and soil layer in Cunninghamia lanceolata plantations in mid-subtropical China. For. Ecol. Manag. 2023, 532, 121302. [Google Scholar] [CrossRef]
- Jin, W.T.; Li, Q.F.; Zhang, M.; Li, F.H.; Deng, Y.J. Distribution Characteristics and Influencing Factors of Soil Organic Carbon in Beichuan River Protection Area, Datong, Qinghai Province. Forest Sci. Technol. 2025, 8, 36–41. (In Chinese) [Google Scholar]
- Rong, Q.; Liu, J.; Cai, Y.; Lu, Z.; Zhao, Z.; Yue, W.; Xia, Z. Leaf Carbon, Nitrogen and Phosphorus Stoichiometry of Tamarix Chinensis Lour. in the Laizhou Bay Coastal Wetland, China. Ecol. Eng. 2015, 76, 57–65. [Google Scholar] [CrossRef]
- Xie, L.; Wang, B.; Xin, M.; Wang, M.; He, X.; Wei, Q.; Shi, X.; Sun, X. Characteristics of Vegetation Carbon, Nitrogen, and C/N Ratio in a Tamarix Chinensis Coastal Wetland of China. Clean Soil Air Water 2019, 47, 1800452. [Google Scholar] [CrossRef]
- Xie, L.; Wang, B.; Xin, M.; Wang, M.; He, X.; Wei, Q.; Shi, X.; Sun, X. Impacts of Coppicing on Tamarix Chinensis Growth and Carbon Stocks in Coastal Wetlands in Northern China. Ecol. Eng. 2020, 147, 105760. [Google Scholar] [CrossRef]
- Yuan, M.X.; Zhu, N.H.; Guo, Q. The impact of different artificial forests on soil physicochemical properties and soil quality evaluation in the south subtropical zone. For. Res. 2022, 35, 112–122. (In Chinese) [Google Scholar]
- Ali, A.; Lin, S.L.; He, J.K.; Kong, F.M.; Yu, J.H.; Jiang, H.S. Climate and soils determine aboveground biomass indirectly via species diversity and stand structural complexity in tropical forests. Forest Ecol. Manag. 2019, 432, 823–831. [Google Scholar] [CrossRef]
- Ullah, F.; Gilani, H.; Sanaei, A.; Hussian, K.; Ali, A. Stand structure determines aboveground biomass across temperate forest types and species mixture along a local-scale elevational gradient. Forest Ecol. Manag. 2021, 486, 118984. [Google Scholar] [CrossRef]
- Zhang, S.; Zhou, X.; Chen, Y.; Du, F.; Zhu, B. Soil Organic Carbon Fractions in China: Spatial Distribution, Drivers, and Future Changes. Sci. Total Environ. 2024, 919, 170890. [Google Scholar] [CrossRef]
- Yang, X.; Xu, J.; Wang, H.; Quan, H.; Yu, H.; Luan, J.; Wang, D.; Li, Y.; Lv, D. Vertical Distribution Characteristics of Soil Organic Carbon and Vegetation Types under Different Elevation Gradients in Cangshan, Dali. PeerJ 2024, 12, e16686. [Google Scholar] [CrossRef] [PubMed]
- Zhao, M.L.; Cao, G.C.; Ma, Y.G.; Cao, S.K.; Zhao, Q.L.; Yuan, J.; Yan, X.; He, Q.X.; Qiu, X.X. Spatial Distribution Pattern and Influence Path of Soil Carbon and Nitrogen in the Heihe River Source Region, Northeast Qinghai-Tibet Plateau. Ecol. Indic. 2024, 165, 112181. [Google Scholar] [CrossRef]
- Ying, F.; Hua, X.; Hongyan, H.; Pengshuai, S.; Haisong, M.; Ximei, Z.; Jiangbao, X. Effect of Tamarix chinensis Forest on Soil Improvement in Changyi National Ocean Ecology Special Protection Zone. Wet. Sci. 2023, 21, 35–43. (In Chinese) [Google Scholar]
- Shu, X.; Gao, L.M.; Yang, J.X.; Xia, J.Y.; Song, H.; Zhu, L.M.; Zhang, K.; Wu, L.; Pang, Z.D. Spatial Distribution Characteristics and Influencing Factors of Soil Organic Carbon Based on the Geographically Weighted Regression Model. Environ. Monit. Assess. 2024, 196, 1083. [Google Scholar] [CrossRef]
- Fusaro, C.; Sarria-Guzmán, Y.; Chávez-Romero, Y.A.; Luna-Guido, M.; Muñoz-Arenas, L.C.; Dendooven, L.; Estrada-Torres, A.; Navarro-Noya, Y.E. Land Use Is the Main Driver of Soil Organic Carbon Spatial Distribution in a High Mountain Ecosystem. PeerJ 2019, 7, e7897. [Google Scholar] [CrossRef] [PubMed]
- Wang, J.; Han, P.; Zhang, Y.; Li, J.Y.; Xu, L.X.; Shen, X.; Yang, Z.G.; Xu, S.S.; Li, G.X.; Chen, F.Y. Analysis on Ecological Status and Spatial–Temporal Variation of Tamarix Chinensis Forest Based on Spectral Characteristics and Remote Sensing Vegetation Indices. Environ. Sci. Pollut. Res. 2022, 29, 37315–37326. [Google Scholar] [CrossRef] [PubMed]
- Research Group of Soil Taxonomy; Nanjing Institute of Soil Research; Chinese Academy of Sciences; China Soil System Classification Research Collaborative Group. Classification and Retrieval of Soil Systems in China, 3rd ed.; University of Science and Technology of China Press: Hefei, China, 2001; pp. 70–71. [Google Scholar]
- Certificate and Certified Reference Values for Soil Available Nutrients Reference Material GBW07458 (Heilongjiang Black Soil), 2009.
- Sousa, R.B.D.; Netto-Ferreira, J.B.; Barra, C.M.; Alves, B.J.; Lã, O.R.; Rocha Junior, J.G. Sustainable Wet Method for Determination of Total Organic Carbon in Soils Using Potassium Permanganate as a Substitute for Potassium Dichromate. J. Soil Sci. Plant Nut 2025, 25, 322–330. [Google Scholar] [CrossRef]
- Wang, Q.; Wang, W.; He, X.; Zhang, W.; Song, K.; Han, S. Role and Variation of the Amount and Composition of Glomalin in Soil Properties in Farmland and Adjacent Plantations with Reference to a Primary Forest in North-Eastern China. PLoS ONE 2015, 10, e0139623. [Google Scholar] [CrossRef]
- Hongye, X.; Nana, F.; Xi, W.; Kai, L.; Hui-min, D.; Ze, Y.; Guo-dong, L. Spatiotemporal distribution characteristics of surface soil carbon pool in Sanjiang Plain. Geol. Resour. 2025, 34, 217–224+245. (In Chinese) [Google Scholar]
- Zhang, Y.; Chang, X.; Liang, J.; Luo, D.; He, R. The efficacy of Kriging spatial interpolation for filling temporal gaps in daily air temperature data: A case study in northeast China. Sci. Cold Arid. Reg. 2016, 8, 441–449. [Google Scholar]
- Zou, F.; Li, X.; Zhang, Y.; Wang, Z.; Liu, J. Dynamic changes in and driving factors of soil organic carbon in China from 2001 to 2020. Land 2024, 13, 1764. [Google Scholar] [CrossRef]
- Harsha, B.R.; Kumar, K.S.A.; Nandeesha, C.V. Climatic Analysis, Soil Site Suitability Evaluation and Soil Organic Carbon Stock Studies on Major Grape-Growing Soils in the Southern Karnataka, India. Commun. Soil Sci. Plant Anal. 2023, 54, 3043–3062. [Google Scholar] [CrossRef]
- Vos, C.; Balesdent, J.; Angers, D.A. Assessing spatial and seasonal variability in soil organic carbon fractions of teal carbon in semi-arid Ramsar wetlands of India as a natural climate solution. Wetl. Ecol. Manag. 2022, 33, 215–230. [Google Scholar]
- Li, L.; Yue, Y.J.; Qin, F.C. Multi-Scale Characterization of Spatial Variability of Soil Organic Carbon in a Semiarid Zone in Northern China. Sustainability 2022, 14, 9390. [Google Scholar] [CrossRef]
- Zhang, X.Y.; Zhang, D.D.; Zhang, Y. Spatiotemporal Patterns and Drivers of Soil Organic Carbon in Black Soil Landscapes of Northeast China. PLoS ONE 2024, 19, e0320784. [Google Scholar]
- Zhang, J.; Song, M.; Zheng, S.; Zhou, P.; Guo, J.; He, J.; Yue, H. Distribution Characteristics of Top SOC in Different Forest Types of Genhe in the Greater Khingan Range of Inner Mongolia. Sci. Rep. 2025, 15, 6736. [Google Scholar] [CrossRef]
- Zhang, Y.; Wang, X.; Zheng, Y.; Duan, L. Characteristics of Soil Organic Carbon Fractions and Influencing Factors in Different Understory Mosses in Karst Urban Parks. Sci. Rep. 2024, 14, 27691. [Google Scholar] [CrossRef]
- Gore, C.; Garrett, A.; Ladd, C.J.T.; Möller, I. Saltmarsh blue carbon accumulation rates and their relationship with sea-level rise on a multi-decadal timescale in northern England. Estuar. Coast. Shelf Sci. 2024, 284, 108665. [Google Scholar] [CrossRef]
- Ge, J.X.; Cui, B.L.; Wang, X.J.; Xie, B.H.; Zhao, M.L.; Yu, D.X.; Yu, Y.; Song, W.M.; Ma, H.Q.; Zhang, X.S.; et al. The Influence of Tidal Gully Morphology on the Spatial Distribution of Soil Organic Carbon in Tidal Flat Wetlands. Environ. Eng. 2023, 41, 23–31. (In Chinese) [Google Scholar] [CrossRef]
- Naughton, H.R.; Keiluweit, M.; Tfaily, M.M.; Dynes, J.J.; Regier, T.; Dendorf, S. Development of Energetic and Enzymatic Limitations on Microbial Carbon Cycling in Soils. Biogeochemistry 2021, 153, 191–213. [Google Scholar] [CrossRef]
- Mayer, M.; Prescott, C.E.; Abaker, W.E.A.; Augusto, L.; Cécillon, L.; Ferreira, G.W.D.; Jason, J.; Jandl, R.; Katzensteiner, K.; Laclau, J.P.; et al. Tamm Review: Influence of Forest Management Activities on Soil Organic Carbon Stocks: A Knowledge Synthesis. Forest Ecol. Manag. 2020, 466, 118127. [Google Scholar] [CrossRef]
- Niu, X.G.; Zhang, S.L.; Zhang, C.B.; Yan, P.K.; Wang, H.; Xu, W.T.; Song, M.K.; Aurangzeib, M. Key Factors Influencing the Spatial Distribution of Soil Organic Carbon and Its Fractions in Mollisols. Catena 2024, 247, 108522. [Google Scholar] [CrossRef]
- Wang, C.; Liu, X.T.; Tong, C.; Chen, X.X.; Chen, Y.Y.; Mou, X.J.; Wan, S.A. The Effect of Water Salt Gradient on Soil Organic Carbon Components in the Minjiang River Estuary Wetland. China Environ. Sci. 2017, 37, 3919–3928. (In Chinese) [Google Scholar]
- Han, G.X. Research Progress on the Impact Mechanism of Tidal Action and Wet Dry Alternation on Carbon Exchange in Salt Marsh Wetlands. J. Ecol. 2017, 37, 8170–8178. [Google Scholar]
- Zhang, J.H.; Li, G.D.; Wang, Y.S.; Zhu, L.Q.; Zhao, W.L.; Ding, Y.P. Spatial Characteristics and Variation Mechanisms of Different Components of Soil Organic Carbon in the Yellow River Sediment Erosion/Deposition Area. Acta Geogr. Sin. 2020, 75, 558–570. (In Chinese) [Google Scholar]
- Wang, L.; Ying, R.R.; Shi, J.Q.; Long, T.; Acta, Y.L. Research Progress on the Adsorption and Fixation Mechanism of Soil Minerals on Organic Matter. Acta. Pedofil. Sin. 2017, 54, 805–818. (In Chinese) [Google Scholar]
- Luo, X.; Xie, Y.; Han, C. Plant species richness increases the relationship between soil microbial and extracellular enzyme activities and enhances soil fertility. Ecolo. Indi. 2025, 171, 113202. [Google Scholar] [CrossRef]
- Liu, M.; Hugelius, G.; Olefeldt, D. Unprotected carbon dominates decadal soil carbon increase. Nat. Commun. 2024, 15, 2314. [Google Scholar] [CrossRef]
- Wang, H.; Yin, Y.; Cai, T. Global patterns of soil organic carbon dynamics in the 20–100 cm soil profile for different eco-systems: A global meta-analysis. Earth Syst. Sci. Data Discuss. 2024, 17, 3375–3390. [Google Scholar] [CrossRef]
- Chen, P.; Xie, Y.; Ren, X. Spatial variation of soil organic carbon density in the black soil region of Northeast China under the influence of erosion and deposition. J. Clean. Prod. 2024, 475, 143616. [Google Scholar] [CrossRef]
- Gong, Z.; Wen, T.Y.; Jin, C.; Zhao, K.; Su, M. Distribution Characteristics and Influencing Factors of Soil Organic Carbon in Intertidal Wetlands in Central Jiangsu Province. J. Appl. Ecol. 2023, 34, 2978–2984. (In Chinese) [Google Scholar]
- Xi, M.; Lu, X.; Li, Y.; Kong, F. Distribution Characteristics of Dissolved Organic Carbon in Annular Wetland Soil-Water Solutions through Soil Profiles in the Sanjiang Plain, Northeast China. J. Environ. Sci. 2007, 19, 1074–1078. [Google Scholar] [CrossRef] [PubMed]
- Yuan, Z.; Fu, C.; Liu, J. Soil Organic Carbon Stocks Depend Differently on Physicochemical Features in Subtropical Seasonally Flooded Wetland and Non-flooded Shoreland Forest. Land. Degrad. Dev. 2025, 36, 144–157. [Google Scholar] [CrossRef]
- Carbajal, M.; Ramírez; David, A.; Turin, C. From Rangelands to Cropland, Land-Use Change and Its Impact on Soil Organic Carbon Variables in a Peruvian Andean Highlands: A Machine Learning Modeling Approach. Ecosystems 2024, 27, 899–917. [Google Scholar] [CrossRef]
- Sun, J.; Xia, J.B.; Dong, B.T.; Gao, F.L.; Chen, P.; Zhao, W.L.; Li, C.R. Root Morphology and Growth Characteristics of Tamarix Ramosissima Forests with Different Densities in Coastal Mudflat of the Yellow River Delta. J. Ecol. 2021, 41, 3775–3783. (In Chinese) [Google Scholar]
- Amini, S.; Ghadiri, H.; Chen, C.; Marschner, P. Salt-Affected Soils, Reclamation, Carbon Dynamics, and Biochar: A Review. J. Soils Sediments 2016, 16, 939–953. [Google Scholar] [CrossRef]
- Liu, X.D.; Qiao, Y.N.; Zhou, G.Y. Controlling action of soil organic matter on soil moisture retention and its availability. Chin. J. Plant Ecol. 2011, 35, 1209–1218. [Google Scholar] [CrossRef]
- Zhu, Y.H.; Liu, X.L.; Chen, W.F.; Song, X.L.; Lin, X.T.; Niu, X.C. Eco-stoichiometric Characteristics of Soil Carbon, Nitrogen, and Phosphorus in Reclaimed Area of Abandoned Salt Pan in the Yellow River Delta. J. Soil Water Conserv. 2020, 34, 352–360. [Google Scholar]
- Huang, M.Z.; Lan, J.C.; Wang, S.S.; Wang, J.X.; Qi, X.; Liu, L.; Yue, K.Q. Effects of Soil Exchangeable Calcium in Promoting the Accumulation of Soil Organic Carbon by Karst Vegetation Restoration. J. Soil Sci. Plant Nutr. 2024, 24, 843–854. [Google Scholar] [CrossRef]
- Wan, Q.Z.; Zhu, G.F.; Guo, H.W.; Zhang, Y.; Pan, H.X.; Yong, L.L.; Ma, H.Y. Influence of Vegetation Coverage and Climate Environment on Soil Organic Carbon in the Qilian Mountains. Sci. Rep. 2019, 9, 17623. [Google Scholar] [CrossRef]
- Seitz, D.; Fischer, L.M.; Dechow, R.; Wiesmeier, M.; Don, A. The Potential of Cover Crops to Increase Soil Organic Carbon Storage in German Croplands. Plant Soil. 2023, 488, 157–173. [Google Scholar] [CrossRef]
- Smith, A.J.; Kirwan, M.L. Sea Level-driven Marsh Migration Results in Rapid Net Loss of Carbon. Geophys. Res. Lett. 2021, 48, e2021GL092420. [Google Scholar] [CrossRef]
- Arif, Y.; Singh, P.; Siddiqui, H.; Bajguz, A.; Hayat, S. Salinity Induced Physiological and Biochemical Changes in Plants: An Omic Approach towards Salt Stress Tolerance. Plant Physiol. Biochem. 2020, 156, 64–77. [Google Scholar] [CrossRef]
- Menezes, R.S.C.; Sales, A.T.; Primo, D.C.; Albuquerque, E.R.G.M.; Jesus, K.N.; Pareyn, F.G.C.; Santana, M.S.; Santos, U.J.; Martins, J.C.R.; Althoff, T.D.; et al. Soil and Vegetation Carbon Stocks after Land-Use Changes in a Seasonally Dry Tropical Forest. Geoderma 2021, 390, 114943. [Google Scholar] [CrossRef]
- Zhang, H.; Li, F.R.; Zhang, T.H.; Li, Y.L.; Su, Y.Z. Dynamics and variation characteristics of soil wind erosion in bare sandy farmland in spring. J. Soil Water Conserv. 2002, 16, 29–32. (In Chinese) [Google Scholar]
- Zhu, Z.; Wang, Z.; Dong, C. Physics informed neural network modelling for storm surge forecasting—A case study in the Bohai Sea, China. Coast. Eng. 2025, 197, 104686. [Google Scholar] [CrossRef]
- Yu, L.; Tao, Z.; Bai, J.H.; Wang, J.J.; Yu, Z.B.; Wang, X.; Zhang, G.L. Effects of Water and Salinity on Soil Labile Organic Carbon in Estuarine Wetlands of the Yellow River Delta, China. Ecohydrol. Hydrobiol. 2020, 20, 556–569. [Google Scholar] [CrossRef]
- Qu, W.D.; Li, J.Y.; Han, G.X.; Wu, H.T.; Song, W.M.; Zhang, X.S. Effect of Salinity on the Decomposition of Soil Organic Carbon in a Tidal Wetland. J. Soils Sediments 2019, 19, 609–617. [Google Scholar] [CrossRef]
- Xia, S.P.; Song, Z.L.; Van Zwieten, L.; Guo, L.D.; Yu, C.X.; Wang, W.Q.; Li, W.; Hartley, I.P.; Yang, Y.H.; Liu, H.Y.; et al. Storage, Patterns and Influencing Factors for Soil Organic Carbon in Coastal Wetlands of China. Glob. Change Biol. 2022, 28, 6065–6085. [Google Scholar] [CrossRef] [PubMed]
- Liu, L.; Zhang, Q.; Liu, Q.; Li, Z. Is Soil an Organic Carbon Sink or Source upon Erosion, Transport and Deposition? Eur. J. Soil Sci. 2023, 74, e13344. [Google Scholar] [CrossRef]
- Peng-shuai, S.; Hong-yan, H.A.N.; Jing-kuan, S.U.N. Effects of Wetland Degradation and Restoration on Soil Organic Carbon Content and Infrared Carbon Compounds of Tamarix Chinensis Woodland in the Yellow River Delta. Chin. J. Ecol. 2022, 41, 1258. [Google Scholar]
















| Depth (cm) | Distribution Pattern | Influencing Factors |
|---|---|---|
| 0–10 | West high, east low | Fluvial deposition, Tamarix input |
| 10–20 | West high, east low; high-value zone shrinks | Sedimentary environment, groundwater level |
| 20–30 | Historical deposition | |
| 30–40 | High-value zone expands eastward | Weakened shallow-salt effect, fine-grained deposition |
| 40–50 | High-value zone shrinks; spatial heterogeneity weakens | Deep groundwater flow, stable salinity |
| 50–60 | Decreasing from west to east and increasing from south to north | Salt leaching and evaporation cycles |
| 60–70 | Overall decline with localized high values | Clay/oxide fixation, seawater intrusion |
| 70–80 | West declines, east stable; spatial differences narrow | Microbial dormancy, homogenization |
| 80–90 | Further homogenization | Erosion-driven migration, geological steady state |
| 90–100 | Decreasing from southwest to northeast and increasing from southeast to northwest |
| Number | Trend | Judgment Criteria | Corresponding Point Location | Proportion |
|---|---|---|---|---|
| 1 | Significant increase | The slope of the fitted line is 0.32; the fitted straight line shows a significant upward trend | 8 | 3.70% |
| 2 | Integral rise | The slope of the fitted line is 0.081; the fitted straight line shows an overall upward trend | 10 | 3.70% |
| 3 | Relative stability | The slope of the fitted line is 0.024; the straight line nearly parallel to the x-axis | 4 | 3.70% |
| 4 | Significant decrease | The slopes of the fitted lines are <−0.20; the fitted straight line shows a significant decrease trend | 5, 7, 27 | 11.11% |
| 5 | Integral decline | The slope of the fitted line is −0.15; the fitted straight line shows an overall downward trend | 11 | 3.70% |
| 6 | Fluctuation change | The fitted curves show a quadratic trend | 3, 12, 13, 17, 18, 25, 28 | 25.92% |
| The fitted curves show a one-dimensional cubic trend | 1, 2, 6, 9, 14, 15, 16, 19, 20, 21, 23, 26, 31 | 48.15% |
| Number | Point | Geographical Location and Geomorphological Features | Remote Sensing Image (Map World) |
|---|---|---|---|
| 1 | 24 | Originally a salt field, it is now a bare land awaiting restoration. Off-shore straight distance: 2.5 km | ![]() |
| 2 | 29 | The point in the tidal-flat area outside the tidal dam | ![]() |
| 3 | 30 | Inland bare soil; off-shore straight distance: 3.4 km | ![]() |
| 4 | 32 | Originally a tidal-flat area, it is now the natural growth and restoration area of Tamarix forest; off-shore straight distance: 3.4 km | ![]() |
Disclaimer/Publisher’s Note: The statements, opinions and data contained in all publications are solely those of the individual author(s) and contributor(s) and not of MDPI and/or the editor(s). MDPI and/or the editor(s) disclaim responsibility for any injury to people or property resulting from any ideas, methods, instructions or products referred to in the content. |
© 2025 by the authors. Licensee MDPI, Basel, Switzerland. This article is an open access article distributed under the terms and conditions of the Creative Commons Attribution (CC BY) license (https://creativecommons.org/licenses/by/4.0/).
Share and Cite
Liu, R.; Wang, J.; Chen, F.; Sun, X.; Cheng, X.; Liu, K.; Wang, L.; Xu, G.; Du, Y.; Xu, J. The Analysis of the Spatial Distribution Characteristics and Influencing Factors of SOC in a Coastal Tamarix Chinensis Forest—The Case of China’s Changyi National Marine Ecological Special Protection Area. Forests 2025, 16, 1432. https://doi.org/10.3390/f16091432
Liu R, Wang J, Chen F, Sun X, Cheng X, Liu K, Wang L, Xu G, Du Y, Xu J. The Analysis of the Spatial Distribution Characteristics and Influencing Factors of SOC in a Coastal Tamarix Chinensis Forest—The Case of China’s Changyi National Marine Ecological Special Protection Area. Forests. 2025; 16(9):1432. https://doi.org/10.3390/f16091432
Chicago/Turabian StyleLiu, Ruiting, Jin Wang, Feiyong Chen, Xiuqin Sun, Xiaoxiang Cheng, Keqin Liu, Lin Wang, Geng Xu, Yufeng Du, and Jingtao Xu. 2025. "The Analysis of the Spatial Distribution Characteristics and Influencing Factors of SOC in a Coastal Tamarix Chinensis Forest—The Case of China’s Changyi National Marine Ecological Special Protection Area" Forests 16, no. 9: 1432. https://doi.org/10.3390/f16091432
APA StyleLiu, R., Wang, J., Chen, F., Sun, X., Cheng, X., Liu, K., Wang, L., Xu, G., Du, Y., & Xu, J. (2025). The Analysis of the Spatial Distribution Characteristics and Influencing Factors of SOC in a Coastal Tamarix Chinensis Forest—The Case of China’s Changyi National Marine Ecological Special Protection Area. Forests, 16(9), 1432. https://doi.org/10.3390/f16091432




