Next Article in Journal
Influence of Mixing Conditions on the Strength and Microstructure of Cement Paste
Next Article in Special Issue
Microstructure-Driven Feasibility of Crushed Bamboo Coarse Aggregate for Structural–Insulating Wall Composites
Previous Article in Journal
Experimental Study and Practical Application of Existing Crack Repair in Concrete Dam Tunnels Using MICP and EICP
 
 
Font Type:
Arial Georgia Verdana
Font Size:
Aa Aa Aa
Line Spacing:
Column Width:
Background:
Article

Interfacial Shear Strength of Sand–Recycled Rubber Mixtures Against Steel: Ring-Shear Testing and Machine Learning Prediction

by
Rayed Almasoudi
1,2,*,
Hossam Abuel-Naga
1 and
Abolfazl Baghbani
1,*
1
Department of Engineering, La Trobe University, Bundoora, Melbourne, VIC 3086, Australia
2
Department of Civil Engineering, Umm Al-Qura University, Makkah 24381, Saudi Arabia
*
Authors to whom correspondence should be addressed.
Buildings 2025, 15(18), 3276; https://doi.org/10.3390/buildings15183276
Submission received: 19 August 2025 / Revised: 2 September 2025 / Accepted: 10 September 2025 / Published: 10 September 2025

Abstract

Soil–structure contacts often govern deformation and stability in foundations and buried infrastructure. Rubber waste is used in soil mixtures to enhance geotechnical performance and promote environmental sustainability. This study investigates the peak and residual shear strength of sand–steel interfaces, where the sand is mixed with recycled rubber. It also develops predictive machine learning (ML) models based on the experimental data. Two silica sands, medium and coarse, were mixed with two rubber gradations; however, Rubber B was included only in limited comparative tests at a fixed content. Ring-shear tests were performed against smooth and rough steel plates under normal stresses of 25 to 200 kPa to capture the full τ–δ response. Nine input variables were considered: median particle size (D50), regularity index (RI), porosity (n), coefficients of uniformity (Cu) and curvature (Cc), rubber content (RC), applied normal stress (σn), normalised roughness (Rn), and surface hardness (HD). These variables were used to train multiple linear regression (MLR) and random forest regression (RFR) models. The models were trained and validated on 96 experimental data points derived from ring-shear tests across varied material and loading conditions. The machine learning models facilitated the exploration of complex, non-linear relationships between the input variables and both peak and residual interfacial shear strength. Experimental findings demonstrated that particle size compatibility, rubber content, and surface roughness significantly influence interface behaviour, with optimal conditions varying depending on the surface type. Moderate inclusion of rubber was found to enhance strength under certain conditions, while excessive content could lead to performance reduction. The MLR model demonstrated superior generalisation in predicting peak strength, whereas the RFR model yielded higher accuracy for residual strength. Feature importance analyses from both models identified the most influential parameters governing the shear response at the sand–steel interface.

1. Introduction

Interface shear strength (τp) refers to the maximum shear stress that can be transmitted along the contact between soil and a structural surface before relative movement occurs or continues [1,2]. It governs both deformation control under working loads and overall stability against failure [3]. After peak resistance is mobilised, the shear strength typically degrades to a constant residual value (τr), making it essential to account for both peak and residual strengths in reliable geotechnical design [4,5,6]. Interface shear strength is often expressed in dimensionless form using the interface shear coefficient μ p , which normalises shear resistance by the applied normal stress, as shown in Equation (1) [7,8].
μ p = τ p σ n
where τp is the peak shear stress and σn is the applied normal stress. Laboratory studies show that μp depends on the coupled characteristics of the granular phase and the counter-surface [9,10]. For clean quartz sands, larger median grain sizes D50 and broader gradation (Cu, Cc) reduce the number of effective contact points and therefore lower the peak shear coefficient μp and the residual shear coefficient μr. Particle angularity and higher density promote dilation and increase resistance by enhancing grain interlock and mobilised friction [11,12,13]. A key surface property influencing interface behaviour is the arithmetic average roughness height (Rt), which is typically normalised by the soil’s median grain size (D50) to form the normalised roughness parameter (Rn), as shown in Equation (2) [14,15].
R n = R t D 50
This ratio captures the relative scale between surface asperities and particle size, which governs the degree of mechanical interlock at the interface. In addition to roughness, the surface hardness (HD) also plays a significant role by affecting the degree to which soil particles can plough into or deform the counterface during shearing [16,17].
The concept of normalised roughness was initially developed for sand–steel interfaces [18]. The effect of surface roughness on interface shear strength depends on the hardness of the structural surface. When the surface is soft enough to undergo plastic deformation, increased roughness significantly enhances μp due to ploughing and interlocking [19,20]. For hard materials like high-carbon steel, μp still increases with roughness, but the improvement is more limited, as the dominant mechanism shifts to sliding [21,22]. Since the present study focuses on a hard steel surface, the findings reflect sliding behaviour and may not capture the full range of roughness effects seen in softer interface materials [23,24].
When two granular materials are mixed, such as sand and rubber, their relative particle sizes strongly affect how well the mixture packs and how the load is transferred. This relationship is expressed by the size ratio (SR), as shown in Equation (3) [25,26]. Previous studies have shown that when SR values are close to 1, the particles fit together more efficiently, which increases contact points and improves shear transfer. Lee et al. [27] and Lopera Perez et al. [28] reported that an SR between 0.8 and 1.2 provides the best packing and contact efficiency, leading to higher shear strength. More recent work (like Liu et al. [29]) has also confirmed that outside this range, voids increase and shear resistance drops. Since shear strength directly controls soil–structure performance, the choice of SR is an important factor in our study. By using this established range, we can give a stronger scientific basis for evaluating how rubber and sand particle sizes interact at the interface.
S R = D 50 ( r u b b e r ) D 50 ( s a n d )
The integration of recycled rubber into soil mixtures has attracted growing interest due to its combined environmental and geotechnical benefits. Rubber inclusions reduce the unit weight of backfill materials, enhance energy absorption under dynamic and seismic loading, and support the sustainable reuse of waste tyres. Benjelloun et al. [30] demonstrated that moderate inclusion of small, finely shredded rubber can boost shear strength by filling interparticle voids and improving contact efficiency in sand–rubber mixtures. However, at higher rubber contents, or when coarser rubber chips are used, shear strength decreases. This reduction is primarily due to the low stiffness of rubber particles, which deform under load, weaken interparticle force chains, and disrupt structural continuity within the mixture [31].
Unlike conventional direct-shear devices, which are limited by displacement capacity and sidewall friction, the ring-shear setup allows continuous rotation under constant normal stress, making it particularly suitable for soil–structure interface testing. Almasoudi et al. [32] previously used this apparatus to investigate clean sand sheared against steel and PVC surfaces, demonstrating the critical role of surface hardness and roughness. However, their work did not incorporate rubber inclusions.
While experimental testing is fundamental to understanding the mechanics of soil–structure interfaces, predictive modelling is equally important for engineering design and decision-making. Traditional regression techniques often struggle with the inherently multivariate and non-linear nature of interface behaviour. Machine learning (ML) offers a more flexible alternative by capturing complex variable interactions without requiring predefined functional relationships. Similar feature sets have been employed in recent studies, such as that of Almasoudi et al. [32], which demonstrated the effectiveness of ML models in predicting interface shear strength for sand–steel systems under varying material and stress conditions.
This study builds on previous research by integrating recycled rubber into ring-shear testing of sand–steel interfaces, introducing additional variables such as rubber content (RC) and particle size compatibility (SR) to assess their effects on interface behaviour. It also employs a dual machine learning framework, multiple linear regression (MLR) and random forest regression (RFR), to model the relationships between particle characteristics, interface properties, and shear response. The models employed nine input features, median particle size (D50), regularity index (RI), porosity (n), coefficient of uniformity (Cu), coefficient of curvature (Cc), rubber content (RC), applied normal stress (σn), normalised roughness (Rn), and surface hardness (HD), capturing the key physical influences of the soil skeleton, interface texture, and loading conditions.

2. Materials and Methods

2.1. Material

In this study, two quartz sands with different particle size characteristics, as shown in Figure 1, were selected to examine their interface shear behaviour when mixed with recycled rubber particles. According to Australian Standards [33], Sand-A is classified as medium sand with a D50 of 0.51 mm, displaying a rounded shape with an RI of 0.72. Sand-B is classified as coarse sand with a significantly larger D50 of 1.77 mm and sub-angular particle shape characterised by an RI of 0.40. The properties of both sands are presented in Table 1.
Two types of recycled granular rubber, Rubber A and Rubber B, as shown in Figure 2, were selected to assess the influence of rubber particle size and its compatibility with sand on interface behaviour. Rubber A, with a D50 of 0.54 mm, was used in the main experimental programme and tested systematically across a range of rubber contents (5%, 10%, 20%, 30%, and 50% by dry weight), as calculated using Equation (4). Rubber B, with a larger D50 of 1.58 mm, was included in a limited comparative study at a fixed rubber content of 20%, as detailed in Section 3.1.1, to investigate the role of particle size mismatch. As such, only Rubber A was used for the full parametric investigation across multiple interface types and stress conditions.
Rubber B was tested only at 20% content under 100 kPa normal stress to isolate the effect of particle size ratio (SR). This level was selected because earlier studies and preliminary tests showed that 20% content is close to the optimum for strength improvement. The main experimental programme used Rubber A, which had a particle size closer to Sand A and allowed systematic testing across the full range of rubber contents and interface conditions. This design helped us focus on the influence of rubber content while still highlighting the role of size mismatch through a limited comparison with Rubber B.
The recycled rubber was tested in the as-received condition. It was supplied in sealed boxes and was clean and free from dust or coatings, with no additional washing or surface treatment applied.
R C = M R C M T o t a l × 100
where MRC is the Absolute mass of recycled rubber contributing to mixture composition, and Mtotal is the Total dry mass of the soil–rubber mixture.
Figure 3 shows the particle size distribution curves for the sands and rubber types. Sand A is classified as medium sand, while Sand B is classified as coarse sand. Rubber A shows a gradation compatible with Sand-A, which supports efficient particle interlocking, whereas Rubber B represents coarser rubber particles. To evaluate size compatibility, the SR values were calculated, yielding 1.06 for the Rubber A–Sand A mixture and 0.30 for Rubber A–Sand B. These ratios reflect the packing efficiency and interaction potential between particles, factors that strongly influence interface shear behaviour. Rubber properties are summarised in Table 2. The specific gravity (Gs) and bulk density (ρr) of the rubber were determined experimentally.
Two steel surfaces, smooth and rough, were selected as interface materials, as shown in Figure 4. The smooth steel surface had an average roughness (Rt) of 7.48 µm, while the rough steel surface had an average roughness (Rt) of 22.23 µm. Both surfaces had identical hardness (HD) values of 112.2 HV. The Rt was accurately measured using a stylus profilometer, which traces the surface topology via a fine stylus moving perpendicularly across the material surface, recording its micro-geometry, as shown in Figure 5. Surface hardness (HD) measurements were conducted using the Vickers hardness test with a DuraScan hardness device (EMCO-TEST Prüfmaschinen GmbH, Kuchl, Austria) at La Trobe University in Bundoora Campus in Melbourne, VIC, Australia, determining hardness through indentation size from a diamond pyramid indenter, as shown in Figure 6. Properties of these continuum surfaces are detailed in Table 3.
Repeatability checks showed that surface roughness varied by less than ±5% across different profilometer readings, and Vickers hardness measurements varied within ±3 HV. Measurements taken before and after the full test programme confirmed nearly identical values, indicating that the steel surfaces remained stable and unchanged during testing.

2.2. Methods

To capture the full range of interface behaviour, from peak strength to post-peak degradation and residual resistance, a ring-shear apparatus was employed for its ability to provide continuous shear displacement under controlled normal stress. Interface shear tests were conducted using a modified GDS ring-shear apparatus (GDS Instruments, Hook, UK), as shown in Figure 7. This setup used a custom-designed shear mould, specifically tailored to accommodate sand-rubber mixtures in contact with steel interfaces. The mould included a ring-shaped channel (7.8 mm deep and 15 mm wide) for accurate and consistent sample placement. Interface plates coated with either smooth or rough steel surfaces were positioned beneath the shear mould to allow comprehensive evaluation of shear resistance.
All tests were performed on sand–rubber mixtures with void ratios ranging from 0.15 to 3.02, reflecting a broad range of initial packing conditions. The specimens were prepared using the sand-raining method, in which the mixtures were poured through a vertical pipe from a height of about 1 m into the ring-shear mould and allowed to settle naturally under gravity. All mixtures were tested against smooth and rough steel plates with controlled surface roughness and hardness to isolate their influence on interface behaviour. The specimens were sheared at a constant rate of 0.5 mm/min under applied normal stresses of 25, 50, 100, and 200 kPa, as shown in Figure 8. This variation in initial packing enabled a meaningful investigation into its influence on interfacial shear strength under controlled stress conditions.
Two machine learning algorithms, multiple linear regression (MLR) and random forest regression (RFR), were employed to predict peak interfacial shear strength. This combination enables direct comparison between a linear, interpretable model (MLR) and a robust, non-linear ensemble approach (RFR). The models were trained on nine physically meaningful input parameters selected to represent the mechanical and morphological properties of the sand–rubber mixtures and the steel interface. These include median particle size (D50), regularity index (RI), porosity (n), coefficients of uniformity (Cu) and curvature (Cc), rubber content (RC), applied normal stress (σn), normalised roughness (Rn), and surface hardness (HD). Descriptions of these variables are provided in Table 4.

3. Results and Discussion

3.1. Recycled Material

The use of recycled rubber in geotechnical applications has gained considerable attention due to its environmental and engineering benefits. As a by-product of waste tyres, shredded rubber offers a sustainable solution to reduce landfill volume while improving soil performance in civil infrastructure. In the context of soil–structure interaction, rubber particles influence interface behaviour by altering contact conditions, affecting packing density, and modifying deformation responses under shear. Two types of recycled rubber were used in this study, Rubber A and Rubber B, sieved to produce well-characterised particle sizes suitable for mixing with granular soils. Their effectiveness depends not only on their inherent flexibility and compressibility but also on their particle size relative to the host soil. Investigating their influence on interfacial shear behaviour contributes to understanding how waste-derived inclusions can be engineered for enhanced geotechnical performance, aligning with sustainability goals in construction.

3.1.1. Role of Rubber–Sand Relative Size

To investigate the influence of rubber particle size on interfacial shear behaviour, two types of recycled rubber were used: Rubber A, with finer and less angular particles (D50 = 0.54 mm), and Rubber B, coarser and more angular particles (D50 = 1.58 mm). These were each mixed with two quartz sands: Sand A (D50 = 0.51 mm) and Sand B (D50 = 1.77 mm), using a fixed rubber content of 20% by dry weight to isolate the effect of particle size. This experimental design aimed to study the effect of rubber–sand size compatibility on interface response. The relative size ratio (SR) was used to evaluate particle compatibility across all mixtures. The analysis focuses on the peak shear strength mobilised at a normal stress of 100 kPa on smooth steel. Here we fix RC (20%), σn (100 kPa), and the interface type (smooth steel) to isolate the effect of SR; other factors such as particle angularity and rubber deformability are therefore not varied independently in this subsection.
Figure 9 shows that when the sand and rubber had similar particle sizes (i.e., SR values close to 1), the mixtures showed higher peak shear strengths. For example, the Sand A–Rubber A mixture, with SR = 1.06, reached a peak shear strength of 27.6 kPa. Similarly, the Sand B–Rubber B mixture, with SR = 0.89, achieved an even higher peak of 29.1 kPa. These results align with the findings of Ari & Akbulut [34], who observed that similarly sized rubber and sand particles lead to better packing, void filling, and more effective contact with the interface surface, enhancing interlocking and facilitating more efficient shear transfer. Sand B, being coarser and more angular than Sand A, sometimes provided higher peak shear through stronger particle contacts, although the highest overall strengths were achieved with the Sand A–Rubber A mixtures due to their close size compatibility (SR ≈ 1).
However, when the particle sizes of sand and rubber were mismatched, the shear resistance decreased. The Sand A–Rubber B mixture, with a large SR = 3.10, developed a lower peak shear strength of around 22.3 kPa compared to when mixed with Rubber A. Similarly, the Sand B–Rubber A mixture, where SR = 0.31, showed a reduced peak of 25.6 kPa. These decreases are attributed to performance loss resulting from particle incompatibility, excessive voids, reduced contact area, slippage between grains, stress concentration zones, and weak layers within the interface [29,35].
In some cases, Sand B produced higher peak shear strength than Sand A. This can be explained by its coarser size and sub-angular grain shape, which promote stronger particle contacts and greater interlock. Nevertheless, the Sand A–Rubber A mixtures achieved the highest overall strengths, as their close size compatibility (SR ≈ 1) allowed more efficient packing and stress transfer.
These findings explain that peak interfacial shear strength is not controlled by rubber size alone but by the rubber–sand size ratio and the resulting particle interaction efficiency. Mixtures with closely matched D50 values, such as Sand A with Rubber A (SR ≈ 1.06) and Sand B with Rubber B (SR ≈ 0.89), demonstrated superior strength, confirming that size compatibility is a key factor influencing interface performance.

3.1.2. Role of Rubber Content

To study the effect of rubber content (RC) on interfacial shear resistance, Sand A was selected due to its particle size compatibility with Rubber A. As detailed in Section 3.1, Sand A and Rubber A have similar D50 values of 0.51 mm and 0.54 mm, respectively. This selection aimed to minimise the influence of particle size mismatch and allow for a clearer assessment of the influence of RC alone. The interface shear coefficient, μp, was used to evaluate performance across different rubber contents and normal stresses.
Figure 10 illustrates the variation in μp with increasing RC from 0% to 50% under three normal stress levels: 50, 100, and 200 kPa. For all stress levels, μp increased with RC until reaching its maximum at 20%, beyond which a decreasing trend was observed. At 50 kPa, μp rose from 0.215 for the pure sand case to 0.284 at 20% RC, before decreasing to 0.251 at 50% RC. Similarly, at 100 kPa, μp peaked at 0.285 for 20% RC, while at 200 kPa, μp followed the same trend, also peaking at 0.285.
This pattern suggests that moderate rubber inclusion enhances interface shear by improving packing density and promoting more efficient contact between sand particles and the steel surface. The slight deformability of rubber under load allows it to fill surface voids, leading to more uniform stress distribution and better mobilisation of interfacial resistance. A similar trend was observed by Daghistani and Abuel-Naga [36], who found that 20% rubber content improved interface strength through increased contact efficiency and packing density.
At higher RC beyond 20%, the reduction in μp can be attributed to the dominance of soft rubber particles in the mixture. These particles tend to deform under load, reducing the number of rigid contacts with the steel interface and diminishing the material’s capacity to resist shear, as rubber becomes the primary contact medium and disrupts effective force transmission [37].
Therefore, 20% RC is identified as the optimum level for enhancing interface shear resistance, as it offers the most effective combination of particle interlock, surface contact, and stress distribution for the case of interface shear coefficient (μp) measured between Sand A and smooth steel under normal stresses of 50, 100, and 200 kPa.
The identification of 20% RC as the optimum level is based on consistent experimental trends observed across shear stress–displacement curves and peak strength values. Although no formal statistical test (e.g., ANOVA) was applied in this study, such analysis could provide stronger evidence for the optimum and will be considered in future work.

3.2. Normalised Roughness

The effect of interface roughness on shear strength was evaluated by comparing smooth and rough steel surfaces, with average roughness values (Rt) of 7.48 μm and 22.23 μm, respectively. Tests were conducted across four normal stress levels (25, 50, 100, and 200 kPa) and a wide range of rubber contents (0% to 50%) using both Sand A and Sand B. The results, shown in Figure 11 and Figure 12, demonstrate that the influence of surface roughness is strongly dominated by the sand type, rubber content, and applied normal stress.
In the absence of rubber (0% RC), rough steel significantly increased the interface shear strength compared to smooth steel for both sand types. For example, with Sand A under 100 kPa normal stress, the average peak shear strength increased from 22.0 kPa on the smooth surface to 30.1 kPa on the rough surface, representing an improvement of 37%. This enhancement is attributed to greater mechanical interlocking and increased frictional resistance at the rougher interface, a mechanism consistent with the findings of Uesugi and Kishida [11], who observed that interface friction increases with surface roughness up to a critical threshold affected by soil particle shape and stress level.
As rubber content increased, the effect of surface roughness on shear strength diminished. At 30% rubber and 100 kPa, Sand A mixtures exhibited a peak shear strength of 27.3 kPa for smooth steel and 29.4 kPa for rough steel, reducing the advantage of roughness to less than 8%. At 50% rubber, the difference became negligible or even reversed. This trend is explained by the compressible and deformable nature of rubber, which reduces interparticle locking and promotes sliding over both surface types. The rubber particles act as energy-absorbing fillers, decreasing effective contact stress at the soil–steel interface and shifting the governing mechanism from frictional interlocking to compressive deformation.
A similar trend was observed with Sand B, although the influence of roughness was less pronounced due to its coarser grain size (D50 = 1.77 mm) and sub-angular shape. These characteristics promote strong internal friction and inherently higher shear strength, regardless of the interface condition. At 0% rubber and 100 kPa, rough steel produced 38.5 kPa compared to 29.1 kPa for smooth steel. However, at 50% rubber, both surfaces produced nearly identical values (55.5 kPa), indicating that the interface behaviour became controlled by rubber mechanics rather than sand–steel interaction.
The benefit of roughness, commonly quantified by the normalised roughness ratio Rn, reduces with increasing particle size or decreasing counterface hardness. The benefit of roughness, commonly quantified by the normalised roughness ratio Rn, decreases with increasing particle size or decreasing counterface hardness. Han et al. [38] similarly observed that when the surface hardness exceeds a certain threshold, sliding becomes the dominant interface mechanism rather than interlocking due to asperities. In this study, the steel interface hardness (HD = 112.2 HV) was sufficiently high to prevent ploughing, thereby reinforcing that interface resistance was primarily affected by sliding rather than surface indentation.
To further isolate the effect of roughness from the influence of stress magnitude, the peak shear factor, μp, was examined for both interface types. At 100 kPa and 0% rubber content, Sand A showed μp values of 0.30 for rough steel and 0.22 for smooth steel. However, this advantage progressively reduced with increasing rubber content, reaching a negligible difference of less than 0.01 at 50% rubber. This trend is clearly illustrated in Figure 13, which shows μp values across rubber contents for both smooth and rough steel under 25 kPa and 200 kPa normal stresses. A similar trend of μp was observed under both low (25 kPa) and high (200 kPa) normal stresses, confirming that rubber deformation becomes the dominant factor over surface roughness at higher rubber contents. These findings further support the conclusion that surface roughness significantly benefits clean sand–steel interfaces, particularly under low-to-moderate stress levels, but becomes ineffective as rubber content increases and the contact mechanics shift toward soft-particle deformation.
The relationship between normalised roughness (Rn) and peak interface shear strength (τp) is further illustrated in Figure 14. Across all normal stress levels, an increase in Rn generally corresponds to an increase in shear strength, particularly at 25 and 50 kPa where surface interaction dominates. At higher stresses (100 and 200 kPa), the rate of increase with Rn becomes less obvious, indicating that the benefit of roughness becomes less effective as normal confinement increases. These results confirm that normalised roughness has a more significant influence on shear strength when contact mechanics are controlled by surface interlocking rather than compressive resistance.

3.3. Sand-Rubber Interface

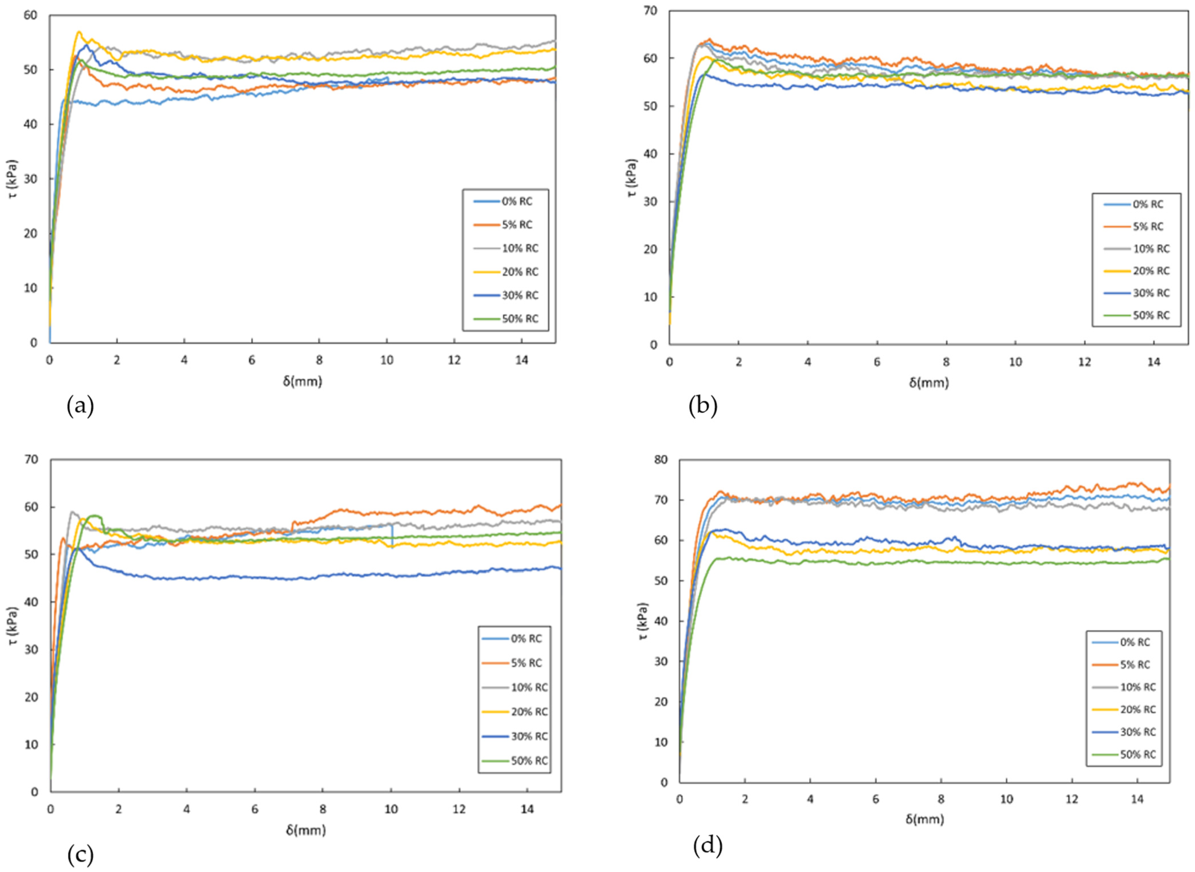
All τ–δ curves across the applied normal stresses (25, 50, 100, and 200 kPa) showed consistent trends: higher normal stresses produced proportionally higher shear stresses, with the same ranking of rubber content effects. Given this similarity, the 200 kPa case was selected for detailed discussion as it represents the most distinct and reliable differentiation in peak shear response, facilitating clearer comparison across mixtures and interface types. Figure 15a–d shows that peak shear stress developed rapidly within the first 0.5–1 mm of displacement, followed by gradual softening toward a stable residual level. This behaviour reflects the quick mobilisation of interparticle friction during initial shearing and subsequent particle rearrangement. Rough-steel interfaces in Figure 15b,d, where Rn ≈ 0.004–0.006, consistently showed higher peak stresses than the smooth steel interfaces in Figure 15a,c (Rn ≈ 0.002–0.003). Rubber content (RC) had a non-linear effect: moderate additions (5–20%) increased strength, while excessive amounts (≥30%) led to a drop, though still often stronger than sand with no rubber. Residual stresses converged to a narrow range (50–58 kPa) across all RC values, indicating that rubber mainly influences peak strength more than long-term resistance.
The pure sand (0% RC) recorded the lowest peak shear stress (≈44 kPa) and a residual of ≈46 kPa, as shown in Figure 14. Adding rubber gradually improved peak strength, reaching a maximum of 56.5 kPa at 20% RC. Beyond this point, peak strength dropped to ≈49 kPa at 50% RC but remained higher than that of the pure sand. Moderate RC likely enhances particle contact and energy absorption, while excessive RC increases compressibility, reducing interparticle friction.
As shown in Figure 15b, roughness significantly boosted shear strength. The highest peak, 71.6 kPa, was observed at just 5% RC, which is 28% higher than the maximum for the smooth steel surface. Increasing RC further reduced peak strength, 10% RC = 58.6 kPa, 20% RC = 56.5 kPa, 30% RC ≈ 50 kPa, due to the rubber particles weakening the interlocking of sand grains. Residual stresses remained stable around 58 kPa. These results indicate that roughness and small rubber additions work effectively together, but excessive rubber reduces the benefit that roughness provides.
For the coarser sand, as shown in Figure 15c, the peak shear stress reached 58.6 kPa at 10% RC, while the lowest value (≈45 kPa) occurred at 30% RC. Compared to Sand A, the coarser Sand B showed a slightly higher peak strength on smooth steel, likely because of increased grain contact area. However, the same pattern of decreasing strength at higher rubber contents appeared here too, confirming the importance of optimising RC.
As shown in Figure 15d, rough steel combined with 5% RC again produced the highest performance, 71.6 kPa, similar to Sand A despite Sand B’s coarser texture. Peak strength gradually decreases with more rubber, reaching ≈55 kPa at 50% RC, but residual strength remained around 57 kPa for all mixes. This suggests that interface roughness plays a dominant role in enhancing peak strength, provided the sand structure is not significantly disrupted by high RC.
At higher RC levels (≥30%), the τ–δ curves displayed smoother peaks and lower dilatancy compared with mixtures containing less rubber. This behaviour indicates that the deformability of rubber particles reduces interlocking and governs the observed loss of shear strength.
Table 5 presents a summary of the peak shear stress (τp) and the associated normalised roughness (Rn) for selected mixtures that showed either the highest or lowest interface strength. The data clearly demonstrate that both interface roughness and moderate rubber content significantly influence shear performance. On smooth steel, 20% RC provided the highest shear strength for fine sand, while 10% RC was optimal for coarse sand. On rough steel, both sands showed peak performance at 5% RC, indicating that roughness amplifies shear strength only when rubber content remains moderate.
Figure 16 further illustrates the interplay between rubber content (RC %), normalised roughness (Rn), and peak shear stress (τp) across the four selected sand–steel compositions. This visual comparison highlights the individual and combined effects of interface characteristics. The chart clearly shows that higher Rn and moderate RC% correspond to increased τp, highlighting how both interface roughness and optimal rubber content contribute to enhanced shear performance.

3.4. Multiple Linear Regression

Multiple linear regression (MLR) was used to predict both peak and residual interface shear strength based on key parameters, including rubber content (RC), roughness index (RI), median particle size (D50), normalised roughness (Rn), void ratio (n), coefficients of uniformity (Cu) and curvature (Cc), surface hardness (HD), and normal stress (σ). Model performance is summarised in Table 6.
For peak shear stress, the MLR model demonstrated consistently strong performance across all evaluation stages, as shown in Table 6. The Mean Absolute Error (MAE) declined slightly from 3.40 kPa in the training phase to 3.07 kPa in the testing phase and 3.30 kPa under 10-fold cross-validation, indicating stable predictive accuracy on unseen data. A similar trend was observed for the Root Mean Square Error (RMSE), which fell from 6.29 kPa (training) to 3.63 kPa (testing) and 5.07 kPa (cross-validation). The Root Mean Squared Logarithmic Error (RMSLE) remained low and nearly uniform, ranging between 0.25 and 0.35, signifying minimal bias toward extreme values. High coefficients of determination (R2 = 0.91, 0.95, 0.91 for training, testing, and cross-validation, respectively) confirm that more than 90% of the variance in the experimental τp values is captured by the regression. These statistics are proven by the tight spread of data around the 1:1 line in Figure 17. The empirical equation for estimating the τp is given by Equation (5).
τp = 5.8350 − (13.5528 × RC) − (1.3137 × RI) + (1.3137 × D50) + (6.7758 × Rn) + (5.4271 × n) + (1.3137 × Cu) + (1.3137 × Cc) + (0.0 × HD) + (51.3411 × σ)
Figure 18 shows a nearly linear decrease in τp as RC increases from 0% to 50% under each normal stress level, with the steepest reduction occurring at σ = 200 kPa. This confirms that rubber inclusion softens the sand skeleton and reduces peak resistance, especially under higher confinement.
For residual shear stress, the model achieved even tighter error bounds and higher explanatory power. MAE values were 2.01 kPa (training), 2.24 kPa (testing) and 2.09 kPa (cross-validation), while RMSE values remained below 3 kPa across all phases, as shown in Table 6. RMSLE stayed within 0.17–0.20, indicating excellent stability across the data range. Correspondingly, R2 values of 0.97, 0.96 and 0.97 reveal that the model accounts for virtually all variance in τr. The predicted-versus-actual scatter plots, as shown in Figure 19, align closely with the identity line, further confirming strong generalisation. The empirical expression for τr is given in Equation (6).
It should be noted that hardness (HD) was included in the regression models, but its coefficient converged to nearly zero. This reflects that both steel surfaces had almost identical hardness values, so HD did not influence the interface shear strength in this study.
τp = 3.3042 − (5.4438 × RC) − (0.8475 × RI) + (0.8475 × D50) + (6.2093 × Rn) + (3.0393 × n) + (0.8475 × Cu) + (0.8475 × Cc) + (0.0 × HD) + (48.6065 × σ)
Figure 20 shows that, in contrast to the peak behaviour, the residual shear stress slightly increases with rubber content up to around 10% RC, then levels off, remaining within a narrow band of approximately 5–10 kPa across the full RC range. This indicates that while rubber significantly influences peak strength, its effect on long-term residual resistance is modest; residual shear strength is affected primarily by normal stress and interface roughness. Overall, the low prediction errors, high R2 values, and physically consistent trends confirm that the MLR framework captures the fundamental interactions between rubber content, surface characteristics, and normal stress in affecting both peak and residual interface behaviour.

3.5. Random Forest Regression

Random forest regression (RFR), an ensemble tree-based technique capable of capturing complex nonlinear interactions, was applied to the same predictor set used in the MLR analysis, rubber content (RC), roughness index (RI), median particle size (D50), normalised roughness (Rn), void ratio (n), coefficients of uniformity (Cu) and curvature (Cc), surface hardness (HD), and normal stress (σ). Model performance is shown in Table 7.
For peak shear stress, the RFR delivered very low training errors (MAE = 1.15 kPa; RMSE = 2.33 kPa) and an almost perfect fit (R2 = 0.98), indicating that the ensemble captured important nonlinearities among the input variables. However, testing performance deteriorated (MAE = 3.60 kPa; RMSE = 6.80 kPa; R2 = 0.83), and the 10-fold cross-validation values (MAE = 3.01 kPa; RMSE = 4.98 kPa; R2 = 0.91) settled midway between training and testing. This spread, along with the wider scatter around the 1:1 line in Figure 21a–c, signals a degree of overfitting relative to the more generalisable MLR model. Nonetheless, the cross-validated R2 of 0.91 confirms that the forest still explains over 90% of the variance in unseen τp data. These results are illustrated in Figure 21.
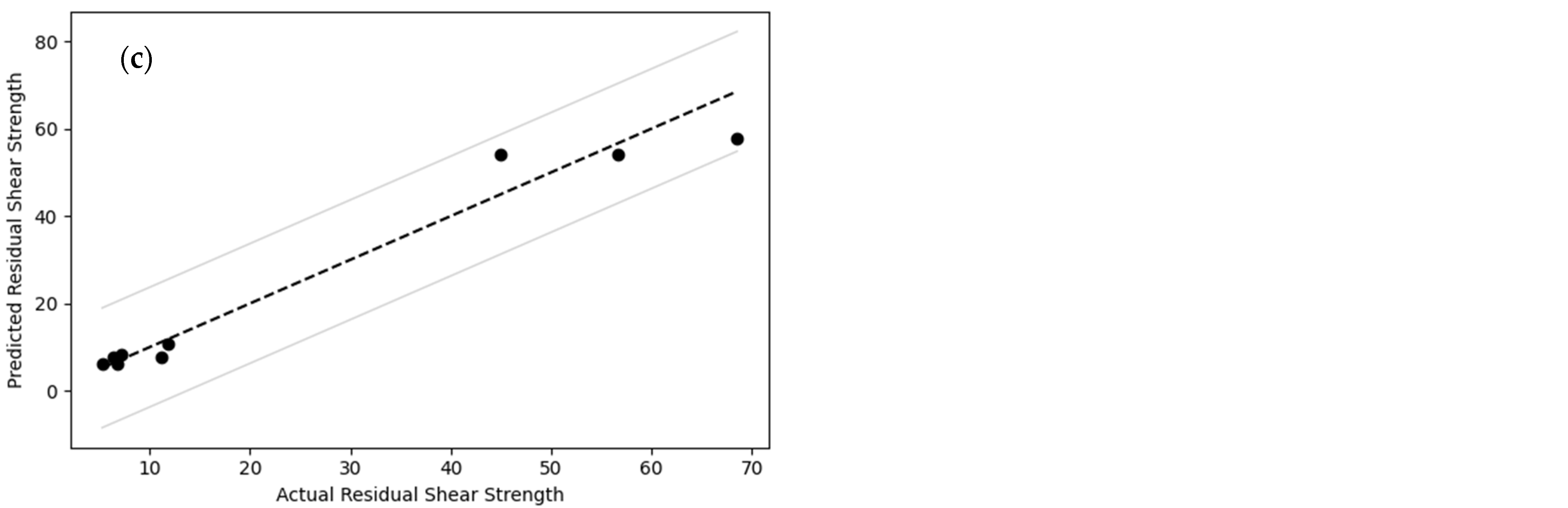
For residual shear stress, the ensemble retained its high accuracy on new data. Training errors were minimal (MAE = 0.69 kPa; RMSE = 0.93 kPa) with R2 = 0.99; however, in contrast to τp, the testing metrics remained strong (MAE = 2.06 kPa; RMSE = 2.55 kPa; R2 = 0.97) and closely matched the 10-fold CV results (MAE = 1.91 kPa; RMSE = 2.45 kPa; R2 = 0.98). The tight spread of points along the identity line in Figure 22a–c confirms excellent generalisation across the entire τr range, slightly outperforming the MLR benchmarks reported in Section 3.4. These results are illustrated in Figure 22.
The RFR model was tuned by adjusting hyperparameters such as the number of trees, maximum tree depth, and minimum samples per split. These steps reduced overfitting to some extent, but a gap between training and testing accuracy remained, mainly due to the limited dataset size.

3.6. Method Comparison

This section compares the performance of the Multiple Linear Regression (MLR) and Random Forest Regression (RFR) models in predicting both peak and residual interface shear strength. The comparison is based on the same training, testing, and 10-fold cross-validation datasets. Table 8 presents the evaluation results for both models.
For peak shear stress, the RFR model achieved the best results during training, with very low error values (MAE = 1.15 kPa, RMSE = 2.33 kPa, and R2 = 0.98). However, the model’s performance dropped in the testing phase, where the RMSE increased to 6.80 kPa and R2 decreased to 0.83. In comparison, MLR performed more consistently. It recorded higher training error (MAE = 3.40 kPa, RMSE = 6.29 kPa, R2 = 0.91) but showed better generalisation in the testing phase, with R2 = 0.95 and RMSE = 3.63 kPa. In 10-fold cross-validation, both models reached the same R2 of 0.91, but MLR slightly outperformed RFR in terms of RMSE. These results suggest that while RFR fits the training data more closely, MLR provides better predictive stability for unseen peak stress data.
For residual shear stress, RFR outperformed MLR across all evaluation phases. It produced the lowest training error (MAE = 0.69 kPa, RMSE = 0.93 kPa, R2 = 0.99) and maintained high accuracy in both testing and cross-validation phases. MLR also gave acceptable results (e.g., R2 = 0.97 in testing), but its error values were consistently higher than those of RFR. This indicates that the RFR model captured the residual strength trends more effectively and maintained strong generalisation across all data subsets.
Although RFR produced more accurate predictions overall, especially for residual strength, MLR offered a simpler and more interpretable model. When predicting peak shear stress, MLR provided better generalisation, making it a strong and reliable option. Table 8 shows that both methods have strengths, and the choice between them depends on whether accuracy, generalisation, or interpretability is the main priority. The visible drop of R2 value in RFR for peak shear strength (from 0.98 on training data to 0.83 on testing) highlights a typical overfitting issue. This occurs when the model learns the training data too precisely, including minor fluctuations that do not generalise well to unseen data. Such behaviour is expected when using powerful non-linear models like RFR on relatively small datasets (90 samples). Although RFR effectively captured complex interactions, its generalisability was limited compared to MLR. The 10-fold cross-validation result (R2 = 0.91) confirms that RFR still holds strong average predictive ability, but with more variance. This highlights the trade-off between model flexibility and robustness and suggests that simpler models like MLR may be more reliable for generalisable design applications, especially when data availability is limited.
Although both MLR and RFR performed well in predicting interface shear strength, some methodological points should be highlighted. The dataset contained only about 90 samples, which is relatively small for the nine predictors used. This limited size increases the risk of overfitting, especially for non-linear models such as RFR. This can be seen in the sharp drop in R2 from 0.98 in training to 0.83 in testing. Such behaviour is typical when the model learns noise or local patterns in the training data that do not generalise well. Cross-validation helped to reduce this effect, but the robustness of RFR predictions should still be interpreted with care.
In MLR, another concern is the possibility of multicollinearity between parameters such as median particle size (D50), coefficient of uniformity (Cu), and coefficient of curvature (Cc). Multicollinearity can reduce the stability of regression coefficients and make it harder to judge the true importance of each variable. In addition, some predictors, such as surface hardness (HD), contributed very little, with coefficients close to zero. These factors suggest that future studies could benefit from feature selection or regularisation approaches (e.g., Lasso or Ridge regression) to improve stability and avoid unnecessary predictors.
Despite these limitations, MLR remains valuable because it provides direct and interpretable coefficients that can be linked to physical soil behaviour. For example, higher rubber content (RC) produced negative coefficients, showing how rubber softens the mixture and lowers peak shear strength. Increased porosity (n) was also linked to weaker packing and lower resistance, while higher normal stress (σ) and greater normalised roughness (Rn) increased shear strength through stronger confinement and interlocking. These links between statistical coefficients and mechanical processes make MLR useful for preliminary design and sensitivity studies.
By contrast, RFR automatically captures non-linear effects and interactions, which are important in soil–rubber–steel interfaces. This makes it more accurate in describing residual shear strength and complex behaviours that cannot be captured by linear additivity. However, it also increases the chance of overfitting, especially with small datasets, and it does not provide a simple equation that can be applied in engineering design.
Therefore, the two models should be seen as complementary rather than competing. MLR is best suited when interpretability, transparency, and simplicity are important, while RFR is more suitable when the aim is to capture complex, non-linear interactions and produce robust predictions of both peak and residual strengths. Future work could explore adding simple non-linear or interaction terms into MLR to give a fairer comparison with RFR, while still keeping the interpretability advantage.
Rubber angularity and deformability may also influence interface shear; these were not controlled as independent variables in this study and will be examined in future work using quantified shape indices and rubber stiffness measurements.

3.7. Importance of Input Parameters

To evaluate which factors most strongly influence interface shear behaviour, feature importance was extracted from the shear stress ratio models (μ = τ/σ), which normalises out the dominant effect of applied normal stress. Figure 23a–d rank the nine input features using both multiple linear regression (MLR) coefficients and random forest regression (RFR) impurity-reduction scores, under peak and residual conditions.
For peak shear behaviour, Figure 23a,c, both models consistently identify normalised roughness (Rn) as the most influential variable. RFR, which captures non-linear interactions, assigns over 80% of the predictive weight to Rn, emphasising the dominant role of interface geometry. Rubber content (RC) and porosity (n) follow as secondary factors, with moderate contributions.
Under residual conditions, Figure 23b,d, roughness (Rn) remains the primary driver, while the importance of porosity (n) increases and rubber content (RC) declines. This shift aligns with the physical understanding that residual shear strength is governed more by internal particle rearrangement and void structure than by compositional additives like rubber.
Traditional soil properties, median particle size (D50), gradation coefficients (Cu, Cc), and regularity index (RI), exhibited minimal influence, contributing less than 10% to model predictions across all scenarios. Though these parameters are fundamental to packing and stress transmission in granular media, their limited variation in the current dataset likely muted their statistical effect. Additionally, some of their influence may be indirectly represented through porosity or roughness.
Although the sand-to-rubber size ratio (SR) showed physical significance in experimental results (see Section 3.1.1), it was excluded from the ML models due to its negligible predictive contribution, less than 1% feature importance, with no improvements in R2 or RMSE during cross-validation. This was primarily due to the narrow range of SR values, derived only from Rubber A mixtures (SR ≈ 1.06 with Sand A and 0.31 with Sand B). Including SR would have introduced statistical noise without enhancing insight.
Overall, the dominance of roughness (Rn) and porosity (n), along with the context-dependent effect of rubber content (RC), highlights that optimising interface geometry and packing characteristics is critical for enhancing both peak and residual shear strength. While SR remains conceptually important, its broader generalisation within machine learning models would require a more diverse experimental dataset that includes a wider range of rubber–sand size combinations.
SR was not included in the ML models because its values were nearly constant in the dataset (mainly Rubber A mixtures), and its contribution to feature importance was less than 1%, offering no improvement in predictive accuracy.

4. Conclusions

This study investigated the influence of sand–rubber mixtures and steel interface conditions on shear strength, using both ring-shear tests and machine learning analysis. The results showed that particle size compatibility, rubber content, and surface roughness are key factors that control interface behaviour. Both MLR and RFR captured these trends and highlighted the dominant role of normalised roughness, porosity, and rubber content.
However, the relatively small dataset (≈90 samples) limits the reliability of the predictive models. The reduction in RFR accuracy from training to testing indicates a risk of overfitting, while the possible multicollinearity in MLR suggests that some coefficients may be unstable. For this reason, the equations developed here should be considered exploratory rather than definitive. They provide useful insights into parameter trends and help explain the main physical mechanisms, but they cannot yet be treated as robust design models.
Future work should aim to strengthen the dataset through more experimental results across wider ranges of sand, rubber, and interface conditions. A larger and more diverse dataset would allow both linear and non-linear models to be trained with greater confidence and could support the development of more reliable predictive tools for practical geotechnical design.
From a design perspective, moderate rubber contents (5–20%) with particle size ratios close to unity (SR ≈ 1) can be considered to improve interface shear resistance in retaining structures and backfill applications. However, high rubber contents (≥30%) should be avoided in foundation or retaining systems that require high interface strength, as the deformability of rubber reduces shear resistance.

Author Contributions

Conceptualisation, R.A. and H.A.-N.; methodology, R.A. and H.A.-N.; software, R.A. and A.B.; writing—original draft preparation, R.A.; writing—review and editing, R.A., A.B. and H.A.-N.; supervision, H.A.-N. All authors have read and agreed to the published version of the manuscript.

Funding

This research received no external funding.

Data Availability Statement

The data presented in this study are available in the article.

Conflicts of Interest

The authors declare no conflicts of interest.

Nomenclature

μpPeak interface friction coefficient
μrResidual interface friction coefficient
δpPeak interface friction angle (°)
RIParticle regularity index (–)
D50Median particle size (mm)
nPorosity (–)
CuCoefficient of uniformity (–)
CcCoefficient of curvature (–)
RtSurface roughness (μm)
RnNormalised roughness (–)
HDSurface hardness (Vickers Hardness, HV)
σnNormal stress (kPa)
τpPeak interface shear strength (kPa)
τrResidual interface shear strength (kPa)
MLRMultiple-linear regression
RFRRandom forest regression

References

  1. Ning, P.; Xia, X.; Jiang, Y. An estimation model of the ultimate shear strength of root-permeated soil, fully considering interface bonding. Forests 2023, 14, 819. [Google Scholar] [CrossRef]
  2. Chen, W.B.; Zhou, W.H.; dos Santos, J.A. Analysis of consistent soil–structure interface response in multi–directional shear tests by discrete element modeling. Transp. Geotech. 2020, 24, 100379. [Google Scholar] [CrossRef]
  3. Baghbani, A.; Kiany, K.; Abuel-Naga, H.; Lu, Y. Predicting the compression index of clayey soils using a hybrid genetic programming and xgboost model. Appl. Sci. 2025, 15, 1926. [Google Scholar] [CrossRef]
  4. Wu, H.; Shu, Y. Stability of geomembrane surface barrier of earth dam considering strain-softening characteristic of geosynthetic interface. KSCE J. Civ. Eng. 2012, 16, 1123–1131. [Google Scholar] [CrossRef]
  5. Mesri, G.; Huvaj-Sarihan, N. Residual shear strength measured by laboratory tests and mobilized in landslides. J. Geotech. Geoenviron. Eng. 2012, 138, 585–593. [Google Scholar] [CrossRef]
  6. Kiany, K.; Baghbani, A.; Abuel-Naga, H.; Baghbani, H.; Arabani, M.; Shalchian, M.M. Enhancing ultimate bearing capacity prediction of cohesionless soils beneath shallow foundations with grey box and hybrid AI models. Algorithms 2023, 16, 456. [Google Scholar] [CrossRef]
  7. Palieraki, V.; Vintzileou, E.; Silva, J.F. Behavior of RC interfaces subjected to shear: State-of-the art review. Constr. Build. Mater. 2021, 306, 124855. [Google Scholar] [CrossRef]
  8. Rodríguez, M.; Molina-Aldareguía, J.M.; González, C.; LLorca, J. A methodology to measure the interface shear strength by means of the fiber push-in test. Compos. Sci. Technol. 2012, 72, 1924–1932. [Google Scholar] [CrossRef]
  9. Kaiser, F.; Savio, D.; Bactavatchalou, R. Modelling of static and dynamic elastomer friction in dry conditions. Lubricants 2024, 12, 250. [Google Scholar] [CrossRef]
  10. Baghbani, A.; Soltani, A.; Kiany, K.; Daghistani, F. Predicting the strength performance of hydrated-lime activated rice husk ash-treated soil using two grey-box machine learning models. Geotechnics 2023, 3, 894–920. [Google Scholar] [CrossRef]
  11. Uesugi, M.; Kishida, H. Frictional resistance at yield between dry sand and mild steel. Soils Found. 1986, 26, 139–149. [Google Scholar] [CrossRef]
  12. O’Rourke, T.D.; Druschel, S.J.; Netravali, A.N. Shear strength characteristics of sand–polymer interfaces. J. Geotech. Eng. 1990, 116, 451–469. [Google Scholar] [CrossRef]
  13. Baghbani, A.; Faradonbeh, R.S.; Lu, Y.; Soltani, A.; Kiany, K.; Baghbani, H.; Abuel-Naga, H.; Samui, P. Enhancing earth dam slope stability prediction with integrated AI and statistical models. Appl. Soft Comput. 2024, 164, 111999. [Google Scholar] [CrossRef]
  14. Zhixiong, L.; Nan, C.; Perdok, U.D.; Hoogmoed, W.B. Characterisation of soil profile roughness. Biosyst. Eng. 2005, 91, 369–377. [Google Scholar] [CrossRef]
  15. Zribi, M.; Gorrab, A.; Baghdadi, N. A new soil roughness parameter for the modelling of radar backscattering over bare soil. Remote Sens. Environ. 2014, 152, 62–73. [Google Scholar] [CrossRef]
  16. Wang, R.; Ong, D.E.; Peerun, M.I.; Jeng, D.S. Influence of surface roughness and particle characteristics on soil–structure interactions: A state-of-the-art review. Geosciences 2022, 12, 145. [Google Scholar] [CrossRef]
  17. Stawicki, T.; Kostencki, P.; Białobrzeska, B. Roughness of ploughshare working surface and mechanisms of wear during operation in various soils. Metals 2018, 8, 1042. [Google Scholar] [CrossRef]
  18. Kishida, H.; Uesugi, M. Tests of the interface between sand and steel in the simple-shear apparatus. Géotechnique 1987, 37, 45–52. [Google Scholar] [CrossRef]
  19. Baghbani, A.; Abuel-Naga, H.; Shirkavand, D. Accurately predicting quartz sand thermal conductivity using machine learning and grey-box AI models. Geotechnics 2023, 3, 638–660. [Google Scholar] [CrossRef]
  20. Snapir, B.; Hobbs, S.; Waine, T.W. Roughness measurements over an agricultural soil surface with Structure from Motion. ISPRS J. Photogramm. Remote Sens. 2024, 96, 210–223. [Google Scholar] [CrossRef]
  21. Ma, X.; Lei, H.; Kang, X. Examination of interface roughness and particle morphology on granular soil–structure shearing behavior using DEM and 3D printing. Eng. Struct. 2023, 290, 116365. [Google Scholar] [CrossRef]
  22. Cheng, Y.P.; Bolton, M.D.; Nakata, Y. Crushing and plastic deformation of soils simulated using DEM. Géotechnique 2004, 54, 131–141. [Google Scholar] [CrossRef]
  23. Abuel-Naga, H.M.; Shaia, H.A.; Bouazza, A. Effect of surface roughness and hardness of continuum materials on interface shear strength of granular materials. J. Test. Eval. 2018, 46, 826–831. [Google Scholar] [CrossRef]
  24. Menezes, P.L.; Kishore; Kailas, S.V.; Lovell, M.R. Role of surface texture, roughness, and hardness on friction during unidirectional sliding. Tribol. Lett. 2001, 41, 1–15. [Google Scholar] [CrossRef]
  25. Zhou, W.; Xu, K.; Ma, G.; Yang, L.; Chang, X. Effects of particle size ratio on the macro-and microscopic behaviors of binary mixtures at the maximum packing efficiency state. Granul. Matter 2016, 18, 81. [Google Scholar] [CrossRef]
  26. Olhero, S.M.; Ferreira, J.M.F. Influence of particle size distribution on rheology and particle packing of silica-based suspensions. Powder Technol. 2004, 139, 69–75. [Google Scholar] [CrossRef]
  27. Lee, C.; Truong, Q.H.; Lee, W.; Lee, J.-S. Characteristics of Rubber-Sand Particle Mixtures according to Size Ratio. J. Mater. Civ. Eng. 2010, 22, 323–331. [Google Scholar] [CrossRef]
  28. Lopera Perez, J.C.; Kwok, C.Y.; Senetakis, K. Effect of rubber size on the behaviour of sand-rubber mixtures: A numerical investigation. Comput. Geotech. 2016, 80, 199–214. [Google Scholar] [CrossRef]
  29. Liu, F.Y.; Li, H.Z.; Sun, H.L. Effect of rubber-sand particle size ratio on shear properties of rubber-sand mixtures under normal cyclic loading. Constr. Build. Mater. 2023, 406, 133415. [Google Scholar] [CrossRef]
  30. Benjelloun, M.; Bouferra, R.; Ibouh, H.; Jamin, F.; Benessalah, I.; Arab, A. Mechanical Behavior of Sand Mixed with Rubber Aggregates. Appl. Sci. 2021, 11, 11395. [Google Scholar] [CrossRef]
  31. Dai, B.-B.; Liu, Q.; Mao, X.; Li, P.-Y.; Liang, Z.-Z. A reinterpretation of the mechanical behavior of rubber-sand mixtures in direct shear testing. Constr. Build. Mater. 2023, 363, 129771. [Google Scholar] [CrossRef]
  32. Almasoudi, R.; Daghistani, F.; Abuel-Naga, H. Peak and Residual Shear Interface Measurement between Sand and Continuum Surfaces Using Ring Shear Apparatus. Appl. Sci. 2024, 14, 6373. [Google Scholar] [CrossRef]
  33. AS1289.3.6.1; Method of Testing Soils for Engineering Purposes—Soil Classification. Australian Standard: Sydney, Australia, 2009.
  34. Ari, A.; Akbulut, S. Effect of particle size and shape on shear strength of sand–rubber granule mixtures. Granul. Matter 2022, 24, 126. [Google Scholar] [CrossRef]
  35. Anastasiadis, A.; Senetakis, K.; Pitilakis, K. Small-Strain Shear Modulus and Damping Ratio of Sand-Rubber and Gravel-Rubber Mixtures. Geotech. Geol. Eng. 2012, 30, 363–382. [Google Scholar] [CrossRef]
  36. Daghistani, F.; Abuel-Naga, H. Advancements in Understanding Interface Friction: A Combined Experimental and Machine Learning Approach Using Multiple Linear and Random Forest Regressions. Geotechnics 2024, 4, 109–126. [Google Scholar] [CrossRef]
  37. Liu, F.; Fu, J.; Wang, J.; Gao, Z.; Li, H.; Li, J. Effect of the particle size ratio on macro- and mesoscopic shear characteristics of the geogrid-reinforced rubber and sand mixture interface. Geotext. Geomembr. 2022, 50, 779–793. [Google Scholar] [CrossRef]
  38. Han, F.; Ganju, E.; Salgado, R.; Prezzi, M. Effects of Interface Roughness, Particle Geometry, and Gradation on the Sand–Steel Interface Friction Angle. J. Geotech. Geoenviron. Eng. 2018, 144, 04018096. [Google Scholar] [CrossRef]
Figure 1. Types of sand used in soil mixtures: (a) Sand-A, (b) Sand-B.
Figure 1. Types of sand used in soil mixtures: (a) Sand-A, (b) Sand-B.
Buildings 15 03276 g001
Figure 2. Types of rubber used in the soil mixtures: (a) Rubber-A, (b) Rubber-B.
Figure 2. Types of rubber used in the soil mixtures: (a) Rubber-A, (b) Rubber-B.
Buildings 15 03276 g002
Figure 3. Particle size distribution of sand and rubber used for the soil mixture.
Figure 3. Particle size distribution of sand and rubber used for the soil mixture.
Buildings 15 03276 g003
Figure 4. Types of continuous surfaces used in the experiments: (a) smooth steel, and (b) rough steel.
Figure 4. Types of continuous surfaces used in the experiments: (a) smooth steel, and (b) rough steel.
Buildings 15 03276 g004
Figure 5. Stylus profilometer (Mitutoyo Corporation, Kawasaki, Japan) for roughness measurement.
Figure 5. Stylus profilometer (Mitutoyo Corporation, Kawasaki, Japan) for roughness measurement.
Buildings 15 03276 g005
Figure 6. DuraScan Device for hardness testing.
Figure 6. DuraScan Device for hardness testing.
Buildings 15 03276 g006
Figure 7. The modified ring-shear apparatus.
Figure 7. The modified ring-shear apparatus.
Buildings 15 03276 g007
Figure 8. Shear testing phases at 25, 50, 100, and 200 kPa showing peak and residual stages.
Figure 8. Shear testing phases at 25, 50, 100, and 200 kPa showing peak and residual stages.
Buildings 15 03276 g008
Figure 9. Shear strength for different sand–rubber mixtures at 100 kPa, smooth steel, 20% rubber.
Figure 9. Shear strength for different sand–rubber mixtures at 100 kPa, smooth steel, 20% rubber.
Buildings 15 03276 g009
Figure 10. Variation in interface shear coefficient (μp) with rubber content for Sand A at 50, 100, and 200 kPa against smooth steel.
Figure 10. Variation in interface shear coefficient (μp) with rubber content for Sand A at 50, 100, and 200 kPa against smooth steel.
Buildings 15 03276 g010
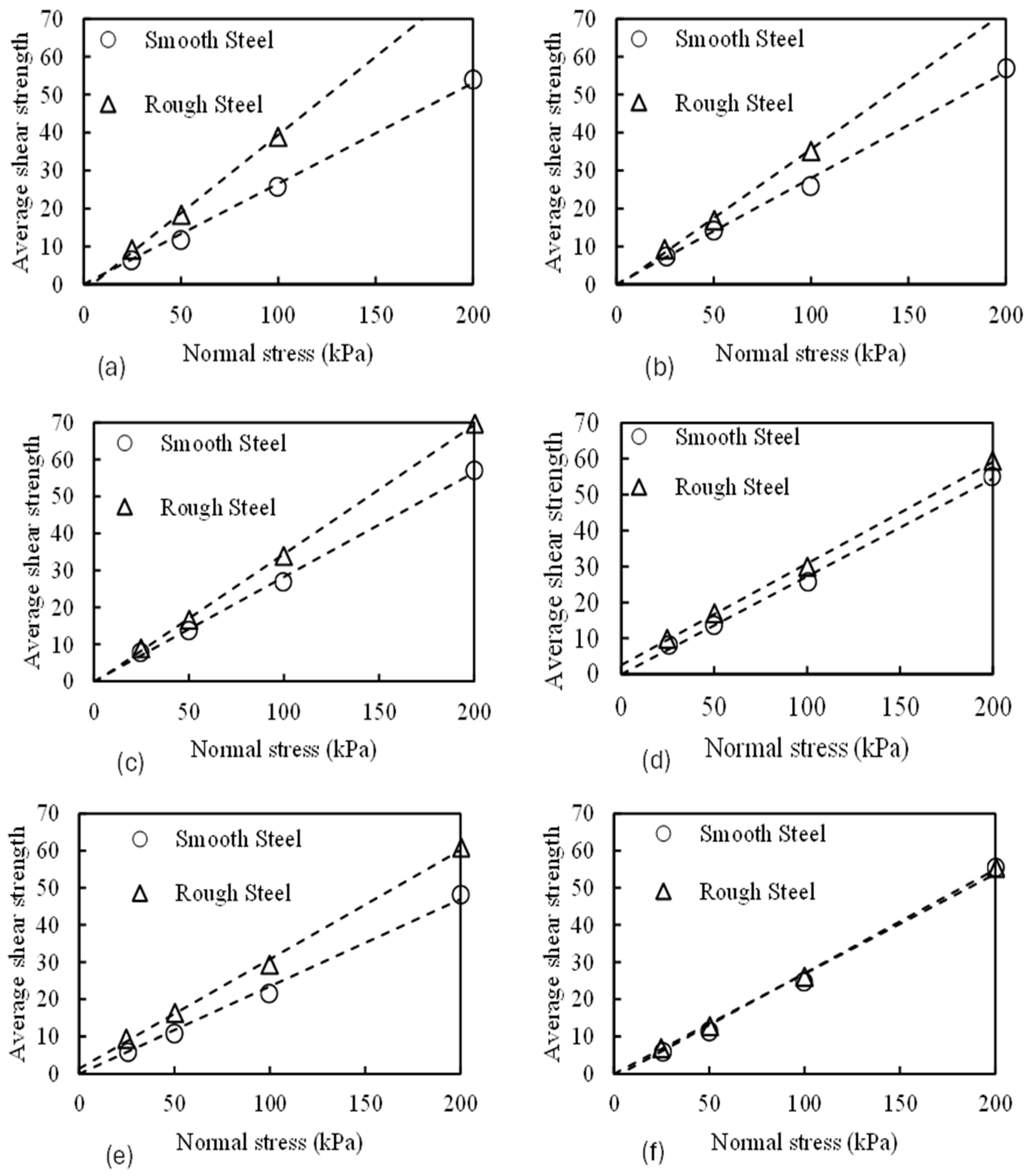
Figure 11. Average shear strength versus normal stress for sand A with different rubber content, where (a) Zero rubber, (b) 5% Rb, (c) 10% Rb, (d) 20% Rb, (e) 30% Rb, (f) 50% Rb.
Figure 11. Average shear strength versus normal stress for sand A with different rubber content, where (a) Zero rubber, (b) 5% Rb, (c) 10% Rb, (d) 20% Rb, (e) 30% Rb, (f) 50% Rb.
Buildings 15 03276 g011
Figure 12. Average shear strength versus normal stress for sand B with different rubber content, where (a) Zero rubber, (b) 5% Rb, (c) 10% Rb, (d) 20% Rb, (e) 30% Rb, (f) 50% Rb.
Figure 12. Average shear strength versus normal stress for sand B with different rubber content, where (a) Zero rubber, (b) 5% Rb, (c) 10% Rb, (d) 20% Rb, (e) 30% Rb, (f) 50% Rb.
Buildings 15 03276 g012
Figure 13. Peak shear factor of sand A vs. Rubber content for smooth and rough steel at 25 and 200 kPa normal stresses.
Figure 13. Peak shear factor of sand A vs. Rubber content for smooth and rough steel at 25 and 200 kPa normal stresses.
Buildings 15 03276 g013
Figure 14. Peak shear strength versus normalised roughness at four normal stress levels for Rubber A mixtures.
Figure 14. Peak shear strength versus normalised roughness at four normal stress levels for Rubber A mixtures.
Buildings 15 03276 g014
Figure 15. Shear stress–displacement behaviour of sand–rubber mixtures at 200 kPa normal stress with varying rubber content (RC %). (a) Sand A on smooth steel, (b) Sand A on rough steel, (c) Sand B on smooth steel, and (d) Sand B on rough steel.
Figure 15. Shear stress–displacement behaviour of sand–rubber mixtures at 200 kPa normal stress with varying rubber content (RC %). (a) Sand A on smooth steel, (b) Sand A on rough steel, (c) Sand B on smooth steel, and (d) Sand B on rough steel.
Buildings 15 03276 g015
Figure 16. Comparison of peak shear stress (τp) for selected sand–rubber mixtures, showing the influence of rubber content (RC %) and normalised roughness (Rn) under 200 kPa normal stress.
Figure 16. Comparison of peak shear stress (τp) for selected sand–rubber mixtures, showing the influence of rubber content (RC %) and normalised roughness (Rn) under 200 kPa normal stress.
Buildings 15 03276 g016
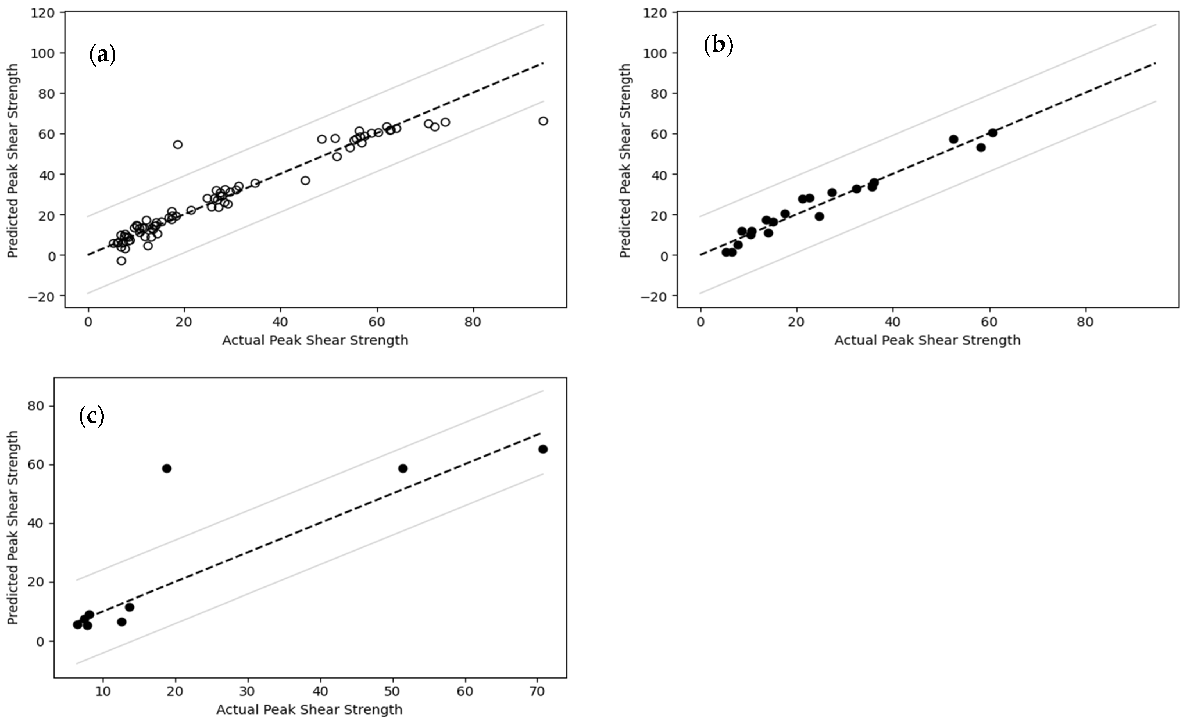
Figure 17. Comparison of actual and predicted peak interface shear strength using MLR for (a) the training dataset, (b) the testing dataset, and (c) 10-fold cross-validation.
Figure 17. Comparison of actual and predicted peak interface shear strength using MLR for (a) the training dataset, (b) the testing dataset, and (c) 10-fold cross-validation.
Buildings 15 03276 g017
Figure 18. Effect of rubber content (RC %) on peak interface shear strength (τp) under different normal stresses.
Figure 18. Effect of rubber content (RC %) on peak interface shear strength (τp) under different normal stresses.
Buildings 15 03276 g018
Figure 19. Comparison of actual and predicted residual interface shear strength using MLR for (a) the training dataset, (b) the testing dataset, and (c) 10-fold cross-validation.
Figure 19. Comparison of actual and predicted residual interface shear strength using MLR for (a) the training dataset, (b) the testing dataset, and (c) 10-fold cross-validation.
Buildings 15 03276 g019aBuildings 15 03276 g019b
Figure 20. Effect of rubber content (RC %) on residual interface shear strength (τp) under different normal stresses.
Figure 20. Effect of rubber content (RC %) on residual interface shear strength (τp) under different normal stresses.
Buildings 15 03276 g020
Figure 21. Comparison of actual and predicted peak interface shear strength using RFR for (a) the training dataset, (b) the testing dataset, and (c) 10-fold cross-validation.
Figure 21. Comparison of actual and predicted peak interface shear strength using RFR for (a) the training dataset, (b) the testing dataset, and (c) 10-fold cross-validation.
Buildings 15 03276 g021
Figure 22. Comparison of actual and predicted residual interface shear stress using RFR for (a) the training dataset, (b) the testing dataset, and (c) 10-fold cross-validation.
Figure 22. Comparison of actual and predicted residual interface shear stress using RFR for (a) the training dataset, (b) the testing dataset, and (c) 10-fold cross-validation.
Buildings 15 03276 g022
Figure 23. Feature importance for predicting shear strength factor using (a) MLR–peak, (b) MLR–residual, (c) RFR–peak, and (d) RFR–residual. The feature importance values reported here are averaged over 10-fold cross-validation and are therefore representative of the full dataset rather than a single split.
Figure 23. Feature importance for predicting shear strength factor using (a) MLR–peak, (b) MLR–residual, (c) RFR–peak, and (d) RFR–residual. The feature importance values reported here are averaged over 10-fold cross-validation and are therefore representative of the full dataset rather than a single split.
Buildings 15 03276 g023aBuildings 15 03276 g023b
Table 1. Properties of soil used in the study.
Table 1. Properties of soil used in the study.
SoilTypeGsD50 (mm)CuCcRI
AQuartz Medium Sand2.650.510.970.720.72
BQuartz Coarse Sand2.651.771.450.960.40
Table 2. Properties of the Recycled Material used in the study.
Table 2. Properties of the Recycled Material used in the study.
Recycled MaterialD50 (mm)CuCcGsρr
Rubber-A0.543.261.181.130.46
Rubber-B1.582.101.121.130.46
Table 3. Properties of the Continuum surfaces used in the study.
Table 3. Properties of the Continuum surfaces used in the study.
MaterialRt (μm)HD (HV)
Smooth Steel7.48112.2
Rough Steel22.23112.2
Table 4. Key parameters and their descriptions.
Table 4. Key parameters and their descriptions.
FeatureDescription
D50Median particle size influencing contact area and interlocking at the interface.
RIRegularity index representing particle shape consistency, affecting interface friction.
nPorosity influencing packing density and interparticle contact at the interface.
CuCoefficient of uniformity reflecting particle size distribution and packing behaviour.
CcCoefficient of curvature indicating gradation characteristics and interparticle arrangement.
RCRecycled rubber content by dry weight, controlling soil compressibility and interface response.
σnApplied normal stress on the interface, governing shear mobilisation.
RnNormalised roughness influencing mechanical interlocking at the soil–structure interface.
HDSurface hardness of the continuum, affecting shear resistance and deformation behaviour.
Table 5. Peak shear stress (τp) and normalised roughness (Rn) for selected sand–rubber mixtures at 200 kPa, showing lowest and highest interface strengths.
Table 5. Peak shear stress (τp) and normalised roughness (Rn) for selected sand–rubber mixtures at 200 kPa, showing lowest and highest interface strengths.
Sand–InterfaceRnτp max (kPa)RC max (%)τp min (kPa)RC min (%)
Sand A–Smooth0.00356.520440
Sand A–Rough0.00671.655030
Sand B–Smooth0.00258.6104530
Sand B–Rough0.00471.655550
Table 6. Evaluation of MLR model accuracy in predicting interface shear strength.
Table 6. Evaluation of MLR model accuracy in predicting interface shear strength.
Training DatabaseTesting Database10-Fold CV
Observations762096
PeakMAE3.403.073.30
RMSE6.293.635.07
RMSLE0.330.350.25
R20.910.950.91
ResidualMAE2.012.242.09
RMSE2.962.702.77
RMSLE0.200.200.17
R20.970.960.97
Table 7. Evaluation of RFR model accuracy in predicting interface shear strength.
Table 7. Evaluation of RFR model accuracy in predicting interface shear strength.
Training DatabaseTesting Database10-Fold CV
Observations721890
PeakMAE1.153.603.01
RMSE2.336.804.98
RMSLE0.080.200.15
R20.980.830.91
ResidualMAE0.692.061.91
RMSE0.932.552.45
RMSLE0.040.130.11
R20.990.970.98
Table 8. Evaluation of MLR versus RFR on training, testing, and 10-fold cross-validation datasets.
Table 8. Evaluation of MLR versus RFR on training, testing, and 10-fold cross-validation datasets.
Multiple Linear RegressionRandom Forest Regression
Training DataTesting Data10-Fold CVTraining DataTesting Data10-Fold CV
Observation762096721890
PeakMAE3.403.073.301.153.603.01
RMSE6.293.635.072.336.804.98
RMSLE0.330.350.250.080.200.15
R20.910.950.910.980.830.91
ResidualMAE2.012.242.090.692.061.91
RMSE2.962.702.770.932.552.45
RMSLE0.200.200.170.040.130.11
R20.970.960.970.990.970.98
Disclaimer/Publisher’s Note: The statements, opinions and data contained in all publications are solely those of the individual author(s) and contributor(s) and not of MDPI and/or the editor(s). MDPI and/or the editor(s) disclaim responsibility for any injury to people or property resulting from any ideas, methods, instructions or products referred to in the content.

Share and Cite

MDPI and ACS Style

Almasoudi, R.; Abuel-Naga, H.; Baghbani, A. Interfacial Shear Strength of Sand–Recycled Rubber Mixtures Against Steel: Ring-Shear Testing and Machine Learning Prediction. Buildings 2025, 15, 3276. https://doi.org/10.3390/buildings15183276

AMA Style

Almasoudi R, Abuel-Naga H, Baghbani A. Interfacial Shear Strength of Sand–Recycled Rubber Mixtures Against Steel: Ring-Shear Testing and Machine Learning Prediction. Buildings. 2025; 15(18):3276. https://doi.org/10.3390/buildings15183276

Chicago/Turabian Style

Almasoudi, Rayed, Hossam Abuel-Naga, and Abolfazl Baghbani. 2025. "Interfacial Shear Strength of Sand–Recycled Rubber Mixtures Against Steel: Ring-Shear Testing and Machine Learning Prediction" Buildings 15, no. 18: 3276. https://doi.org/10.3390/buildings15183276

APA Style

Almasoudi, R., Abuel-Naga, H., & Baghbani, A. (2025). Interfacial Shear Strength of Sand–Recycled Rubber Mixtures Against Steel: Ring-Shear Testing and Machine Learning Prediction. Buildings, 15(18), 3276. https://doi.org/10.3390/buildings15183276

Note that from the first issue of 2016, this journal uses article numbers instead of page numbers. See further details here.

Article Metrics

Back to TopTop