A Comparison of Sedimentary Characteristics and Architecture Between Sand-Rich and Mud-Rich Deltas: Insights from Flume Experiments
Abstract
1. Introduction
2. Experimental Methods
2.1. Experimental Setup and Initial Topography
2.2. Boundary Conditions
2.3. Data Collection and Processing
3. Results
3.1. Observations on Channel Behavior, Sedimentary Evolution and Final Morphology
3.1.1. Sand-Rich Delta Group
3.1.2. Mud-Rich Delta Group
3.1.3. Contrasting Styles of Delta Evolution
3.2. Sedimentary Architecture
3.2.1. Variations in Shallow-Water Delta Accretion
3.2.2. Architectural Characteristics of the Sand-Rich Shallow-Water Delta
3.2.3. Architectural Characteristics of the Mud-Rich Shallow-Water Delta
3.3. Quantitative Geological Knowledge Extraction and Analysis
3.3.1. Extraction Methodology of Quantitative Parameters
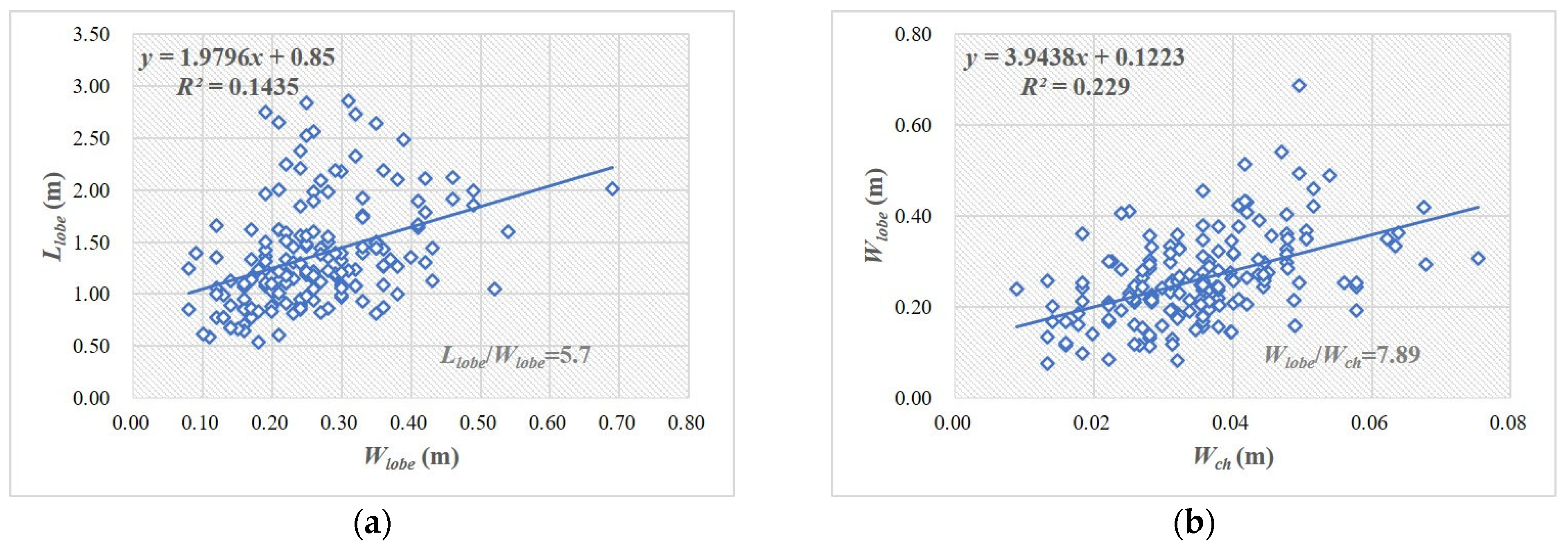
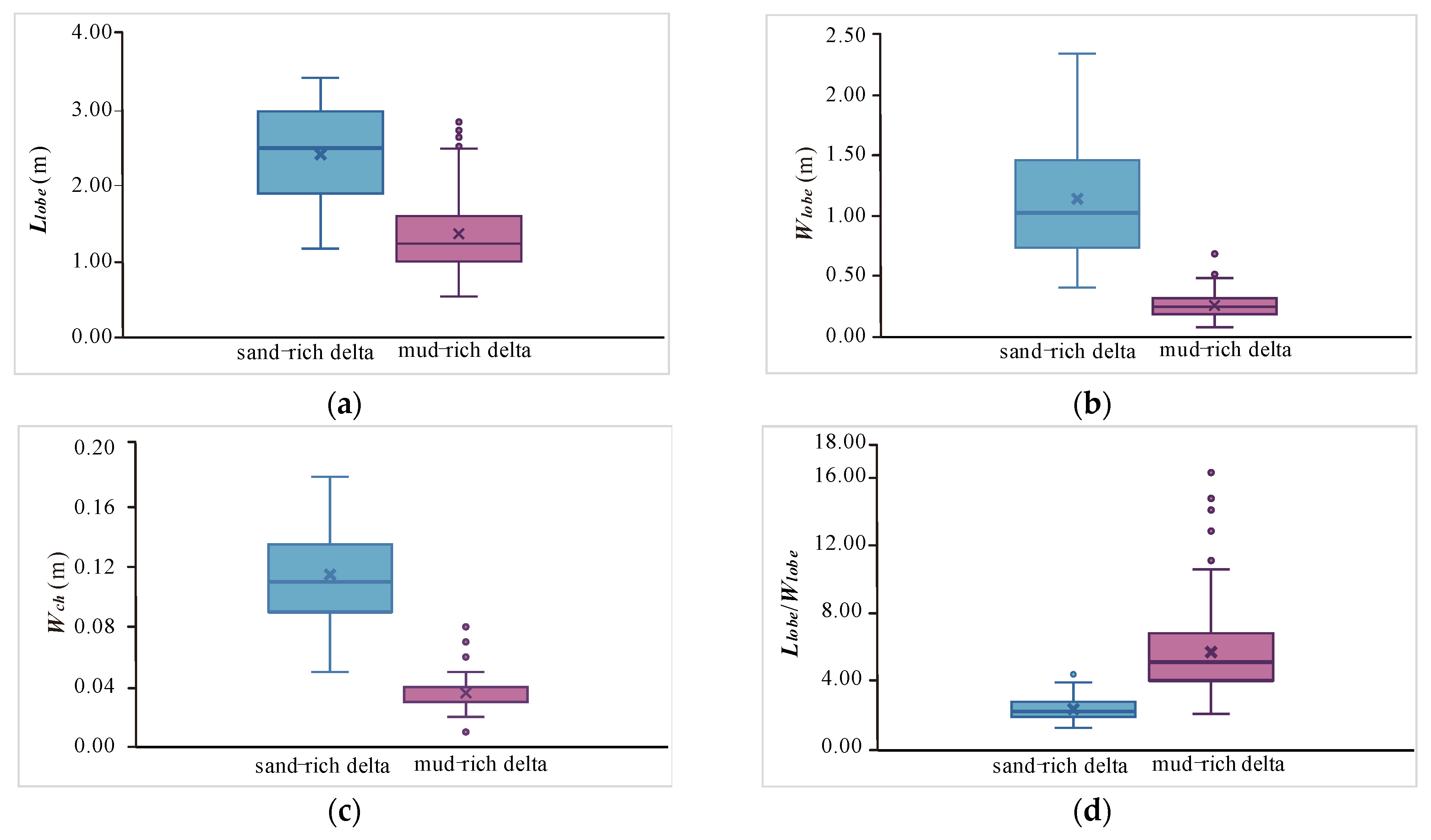
3.3.2. Planar Geometric Characteristics and Differences
3.3.3. Vertical Geometric Characteristics and Differences
4. Discussion
4.1. Reliability Validation Using Modern Delta Analogues
4.2. The Universality of Sand–Mud Ratio Controls in Shallow-Water Deltas
4.3. Further Implications for Petroleum Exploration and Development
5. Conclusions
- Key controlling factor: The sand–mud ratio of sediments is a key internal factor controlling the developmental type of shallow-water deltas. Sand-rich sediments (non-cohesive) promoted frequent migration and avulsion of distributary channels, forming dense dendritic channel networks and broad fan-shaped deltas. In contrast, mud-rich sediments (cohesive) enhanced bank stability, which restricted lateral channel migration, allowing rivers to maintain a single main channel for long-distance progradation, ultimately forming elongated finger-like deltas.
- Internal architecture: Sand-rich deltas are composed of multi-phase “channel–mouth bar complexes” formed by vertical stacking and lateral amalgamation. Their sand bodies exhibit blanket-like continuous distribution with good connectivity but complex internal heterogeneity. Mud-rich deltas, however, consist of isolated, ribbon-like complexes, with sand bodies concentrated along the main channels. They display clear vertical stacking relationships but poor lateral continuity, exhibiting strong lateral heterogeneity.
- Validation and implications: Validation against the sand-rich Ganjiang Delta and the mud-rich Ouchi River Delta demonstrates high consistency between the experimental models and natural prototypes, confirming the universality of sand–mud ratio control on delta autogenic evolution. Quantitative parameters extracted from this study, such as channel width-to-depth ratio and lobe length-to-width ratio, provide a predictive basis for subsurface reservoir characterization and underscore the inherent heterogeneity within large delta systems, necessitating differentiated exploration and development strategies tailored to specific blocks.
Author Contributions
Funding
Data Availability Statement
Conflicts of Interest
References
- Caldwell, R.L.; Edmonds, D.A.; Baumgardner, S.; Paola, C.; Roy, S.; Nienhuis, J.H. A global delta dataset and the environmental variables that predict delta formation on marine coastlines. Earth Surf. Dynam. 2019, 7, 773–787. [Google Scholar] [CrossRef]
- Bhattacharya, J.P.; Howell, C.D.; MacEachern, J.A.; Walsh, J.P. Bioturbation, sedimentation rates, and preservation of flood events in deltas. Palaeogeogr. Palaeoclimatol. Palaeoecol. 2020, 560, 110049. [Google Scholar] [CrossRef]
- Zhang, C.M.; Yin, T.J.; Zhu, Y.J.; Ke, L.M. Shallow water delta sedimentary model. J. Sediment. Res. 2010, 28, 933–944. [Google Scholar]
- Orton, G.J.; Reading, H.G. Variability of deltaic processes in terms of sediment supply, with particular emphasis on grain size. Sedimentology 1993, 40, 475–512. [Google Scholar] [CrossRef]
- Burpee, A.P.; Slingerland, R.L.; Edmonds, D.A.; Parsons, D.; Best, J.; Cederberg, J.; McGuffin, A.; Caldwell, R.; Nijhuis, A.; Royce, J. Grain–size controls on the morphology and internal geometry of river–dominated deltas. J. Sed. Res. 2015, 85, 699–714. [Google Scholar] [CrossRef]
- Edmonds, D.A.; Slingerland, R.L. Significant effect of sediment cohesion on delta morphology. Nat. Geosci. 2010, 3, 105–109. [Google Scholar] [CrossRef]
- Yin, T.J.; Li, X.Y.; Zhang, C.M.; Zhu, Y.J.; Gong, F.H. Morphological characteristics of sedimentary sandbodies in modern shallow lake basin deltas: A case study of Dongting Lake and Poyang Lake. J. Pet. Nat. Gas Technol. 2012, 34, 1–7+166. [Google Scholar]
- Wu, S.H.; Xu, Z.H.; Liu, Z. Depositional architecture of fluvial-dominated shoal water delta. J. Palaeogeogr. 2019, 21, 202–215. [Google Scholar]
- Duan, D.P.; Hou, J.G.; Liu, Y.M.; Wang, C.G.; Gao, J. Quantitative research of fluvial–dominated delta front sedimentary system: A case study of Poyang Lake delta. Acta Sedimentol. Sin. 2014, 32, 270–277. [Google Scholar]
- Jin, Z.K.; Li, Y.; Gao, B.S.; Song, B.Q.; He, Y.H.; Shi, L.; Li, G.Z. Depositional model of modern gentle-slope delta: A case study from Ganjiang Delta in Poyang Lake. Acta Geol. Sin. 2014, 32, 710–723. [Google Scholar]
- Liu, H.; Qiu, Z.; Xu, L.; Wang, F.; Tong, Q.; Lin, J.H.; Yin, S.; Wang, W.Q. Distribution of shallow water delta sand bodies and the genesis of thick layer sand bodies of the Triassic Yanchang Formation, Longdong Area, Ordos Basin. Pet. Explor. Dev. 2021, 48, 123–135. [Google Scholar] [CrossRef]
- Xu, Z.H.; Yang, S.; Zhang, T.Y.; Wu, S.H.; Zhang, K.; Chen, M.; Yang, Z.; Gao, Z.J.; Zhang, C.M. Sharp change of the channel bar pattern within the river delta: Insights from modern Ganjiang River delta in Jiangxi province, China. Interpretation 2023, 11, SA105–SA114. [Google Scholar] [CrossRef]
- Caldwell, R.L.; Edmonds, D.A. The effects of sediment properties on deltaic processes and morphologies: A numerical modeling study. J. Geophys. Res. Earth Surf. 2024, 119, 961–982. [Google Scholar]
- Edmonds, D.A.; Shaw, J.B.; Mohrig, D. Topset-dominated deltas: A new model for river delta stratigraphy. Geology 2011, 39, 1175–1178. [Google Scholar] [CrossRef]
- Feng, W.J.; Zhang, C.M.; Yin, T.J.; Yin, Y.S.; Liu, J.L.; Zhu, R.; Xu, Q.H.; Chen, Z. Sedimentary characteristics and internal architecture of a river-dominated delta controlled by autogenic process: Implications from a flume tank experiment. Pet. Sci. 2019, 16, 1237–1254. [Google Scholar] [CrossRef]
- Wang, L.X.; Xiong, G.; Yin, Y.S.; Feng, W.J.; Li, J.; Xie, P.F.; Hu, X.; Wang, X.X. Implications of Flume Simulation for the Architectural Analysis of Shallow-Water Deltas: A Case Study from the S Oilfield, Offshore China. J. Mar. Sci. Eng. 2025, 13, 2095. [Google Scholar] [CrossRef]
- Wang, Y.W.; Yu, Q.; Jiao, J.; Tonnon, P.K.; Wang, Z.B.; Gao, S. Coupling bedform roughness and sediment grain-size sorting in modelling of tidal inlet incision. Mar. Geol. 2016, 381, 128–141. [Google Scholar] [CrossRef]
- Jenkins, R.L., III; Smith, C.G.; Passeri, D.L.; Ellis, A.M. Model Sensitivity Analysis for Coastal Morphodynamics: Investigating Sediment Parameters and Bed Composition in Delft3D. J. Mar. Sci. Eng. 2024, 12, 2108. [Google Scholar] [CrossRef]
- Hawie, N.; Covault, J.A.; Sylvester, Z. Grain-size and discharge controls on submarine-fan depositional patterns from forward stratigraphic models. Front. Earth Sci. 2019, 7, 334. [Google Scholar] [CrossRef]
- Wang, J.H.; Muto, T.; Urata, K.; Sato, T.; Naruse, H. Morphodynamics of river deltas in response to different basin water depths: An experimental examination of the Grade Index model. Geophys. Res. Lett. 2019, 46, 5265–5273. [Google Scholar] [CrossRef]
- Hoyal, D.C.J.D.; Sheets, B.A. Morphodynamic evolution of experimental cohesive deltas. J. Geophys. Res. 2009, 114, F02009. [Google Scholar] [CrossRef]
- Straub, K.M.; Li, Q.; Benson, W.M. Influence of sediment cohesion on deltaic shoreline dynamics and bulk sediment retention: A laboratory study. Geophys. Res. Lett. 2015, 42, 9808–9815. [Google Scholar] [CrossRef]
- Bryant, M.; Falk, P.; Paola, C. Experimental study of avulsion frequency and rate of deposition. Geology 1995, 23, 365–368. [Google Scholar] [CrossRef]
- Zhang, L.; Bao, Z.D.; Yan, L.B.; Chen, Y.M.; Lin, X.H.; Dou, L.X.; Kong, B. Genetic types and sedimentary model of sandbodies in a shallow-water delta: A case study of the first Member of Cretaceous Yaojia Formation in Qian’an area, south of Songliao Basin, NE China. Pet. Explor. Dev. 2017, 44, 770–779. [Google Scholar] [CrossRef]
- Fu, C.; Yu, X.H.; Li, S.L. Multiple sediment source infill in a low-accommodation basin: Implications for the late Paleozoic sediment routing system in the southeastern Ordos Basin. Geol. Mag. 2023, 160, 1649–1672. [Google Scholar] [CrossRef]
- Edmonds, D.A.; Slingerland, R.L. Mechanics of river-mouth bar formation: Implications for the morphodynamics of delta distributary networks. J. Geophys. Res. Earth Surf. 2007, 112, F02034. [Google Scholar] [CrossRef]
- Federici, B.; Paola, C. Dynamics of channel bifurcation in non-cohesive sediments. Water Resour. Res. 2003, 39, 1162. [Google Scholar] [CrossRef]
- Qi, Y.; Wang, Y.J.; Qin, G.S.; Song, Y.C.; Zhang, H.L.; Meng, F.L. Sedimentary evolutionary processes, architecture, and sedimentary model of a lobate shallow-water delta: Insights from flume simulation experiments. Front. Earth Sci. 2024, 1, 1393211. [Google Scholar] [CrossRef]
- Xu, Z.H.; Deng, H.; Wu, S.H.; Yue, D.L.; Liu, Y.M.; Li, Q. Depositional architecture and formative mechanism of dendritic bars within river-dominated shallow-water delta front. J. Palaeogeogr. 2024, 26, 1338–1351. [Google Scholar]
- Day, J.W.; Britsch, L.D.; Hawes, S.R.; Shaffer, G.P.; Reed, D.J.; Cahoon, D. Pattern and process of land loss in the Mississippi Delta: A spatial and temporal analysis of wetland habitat change. Estuaries 2000, 23, 425–438. [Google Scholar] [CrossRef]
- Aslan, A.; Autin, W.J.; Blum, M.D. Causes of river avulsion: Insights from the late Holocene avulsion history of the Mississippi River, USA. J. Sediment. Res. 2005, 75, 650–664. [Google Scholar] [CrossRef]
- Falcini, F.; Jerolmack, D.J. A potential vorticity theory for the formation of elongate channels in river deltas and lakes. J. Geophys. Res. 2010, 115, F04038. [Google Scholar] [CrossRef]
- Xu, Z.H.; Wu, S.H.; Liu, Z.; Zhao, J.S.; Geng, H.L.; Wu, J.C.; Zhang, T.Y.; Liu, Z.W. Sandbody architecture of the bar finger within shoal water delta front: Insights from the Lower Member of Minghuazhen Formation, Neogene, Bohai BZ25 Oilfield, Bohai Bay Basin, East China. Pet. Explor. Dev. 2019, 46, 322–333. [Google Scholar] [CrossRef]















| Parameter | SRDG | MRDG |
|---|---|---|
| bedform slope | 0.5° | 0.5° |
| d50 of supplied sediment | 92 μm | 35 μm |
| water discharge | 0.4 L/s | 0.385 L/s |
| sediment supply rate | 4 g/s | 0.96 g/s |
| polymer addition | no | yes (Polyacrylamide, PAM) |
| experimental duration | 138 h | 100 h |
| Parameter | SRDG | MRDG |
|---|---|---|
| growth pattern | significant lateral expansion in early stage with slowed marginal growth later; relatively balanced longitudinal and lateral progradation. | dominated by sustained longitudinal extension; longitudinal propagation rate significantly exceeded the lateral expansion rate, with areal growth slowing markedly once initial radial channels formed, while the overall morphology continued to elongate. |
| stable phase characteristics | stable morphology with high internal dynamics; stable overall depositional architecture with rapid, frequent migration of distributary channels and constant reorganization of channel–mouth bar configurations. | sustained elongation with relative internal stability; continuous longitudinal extension of the overall form; a relatively stable main channel system; secondary channels exhibiting instability yet having minor impact on delta growth. |
| sediment distribution pattern | dispersive sedimentation; sediments transported through numerous distributary channels and deposited around multiple mouth bars; resulting in widely dispersed depocenters. | highly focused sedimentation; most sediments rapidly accumulated along main distributary channels; formed elongated mouth bars along the main distributary channels. |
| distributary channel characteristics | complex dendritic system; high channel density with numerous active channels; frequent channel migration, avulsion, and reoccupation. | main-channel dominated system; low channel count with 1 to several main channels being absolutely dominant; secondary channels were small-scale, weakly incised, and prone to avulsion and abandonment. |
| mouth bar characteristics | multi-scaled and widely distributed; mouth bars readily formed at various channel termini; bars were moderate in size and broadly distributed. | elongated and channel-attached; primarily formed narrow mouth bars tightly aligned with and controlled by the main distributary channels. |
| final morphology | large, broad, fan-like delta. | small, elongated, finger-like delta. |
Disclaimer/Publisher’s Note: The statements, opinions and data contained in all publications are solely those of the individual author(s) and contributor(s) and not of MDPI and/or the editor(s). MDPI and/or the editor(s) disclaim responsibility for any injury to people or property resulting from any ideas, methods, instructions or products referred to in the content. |
© 2026 by the authors. Licensee MDPI, Basel, Switzerland. This article is an open access article distributed under the terms and conditions of the Creative Commons Attribution (CC BY) license.
Share and Cite
Liu, J.; Yin, T.; Wang, Y.; Liu, S.; Feng, W.; Zhou, Z.; Qi, Y. A Comparison of Sedimentary Characteristics and Architecture Between Sand-Rich and Mud-Rich Deltas: Insights from Flume Experiments. J. Mar. Sci. Eng. 2026, 14, 593. https://doi.org/10.3390/jmse14070593
Liu J, Yin T, Wang Y, Liu S, Feng W, Zhou Z, Qi Y. A Comparison of Sedimentary Characteristics and Architecture Between Sand-Rich and Mud-Rich Deltas: Insights from Flume Experiments. Journal of Marine Science and Engineering. 2026; 14(7):593. https://doi.org/10.3390/jmse14070593
Chicago/Turabian StyleLiu, Junling, Taiju Yin, Youjing Wang, Shengqian Liu, Wenjie Feng, Zhicheng Zhou, and You Qi. 2026. "A Comparison of Sedimentary Characteristics and Architecture Between Sand-Rich and Mud-Rich Deltas: Insights from Flume Experiments" Journal of Marine Science and Engineering 14, no. 7: 593. https://doi.org/10.3390/jmse14070593
APA StyleLiu, J., Yin, T., Wang, Y., Liu, S., Feng, W., Zhou, Z., & Qi, Y. (2026). A Comparison of Sedimentary Characteristics and Architecture Between Sand-Rich and Mud-Rich Deltas: Insights from Flume Experiments. Journal of Marine Science and Engineering, 14(7), 593. https://doi.org/10.3390/jmse14070593

