Sign in to use this feature.

Years

Between: -

Subjects

remove_circle_outline
remove_circle_outline
remove_circle_outline
remove_circle_outline
remove_circle_outline
remove_circle_outline
remove_circle_outline
remove_circle_outline
remove_circle_outline

Journals

Article Types

Countries / Regions

Search Results (115)

Search Parameters:
Keywords = flowering and fruit-setting stage

Order results
Result details
Results per page
Select all
Export citation of selected articles as:
16 pages, 1250 KB  
Article
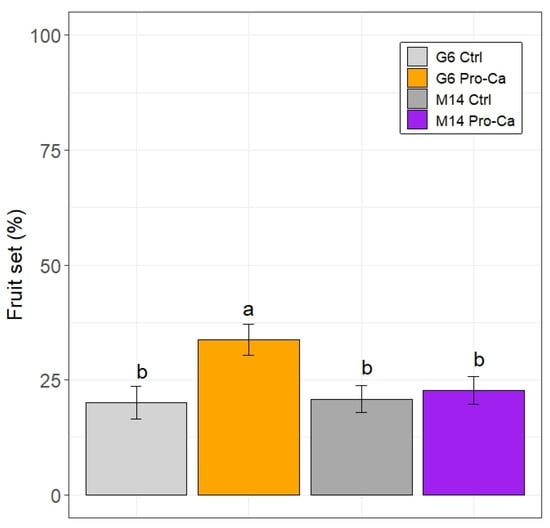
Preharvest Prohexadione-Ca Treatment Improves Fruit Set and Mechanical Properties in Cv. ‘Tip Top’ Sweet Cherries
by Alice Varaldo and Giovanna Giacalone
Agronomy 2025, 15(11), 2596; https://doi.org/10.3390/agronomy15112596 - 11 Nov 2025
Abstract
Sweet cherry (Prunus avium L.) cultivation is rapidly expanding in Northern Italy, where excessive vegetative vigor often limits fruit set and quality. This study aimed to evaluate the effects of Prohexadione-calcium (Pro-Ca) on the vegetative growth, productivity, and fruit quality of cv. [...] Read more.
Sweet cherry (Prunus avium L.) cultivation is rapidly expanding in Northern Italy, where excessive vegetative vigor often limits fruit set and quality. This study aimed to evaluate the effects of Prohexadione-calcium (Pro-Ca) on the vegetative growth, productivity, and fruit quality of cv. ‘Tip Top’ sweet cherries grafted onto Gisela 6 and MaxMa 14 rootstocks. The growth regulator was applied twice between the flower bud and petal fall stages. Pro-Ca significantly reduced vigor and increased the fruit setting by 10%, resulting in an yield average of +3 kg per plant. Also preharvest treatment increased average cherry size compared with the control, particularly in plants grafted onto Gisela 6. Moreover, Pro-Ca-treated fruits exhibited a +20% red overcolor extension of the skin, improved skin firmness (+12%), and led to higher nutraceutical properties. In conclusion, Pro-Ca improved plant yield and fruit quality in ‘Tip Top’ sweet cherry, likely through the combined effects on hormonal balance, assimilate allocation, and canopy light distribution, supporting its potential as a valuable growth regulator in high-density sweet cherry orchards. Full article
Show Figures

Figure 1

8 pages, 1286 KB  
Proceeding Paper
Comparative Evaluation of Ultra-Low-Volume Nozzle Configurations for UAV Spraying in Mango Orchards Under Semi-Arid Conditions in Northern India
by Shefali Vinod Ramteke, Pritish Kumar Varadwaj and Vineet Tiwari
Biol. Life Sci. Forum 2025, 47(1), 4; https://doi.org/10.3390/blsf2025047004 - 12 Sep 2025
Viewed by 677
Abstract
Efficient pesticide delivery in mango orchards is hindered by tall canopies and dense foliage. This study evaluated two ultra-low-volume (ULV) nozzles—TeeJet XR and HYPRO rotary—mounted on an indigenous multirotor drone during flowering and fruit-set stages in ‘Dashehari’ mango. HYPRO achieved 14% [...] Read more.
Efficient pesticide delivery in mango orchards is hindered by tall canopies and dense foliage. This study evaluated two ultra-low-volume (ULV) nozzles—TeeJet XR and HYPRO rotary—mounted on an indigenous multirotor drone during flowering and fruit-set stages in ‘Dashehari’ mango. HYPRO achieved 14% higher lower-canopy penetration, while TeeJet provided better upper coverage. Droplet spectra differed by 58 µm. UAV-based ULV spraying reduced carrier water by 97% and CO2-equivalent emissions by 99% compared to air-blast methods. Results underscore the importance of nozzle selection and support UAV adoption for climate-smart, resource-efficient horticulture in India. Full article
(This article belongs to the Proceedings of The 2nd International Electronic Conference on Horticulturae)
Show Figures

Figure 1

20 pages, 3482 KB  
Article
Interaction Regulation Mechanism of Soil Organic Carbon Fraction and Greenhouse Gases by Organic and Inorganic Fertilization
by Jing Wang, Guojun Han, Chunbin Li, Mingzhu He and Jianjun Chen
Agronomy 2025, 15(9), 2166; https://doi.org/10.3390/agronomy15092166 - 11 Sep 2025
Viewed by 600
Abstract
Under conditions of constant total nutrient input, the regulatory mechanisms of soil organic carbon components under gradient replacement ratios of organic materials for chemical fertilizers have not yet been systematically elucidated. This study took “Longjiao No. 2” as the research object, setting up [...] Read more.
Under conditions of constant total nutrient input, the regulatory mechanisms of soil organic carbon components under gradient replacement ratios of organic materials for chemical fertilizers have not yet been systematically elucidated. This study took “Longjiao No. 2” as the research object, setting up CK (no fertilization), T0 (100% chemical fertilizer application), T20 (80% chemical fertilizer + 20% vegetable waste organic fertilizer), T40 (60% chemical fertilizer + 40% vegetable waste organic fertilizer), T60 (40% chemical fertilizer + 60% vegetable waste organic fertilizer), and T80 (20% chemical fertilizer + 80% vegetable waste organic fertilizer) as treatment groups. This study investigated the changes in soil organic carbon and organic carbon component content at different crop growth stages (seedling stage, budding stage, flowering and fruit-setting stage, and fruiting stage) under different organic matter replacement methods of chemical fertilizer treatments. It analyzed the response of greenhouse gas emissions to different fertilization conditions and assessed the changes in soil carbon pool management indices, as well as the interaction mechanisms between soil nutrients, carbon components, and greenhouse gases. The results showed that the combined application of chemical fertilizer and vegetable residue organic fertilizer significantly affected soil carbon pool dynamics and greenhouse gas emissions: the T60 treatment was the most effective, increasing soil organic carbon components at all growth stages. The soil carbon pool management index (CPMI) during the seedling stage was 21.3% higher than that of the T0 treatment, and the stable carbon pool components (MOC and POC) during the fruiting stage were 18.7–22.4% higher. This application mode reduced the global warming potential (GWP) by 25.6% compared to the T0 treatment throughout the entire growth stage. The CO2 emissions peaked 19.3% lower during the flowering and fruit-setting stage. Applying organic fertilizer and chemical fertilizer in a 6:4 ratio balanced carbon turnover and sequestration while achieving the highest yield, providing a basis for low-carbon fertilization and increased production in semi-arid regions’ protected agriculture. Full article
(This article belongs to the Section Soil and Plant Nutrition)
Show Figures

Figure 1

15 pages, 1229 KB  
Article
Effects of Biochar and Dicyandiamide on Root Traits, Yield, and Soil N2O Emissions of Greenhouse Tomato Under a Biogas Slurry Hole Irrigation System
by Qinglin Sa, Jian Zheng, Haolin Li, Yan Wang and Zifan Li
Nitrogen 2025, 6(3), 73; https://doi.org/10.3390/nitrogen6030073 - 28 Aug 2025
Viewed by 582
Abstract
To explore fertilization strategies that achieve both high yield and emission reduction in greenhouse tomato production, a two-season experiment was conducted in autumn 2023 and spring 2024 under equal nitrogen input. Seven treatments were established: conventional fertilization (CK1), biogas slurry alone (CK2), 0.5% [...] Read more.
To explore fertilization strategies that achieve both high yield and emission reduction in greenhouse tomato production, a two-season experiment was conducted in autumn 2023 and spring 2024 under equal nitrogen input. Seven treatments were established: conventional fertilization (CK1), biogas slurry alone (CK2), 0.5% biochar + biogas slurry (T1), 2% biochar + biogas slurry (T2), dicyandiamide + biogas slurry (T3), 0.5% biochar + biogas slurry + dicyandiamide (T4), and 2% biochar + biogas slurry + dicyandiamide (T5). The effects of each treatment on tomato root traits, yield, irrigation water use efficiency (IWUE), partial factor productivity of nitrogen (PFPN), and soil N2O emissions were systematically evaluated. An analytic hierarchy process (AHP) was applied for comprehensive assessment. The results showed that fertilization treatments significantly affected tomato root traits (p < 0.05), with T5 exhibiting the best performance in root length, average diameter, total surface area, total volume, and root activity, all significantly higher than CK1. T5 also achieved the highest yield in both seasons, with increases of 8.13% (autumn 2023) and 10.19% (spring 2024) over CK1. Moreover, T5 showed superior IWUE (475.38 kg ha−1 mm−1) and PFPN (405.92 kg kg−1). In terms of environmental performance, T5 significantly reduced soil N2O flux, with the largest reduction reaching 16.16%, particularly during the peak emission stages in the flowering and fruit-setting periods. The AHP-based comprehensive evaluation confirmed that T5 had the highest overall weight with satisfactory matrix consistency. In conclusion, compared with conventional fertilization, the integrated T5 treatment increased tomato yield by up to 10.19% and reduced cumulative N2O emissions by up to 16.16%, highlighting its potential as a feasible fertilization pathway and technical reference for low-carbon and sustainable agriculture. Full article
Show Figures

Figure 1

25 pages, 2135 KB  
Article
Monitoring Wolfberry (Lycium barbarum L.) Canopy Nitrogen Content with Hyperspectral Reflectance: Integrating Spectral Transformations and Multivariate Regression
by Yongmei Li, Hao Wang, Hongli Zhao, Ligen Zhang and Wenjing Xia
Agronomy 2025, 15(9), 2072; https://doi.org/10.3390/agronomy15092072 - 28 Aug 2025
Viewed by 695
Abstract
Accurate monitoring of canopy nitrogen content in wolfberry (Lycium barbarum L.) is essential for optimizing fertilization management, improving crop yield, and promoting sustainable agriculture. However, the sparse, architecturally complex canopy of this perennial shrub—featuring coexisting branches, leaves, flowers, and fruits across maturity [...] Read more.
Accurate monitoring of canopy nitrogen content in wolfberry (Lycium barbarum L.) is essential for optimizing fertilization management, improving crop yield, and promoting sustainable agriculture. However, the sparse, architecturally complex canopy of this perennial shrub—featuring coexisting branches, leaves, flowers, and fruits across maturity stages—poses significant challenges for canopy spectral-based nitrogen assessment. This study integrates methods across canopy spectral acquisition, transformation, feature spectral selection, and model construction, and specifically explores the potential of hyperspectral remote sensing, integrated with spectral mathematical transformations and machine learning algorithms, for predicting canopy nitrogen content in wolfberry. The overarching goal is to establish a feasible technical framework and predictive model for monitoring canopy nitrogen in wolfberry. In this study, canopy spectral measurements are systematically collected from densely overlapping leaf regions within the east, south, west, and north orientations of the wolfberry canopy. Spectral data undergo mathematical transformation using first-derivative (FD) and continuum-removal (CR) techniques. Optimal spectral variables are identified through correlation analysis combined with Recursive Feature Elimination (RFE). Subsequently, predictive models are constructed using five machine learning algorithms and three linear regression methods. Key results demonstrate that (1) FD and CR transformations enhance the correlation with nitrogen content (max correlation coefficient (r) = −0.577 and 0.522, respectively; p < 0.01), surpassing original spectra (OS, −0.411), while concurrently improving model predictive capability. Validation tests yield maximum R2 values of 0.712 (FD) and 0.521 (CR) versus 0.407 for OS, confirming FD’s superior performance enhancement. (2) Nonlinear machine learning models, by capturing complex canopy-light interactions, outperform linear methods and exhibit superior predictive performance, achieving R2 values ranging from 0.768 to 0.976 in the training set—significantly outperforming linear regression models (R2 = 0.107–0.669). (3) The Random Forest (RF) model trained on FD-processed spectra achieves the highest accuracy, with R2 values of 0.914 (training set) and 0.712 (validation set), along with an RPD of 1.772. This study demonstrates the efficacy of spectral transformations and nonlinear regression methods in enhancing nitrogen content estimation. It establishes the first effective field monitoring strategy and optimal predictive model for canopy nitrogen content in wolfberry. Full article
(This article belongs to the Section Precision and Digital Agriculture)
Show Figures

Figure 1

23 pages, 5650 KB  
Article
Boron Supplementation and Phytohormone Application: Effects on Development, Fruit Set, and Yield in Macadamia Cultivar ‘A4’ (Macadamia integrifolia, M. tetraphylla)
by Zhang-Jie Zhou, Zi-Xuan Zhao, Jing-Jing Zhou, Fan Yang and Jin-Zhi Zhang
Plants 2025, 14(16), 2461; https://doi.org/10.3390/plants14162461 - 8 Aug 2025
Cited by 1 | Viewed by 844
Abstract
Macadamia (Macadamia integrifolia), Macadamia tetraphylla and hybrids, a crop of high economic and nutritional importance, faces challenges with low fruit set rates and severe fruit drop. To address this, we investigated the effects of exogenous plant growth regulators (PGRs) and boron [...] Read more.
Macadamia (Macadamia integrifolia), Macadamia tetraphylla and hybrids, a crop of high economic and nutritional importance, faces challenges with low fruit set rates and severe fruit drop. To address this, we investigated the effects of exogenous plant growth regulators (PGRs) and boron fertilizer on the development, fruit set, and yield of the A4 macadamia variety. The study was conducted in 2024 at the Lujiangba research base (China, Yunnan Province). Five treatments were applied during key growth stages: boron (B), brassinosteroids (BR), N-(2-Chloro-4-pyridyl)-N’-phenylurea (CPPU), 6-benzylaminopurine (6-BA), and gibberellic acid (GA3). Growth stages include flower bud formation, peak flowering, and fruiting. Our findings revealed that B treatment significantly increased pollen viability (95.69% improvement) and raceme length (23.97% increase), while BR enhanced flower count per raceme (26.37% increase) and CPPU improved flower retention (10.53% increase). Additionally, GA3 and 6-BA promoted leaf expansion in new shoots, increasing leaf length by 39.83% and 31.39%, respectively. Notably, B application significantly improved total yield (43.11% increase) and fruit number (39.12% increase), whereas BR maximized nut shell diameter (5.7% increase) and individual nut weight (19.9% increase). Furthermore, CPPU and 6-BA markedly improved initial fruit set rates, while GA3, BR, and B effectively reduced early fruit drop. Physiological analyses indicated that elevated soluble sugars and proteins in flowers correlated with higher initial fruit set, whereas increased endogenous cytokinin and GA3 levels improved fruit retention and reduced drop rates. Based on these findings, we propose an integrated approach to optimize productivity: applying 0.02% B at the floral bud stage, 2 mg/L 6-BA at full bloom, and a combination of 0.02% B and 0.2 mL/L BR during early fruit set. This strategy not only enhances yield but also mitigates fruit drop, offering practical solutions for macadamia production. Full article
(This article belongs to the Special Issue Development of Woody Plants)
Show Figures

Figure 1

23 pages, 7166 KB  
Article
Deriving Early Citrus Fruit Yield Estimation by Combining Multiple Growing Period Data and Improved YOLOv8 Modeling
by Menglin Zhai, Juanli Jing, Shiqing Dou, Jiancheng Du, Rongbin Wang, Jichi Yan, Yaqin Song and Zhengmin Mei
Sensors 2025, 25(15), 4718; https://doi.org/10.3390/s25154718 - 31 Jul 2025
Viewed by 1119
Abstract
Early crop yield prediction is a major challenge in precision agriculture, and efficient and rapid yield prediction is highly important for sustainable fruit production. The accurate detection of major fruit characteristics, including flowering, green fruiting, and ripening stages, is crucial for early yield [...] Read more.
Early crop yield prediction is a major challenge in precision agriculture, and efficient and rapid yield prediction is highly important for sustainable fruit production. The accurate detection of major fruit characteristics, including flowering, green fruiting, and ripening stages, is crucial for early yield estimation. Currently, most crop yield estimation studies based on the YOLO model are only conducted during a single stage of maturity. Combining multi-growth period data for crop analysis is of great significance for crop growth detection and early yield estimation. In this study, a new network model, YOLOv8-RL, was proposed using citrus multigrowth period characteristics as a data source. A citrus yield estimation model was constructed and validated by combining network identification counts with manual field counts. Compared with YOLOv8, the number of parameters of the improved network is reduced by 50.7%, the number of floating-point operations is decreased by 49.4%, and the size of the model is only 3.2 MB. In the test set, the average recognition rate of citrus flowers, green fruits, and orange fruits was 95.6%, the mAP@.5 was 94.6%, the FPS value was 123.1, and the inference time was only 2.3 milliseconds. This provides a reference for the design of lightweight networks and offers the possibility of deployment on embedded devices with limited computational resources. The two estimation models constructed on the basis of the new network had coefficients of determination R2 values of 0.91992 and 0.95639, respectively, with a prediction error rate of 6.96% for citrus green fruits and an average error rate of 3.71% for orange fruits. Compared with network counting, the yield estimation model had a low error rate and high accuracy, which provided a theoretical basis and technical support for the early prediction of fruit yield in complex environments. Full article
(This article belongs to the Section Smart Agriculture)
Show Figures

Figure 1

17 pages, 7928 KB  
Article
Light–Nutrient Optimization Enhances Cherry Tomato Yield and Quality in Greenhouses
by Jianglong Li, Zhenbin Xie, Tiejun Zhao, Hongjun Li, Riyuan Chen, Shiwei Song and Yiting Zhang
Horticulturae 2025, 11(8), 874; https://doi.org/10.3390/horticulturae11080874 - 25 Jul 2025
Viewed by 1360
Abstract
To ensure the year-round efficient production of high-quality cherry tomatoes, this study evaluated how four cherry tomato cultivars can enhance yield and quality through optimized nutrient solution and supplementary lighting. Nutrient solutions (N1 and N2) were adjusted, with EC at 1.6 dS/m (N1: [...] Read more.
To ensure the year-round efficient production of high-quality cherry tomatoes, this study evaluated how four cherry tomato cultivars can enhance yield and quality through optimized nutrient solution and supplementary lighting. Nutrient solutions (N1 and N2) were adjusted, with EC at 1.6 dS/m (N1: nitrogen 10.7 me/L, phosphorus 2.7 me/L, potassium 5.3 me/L) during flowering stage, and 2.4 dS/m (N1: nitrogen 16 me/L, phosphorus 4 me/L, potassium 8 me/L; N2: nitrogen 10.7 me/L, phosphorus 5.4 me/L, potassium 10.8 me/L) from fruit setting to harvest. N1 used standard adjustments, while N2 was optimized by adding solely with KCl and KH2PO4. Lighting treatments included L1 (natural light) and L2 (supplemental red/blue light). The application of N2 effectively decreased nitrate levels while it significantly enhanced the content of soluble sugars, flavor, and overall palatability, especially fruit coloring in cherry tomatoes, irrespective of supplementary lighting conditions. However, such optimization also increased sourness or altered the sugar–acid ratio. Supplementary lighting generally promoted the accumulation of soluble sugars, sweetness, and tomato flavor, although its effects varied markedly among different fruit clusters. The combination of optimized nutrient solutions and supplementary lighting exhibited synergistic effects, improving the content of soluble sugars, vitamin C, proteins, and flavor. N1 combined with L2 achieved the highest plant yield. Among the cultivars, ‘Linglong’ showed the greatest overall quality improvement, followed by ‘Baiyu’, ‘Miying’, and ‘Moka’. In conclusion, supplementary lighting can enhance the effect of nitrogen on yield and amplify the influence of phosphorus and potassium on fruit quality improvement in cherry tomatoes. The findings of this study may serve as a theoretical basis for the development of year-round production techniques for high-quality cherry tomatoes. Full article
Show Figures

Figure 1

22 pages, 7140 KB  
Article
Impact of Phenological and Lighting Conditions on Early Detection of Grapevine Inflorescences and Bunches Using Deep Learning
by Rubén Íñiguez, Carlos Poblete-Echeverría, Ignacio Barrio, Inés Hernández, Salvador Gutiérrez, Eduardo Martínez-Cámara and Javier Tardáguila
Agriculture 2025, 15(14), 1495; https://doi.org/10.3390/agriculture15141495 - 11 Jul 2025
Viewed by 561
Abstract
Reliable early-stage yield forecasts are essential in precision viticulture, enabling timely interventions such as harvest planning, canopy management, and crop load regulation. Since grape yield is directly related to the number and size of bunches, the early detection of inflorescences and bunches, carried [...] Read more.
Reliable early-stage yield forecasts are essential in precision viticulture, enabling timely interventions such as harvest planning, canopy management, and crop load regulation. Since grape yield is directly related to the number and size of bunches, the early detection of inflorescences and bunches, carried out even before flowering, provides a valuable foundation for estimating potential yield far in advance of veraison. Traditional yield prediction methods are labor-intensive, subjective, and often restricted to advanced phenological stages. This study presents a deep learning-based approach for detecting grapevine inflorescences and bunches during early development, assessing how phenological stage and illumination conditions influence detection performance using the YOLOv11 architecture under commercial field conditions. A total of 436 RGB images were collected across two phenological stages (pre-bloom and fruit-set), two lighting conditions (daylight and artificial night-time illumination), and six grapevine cultivars. All images were manually annotated following a consistent protocol, and models were trained using data augmentation to improve generalization. Five models were developed: four specific to each condition and one combining all scenarios. The results show that the fruit-set stage under daylight provided the best performance (F1 = 0.77, R2 = 0.97), while for inflorescences, night-time imaging yielded the most accurate results (F1 = 0.71, R2 = 0.76), confirming the benefits of artificial lighting in early stages. These findings define optimal scenarios for early-stage organ detection and support the integration of automated detection models into vineyard management systems. Future work will address scalability and robustness under diverse conditions. Full article
(This article belongs to the Section Artificial Intelligence and Digital Agriculture)
Show Figures

Figure 1

17 pages, 4030 KB  
Article
Effects of Cultivation Modes on Soil Protistan Communities and Its Associations with Production Quality in Lemon Farmlands
by Haoqiang Liu, Hongjun Li, Zhuchun Peng, Sichen Li and Chun Ran
Plants 2025, 14(13), 2024; https://doi.org/10.3390/plants14132024 - 2 Jul 2025
Viewed by 536
Abstract
Citrus is one of the most widely consumed fruits in the world, and its cultivation industry continues to develop rapidly. However, the roles of soil protistan communities during citrus growth are not yet fully understood, despite the potential significance of these communities to [...] Read more.
Citrus is one of the most widely consumed fruits in the world, and its cultivation industry continues to develop rapidly. However, the roles of soil protistan communities during citrus growth are not yet fully understood, despite the potential significance of these communities to the health and quality of citrus. In this study, we examined the soil properties and protistan communities in Eureka lemon farmlands located in Chongqing, China, during the flowering and fruiting stages of cultivation, both in greenhouse and open-field settings. In general, the majority of the measured soil properties (including nutrients and enzyme activities) exhibited higher values in open-field farmlands in comparison to those observed in greenhouse counterparts. According to the results of high-throughput sequencing based on the V9 region of eukaryotic 18S rRNA gene, the diversity of soil protistan communities was also higher in open-field farmlands, and both lemon growth stage and cultivation modes showed significant effects on soil protistan compositions. The transition from traditional agricultural practices to greenhouse farming resulted in a significant transformation of the soil protistan community. This transformation manifested as a shift towards a state characterized by diminished nutrient cycling capabilities. This decline was evidenced by an increase in phototrophs (Archaeplastida) and a concomitant decrease in consumers (Stramenopiles and Alveolata). Community assembly analysis revealed deterministic processes that controlled the succession of soil protistan communities in lemon farmlands. It has been established that environmental associations have the capacity to recognize nitrogen in soils, thereby providing a deterministic selection process for protistan community assembly. Furthermore, a production index was calculated based on 12 quality parameters of lemons, and the results indicated that lemons from greenhouse farms exhibited a lower quality compared to those from open fields. The structure equation model revealed a direct correlation between the quality of lemons and the cultivation methods employed, as well as the composition of soil protists. The present study offers insights into the mechanisms underlying the correlations between the soil protistan community and lemon quality in response to changes in the cultivation modes. Full article
(This article belongs to the Special Issue Innovative Techniques for Citrus Cultivation)
Show Figures

Figure 1

24 pages, 9205 KB  
Article
Estimation of Canopy Chlorophyll Content of Apple Trees Based on UAV Multispectral Remote Sensing Images
by Juxia Wang, Yu Zhang, Fei Han, Zhenpeng Shi, Fu Zhao, Fengzi Zhang, Weizheng Pan, Zhiyong Zhang and Qingliang Cui
Agriculture 2025, 15(12), 1308; https://doi.org/10.3390/agriculture15121308 - 18 Jun 2025
Cited by 4 | Viewed by 864
Abstract
The chlorophyll content is an important index reflecting the growth status and nutritional level of plants. The rapid, accurate and nondestructive monitoring of the SPAD content of apple trees can provide a basis for large-scale monitoring and scientific management of the growth status [...] Read more.
The chlorophyll content is an important index reflecting the growth status and nutritional level of plants. The rapid, accurate and nondestructive monitoring of the SPAD content of apple trees can provide a basis for large-scale monitoring and scientific management of the growth status of apple trees. In this study, the canopy leaves of apple trees at different growth stages in the same year were taken as the research object, and remote sensing images of fruit trees in different growth stages (flower-falling stage, fruit-setting stage, fruit expansion stage, fruit-coloring stage and fruit-maturing stage) were acquired via a DJI MAVIC 3 multispectral unmanned aerial vehicle (UAV). Then, the spectral reflectance was extracted to calculate 15 common vegetation indexes as eigenvalues, the 5 vegetation indexes with the highest correlation were screened out through Pearson correlation analysis as the feature combination, and the measured SPAD values in the leaves of the fruit trees were gained using a handheld chlorophyll meter in the same stages. The estimation models for the SPAD values in different growth stages were, respectively, established through five machine learning algorithms: multiple linear regression (MLR), partial least squares regression (PLSR), support vector regression (SVR), random forest (RF) and extreme gradient boosting (XGBoost). Additionally, the model performance was assessed by selecting the coefficient of determination (R2), root mean square error (RMSE) and mean absolute error (MAE). The results show that the SPAD estimation results vary from stage to stage, where the best estimation model for the flower-falling stage, fruit-setting stage and fruit-maturing stage is RF and those for the fruit expansion stage and fruit-coloring stage are PLSR and MLR, respectively. Among the estimation models in the different growth stages, the model accuracy for the fruit expansion stage is the highest, with R2 = 0.787, RMSE = 0.87 and MAE = 0.644. The RF model, which outperforms the other models in terms of the prediction effect in multiple growth stages, can effectively predict the SPAD value in the leaves of apple trees and provide a reference for the growth status monitoring and precise management of orchards. Full article
(This article belongs to the Section Artificial Intelligence and Digital Agriculture)
Show Figures

Figure 1

24 pages, 13237 KB  
Article
Inversion of SPAD Values of Pear Leaves at Different Growth Stages Based on Machine Learning and Sentinel-2 Remote Sensing Data
by Ning Yan, Qu Xie, Yasen Qin, Qi Wang, Sumin Lv, Xuedong Zhang and Xu Li
Agriculture 2025, 15(12), 1264; https://doi.org/10.3390/agriculture15121264 - 11 Jun 2025
Cited by 1 | Viewed by 1328
Abstract
Chlorophyll content is a critical indicator of the physiological status and fruit quality of pear trees, with Soil Plant Analysis Development (SPAD) values serving as an effective proxy due to their advantages in rapid and non-destructive acquisition. However, current remote sensing-based SPAD retrieval [...] Read more.
Chlorophyll content is a critical indicator of the physiological status and fruit quality of pear trees, with Soil Plant Analysis Development (SPAD) values serving as an effective proxy due to their advantages in rapid and non-destructive acquisition. However, current remote sensing-based SPAD retrieval studies are primarily limited to single phenological stages or rely on a narrow set of input features, lacking systematic exploration of multi-temporal feature fusion and comparative model analysis. In this study, pear leaves were selected as the research object, and Sentinel-2 remote sensing data combined with in situ SPAD measurements were used to conduct a comprehensive retrieval study across multiple growth stages, including flowering, fruit-setting, fruit enlargement, and maturity. First, spectral reflectance and representative vegetation indices were extracted and subjected to Pearson correlation analysis to construct three input feature schemes. Subsequently, four machine learning algorithms—K-Nearest Neighbors (KNN), Random Forest (RF), Support Vector Machine (SVM), and an Optimized Integrated Algorithm (OIA)—were employed to develop SPAD retrieval models, and the performance differences across various input combinations and models were systematically evaluated. The results demonstrated that (1) both spectral reflectance and vegetation indices exhibited significant correlations with SPAD values, indicating strong retrieval potential; (2) the OIA model consistently outperformed individual algorithms, achieving the highest accuracy when using the combined feature scheme; (3) among the phenological stages, the fruit-enlargement stage yielded the best retrieval performance, with R2 values of 0.740 and 0.724 for the training and validation sets, respectively. This study establishes a robust SPAD retrieval framework that integrates multi-source features and multiple models, enhancing prediction accuracy across different growth stages and providing technical support for intelligent orchard monitoring and precision management. Full article
(This article belongs to the Section Artificial Intelligence and Digital Agriculture)
Show Figures

Figure 1

15 pages, 1720 KB  
Article
Timing Matters, Not Just the Treatment: Phenological-Stage-Specific Effects of Seaweed and Ethanol Applications on Postharvest Quality of ‘Tarsus Beyazı’ Grapes
by Güzin Tarım, Sinem Karakus, Nurhan Keskin, Harlene Hatterman-Valenti and Ozkan Kaya
Horticulturae 2025, 11(6), 656; https://doi.org/10.3390/horticulturae11060656 - 10 Jun 2025
Viewed by 702
Abstract
In the context of increasing consumer demand for high-quality, residue-free fruits and the growing emphasis on sustainable postharvest technologies, identifying effective, eco-friendly treatments to maintain grape quality during storage has become a critical focus in modern viticulture. Over the course of this study, [...] Read more.
In the context of increasing consumer demand for high-quality, residue-free fruits and the growing emphasis on sustainable postharvest technologies, identifying effective, eco-friendly treatments to maintain grape quality during storage has become a critical focus in modern viticulture. Over the course of this study, we examined the influence of seaweed extract (derived from Ascophyllum nodosum) and ethanol-based postharvest treatments on the postharvest quality of the ‘Tarsus Beyazı’ grape. The seaweed extract was applied at six specific phenological stages according to the BBCH scale: BBCH 13 (3rd–4th leaf stage, 0.40%), BBCH 60 (first flower sheath opening, 0.50%), BBCH 71 (fruit set, 0.50%), BBCH 75 (chickpea-sized berries, 0.50%), BBCH 81 (start of ripening, 0.60%), and BBCH 89 (harvest maturity, 0.60%). After harvest, grape clusters were subjected to four different postharvest treatments: untreated control, control + ethanol (20% ethanol immersion for 10 s), seaweed extract alone (preharvest applications only), and seaweed extract + ethanol (combining both preharvest and postharvest treatments). Grapes were stored at 0–1 °C and 90–95% RH for three weeks, followed by a shelf-life evaluation period of three days at 20 °C and 60–65% RH. The findings revealed that seaweed treatments, especially when applied during cluster formation and berry development, effectively mitigated physiological deterioration, preserving stem turgidity and enhancing berry firmness. In contrast, ethanol showed variable responses, occasionally exerting negative effects, with only marginal benefits observed when applied at optimal developmental stages. Both the type and timing of application emerged as critical determinants of key quality attributes such as weight loss, decay incidence, and must properties (TSS, pH, TA). Correlation and heat map analyses indicated the interrelationships among these parameters and the differential impacts of treatments. These results suggest that phenological-stage-specific seaweed applications hold significant potential as a sustainable strategy to extend the storage life and maintain the market quality of ‘Tarsus Beyazı’ grapes. Full article
Show Figures

Figure 1

26 pages, 7011 KB  
Article
Assessment of Different Irrigation Thresholds to Optimize the Water Use Efficiency and Yield of Potato (Solanum tuberosum L.) Under Field Conditions
by Rodrigo Mora-Sanhueza, Ricardo Tighe-Neira, Rafael López-Olivari and Claudio Inostroza-Blancheteau
Plants 2025, 14(11), 1734; https://doi.org/10.3390/plants14111734 - 5 Jun 2025
Cited by 1 | Viewed by 1531
Abstract
The potato (Solanum tuberosum L.) is highly dependent on water availability, with physiological sensitivity varying throughout its phenological cycle. In the context of increasing water scarcity and greater climate variability, identifying critical periods where water stress negatively impacts productivity and tuber quality [...] Read more.
The potato (Solanum tuberosum L.) is highly dependent on water availability, with physiological sensitivity varying throughout its phenological cycle. In the context of increasing water scarcity and greater climate variability, identifying critical periods where water stress negatively impacts productivity and tuber quality is essential. This study evaluated the physiological response of potatoes under different deficit irrigation strategies in field conditions, and aimed to determine the irrigation reduction thresholds that optimize water use efficiency without significantly compromising yield. Five irrigation regimes were applied: well-watered (T1; irrigation was applied when the volumetric soil moisture content was close to 35% of total water available), 130% of T1 (T2, 30% more than T1), 75% of T1 (T3), 50% of T1 (T4), and 30% of T1 (T5). Key physiological parameters were monitored, including gas exchange (net photosynthesis, stomatal conductance, and transpiration), chlorophyll fluorescence (Fv’/Fm’, ΦPSII, electron transport rate), and photosynthetic pigment content, at three critical phenological phases: tuberization, flowering, and fruit set. The results indicate that water stress during tuberization and flowering significantly reduced photosynthetic efficiency, with decreases in stomatal conductance (gs), effective quantum efficiency of PSII (ΦPSII), and electron transport rate (ETR). In contrast, moderate irrigation reduction (75%) lowered the seasonal application of water by ~25% (≈80 mm ha−1) while maintaining commercial yield and tuber quality comparable to the fully irrigated control. Intrinsic water use efficiency increased by 18 ± 4% under this regime. These findings highlight the importance of irrigation management based on crop phenology, prioritizing water supply during the stages of higher physiological sensitivity and allowing irrigation reductions in less critical phases. In a scenario of increasing water limitations, this strategy enhances water use efficiency while ensuring the production of tubers with optimal commercial quality, promoting more sustainable agricultural management practices. Full article
Show Figures

Figure 1

19 pages, 1999 KB  
Article
Modulation of Potassium-to-Calcium Ratio in Nutrient Solution Improves Quality Attributes and Mineral Composition of Solanum lycopersicum var. cerasiforme
by Yirong He, Kaiqi Su, Lilong Wang, Jiameng Zhou, Sheng Sun, Jun’e Wang and Guoming Xing
Agronomy 2025, 15(6), 1380; https://doi.org/10.3390/agronomy15061380 - 4 Jun 2025
Viewed by 1333
Abstract
This study investigates the impact of dynamically adjusting the potassium-to-calcium ratio (molar ratio) in nutrient solutions used on cherry tomatoes at different growth stages (seedling, flowering and fruit setting, and maturity) to enhance fruit appearance, nutritional quality, and mineral content. By focusing on [...] Read more.
This study investigates the impact of dynamically adjusting the potassium-to-calcium ratio (molar ratio) in nutrient solutions used on cherry tomatoes at different growth stages (seedling, flowering and fruit setting, and maturity) to enhance fruit appearance, nutritional quality, and mineral content. By focusing on the ‘Saopolo’ variety, 17 treatments were implemented, each involving a specific potassium-to-calcium ratio in the nutrient solutions applied during the seedling, flowering and fruit setting, and fruiting stages. The aim was to optimize the nutrient solution formula and enhance fruit quality. Fruit quality parameters were assessed at the initial maturity stage across various treatments, encompassing commodity quality (fruit stalk length, fruit shape index, and fruit hardness), taste quality (total soluble sugar, titratable acid content, and sugar-acid ratio), nutritional quality (vitamin C (Vc), soluble protein, and lycopene content), antioxidant quality (total phenol and flavonoid content), as well as comprehensive quality (soluble solids content). Principal component analysis was conducted on these parameters. Additionally, mineral element levels in fruits were analyzed at different developmental stages (white ripe, color transition, and mature stages). When tomato plants were treated with nutrient solutions containing varying potassium-to-calcium ratios at different growth stages, observations revealed distinct outcomes in the first fruit cluster. T15 (seedling stage (A): 0.5 times standard nutrient solution; flowering and fruit-setting stage (B): potassium-to-calcium = 1.6:1; fruiting stage (C): potassium-to-calcium = 2.1:1) exhibited the highest fruit firmness (1.54 kg·cm−2), while T14 (A; B (K:Ca = 1.6:1); C (K:Ca = 2.0:1)) elevated levels of total soluble sugars (6.59%), titratable acidity (0.74%), soluble proteins (2.79 mg·g−1), and total phenolics (2.56 mg·g−1). T13 (A; B (K:Ca = 1.6:1); C (K:Ca = 1.9:1)) demonstrated superior soluble solids (5.9%), lycopene (32.09 µg·g−1), and flavonoid contents (0.77 mg·g−1), whereas T12 (A; B (K:Ca = 1.6:1); C (K:Ca = 1.8:1)) showcased the highest sugar–acid ratio (12.63) and soluble solids content (5.9%). Notably, T8 (A; B (K:Ca = 1.5: 1); C (K:Ca = 1.9:1)) exhibited the highest Vc content (10.03 mg·100 g−1). Mineral element analysis indicated that an increased potassium-to-calcium ratio in the nutrient solution during various growth stages enhanced phosphorus and potassium uptake by the fruits but hindered the absorption of nitrogen, calcium, magnesium, and iron. In summary, employing half the standard nutrient solution dosage during the seedling stage, utilizing a potassium-to-calcium ratio of 1.6:1 in the nutrient solution at the flowering and fruit setting stage, and applying nutrient solution T13 with a potassium-to-calcium ratio of 1.9:1 during the fruit-bearing phase, optimally coordinates fruit nutrient accrual and enhances flavor quality. These findings support the use of stage-specific nutrient modulation to improve cherry tomato quality in controlled-environment agriculture. Full article
(This article belongs to the Section Soil and Plant Nutrition)
Show Figures

Figure 1

Back to TopTop