Boron Supplementation and Phytohormone Application: Effects on Development, Fruit Set, and Yield in Macadamia Cultivar ‘A4’ (Macadamia integrifolia, M. tetraphylla)
Abstract
1. Introduction
2. Results
2.1. Effects of Boron and Exogenous Hormones on Shoot and Leaf Morphology
2.2. Effect of Boron Fertilizer and Exogenous Hormones on Raceme and Pollen Viability
2.3. Physiological Responses of Flowers Under Different Treatment Conditions
2.4. Effects of Boron and Exogenous Hormones on Fruit Abscission
2.5. Effects of Boron and Exogenous Hormones on Fruit Development
2.6. Hormonal Dynamics in Response to Different Treatments During Flowering Stages
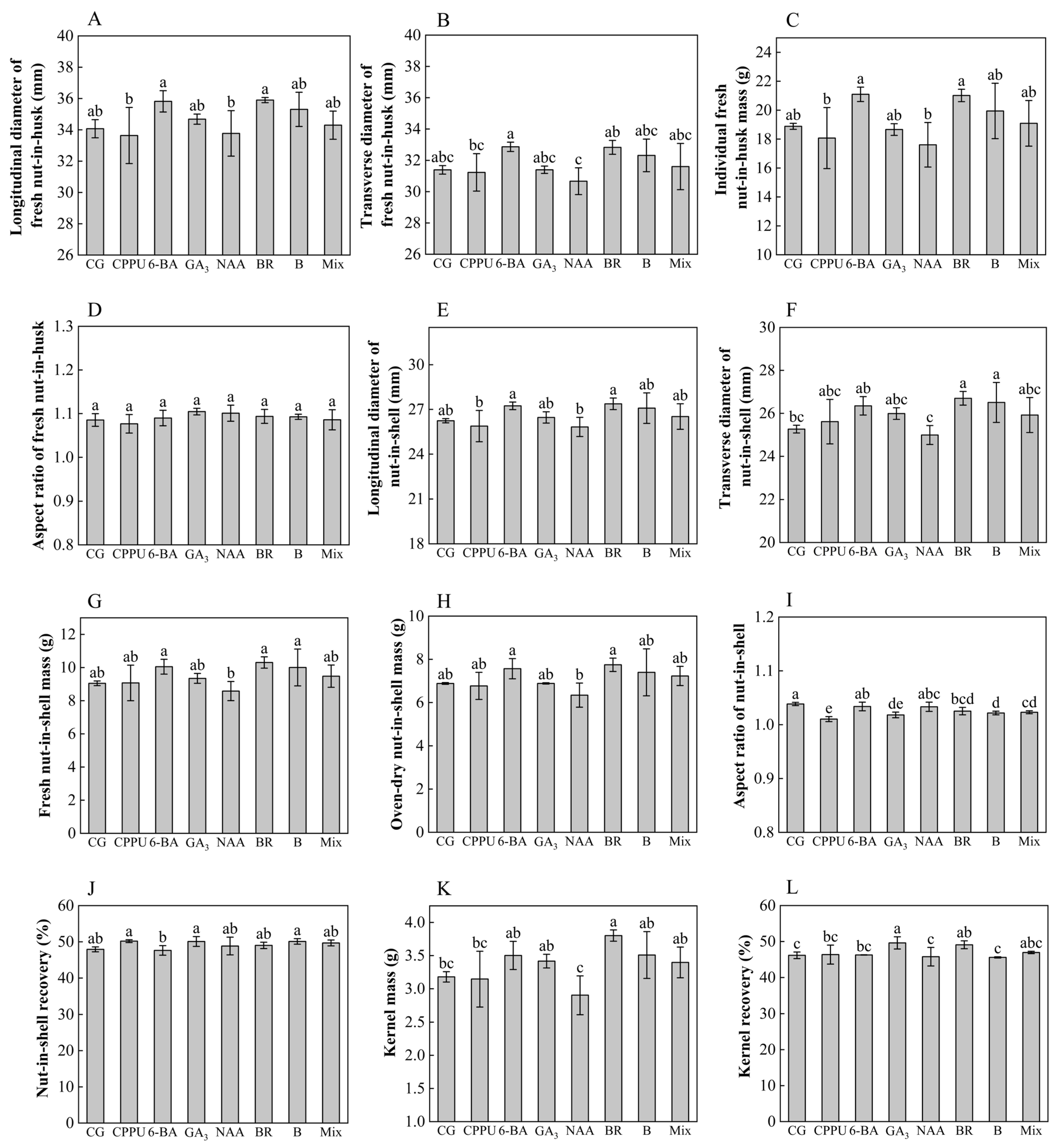
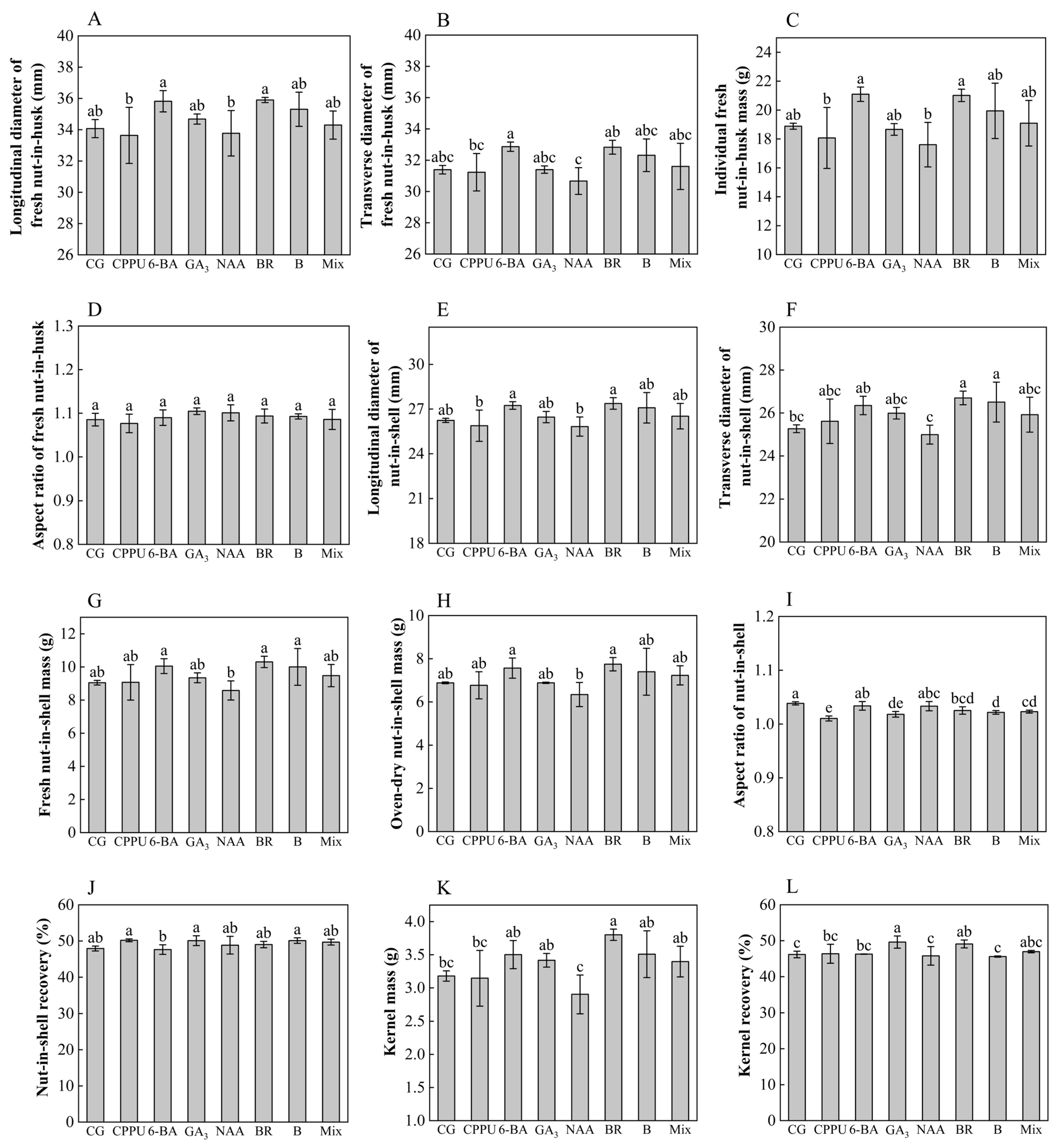
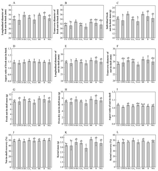
2.7. Effects of Boron and Exogenous Hormones on Fruit Morphology
2.8. Effects of Boron and Exogenous Hormones on Fruit Yield
3. Discussion
4. Materials and Methods
4.1. Experimental Materials
4.2. Spraying of Hormones and Boron Fertilizer Agents
4.3. Flower Bud and Leaf Collection and Leaf Morphology Determination
4.4. Pollen Viability Determination
4.5. Flower and Leaf Collection at Full Bloom
4.6. Fruit Investigation and Collection
4.7. New Shoot Growth Monitoring
4.8. Determination of Endogenous Hormones and Physiological Indicators
4.9. Statistical Methods
5. Conclusions
Supplementary Materials
Author Contributions
Funding
Data Availability Statement
Conflicts of Interest
Abbreviations
CG | Control group (water control) |
B | Boron fertilizer |
BR | Brassinosteroids |
CPPU | N-(2-Chloro-4-pyridyl)-N’-phenylurea |
6-BA | 6-benzylaminopurine |
GA3 | Gibberellic acid |
NAA | α-Naphthaleneacetic acid |
HPLC | High-performance liquid chromatography |
LC-MS/MS | A triple quadrupole liquid chromatography–mass spectrometer |
References
- Rahman, A.; Wang, S.; Yan, J.S.; Xu, H.R. Intact macadamia nut quality assessment using near-infrared spectroscopy and multivariate analysis. J. Food Compos. Anal. 2021, 102, 104033. [Google Scholar] [CrossRef]
- Tan, Q.J.; Chen, H.S.; Wei, Y.R.; Xu, P.; Zheng, S.F.; Huang, X.Y.; He, X.Y.; Qin, Z.S.; Wang, W.L. Nutritional analysis and evaluation of kernel of macadamia integrifolia. J. China Cereals Oils Assoc. 2021, 36, 150–154. (In Chinese) [Google Scholar]
- Tan, Q.J.; Wei, Y.R.; Huang, X.Y.; Zhang, T.; Xu, P.; Song, H.Y.; Wang, W.L.; Zheng, S.F. Analysis of fruit characteristics and nutrients of 10 accessions of Macadamia integrifolia. J. Fruit Sci. 2021, 38, 672–680. (In Chinese) [Google Scholar]
- Garg, M.L.; Blake, R.J.; Wills, R.B.H.; Clayton, E.H. Macadamia nut consumption modulates favourably risk factors for coronary artery disease in hypercholesterolemic subjects. Lipids 2007, 42, 583–587. [Google Scholar] [CrossRef] [PubMed]
- Damian, M. Groundnut and tree nuts: A comprehensive review on their lipid components, phytochemicals, and nutraceutical properties. Crit. Rev. Food Sci. Nutr. 2024, 64, 7426–7450. [Google Scholar]
- Maina, C.M.; Nyang’anga, H.T.; Mburu, J.I.; Kasina, J.M.; Guantai, M.M.; Nderitu, J.H.; Gathaara, V.N. Determinants influencing farmers’ use of macadamia nut information sources in central Kenya. J. Agric. Food Res. 2021, 5, 100184. [Google Scholar] [CrossRef]
- He, X.Y.; Tao, L.; Liu, J.; Ni, S.B. Overview of the global macadamia nut industry and development trends. South China Fruit Trees 2015, 44, 151–155. (In Chinese) [Google Scholar]
- Zhang, F.Q. Yunnan’s strategy to strengthen and expand the nut industry through technological innovation. Yunnan For. 2013, 34, 34. (In Chinese) [Google Scholar]
- Yang, L.P.; Yue, H.; He, S.L.; Tao, L.; He, X.Y. Evaluation of Soil and Leaf Nutrients in Macadamia Orchards in Yunnan, China. China J. Trop. Crops 2021, 42, 2269–2274. (In Chinese) [Google Scholar]
- Liu, S.H.; Ni, S.B.; Xiao, X.M.; Tao, L.; Chen, L.L.; Yue, H. Study on stigma receptivity and factors affecting fruit set rate in macadamia nuts. China Trop. Agric. 2007, 4, 43–45. (In Chinese) [Google Scholar]
- Zeng, H. Study on the Fruit Drop Patterns and Mechanisms of Early Physiological Fruit Drop in Macadamia Nuts. Ph.D. Thesis, South China Agricultural University, Guangzhou, China, 2016. (In Chinese). [Google Scholar]
- Kong, G.H.; Yu, W.C.; Li, L.; Tao, L.; He, X.Y. Flowering and fruiting characteristics of Macadamia spp.in Xishuangbanna, Yunnan. J. South. Agric. 2024, 55, 1089–1098. (In Chinese) [Google Scholar]
- Sakai, W.S.; Nagao, M.A. Fruit-growth and abscission in macadamia-integrifolia. Physiol. Plant 1985, 64, 455–460. [Google Scholar] [CrossRef]
- Grass, I.; Meyer, S.; Taylor, P.J.; Foord, S.H.; Hajek, P.; Tscharntke, T. Pollination limitation despite managed honeybees in South African macadamia orchards. Agric. Ecosyst. Environ. 2018, 260, 11–18. [Google Scholar] [CrossRef]
- Lavi, U.; Sahar, N.; Barucis, I.; Gaash, D.; Kadman, A. The effect of pollen donors and pollen viability on fruitlet drop in Macadamia integrifolia (Maiden & Betche). Trop. Agric. 1996, 73, 249–251. [Google Scholar]
- Trueman, S.J.; Turnbull, C.G.N. Effects of cross-pollination and flower removal on fruit-set in macadamia. Ann. Bot. 1994, 73, 23–32. [Google Scholar] [CrossRef]
- Liu, J.F.; Jiang, J.G. Effects of hormones and trace elements on the pollen viability of macadamia nuts. Guangxi Hortic. 2002, 2, 4–6. (In Chinese) [Google Scholar]
- Stephenson, R.A.; Gallagher, E.C. Effects of temperature, tree water status and relative-humidity on premature nut drop from macadamia. Sci. Hortic. 1987, 33, 113–121. [Google Scholar] [CrossRef]
- Nagao, M.A.; Sakai, W.S. Effects of growth regulators on abscission of young macadamia fruit. J. Am. Soc. Hortic. Sci. 1985, 110, 654–657. [Google Scholar] [CrossRef]
- Liu, J.F.; Li, D.G.; Jiang, J.G.; Ni, S.B.; He, X.Y. Effects of water stress on physiological and biochemical indicators of macadamia. Trop. Agric. Sci. Technol. 2001, 24, 1–4. (In Chinese) [Google Scholar]
- Perdoná, M.J.; Soratto, R.P. Higher yield and economic benefits are achieved in the macadamia crop by irrigation and intercropping with coffee. Sci. Hortic. 2015, 185, 59–67. [Google Scholar] [CrossRef]
- Kumar, G.; Gupta, K.; Pathania, S.; Swarnkar, M.K.; Rattan, U.K.; Singh, G.; Sharma, R.K.; Singh, A.K. Chilling affects phytohormone and post-embryonic development pathways during bud break and fruit set in apple (Malus domestica Borkh.). Sci. Rep. 2017, 7, 42593. [Google Scholar] [CrossRef]
- Dong, Q.Q.; Gong, G.Z.; Peng, Z.C.; Li, Y.B.; Hou, Y.H.; Hong, Q.B. Relationship between preharvest fruit drop and endogenous hormone contents in different fruit parts of citrus. Plant Physiol. J. 2018, 54, 1569–1575. (In Chinese) [Google Scholar]
- Fan, D.Y.; Yang, L.; Jin, J.; Hao, Q.; Abudoukayoumu, A.; Zhao, J.T.; Liao, K. Hormonal and transcriptomic analysis reveal gibberellin-induced fruit set in jujube (Ziziphus jujuba Mill.). Plant Mol. Biol. Rep. 2022, 40, 163–175. [Google Scholar] [CrossRef]
- Perdoná, M.J.; Martins, A.N.; Suguino, E.; Soratto, R.P. Nutrition and yield of macadamia nut as affected by nitrogen doses. Pesqui. Agropecu. Bras. 2013, 48, 395–402. (In Portuguese) [Google Scholar] [CrossRef]
- Hue, N.V. Iron and phosphorus fertilizations and the development of proteoid roots in macadamia (Macadamia integrifolia). Plant Soil 2009, 318, 93–100. [Google Scholar] [CrossRef]
- Kaur, P.; Cowan, M.; De Faveri, J.; Alam, M.; Topp, B. Evaluating self—Pollination methods: Their impact on nut set and nutlet abscission in macadamia. Plants 2024, 13, 3456. [Google Scholar] [CrossRef]
- Williams, R.R. Control of premature fruit drop in macadamia integrifolia—Effects of naphthalene acetic-acid application, cincturing, and shoot-tip removal. Aust. J. Exp. Agric. 1980, 20, 740–742. [Google Scholar] [CrossRef]
- Nagao, M.A.; Ho-a, E.B.; Yoshimoto, J.R. Uniconazole retards growth and increases flowering of young macadamia trees. Hortscience 1999, 34, 104–105. [Google Scholar] [CrossRef]
- Mok, D.W.S.; Mok, M.C. Cytokinin metabolism and action. Annu. Rev. Plant Physiol. Plant Mol. Biol. 2001, 52, 89–118. [Google Scholar] [CrossRef] [PubMed]
- Gan, S.S.; Amasino, R.M. Inhibition of leaf senescence by autoregulated production of cytokinin. Science 1995, 270, 1986–1988. [Google Scholar] [CrossRef]
- Riefler, M.; Novak, O.; Strnad, M.; Schmulling, T. Arabidopsis cytokinin receptor mutants reveal functions in shoot growth, leaf senescence, seed size, germination, root development, and cytokinin metabolism. Plant Cell 2006, 18, 40–54. [Google Scholar] [CrossRef]
- Walters, D.R.; McRoberts, N. Plants and biotrophs: A pivotal role for cytokinins? Trends Plant Sci. 2006, 11, 581–586. [Google Scholar] [CrossRef]
- Emery, R.J.N.; Longnecker, N.E.; Atkins, C.A. Branch development in Lupinus angustifolius L.—II. Relationship with endogenous ABA, IAA and cytokinins in axillary and main stem buds. J. Exp. Bot. 1998, 49, 555–562. [Google Scholar]
- Strik, W.A.; Van Staden, J. The role of cytokinins in root development of pea seedlings. Plant Growth Regul. 2001, 34, 173–180. [Google Scholar] [CrossRef]
- Saini, S.; Sharma, I.; Kaur, N.; Pati, P.K. Auxin: A master regulator in plant root development. Plant Cell Rep. 2013, 32, 741–757. [Google Scholar] [CrossRef]
- Ha, S.; Vankova, R.; Yamaguchi-Shinozaki, K.; Shinozaki, K.; Tran, L.S.P. Cytokinins: Metabolism and function in plant adaptation to environmental stresses. Trends Plant Sci. 2012, 17, 172–179. [Google Scholar] [CrossRef]
- Nishiyama, R.; Watanabe, Y.; Fujita, Y.; Le, D.T.; Kojima, M.; Werner, T.; Vankova, R.; Yamaguchi-Shinozaki, K.; Shinozaki, K.; Kakimoto, T.; et al. Analysis of cytokinin mutants and regulation of cytokinin metabolic genes reveals important regulatory roles of cytokinins in drought, salt and abscisic acid responses, and abscisic acid biosynthesis. Plant Cell 2011, 23, 2169–2183. [Google Scholar] [CrossRef]
- Zeng, H.; Yang, W.H.; Lu, C.Z.; Lin, W.Q.; Zou, M.H.; Zhang, H.Z.; Wan, J.F.; Huang, X.M. Effect of CPPU on carbohydrate and endogenous hormone levels in young macadamia fruit. PLoS ONE 2016, 11, e0158705. [Google Scholar] [CrossRef]
- Zhang, G.H.; Zhang, Y.J.; Cong, R.C.; Zhao, Q.; Dong, K.Q.; Gu, R.Z. Research progress on the mechanism of gibberellin action. Northwest. J. Bot. 2009, 29, 413–419. (In Chinese) [Google Scholar]
- Zeng, H.; Chen, H.B.; Du, L.Q.; Zou, M.H.; Lu, C.Z.; Luo, L.F.; Zhang, H.Z. Effects of gibberellin spraying on delaying and reducing flowering in macadamia nuts. China Fruit Ind. Inf. 2008, 25, 203–208. (In Chinese) [Google Scholar]
- Liu, S.H.; Ni, S.B.; Xiao, X.M. Effect of GA and NAA on the yield and quality of Macadamia. Guangdong Agric. Sci. 2007, 12, 38–39. (In Chinese) [Google Scholar]
- Small, C.C.; Degenhardt, D. Plant growth regulators for enhancing revegetation success in reclamation: A review. Ecol. Eng. 2018, 118, 43–51. [Google Scholar] [CrossRef]
- Bargmann, B.O.R.; Vanneste, S.; Krouk, G.; Nawy, T.; Efroni, I.; Shani, E.; Choe, G.; Friml, J.; Bergmann, D.C.; Estelle, M.; et al. A map of cell type-specific auxin responses. Mol. Syst. Biol. 2013, 9, 688. [Google Scholar] [CrossRef]
- Iino, M. Gravitropism and phototropism of maize coleoptiles—Evaluation of the cholodny-went theory through effects of auxin application and decapitation. Plant Cell Physiol. 1995, 36, 361–367. [Google Scholar] [CrossRef]
- Lv, X.; Ye, R.H.; Tian, H.L.; Ji, N.; Liu, S.J.; Zhang, M.S. Cytokinin (Zeaxanthin) mediated by growth hormone regulates the lateral bud germination of Rhododendron. J. Agric. Biotechnol. 2018, 26, 1872–1879. (In Chinese) [Google Scholar]
- Yang, H.Y.; Jin, Y.; Ting, Y.J.; Ma, H.C.; Tang, J.R. Response of root morphology of large leaved butterfly tissue culture seedlings to different auxins. West. For. Sci. 2019, 48, 99–104. (In Chinese) [Google Scholar]
- Feng, J.; Dai, C.; Luo, H.F.; Han, Y.F.; Liu, Z.C.; Kang, C.Y. Reporter gene expression reveals precise auxin synthesis sites during fruit and root development in wild strawberry. J. Exp. Bot. 2019, 70, 563–574. [Google Scholar] [CrossRef] [PubMed]
- Mao, L.J.; Lin, W.F. Application of plant auxins in agriculture. Hebei Agric. Sci. 2008, 12, 80–81, 84. (In Chinese) [Google Scholar]
- Kumar, A.; Raian, R.; Pandey, K.; Ramprasad, R.r.; Kaur, G.; Vamshi, T.; Singh, T. Impact of new generation plant growth regulators on fruit crops—A review. Hortic. Sci. 2024, 51, 1–22. [Google Scholar] [CrossRef]
- He, Y.T.; He, K.R.; Mai, J.W.; Ou, M.Y.; Chen, L.B.; Li, Y.Y.; Wan, T.; Gu, L.P.; Shabala, S.; Li, X.W.; et al. Boron controls apical dominance in Pea (Pisum sativum) via promoting polar auxin transport. Physiol. Plant 2025, 177, e70056. [Google Scholar] [CrossRef]
- Oertli, J.J.; Richardson, W.F. Mechanism Of Boron Immobility In Plants. Physiol. Plant 1970, 23, 108–116. [Google Scholar] [CrossRef]
- Nezami, M.T. The effects of foliar applications of nitrogen, boron, and zinc on the fruit setting and the quality of almonds. Life Sci. J. 2012, 9, 1979–1989. [Google Scholar]
- Kang, Z.M.; Guo, G.Z.; He, F.P.; Zeng, H.; Tu, X.H.; Wang, W.L. An analysis of the main nutrient components of the fruits of different macadamia (Macadamia integrifolia) cultivars in rocky desertification areas and a comprehensive evaluation of the mineral element contents. Horticulturae 2024, 10, 468. [Google Scholar] [CrossRef]
- Stephenson, R.A.; Gallagher, E.C. Effects of foliar boron sprays on yield and quality of macadamia nuts. Sci. Hortic. 1987, 32, 97–103. [Google Scholar] [CrossRef]
- Guo, Z.R.; Wu, Y.J.; Si, C.; Sun, X.M.; Wang, L.H.; Yang, S.P. Impact of diverse exogenous hormones on parthenocarpy, yield, and quality of pepino (Solanum muricatum) in the Qinghai-Tibet plateau’s natural conditions. Physiol. Mol. Biol. Plants 2024, 30, 1853–1869. [Google Scholar] [CrossRef]
- Thakur, S.; Sinha, A.; Bag, A.G. Boron—A critical element for fruit nutrition. Commun. Soil Sci. Plant Anal. 2023, 54, 2899–2914. [Google Scholar] [CrossRef]
- Sopha, G.A.; Murtiningsih, R. Using liquid organic boron foliar sprays for increasing tomato growth and yield in a hydroponic system. In Proceedings of the 3rd Asian Horticultural Congress (AHC), Bangkok, Thailand, 15–17 December 2020. [Google Scholar]
- Vishekaii, Z.R.; Soleimani, A.; Fallahi, E.; Ghasemnezhad, M.; Hasani, A. The impact of foliar application of boron nano-chelated fertilizer and boric acid on fruit yield, oil content, and quality attributes in olive (Olea europaea L.). Sci. Hortic. 2019, 257, 108689. [Google Scholar] [CrossRef]
- Mumtaz, M.A.; Li, F.M.; Zhang, X.Y.; Tao, J.B.; Ge, P.F.; Wang, Y.; Wang, Y.R.; Gai, W.X.; Dong, H.Q.; Zhang, Y.Y. Altered brassinolide sensitivity1 Regulates Fruit Size in Association with Phytohormones Modulation in Tomato. Horticulturae 2022, 8, 1008. [Google Scholar] [CrossRef]
- Sugiyama, N.; Yamaki, Y.T. Effects of CPPU on fruit-set and fruit-growth in japanese persimmon. Sci. Hortic. 1995, 60, 337–343. [Google Scholar] [CrossRef]
- Liu, X.S.; Luo, Y.C.; Wang, H.C.; Huang, X.M. Post-bloom cppu application is effective at improving fruit set and suppressing coloration but ineffective at increasing fruit size in litchi. Horticulturae 2022, 8, 1096. [Google Scholar] [CrossRef]
- Kondo, S.; Mizuno, N. Relation between early drop of apple fruit and endogenous growth-regulators, and effects of MCPB, GA3 plus GA4 and BA sprays on fruit abscission. J. Jpn. Soc. Hortic. Sci. 1989, 58, 9–16. [Google Scholar] [CrossRef]
- Meng, C.F.; Cao, Z.H.; Jiang, P.K.; Zhou, G.M.; Lin, X.G.; Xu, Q.F. Effects of application of boron on growth, yields, and quality of red bayberry. J. Plant Nutr. 2007, 30, 1047–1058. [Google Scholar] [CrossRef]
- Korkmaz, N.; Askin, M.A. Effects of calcium and boron foliar application on pomegranate (Punica granatum L.) fruit quality, yield, and seasonal changes of leaf mineral nutrition. In Proceedings of the 3rd International Symposium on Pomegranate and Minor Mediterranean Fruits, Taian, China, 20–24 September 2013. [Google Scholar]
- Reyes, D.I.B.; Chacón, A.R.; Campos, A.R.M.; Prieto, V.M.G. Apple fruit chemical thinning in Chihuahua, Mexico. Rev. Fitotec. Mex. 2008, 31, 243–250. [Google Scholar] [CrossRef]
- Kupke, B.M.; Tucker, M.R.; Able, J.A.; Porker, K.D. Manipulation of barley development and flowering time by exogenous application of plant growth regulators. Front. Plant Sci. 2022, 12, 694424. [Google Scholar] [CrossRef]
- Chatterjee, M.; Tabi, Z.; Galli, M.; Malcomber, S.; Buck, A.; Muszynski, M.; Gallavotti, A. The boron efflux transporter ROTTEN EAR is required for maize inflorescence development and fertility. Plant Cell 2014, 26, 2962–2977. [Google Scholar] [CrossRef]
- Chu, Q.G.; Zhou, Q.H. Effects of sucros and boron on the pollen germination of cerasus. J. Laiyang Agric. Coll. 1995, 12, 163–165. (In Chinese) [Google Scholar]
- LI, G.R.; Yang, P.M. The effects of boric acid and sucrose on the vitality of lily pollen. Anhui Agric. Sci. 2010, 38, 9494–9495. (In Chinese) [Google Scholar]
- Zhang, Q.; Chen, H.F.; He, M.L.; Zhao, Z.Q.; Cai, H.M.; Ding, G.D.; Shi, L.; Xu, F.S. The boron transporter BnaC4.BOR1;1c is critical for inflorescence development and fertility under boron limitation in Brassica napus. Plant Cell Environ. 2017, 40, 1819–1833. [Google Scholar] [CrossRef]
- Sheng, J.Y.; Li, X.; Zhang, D. Gibberellins, brassinolide, and ethylene signaling were involved in flower differentiation and development in Nelumbo nucifera. Hortic. Plant J. 2022, 8, 243–250. [Google Scholar] [CrossRef]
- Stephen, J.T.; Mark, G.P.; Katia Sampaio, M.-B.; Joel, N.; Anushika, L.D.S.; Adalgisa Thayne Munhoz, R.; Leonardo Massaharu, M.; Steven, M.O.; David, H.; Trent, P.; et al. High Outcrossing Levels among Global Macadamia Cultivars: Implications for Nut Quality, Orchard Designs and Pollinator Management. Horticulturae 2024, 10, 203. [Google Scholar] [CrossRef]
- Nadar, H.M.; Heinz, D.J. Root and shoot development from sugarcane callus-tissue. Crop Sci. 1977, 17, 814–816. [Google Scholar] [CrossRef]
- Li, X.W.; Liu, P.; Zhou, J.Y.; Su, M.S.; Ma, Y.P.; Jia, H.J.; Du, J.H.; Gao, Z.S.; Ye, Z.W. Effects of exogenous application of GA4+7 and NAA on sugar accumulation and related gene expression in peach fruits during developing and ripening stages. J. Plant Growth Regul. 2021, 40, 962–973. [Google Scholar] [CrossRef]
- Hegazi, E.S.; El-Motaium, R.A.; Yehia, T.A.; Hashim, M.E. Effect of foliar boron application on boron, chlorophyll, phenol, sugars and hormones concentration of olive (Olea europaea L.) buds, leaves, and fruits. J. Plant Nutr. 2018, 41, 749–765. [Google Scholar] [CrossRef]
- Zhang, Q.A.; Ackah, M.; Wang, M.Z.; Amoako, F.K.; Shi, Y.S.; Wang, L.; Dari, L.; Li, J.B.; Jin, X.; Jiang, Z.J.; et al. The impact of boron nutrient supply in mulberry (Morus alba) response to metabolomics, enzyme activities, and physiological parameters. Plant Physiol. Biochem. 2023, 200, 107649. [Google Scholar] [CrossRef]
- Li, K.R.; Feng, C.H. Effects of brassinolide on drought resistance of Xanthoceras sorbifolia seedlings under water stress. Acta Physiol. Plant 2011, 33, 1293–1300. [Google Scholar] [CrossRef]
- Han, G.; Han, Y.Y.; Lie, K.R.; Zhang, X.X. Effects of brassinolide on physiological parameters of robinia pseudoacacia seedlings in crude oil contaminated soil. Fresenius Environ. Bull. 2017, 26, 4851–4858. [Google Scholar]
- Matsuo, S.; Kikuchi, K.; Fukuda, M.; Honda, I.; Imanishi, S. Roles and regulation of cytokinins in tomato fruit development. J. Exp. Bot. 2012, 63, 5569–5579. [Google Scholar] [CrossRef] [PubMed]
- Elotmani, M.; Mbarek, A.A.; Coggins, C.W. GA3 and 2,4-D prolong on-tree storage of citrus in morocco. Sci. Hortic. 1990, 44, 241–249. [Google Scholar] [CrossRef]
- Sundberg, E.; Ostergaard, L. Distinct and dynamic auxin activities during reproductive development. Cold Spring Harb. Perspect. Biol. 2009, 1, a001628. [Google Scholar] [CrossRef] [PubMed]
- Raacke, I.C.; Mueller, M.J.; Berger, S. Defects in allene oxide synthase and 12-oxa-phytodienoic acid reductase alter the resistance to Pseudomonas syringae and Botrytis cinerea. J. Phytopathol. 2006, 154, 740–744. [Google Scholar] [CrossRef]
- Halim, V.A.; Vess, A.; Scheel, D.; Rosahl, S. The role of salicylic acid and jasmonic acid in pathogen defence. Plant Biol. 2006, 8, 307–313. [Google Scholar] [CrossRef]
- Li, J.H.; Yu, G.L.; Wang, X.Y.; Guo, C.C.; Wang, Y.D.; Wang, X. Jasmonic acid plays an important role in mediating retrograde signaling under mitochondrial translational stress to balance plant growth and defense. Plant Commun. 2025, 6, 101133. [Google Scholar] [CrossRef] [PubMed]
- Trueman, S.J. Benzyladenine delays immature fruit abscission but does not affect final fruit set or kernel size of Macadamia. Afr. J. Agric. Res. 2010, 5, 1523–1530. [Google Scholar]
- Zou, L.Y.; Wang, J.Q.; Le, Z. Optimization of conditions for determining soluble sugar content in Acorus calamus leaves by anthrone method. Nat. Sci. Hainan Univ. 2025, 12, 1–10. (In Chinese) [Google Scholar]
- Gu, C.J.; Yang, H.Q.; Jiang, W.L.; Shu, X.L.; Zhang, G.C.; Wu, X.J.; Chen, X.Q. Analysis of total protein and soluble protein content of rice varieties with different colors. Mol. Plant Breed. 2017, 15, 1035–1042. (In Chinese) [Google Scholar]
Treatment | Leaf Length (cm) | Leaf Width (cm) | Length-to-Width Ratio | Number of Nodes (pcs) | Shoot Length (cm) | First Internode Length (cm) |
---|---|---|---|---|---|---|
CG | 7.23 ± 1.98 c | 1.89 ± 0.53 c | 3.83 ± 0.22 abc | 2.33 ± 0.33 a | 6.76 ± 0.53 ab | 2.82 ± 0.30 a |
CPPU | 7.92 ± 1.23 abc | 1.99 ± 0.48 bc | 4.05 ± 0.49 a | 2.00 ± 0.00 a | 6.69 ± 0.97 ab | 2.79 ± 0.39 a |
6-BA | 9.50 ± 0.48 ab | 2.68 ± 0.13 a | 3.54 ± 0.22 abc | 2.00 ± 0.00 a | 6.09 ± 0.80 bc | 2.48 ± 0.28 a |
GA3 | 10.11 ± 1.03 a | 2.53 ± 0.22 ab | 4.01 ± 0.41 ab | 2.00 ± 0.00 a | 6.81 ± 0.70 ab | 2.78 ± 0.21 a |
NAA | 8.46 ± 0.83 abc | 2.13 ± 0.21 abc | 3.98 ± 0.12 abc | 2.89 ± 0.69 a | 7.39 ± 0.68 a | 2.71 ± 0.56 a |
BR | 8.42 ± 0.15 abc | 2.52 ± 0.12 ab | 3.35 ± 0.21 c | 2.00 ± 0.00 a | 5.29 ± 0.39 c | 1.98 ± 0.28 a |
B | 9.50 ± 1.63 ab | 2.45 ± 0.23 abc | 3.86 ± 0.32 abc | 2.33 ± 0.33 a | 5.32 ± 0.76 c | 2.08 ± 0.61 a |
Mix | 7.72 ± 0.74 bc | 2.29 ± 0.28 abc | 3.39 ± 0.45 bc | 2.44 ± 1.07 a | 6.51 ± 0.22 abc | 2.30 ± 1.01 a |
Stage | Hormone | CG | CPPU | 6-BA | GA3 | NAA | BR | B | Mix |
---|---|---|---|---|---|---|---|---|---|
The initial flowering stage | ZEA | 0.026 ± 0.003 bc | 0.01 ± 0.003 d | 0.038 ± 0.003 a | 0.04 ± 0.003 a | 0.024 ± 0.003 c | 0.03 ± 0.004 b | 0.023 ± 0.003 c | 0.003 ± 0.000 e |
GA1 | 2.59 ± 0.24 a | 0.91 ± 0.05 c | 0.57 ± 0.03 d | 1.34 ± 0.14 b | 1.43 ± 0.17 b | 0.58 ± 0.04 d | 0.79 ± 0.09 c | 0.91 ± 0.01 c | |
GA3 | 0.008 ± 0.002 c | 0.007 ± 0.002 c | 0.003 ± 0.000 c | 0.338 ± 0.011 b | 0.007 ± 0.001 c | 0.005 ± 0.002 c | 0.005 ± 0.002 c | 0.478 ± 0.045 a | |
IAA | 6.87 ± 0.12 c | 6.03 ± 1.01 c | 19.33 ± 1.26 a | 5.55 ± 0.71 c | 5.06 ± 1.44 c | 5.41 ± 0.61 c | 9.47 ± 1.13 b | 5.19 ± 0.46 c | |
ICA | 0.63 ± 0.10 cd | 0.45 ± 0.04 de | 0.61 ± 0.15 d | 0.32 ± 0.00 e | 0.61 ± 0.02 d | 0.82 ± 0.14 c | 1.18 ± 0.11 b | 1.54 ± 0.18 a | |
ABA | 16.87 ± 2.21 e | 46.35 ± 5.55 b | 31.48 ± 0.28 c | 21.13 ± 4.01 e | 57.07 ± 1.81 a | 31.96 ± 0.33 c | 26.57 ± 0.13 d | 47.97 ± 0.62 b | |
JA | 159.4 ± 20.44 bcd | 144.89 ± 3.47 cd | 246.14 ± 39.63 a | 113.58 ± 23.90 d | 184.08 ± 12.94 bc | 126.94 ± 30.35 d | 201.89 ± 36.08 ab | 182.47 ± 19.68 bc | |
SA | 10.79 ± 0.13 cd | 15.49 ± 2.2 ab | 10.85 ± 0.18 cd | 13.07 ± 2.66 bc | 8.89 ± 0.52 de | 11.76 ± 0.43 cd | 7.85 ± 1.66 e | 17.84 ± 2.01 a | |
The peak flowering stage | ZEA | 0.047 ± 0.002 c | 0.028 ± 0.003 d | 0.062 ± 0.002 a | 0.049 ± 0.003 bc | 0.028 ± 0.006 d | 0.054 ± 0.003 b | 0.044 ± 0.002 c | 0.009 ± 0.002 e |
GA1 | 0.09 ± 0.01 b | 0.09 ± 0.00 b | 0.04 ± 0.00 d | 0.3 ± 0.00 a | 0.04 ± 0.01 d | 0.03 ± 0.01 e | 0.04 ± 0.01 de | 0.06 ± 0.01 c | |
GA3 | 0.009 ± 0.004 c | 0.004 ± 0.001 c | 0.009 ± 0.003 c | 7.883 ± 0.792 a | 0.037 ± 0.012 c | 0.019 ± 0.006 c | 0.051 ± 0.002 c | 7.102 ± 0.696 b | |
IAA | 2.83 ± 0.87 c | 2.09 ± 0.57 c | 5.76 ± 0.93 a | 4.32 ± 1.08 b | 1.92 ± 0.22 c | 5.98 ± 1.00 a | 1.45 ± 0.17 c | 6.93 ± 0.54 a | |
ICA | 0.54 ± 0.00 bc | 0.51 ± 0.07 bc | 0.54 ± 0.07 bc | 0.45 ± 0.01 c | 0.4 ± 0.07 c | 0.63 ± 0.10 b | 0.44 ± 0.10 c | 0.91 ± 0.10 a | |
ABA | 41.51 ± 1.17 bc | 43.6 ± 0.76 b | 45.67 ± 7.03 b | 34.19 ± 2.32 c | 48.62 ± 4.9 ab | 55.18 ± 4.07 a | 35.51 ± 4.78 c | 46.76 ± 5.09 b | |
JA | 67.43 ± 2.22 cde | 105.22 ± 15.99 a | 63.88 ± 2.94 cde | 71.66 ± 0.83 bcd | 54.54 ± 5.11 e | 76.75 ± 8.31 bc | 60.23 ± 7.35 de | 84.59 ± 1.26 b |
Disclaimer/Publisher’s Note: The statements, opinions and data contained in all publications are solely those of the individual author(s) and contributor(s) and not of MDPI and/or the editor(s). MDPI and/or the editor(s) disclaim responsibility for any injury to people or property resulting from any ideas, methods, instructions or products referred to in the content. |
© 2025 by the authors. Licensee MDPI, Basel, Switzerland. This article is an open access article distributed under the terms and conditions of the Creative Commons Attribution (CC BY) license (https://creativecommons.org/licenses/by/4.0/).
Share and Cite
Zhou, Z.-J.; Zhao, Z.-X.; Zhou, J.-J.; Yang, F.; Zhang, J.-Z. Boron Supplementation and Phytohormone Application: Effects on Development, Fruit Set, and Yield in Macadamia Cultivar ‘A4’ (Macadamia integrifolia, M. tetraphylla). Plants 2025, 14, 2461. https://doi.org/10.3390/plants14162461
Zhou Z-J, Zhao Z-X, Zhou J-J, Yang F, Zhang J-Z. Boron Supplementation and Phytohormone Application: Effects on Development, Fruit Set, and Yield in Macadamia Cultivar ‘A4’ (Macadamia integrifolia, M. tetraphylla). Plants. 2025; 14(16):2461. https://doi.org/10.3390/plants14162461
Chicago/Turabian StyleZhou, Zhang-Jie, Zi-Xuan Zhao, Jing-Jing Zhou, Fan Yang, and Jin-Zhi Zhang. 2025. "Boron Supplementation and Phytohormone Application: Effects on Development, Fruit Set, and Yield in Macadamia Cultivar ‘A4’ (Macadamia integrifolia, M. tetraphylla)" Plants 14, no. 16: 2461. https://doi.org/10.3390/plants14162461
APA StyleZhou, Z.-J., Zhao, Z.-X., Zhou, J.-J., Yang, F., & Zhang, J.-Z. (2025). Boron Supplementation and Phytohormone Application: Effects on Development, Fruit Set, and Yield in Macadamia Cultivar ‘A4’ (Macadamia integrifolia, M. tetraphylla). Plants, 14(16), 2461. https://doi.org/10.3390/plants14162461