Preharvest Prohexadione-Ca Treatment Improves Fruit Set and Mechanical Properties in Cv. ‘Tip Top’ Sweet Cherries
Abstract
1. Introduction
2. Materials and Methods
2.1. Plant Material and Experimental Design
2.2. Agronomic Measurement
2.2.1. Plant Vigor
2.2.2. Plant Yield
2.3. Fruit Quality Characteristics
2.3.1. Fruit Size
2.3.2. Skin Color
2.3.3. Mechanical Properties
2.3.4. Total Soluble Solids (TSS)
2.3.5. Titratable Acidity (TA) and pH
2.3.6. Nutraceutical Composition
2.4. Statistical Analysis
3. Results
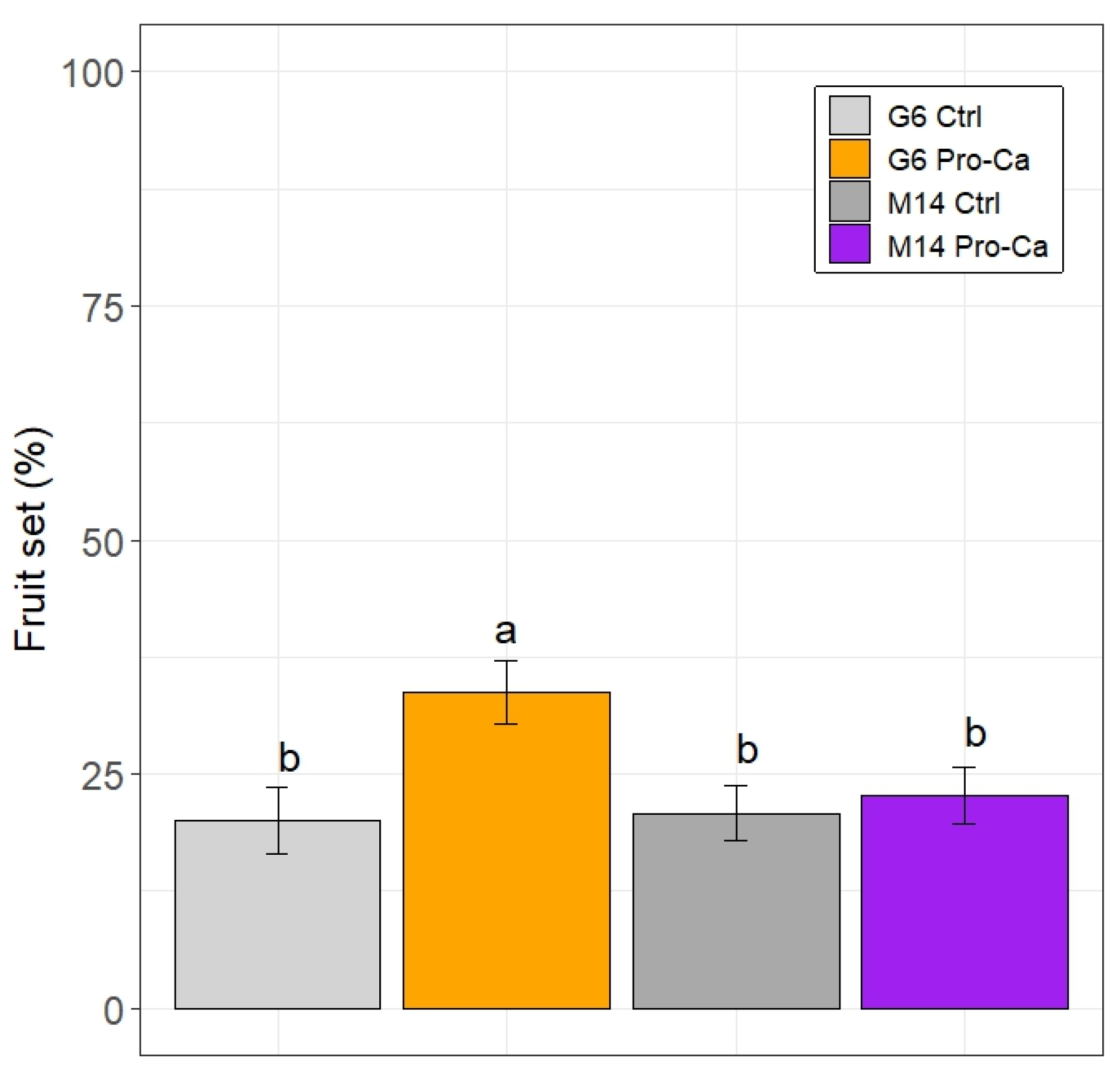
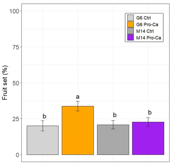
3.1. Pro-Ca Increases Yield and Inhibits Shoot Growth in Sweet Cherry Trees
3.2. Pro-Ca Improves Mechanical Properties, Pigmentation, and Nutraceutical Compounds
4. Discussion
5. Conclusions
Author Contributions
Funding
Data Availability Statement
Acknowledgments
Conflicts of Interest
Abbreviations
| Pro-Ca | Prohexadione Calcium |
| Ctrl | Control |
| G6 | Gisela 6 |
| M14 | Maxma 14 |
| PT | Puncture Test |
| CT | Compression Test |
| TSS | Total Soluble Solids |
| TA | Titratable Acidity |
| TPC | Total Phenol Content |
| AOx | Antioxidant capacity |
| GA | Gibberellins |
| IAA | Auxin |
| ABA | Abscisic Acid |
References
- FAOSTAT. Available online: https://www.fao.org/faostat/en/#data/QCL (accessed on 28 January 2025).
- Costa, G.; Botton, A. Thinning in Peach: Past, Present and Future of an Indispensable Practice. Sci. Hortic. 2022, 296, 110895. [Google Scholar] [CrossRef]
- Di Biase, R.; Calabritto, M.; Sofo, A.; Reyes, F.; Mininni, A.N.; Mastroleo, M.; Xylogiannis, E.; Dichio, B. Assessment of Kiwifruit Physiological Decline: Irrigation and Soil Management Strategy to Recover from Waterlogging. Acta Hortic. 2023, 1373, 11–18. [Google Scholar] [CrossRef]
- Jaureguiberry, F.; Tappata, M. The Role of Public–Private Coordination: The Case of Sweet Cherries in Argentina 2000–2020. J. Agribus. Dev. Emerg. Econ. 2022, 12, 689–713. [Google Scholar] [CrossRef]
- Bastiancich, L.; Lasagna, M.; Mancini, S.; Falco, M.; De Luca, D.A. Temperature and Discharge Variations in Natural Mineral Water Springs Due to Climate Variability: A Case Study in the Piedmont Alps (NW Italy). Environ. Geochem. Health 2022, 44, 1971–1994. [Google Scholar] [CrossRef] [PubMed]
- Boschetti, T.; Segadelli, S.; Gori, F.; Antolini, G.; Bellini, L.; Raso, A.; Selmo, E.; Barbieri, M.; Iacumin, P.; Guidetti, E.; et al. A Preliminary Study on the Effects of Rainfall-Related Conditions on Chromium Increase in Ultramafic-Hosted Springs: A Possible Climate Change Concern? Sci. Total Environ. 2025, 958, 177826. [Google Scholar] [CrossRef] [PubMed]
- Salvadores, Y.; Bastías, R.M. Environmental Factors and Physiological Responses of Sweet Cherry Production under Protective Cover Systems: A Review. Chil. J. Agric. Res. 2023, 83, 484–498. [Google Scholar] [CrossRef]
- Pino, S.; Palma, M.; Sepúlveda, Á.; Sánchez-Contreras, J.; Moya, M.; Yuri, J.A. Effect of Rain Cover on Tree Physiology and Fruit Condition and Quality of ‘Rainier’, ‘Bing’ and ‘Sweetheart’ Sweet Cherry Trees. Horticulturae 2023, 9, 109. [Google Scholar] [CrossRef]
- Musacchi, S.; Gagliardi, F.; Serra, S. New Training Systems for High-Density Planting of Sweet Cherry. HortScience 2015, 50, 59–67. [Google Scholar] [CrossRef]
- Stone, C.H.; Close, D.C.; Bound, S.A.; Hunt, I. Training Systems for Sweet Cherry: Light Relations, Fruit Yield and Quality. Agronomy 2022, 12, 643. [Google Scholar] [CrossRef]
- Toftness, T.M. Cherry Tree Named ‘Tip Top’ 2010. USPP21006P3, 23 June 2009. [Google Scholar]
- Balducci, F.; Capriotti, L.; Mazzoni, L.; Medori, I.; Albanesi, A.; Giovanni, B.; Giampieri, F.; Mezzetti, B.; Capocasa, F. The Rootstock Effects on Vigor, Production and Fruit Quality in Sweet Cherry (Prunus avium L.). J. Berry Res. 2019, 9, 249–265. [Google Scholar] [CrossRef]
- Whiting, M.D.; Lang, G.; Ophardt, D. Rootstock and Training System Affect Sweet Cherry Growth, Yield, and Fruit Quality. HortScience 2005, 40, 582–586. [Google Scholar] [CrossRef]
- Iglesias, I.; Botet, R.; Reig, G. Combining New Rootstocks and Training Systems for Sustainable Production in Deciduous Tree Crops. Acta Hortic. 2024, 1395, 187–196. [Google Scholar] [CrossRef]
- Gul, M.; Sinha, B.K.; Chand, G.; Khokher, A.; Jeelani, M.I. Mitigating Irregular Bearing in Apple Using Paclobutrazol: A Field Study on the ‘Red Delicious’ Cultivar in Different Agroecosystems. Appl. Fruit Sci. 2025, 67, 345. [Google Scholar] [CrossRef]
- Petri, J.L.; Esperança, C.; Petri, J.L.; Esperança, C. Increasing Fruit Set and Yield of Apple Trees Using Plant Growth Regulators. In Fruit Crops Science—Ecophysiological and Horticultural Perspectives; IntechOpen: London, UK, 2025; ISBN 978-1-83634-418-6. [Google Scholar]
- Rademacher, W. Plant Growth Regulators: Backgrounds and Uses in Plant Production. J. Plant Growth Regul. 2015, 34, 845–872. [Google Scholar] [CrossRef]
- Ordoñez Trejo, E.J.; Brizzolara, S.; Cardillo, V.; Ruperti, B.; Bonghi, C.; Tonutti, P. The Impact of PGRs Applied in the Field on the Postharvest Behavior of Fruit Crops. Sci. Hortic. 2023, 318, 112103. [Google Scholar] [CrossRef]
- Bhattacharjee, P.; Nimbolkar, P.K.; Chander, S.; Das, S. Advances in Application of Unexploited Plant Bio-Regulators for Fruit Production: A Review. Agric. Rev. 2021, 43, 46–53. [Google Scholar] [CrossRef]
- Rademacher, W. G ROWTH R ETARDANTS: Effects on Gibberellin Biosynthesis and Other Metabolic Pathways. Annu. Rev. Plant Physiol. Plant Mol. Biol. 2000, 51, 501–531. [Google Scholar] [CrossRef]
- Diwan, G.; Sahu, K.; Tiwari, S.; Haldar, A.; Rangare, N.R.; Banjare, K.; Kumar, S.; Kumar Ahirwar, M.; Samaiya, R.; Lal, N.; et al. Effect of New Plant Growth Regulator Prohexadione-Ca on Horticultural Crops. Agric. Mech. Asia 2022, 53, 9670–9681. [Google Scholar]
- Sabatini, E.; Noferini, M.; Fiori, G.; Grappadelli, L.C.; Costa, G. Prohexadione-Ca Positively Affects Gas Exchanges and Chloro- Phyll Content of Apple and Pear Trees. Eur. J. Hortic. Sci. 2003, 68, 123–128. [Google Scholar] [CrossRef]
- Chiţu, V.; Braniste, N.; Militaru, M.; Chiţu, E. Effect of Treatment with Prohexadione-Ca Product of Pear Fruits Shelf Life. Acta Hortic. 2013, 981, 573–580. [Google Scholar] [CrossRef]
- Amarante, C.V.T.D.; Silveira, J.P.G.; Freitas, S.T.D.; Steffens, C.A.; Mitcham, E.J. Fruit Quality of ‘Braeburn’ Apple Trees Sprayed at Post-Bloom and Preharvest with Prohexadione-Calcium and GA4+7. Rev. Bras. Frutic. 2021, 43, e-653. [Google Scholar] [CrossRef]
- Lal, M.; Mir, M.M.; Iqbal, U.; Kumar, A.; Hassan, G.I.; Basu, U. Efficacy of Prohexadione Calcium and Paclobutrazol on Storage Life of Clapp’s Favorite Pear. EEC 2022, 28, 95–100. [Google Scholar] [CrossRef]
- Musacchi, S.; Sheick, R.; Mia, M.J.; Serra, S. Studies on Physiological and Productive Effects of Multi-Leader Training Systems and Prohexadione-Ca Applications on Apple Cultivar ’WA 38′. Sci. Hortic. 2023, 312, 111850. [Google Scholar] [CrossRef]
- Laužikė, K.; Gudžinskaitė, I.; Dėnė, L.; Samuolienė, G. The Impact of Growing Conditions on the Shelf Life and Storage Rot of Cv. Rubin Apples. Horticulturae 2024, 10, 1064. [Google Scholar] [CrossRef]
- Reekie, J.Y.; Hicklenton, P.; Struik, P.C. Prohexadione-Calcium Modifies Growth and Increases Photosynthesis in Strawberry Nursery Plants. Can. J. Plant Sci. 2005, 85, 671–677. [Google Scholar] [CrossRef]
- Reekie, J.Y.; Struik, P.C.; Hicklenton, P.R.; Duval, J.R. Prohexadione-Calcium Changes Morphological and Physical Traits in Strawberry Plants and Preconditions Transplants to Water Stress. Eur. J. Hortic. Sci. 2007, 72, 158–163. [Google Scholar] [CrossRef]
- Alsaiari, A.; Al-Qurashi, A.; Elsayed, M.; Abo-Elyousr, K. Postharvest Application of Prohexadione-Ca and Calcium Chloride for Improving Storability and Controlling Mold Disease of Strawberry Fruits. J. Phytopathol. Dis. Manag. 2024, 11, 1–11. [Google Scholar] [CrossRef]
- Cares, J.; Sagredo, K.X.; Cooper, T.; Retamales, J. Effect of Prohexadione Calcium on Vegetative and Reproductive Development in Sweet Cherry Trees. Acta Hortic. 2014, 1058, 357–363. [Google Scholar] [CrossRef]
- Aglar, E. Influence of Prohexadione-Calcium on Vegetative Growth and Reproduction of ‘0900 Ziraat’ Sweet Cherry. Acta Sci. Pol. Hortorum Cultus 2018, 17, 73–80. [Google Scholar] [CrossRef]
- Karki, S.; Basak, J.K.; Paudel, B.; Deb, N.C.; Kim, N.-E.; Kook, J.; Kang, M.Y.; Kim, H.T. Classification of Strawberry Ripeness Stages Using Machine Learning Algorithms and Colour Spaces. Hortic. Environ. Biotechnol. 2024, 65, 337–354. [Google Scholar] [CrossRef]
- Mouw, T. Tolerances Part 3: Color Space vs. Color Tolerance. Available online: https://www.xrite.com/blog/tolerancing-part-3 (accessed on 5 November 2025).
- Silva, V.; Pereira, S.; Vilela, A.; Bacelar, E.; Guedes, F.; Ribeiro, C.; Silva, A.P.; Gonçalves, B. Preliminary Insights in Sensory Profile of Sweet Cherries. Foods 2021, 10, 612. [Google Scholar] [CrossRef]
- Pinto de Andrade, L.; Veloso, A.; Espírito Santo, C.; Dinis Gaspar, P.; Silva, P.D.; Resende, M.; Beato, H.; Baptista, C.; Pintado, C.M.; Paulo, L.; et al. Effect of Controlled Atmospheres and Environmental Conditions on the Physicochemical and Sensory Characteristics of Sweet Cherry Cultivar Satin. Agronomy 2022, 12, 188. [Google Scholar] [CrossRef]
- Šavikin, K.; Zdunić, G.; Janković, T.; Tasić, S.; Menković, N.; Stević, T.; Đorđević, B. Phenolic Content and Radical Scavenging Capacity of Berries and Related Jams from Certificated Area in Serbia. Plant Foods Hum. Nutr. 2009, 64, 212–217. [Google Scholar] [CrossRef]
- Pantelidis, G.; Vasilakakis, M.; Manganaris, G.; Diamantidis, G. Antioxidant Capacity, Phenol, Anthocyanin and Ascorbic Acid Contents in Raspberries, Blackberries, Red Currants, Gooseberries and Cornelian Cherries. Food Chem. 2007, 102, 777–783. [Google Scholar] [CrossRef]
- Pellegrini, N.; Serafini, M.; Colombi, B.; Del Rio, D.; Salvatore, S.; Bianchi, M.; Brighenti, F. Total Antioxidant Capacity of Plant Foods, Beverages and Oils Consumed in Italy Assessed by Three Different In Vitro Assays. J. Nutr. 2003, 133, 2812–2819. [Google Scholar] [CrossRef] [PubMed]
- Zhang, C.; Whiting, M. Pre-Harvest Foliar Application of Prohexadione-Ca and Gibberellins Modify Canopy Source-Sink Relations and Improve Quality and Shelf-Life of ‘Bing’ Sweet Cherry. Plant Growth Regul 2011, 65, 145–156. [Google Scholar] [CrossRef]
- Greene, D.W. The Development and Use of Plant Bioregulators in Tree Fruit Production. Acta Hortic. 2010, 884, 31–40. [Google Scholar] [CrossRef]
- Lal, M.; Sood, Y.; Singh, H.; Kumar, A.; Wani, A.W.; Kumar, S. Influence of Prohexadione-Calcium on Temperate Fruit Crops—A Review. Ecol. Environ. Conserv. 2022, 28, 164–172. [Google Scholar] [CrossRef]
- Thakur, P.; Chawla, W. 2 Nd International Conference “Food Security, Nutrition and Sustainable Agriculture—Emerging Technologies” Influence of Plant Growth Regulators on Growth and Yield of Pome and Stone Fruits. J. Pharmacogn. Phytochem. 2019, 8, 557–565. [Google Scholar]
- Niharika; Singh, N.B.; Singh, A.; Khare, S.; Yadav, V.; Bano, C.; Yadav, R.K. Mitigating Strategies of Gibberellins in Various Environmental Cues and Their Crosstalk with Other Hormonal Pathways in Plants: A Review. Plant Mol. Biol. Rep. 2021, 39, 34–49. [Google Scholar] [CrossRef]
- Pincelli-Souza, R.P.; Tang, Q.; Miller, B.M.; Cohen, J.D. Horticultural Potential of Chemical Biology to Improve Adventitious Rooting. Hortic. Adv. 2024, 2, 12. [Google Scholar] [CrossRef]
- Clayton-Cuch, D.; Yu, L.; Shirley, N.; Bradley, D.; Bulone, V.; Böttcher, C. Auxin Treatment Enhances Anthocyanin Production in the Non-Climacteric Sweet Cherry (Prunus avium L.). Int. J. Mol. Sci. 2021, 22, 10760. [Google Scholar] [CrossRef]
- Rademacher, W.; Spinelli, F.; Costa, G. Prohexadione-ca: Modes of Action of a Multifunctional Plant Bioregulator for Fruit Trees. Acta Hortic. 2006, 727, 97–106. [Google Scholar] [CrossRef]
- RECROP COST. Integrative Approaches to Enhance Reproductive Resilience of Crops for Climate-Proof Agriculture. Plant Stress 2025, 15, 100704. [Google Scholar] [CrossRef]
- Hawerroth, F.J.; Petri, J.L.; Fachinello, J.C.; Herter, F.G.; Prezotto, M.E.; Hass, L.B.; Pretto, A. Redução Da Poda Hibernal e Aumento Da Produção de Pereiras “Hosui” Pelo Uso de Prohexadiona Cálcio. Pesq. Agropec. Bras. 2012, 47, 939–947. [Google Scholar] [CrossRef]
- Mahouachi, J.; Iglesias, D.J.; Agustí, M.; Talon, M. Delay of Early Fruitlet Abscission by Branch Girdling in Citrus Coincides with Previous Increases in Carbohydrate and Gibberellin Concentrations. Plant Growth Regul. 2009, 58, 15–23. [Google Scholar] [CrossRef]
- Singh, L.; Sadawarti, R.K.; Singh, S.K.; Shaifali; Mirza, A.A. Efficacy of Plant Growth Regulators for the Modulation in the Productivity of Strawberries (Fragaria × Ananassa Duchesne). J. Plant Growth Regul. 2025, 44, 1072–1086. [Google Scholar] [CrossRef]
- Aglar, E.; Yıldız, K. Influence of Rootstocks (Gisela 5, Gisela 6, MaxMa, SL 64) on Performance of ‘0900 Ziraat’ Sweet Cherry. J. Basic Appl. Sci. 2021, 10, 60–66. [Google Scholar] [CrossRef]
- Greene, D.W. The Effect of Prohexadione-Calcium on Fruit Set and Chemical Thinning of Apple Trees. HortScience 2007, 42, 1361–1365. [Google Scholar] [CrossRef]
- Hayat, F.; Li, J.; Iqbal, S.; Khan, U.; Ali, N.A.; Peng, Y.; Hong, L.; Asghar, S.; Javed, H.U.; Li, C.; et al. Hormonal Interactions Underlying Rootstock-Induced Vigor Control in Horticultural Crops. Appl. Sci. 2023, 13, 1237. [Google Scholar] [CrossRef]
- Gonçalves, B.; Moutinho-Pereira, J.; Santos, A.; Silva, A.P.; Bacelar, E.; Correia, C.; Rosa, E. Scion-Rootstock Interaction Affects the Physiology and Fruit Quality of Sweet Cherry. Tree Physiol. 2006, 26, 93–104. [Google Scholar] [CrossRef]
- Granger, A. The Effect of Three Rootstocks on Yield and Fruiting of Sweet Cherry. Acta Hortic. 2005, 667, 233–238. [Google Scholar] [CrossRef]
- Martins, V.; Silva, V.; Pereira, S.; Afonso, S.; Oliveira, I.; Santos, M.; Ribeiro, C.; Vilela, A.; Bacelar, E.; Silva, A.P.; et al. Rootstock Affects the Fruit Quality of ‘Early Bigi’ Sweet Cherries. Foods 2021, 10, 2317. [Google Scholar] [CrossRef]
- Xu, J.; Chen, L.; Dong, J.; Jiang, L.; Hong, L. Overview of Fruit Cracking in Sweet Cherry (Prunus avium L.): Causes, Testing Methods, Mitigation Strategies, and Research Perspectives. Front. Sustain. Food Syst. 2025, 9, 1534778. [Google Scholar] [CrossRef]
- Knoche, M.; Peschel, S. Water on the Surface Aggravates Microscopic Cracking of the Sweet Cherry Fruit Cuticle. JASHS 2006, 131, 192–200. [Google Scholar] [CrossRef]
- Guak, S.; Beulah, M.; Looney, N.E. Controlling Growth of Sweet Cherry Trees with Prohexadione-Calcium: Its Effect on Cropping and Fruit Quality. Acta Hortic. 2005, 667, 433–438. [Google Scholar] [CrossRef]
- Ricardo-Rodrigues, S.; Laranjo, M.; Agulheiro-Santos, A.C. Methods for Quality Evaluation of Sweet Cherry. J. Sci. Food Agric. 2023, 103, 463–478. [Google Scholar] [CrossRef] [PubMed]
- Correia, S.; Santos, M.; Glińska, S.; Gapińska, M.; Matos, M.; Carnide, V.; Schouten, R.; Silva, A.P.; Gonçalves, B. Effects of Exogenous Compound Sprays on Cherry Cracking: Skin Properties and Gene Expression. J. Sci. Food Agric. 2020, 100, 2911–2921. [Google Scholar] [CrossRef]
- Muñoz-Alarcón, A.; Palacios-Peralta, C.; González-Villagra, J.; Carrasco-Catricura, N.; Osorio, P.; Ribera-Fonseca, A. Impact of Reflective Ground Film on Fruit Quality, Condition, and Post-Harvest of Sweet Cherry (Prunus avium L.) Cv. Regina Cultivated Under Plastic Cover in Southern Chile. Agronomy 2025, 15, 520. [Google Scholar] [CrossRef]
- Gullo, G.; Motisi, A.; Zappia, R.; Dattola, A.; Diamanti, J.; Mezzetti, B. Rootstock and Fruit Canopy Position Affect Peach [Prunus persica (L.) Batsch] (Cv. Rich May) Plant Productivity and Fruit Sensorial and Nutritional Quality. Food Chem. 2014, 153, 234–242. [Google Scholar] [CrossRef]
- Tang, L.; Farcuh, M.; Dardick, C. Pillar Tree Architecture Increases Canopy Light Interception and Impacts Fruit Quality in European Plum. J. Hortic. Sci. Biotechnol. 2025, 100, 741–750. [Google Scholar] [CrossRef]
- Scofield, C.; Stanley, J.; Schurmann, M.; Hutton, M.; Breen, K.; Tustin, D.S. The Relationship between Light Availability and Fruit Quality of Sweet Cherries Grown on Narrow Row, Planar Canopy Systems. Acta Hortic. 2022, 1346, 279–286. [Google Scholar] [CrossRef]
- Tang, W.; Chen, C.; Zhang, Y.; Chu, Y.; Yang, W.; Cui, Y.; Kou, G.; Chen, H.; Song, H.; Gong, R. Effect of Low-Light Stress on Sugar and Acid Accumulation during Fruit Development and Ripening of Sweet Cherry. Horticulturae 2023, 9, 654. [Google Scholar] [CrossRef]
- Berli, F.J.; Fanzone, M.; Piccoli, P.; Bottini, R. Solar UV-B and ABA Are Involved in Phenol Metabolism of Vitis vinifera L. Increasing Biosynthesis of Berry Skin Polyphenols. J. Agric. Food Chem. 2011, 59, 4874–4884. [Google Scholar] [CrossRef] [PubMed]
- Wu, W.; Wu, H.; Liang, R.; Huang, S.; Meng, L.; Zhang, M.; Xie, F.; Zhu, H. Light Regulates the Synthesis and Accumulation of Plant Secondary Metabolites. Front. Plant Sci. 2025, 16, 1644472. [Google Scholar] [CrossRef]





| Phenology Stage | Operation | Date | |
|---|---|---|---|
| G6 | M14 | ||
| Petals Fall | REGALIS® 1.5 L/ha | 22 April | 22 April |
| Fruit Sets | REGALIS® 1.5 L/ha | 13 May | 13 May |
| Commercial Ripeness | Harvest | 20 June | 26 June |
| Treatment | PT | CT | |||||
|---|---|---|---|---|---|---|---|
| (N) | (N) | ||||||
| G6 Ctrl | 2.99 | ± | 0.10 | b | 4.80 | ± | 0.19 |
| G6 Pro-Ca | 3.35 | ± | 0.09 | a | 4.38 | ± | 0.18 |
| M14 Ctrl | 2.98 | ± | 0.09 | b | 4.57 | ± | 0.17 |
| M14 Pro-Ca | 3.20 | ± | 0.09 | ab | 4.63 | ± | 0.17 |
| LSD (p ≤ 0.05) | ** | ns | |||||
| Treatment | Overcolor | Ground Color | ||||||||||||||||||
|---|---|---|---|---|---|---|---|---|---|---|---|---|---|---|---|---|---|---|---|---|
| (%) | L* | h° | L* | h° | ||||||||||||||||
| G6 Ctrl | 51.6 | ± | 2.1 | b | 55.7 | ± | 0.8 | a | 47.7 | ± | 1.4 | a | 66.2 | ± | 0.5 | a | 85.1 | ± | 1.8 | a |
| G6 Pro-Ca | 68.2 | ± | 2.7 | a | 48.4 | ± | 0.7 | b | 31.7 | ± | 2.4 | bc | 64.4 | ± | 0.9 | b | 82.7 | ± | 1.9 | ab |
| M14 Ctrl | 41.8 | ± | 2.5 | c | 50.3 | ± | 1.4 | b | 34.8 | ± | 1.6 | b | 64.5 | ± | 1.2 | b | 79.2 | ± | 2.2 | b |
| M14 Pro-Ca | 66.6 | ± | 1.9 | a | 45.6 | ± | 0.9 | c | 27.5 | ± | 1.9 | c | 61.1 | ± | 0.7 | c | 73.4 | ± | 1.3 | c |
| LSD (p ≤ 0.05) | *** | *** | *** | *** | *** | |||||||||||||||
| Treatment | TSS | pH | TA | TPC | AOx | ||||||||||||||
|---|---|---|---|---|---|---|---|---|---|---|---|---|---|---|---|---|---|---|---|
| (°Brix) | (meqNaOH/l) | (mgGAE/100 g f.w.) | (mmolFe2+/kg f.w.) | ||||||||||||||||
| G6 Ctrl | 18.5 | ± | 0.3 | c | 4.53 | ± | 0.12 | 106.0 | ± | 1.8 | a | 99.18 | ± | 1.40 | b | 8.09 | ± | 0.09 | b |
| G6 Pro-Ca | 20.8 | ± | 0.1 | a | 4.39 | ± | 0.15 | 98.4 | ± | 1.3 | b | 137.29 | ± | 1.61 | a | 12.14 | ± | 0.40 | a |
| M14 Ctrl | 20.1 | ± | 0.1 | b | 4.51 | ± | 0.23 | 104.1 | ± | 1.2 | a | 97.73 | ± | 1.46 | b | 8.63 | ± | 0.16 | b |
| M14 Pro-Ca | 20.8 | ± | 0.2 | a | 4.38 | ± | 0.19 | 96.8 | ± | 2.4 | b | 135.64 | ± | 1.83 | a | 11.83 | ± | 0.27 | a |
| LSD (p ≤ 0.05) | *** | ns | ** | *** | *** | ||||||||||||||
Disclaimer/Publisher’s Note: The statements, opinions and data contained in all publications are solely those of the individual author(s) and contributor(s) and not of MDPI and/or the editor(s). MDPI and/or the editor(s) disclaim responsibility for any injury to people or property resulting from any ideas, methods, instructions or products referred to in the content. |
© 2025 by the authors. Licensee MDPI, Basel, Switzerland. This article is an open access article distributed under the terms and conditions of the Creative Commons Attribution (CC BY) license (https://creativecommons.org/licenses/by/4.0/).
Share and Cite
Varaldo, A.; Giacalone, G. Preharvest Prohexadione-Ca Treatment Improves Fruit Set and Mechanical Properties in Cv. ‘Tip Top’ Sweet Cherries. Agronomy 2025, 15, 2596. https://doi.org/10.3390/agronomy15112596
Varaldo A, Giacalone G. Preharvest Prohexadione-Ca Treatment Improves Fruit Set and Mechanical Properties in Cv. ‘Tip Top’ Sweet Cherries. Agronomy. 2025; 15(11):2596. https://doi.org/10.3390/agronomy15112596
Chicago/Turabian StyleVaraldo, Alice, and Giovanna Giacalone. 2025. "Preharvest Prohexadione-Ca Treatment Improves Fruit Set and Mechanical Properties in Cv. ‘Tip Top’ Sweet Cherries" Agronomy 15, no. 11: 2596. https://doi.org/10.3390/agronomy15112596
APA StyleVaraldo, A., & Giacalone, G. (2025). Preharvest Prohexadione-Ca Treatment Improves Fruit Set and Mechanical Properties in Cv. ‘Tip Top’ Sweet Cherries. Agronomy, 15(11), 2596. https://doi.org/10.3390/agronomy15112596

