Sign in to use this feature.

Years

Between: -

Subjects

remove_circle_outline
remove_circle_outline
remove_circle_outline
remove_circle_outline
remove_circle_outline
remove_circle_outline
remove_circle_outline

Journals

Article Types

Countries / Regions

Search Results (58)

Search Parameters:
Keywords = flower export

Order results
Result details
Results per page
Select all
Export citation of selected articles as:
17 pages, 3614 KB  
Article
Impact of Interstock and Rootstock on the Growth and Productivity of Mango (Mangifera indica L.) Cultivar Kent in the San Lorenzo Valley, Peru
by Sebastian Casas-Niño, Sandy Vilchez-Navarro, Henry Morocho-Romero, Gabriela Cárdenas-Huamán, Esdwin-Oberti Nuñez-Ticliahuanca, Ana-Gabriela Montañez-Artica, Leslie Velarde-Apaza, Max Ramirez Rojas, Juan Carlos Rojas and Flavio Lozano-Isla
Int. J. Plant Biol. 2025, 16(4), 134; https://doi.org/10.3390/ijpb16040134 - 24 Nov 2025
Viewed by 879
Abstract
Mango (Mangifera indica L.) is a tropical fruit tree characterized by vigorous growth and high fruit production, making it one of Peru’s main export crops. However, its extensive vegetative development requires substantial space, limiting productivity per unit area. This study evaluated the [...] Read more.
Mango (Mangifera indica L.) is a tropical fruit tree characterized by vigorous growth and high fruit production, making it one of Peru’s main export crops. However, its extensive vegetative development requires substantial space, limiting productivity per unit area. This study evaluated the effects of rootstock and interstock combinations on agronomic traits and fruit biometrics, highlighting the potential of interstocks to modulate tree vigor in mango orchards of Peru’s dry forest region. A total of 216 trees were established using ‘Chulucanas’ and ‘Chato’ as rootstocks and ‘Chulucanas,’ ‘Chato,’ ‘Irwin,’ and ‘Julie’ as interstocks, apically grafted with the ‘Kent’ cultivar, with a spacing of 6.0 m × 6.0 m. Tree performance was assessed after 10 years during the 2017–2019 growing seasons in Piura, Peru, under a randomized complete block design (2 × 4 factorial). The combination of the ‘Chulucanas’ rootstock with ‘Chulucanas’ and ‘Julie’ interstocks reduced tree height by 10.94% and 11.70%, respectively, facilitating orchard management and potentially increasing planting density. Yield varied significantly among growing seasons, with a 15% reduction in 2017 attributed to El Niño–Southern Oscillation (ENSO)-related increases in temperature and rainfall that affected flowering and fruit set. These results underscore the importance of cultivar selection and climate-adaptive strategies to sustain mango productivity in regions prone to climatic variability. Full article
(This article belongs to the Section Plant Physiology)
Show Figures

Figure 1

18 pages, 2502 KB  
Article
Quantitative Profiling of Phenolic Constituents in Hypericum perforatum L. via HPLC–PDA and HPLC–ECD: A Chemometric Approach
by Andrin Tahiri, Zamir Damani and Dritan Topi
Molecules 2025, 30(19), 3854; https://doi.org/10.3390/molecules30193854 - 23 Sep 2025
Cited by 1 | Viewed by 889
Abstract
(1) Background: Medicinal plants are widely used in folk medicine. Hypericum perforatum L. (St. John’s wort) is a medicinal plant that is used domestically and exported to other countries. This study addresses the need to develop methods for determining the composition and content [...] Read more.
(1) Background: Medicinal plants are widely used in folk medicine. Hypericum perforatum L. (St. John’s wort) is a medicinal plant that is used domestically and exported to other countries. This study addresses the need to develop methods for determining the composition and content of St. John’s wort to determine its biological activity. (2) Methods: High-performance liquid chromatography (HPLC) equipped with an Electrochemical Detector (ECD) and a Photodiode Array Detector (PDA) was employed to identify and quantify major phenolic compounds—gallic acid, catechin, epicatechin, hyperoside, quercetin, and hyperforin—in extracted and lyophilized St. John’s wort flower; stem; and leaf samples. Key analytes exhibited linear responses across both detection systems, within a quantification range of 0.5–10 µg/mL. (3) Results: The PDA method, validated according to ICH Q2(R1) guidelines, demonstrated specificity, linearity, precision, and accuracy, with limits of detection (LOD) ranging from 0.24 to 0.61 µg/mL and limits of quantification (LOQ) between 0.26 and 0.62 µg/mL. PDA effectively identified gallic acid, epicatechin, hyperoside, quercetin, and hyperforin, although catechin was not detected. ECD yielded comparable compound levels across the samples. (4) Conclusions: The novelty of this study lies in identifying the influence of climatic factors associated with the altitude at which St. John’s wort is grown on the content and ratio of biologically active components. Overall, the chemometric approach demonstrates the utility of raw chromatographic data in distinguishing samples by plant part and geographic origin; even when traditional compound-based comparisons may be limited. Full article
Show Figures

Figure 1

16 pages, 4330 KB  
Article
Scaling Relationships Among the Floral Organs of Rosa chinensis var. minima: Implications for Reproductive Allocation and Floral Proportionalities
by Zhe Wen, Karl J. Niklas, Yunfeng Yang, Wen Gu, Zhongqin Li and Peijian Shi
Plants 2025, 14(15), 2446; https://doi.org/10.3390/plants14152446 - 7 Aug 2025
Viewed by 1085
Abstract
Although the allocation of biomass among floral organs reflects critical trade-offs in plant reproductive strategies, the scaling relationships governing biomass allocations remain poorly resolved, particularly in flowers. Here, we report the fresh mass scaling allocation patterns among four floral organs (i.e., sepals, petals, [...] Read more.
Although the allocation of biomass among floral organs reflects critical trade-offs in plant reproductive strategies, the scaling relationships governing biomass allocations remain poorly resolved, particularly in flowers. Here, we report the fresh mass scaling allocation patterns among four floral organs (i.e., sepals, petals, stamens, and carpels), and the two subtending structural components (i.e., the pedicel and receptacle) of 497 flowers of the hypogynous Rosa chinensis var. minima (miniature rose) using reduced major axis protocols. The two-parameter Weibull probability density function was also applied to characterize the distributions of floral organ mass, and revealed skewed tendencies in all six measured traits. The results show that the numerical values of the scaling exponents (α) for all pairwise power-law relationships significantly exceeded unity (α > 1), indicating disproportionate investments in larger floral structures with increasing overall flower size. Specifically, the scaling exponent of corolla fresh mass vs. calyx fresh mass was α = 1.131 (95% confidence interval [CI]: 1.086, 1.175), indicating that petal investment outpaces sepal investment as flower size increases. Reproductive organs also exhibited significant disproportionate investments (i.e., allometry): the collective carpel (gynoecium) fresh mass scaled allometrically with respect to the collective stamen (androecium) mass (α = 1.062, CI: 1.028, 1.098). Subtending axial structures (pedicel and receptacle) also had hyperallometric patterns, with pedicel mass scaling at α = 1.167 (CI: 1.106, 1.235) with respect to receptacle mass. Likewise, the combined fresh mass of all four foliar homologues (sepals, petals, androecium, and gynoecium) scaled disproportionately with respect to the biomass of the two subtending axial structures (α = 1.169, CI: 1.126, 1.214), indicating a prioritized resource allocation to reproductive and display organs. These findings are in accord with hypotheses positing that floral display traits, such as corolla size, primarily enhance pollen export by attracting pollinators, while maintaining fruit setting success through coordinated investment in gynoecium development. The consistent hyperallometry across all organ pairwise comparisons underscores the role of developmental integration in shaping floral architecture in Rosaceae, as predicted by scaling theory. By integrating morphometric and scaling analyses, this study proposes a tractable methodology for investigating floral resource allocation in monomorphic-flowering species and provides empirical evidence consistent with the adaptive patterns of floral traits within this ecologically and horticulturally significant lineage. Full article
(This article belongs to the Section Plant Modeling)
Show Figures

Figure 1

16 pages, 2976 KB  
Article
Extending the Vase Life of Vanda Orchid Cut Flowers Using Plasma Technology
by Choncharoen Sawangrat, Soraya Ruamrungsri, Dheerawan Boonyawan, Takron Opassuwan, Sa-nguansak Thanapornpoonpong, Suchanuch Jaipinta, Chaiartid Inkham and Kanokwan Panjama
Horticulturae 2025, 11(6), 669; https://doi.org/10.3390/horticulturae11060669 - 11 Jun 2025
Viewed by 2397
Abstract
Flower senescence during transport is a major concern for exporters, as physiological disorders reduce quality and price. Extending vase life is crucial, and while 1-MCP is widely used, it requires low temperatures and is less effective in disease control. Cold plasma generated by [...] Read more.
Flower senescence during transport is a major concern for exporters, as physiological disorders reduce quality and price. Extending vase life is crucial, and while 1-MCP is widely used, it requires low temperatures and is less effective in disease control. Cold plasma generated by dielectric barrier discharge produces reactive oxygen and nitrogen species (RONS), offering an alternative method for preserving cut flowers. This study compared the effectiveness of cold plasma and 1-MCP treatments on the vase life of Vanda ‘Pachara Blue’ orchids. Flowers were treated with T1 (control at 25 °C), T2 (1-MCP), and T3 (cold plasma). Both 1-MCP and cold plasma significantly reduced ethylene production (26.15 and 25.20 µL C2H4/kg/hr, respectively) and respiration rate (63.92 and 57.44 mg CO2/kg/hr, respectively) compared to the control (40.93 µL C2H4/kg/hr and 118.21 mg CO2/kg/hr). Vase life was extended to 19.33 days in both treatments, an 87.12% increase over the control (10.33 days). Additionally, cold plasma slightly improved water uptake and reduced petal discoloration. These findings indicate that cold plasma is a promising alternative to 1-MCP, offering effective flower preservation without the need for low-temperature conditions and potential additional benefits in floral quality. Full article
(This article belongs to the Section Postharvest Biology, Quality, Safety, and Technology)
Show Figures

Figure 1

22 pages, 6158 KB  
Article
Impact of Salinity on Sugar Composition and Partitioning in Relation to Flower Fertility in Solanum lycopersicum and Solanum chilense
by Servane Bigot, Juan Pablo Martínez, Stanley Lutts and Muriel Quinet
Horticulturae 2025, 11(3), 285; https://doi.org/10.3390/horticulturae11030285 - 6 Mar 2025
Cited by 2 | Viewed by 1725
Abstract
Salinity negatively affects flower production and fertility in tomato but the underlying mechanisms are not fully understood. One hypothesis is that salinity affects sugar partitioning by reducing photosynthesis, which in turn affects source–sink relationships and hence the development of reproductive structures. This study [...] Read more.
Salinity negatively affects flower production and fertility in tomato but the underlying mechanisms are not fully understood. One hypothesis is that salinity affects sugar partitioning by reducing photosynthesis, which in turn affects source–sink relationships and hence the development of reproductive structures. This study investigates how salt stress alters sugar composition in leaves, flowers, and phloem sap of Solanum lycopersicum and its halophyte relative Solanum chilense, and how this may explain the effects on flower production and fertility. Salt stress increased flower abortion and reduced sepal length in S. lycopersicum, while decreasing pollen grain number in S. chilense. Photosynthetic nitrogen use efficiency was also reduced in S. lycopersicum. Salinity raised myo-inositol and sucrose concentrations in S. lycopersicum leaves but only slightly altered sugar concentrations in flowers. The concentration of sucrose in the foliar exudates was higher in S. chilense as compared to S. lycopersicum, suggesting a higher export of sucrose from the leaves. These findings suggest that S. lycopersicum maintains better metabolic function under salt stress, while S. chilense sustains sugar import to sink organs. Correlations between reproductive traits and sugar dynamics indicate that sugar distribution contributes to reproductive development under salinity stress. Full article
Show Figures

Figure 1

16 pages, 2354 KB  
Review
Why Olive Produces Many More Flowers than Fruit—A Critical Analysis
by Julián Cuevas
Horticulturae 2025, 11(1), 26; https://doi.org/10.3390/horticulturae11010026 - 2 Jan 2025
Cited by 2 | Viewed by 3970
Abstract
Olive (Olea europaea L.) trees produce many more flowers than fruit. In an “on” year, an adult olive tree may produce as many as 500,000 flowers, but 98% of them will drop soon after bloom as unfertilized flowers or juvenile fruit. This [...] Read more.
Olive (Olea europaea L.) trees produce many more flowers than fruit. In an “on” year, an adult olive tree may produce as many as 500,000 flowers, but 98% of them will drop soon after bloom as unfertilized flowers or juvenile fruit. This waste of resources that could be better invested in fruit reaching maturation requires an explanation. Several, not mutually exclusive, hypotheses explaining the possible significance of heavy flowering followed by massive and premature flower and fruit abscission are analyzed and compared based on previously published works and recent observations on olive reproductive biology. The results suggest that olive trees selectively abort fruits to enhance the quality of the seeds in the surviving fruits. Additionally, a considerable proportion of flowers appears to contribute to the male fitness of the plant by increasing pollen export. Conversely, the hypotheses attributing to resource limitation, pollination deficits, pollinator attraction, or extra flowers functioning as an ovary reserve, must be rejected for explaining the ultimate functions of massive flower production. Implications for olive orchard management are discussed. Full article
(This article belongs to the Special Issue Advances in Developmental Biology in Tree Fruit and Nut Crops)
Show Figures

Figure 1

23 pages, 3679 KB  
Article
Unveiling the Movement of RanBP1 During the Cell Cycle and Its Interaction with a Cyclin-Dependent Kinase (CDK) in Plants
by Vanessa Thomé, Pedro B. Ferreira, Greice Lubini, Fernanda M. Nogueira, Edward J. Strini, Vitor F. Pinoti, Joelma O. Cruz, Juca A. B. San Martin, Andréa C. Quiapim, Luis L. P. daSilva and Maria Helena S. Goldman
Int. J. Mol. Sci. 2025, 26(1), 46; https://doi.org/10.3390/ijms26010046 - 24 Dec 2024
Cited by 1 | Viewed by 2227
Abstract
In the Nicotiana tabacum flower development study, we identified SCI1 (Stigma/style Cell-cycle Inhibitor 1), a regulator of cell proliferation. SCI1 interacts with NtCDKG;2 (N. tabacum Cyclin-Dependent Kinase G;2), a homolog of human CDK11, which is responsible for RanGTP-dependent microtubule stabilization, regulating spindle [...] Read more.
In the Nicotiana tabacum flower development study, we identified SCI1 (Stigma/style Cell-cycle Inhibitor 1), a regulator of cell proliferation. SCI1 interacts with NtCDKG;2 (N. tabacum Cyclin-Dependent Kinase G;2), a homolog of human CDK11, which is responsible for RanGTP-dependent microtubule stabilization, regulating spindle assembly rate. In a Y2H screening of a cDNA library using NtCDKG;2 as bait, a RanBP1 (Ran-Binding Protein 1) was revealed as its interaction partner. RanBP1 is an essential regulatory protein of the RanGTPase system, contributing to the formation of the Ran gradient, which modulates different important cellular processes. RanBP1 is crucial in the nuclear import/export machinery during interphase and spindle checkpoint formation during cell division. These processes are well studied in animals, but very little is known about them in plants. We confirmed NtCDKG;2 and NtRanBP1 interaction by pairwise Y2H and characterized the localization of both proteins during plant cell division. We demonstrated the presence of NtRanBP1 in the cytoplasm during interphase and its nuclear arrest at mitosis onset. Meanwhile, we showed that NtCDKG;2 is localized in the mitotic spindle during cell division, indicating an analogous function to the human CDK11. We propose that the phosphorylation of the nuclear export signal at RanBP1 by NtCDKG;2 may be responsible for the reported nuclear arrest. Full article
(This article belongs to the Section Molecular Plant Sciences)
Show Figures

Figure 1

16 pages, 4363 KB  
Article
Role of BraSWEET12 in Regulating Flowering through Sucrose Transport in Flowering Chinese Cabbage
by Qinqin He, Liming He, Zongqin Feng, Yin Liu, Yunyi Xiao, Jinfeng Liu, Hanbing Han and Xinmin Huang
Horticulturae 2024, 10(10), 1037; https://doi.org/10.3390/horticulturae10101037 - 29 Sep 2024
Cited by 3 | Viewed by 1506
Abstract
We assessed the flowering Chinese cabbage (Brassica rapa var. parachinensis), a specialty vegetable found in southern China. The sugar content of the stem tip is closely related to bolting and flowering. Sugar Will Eventually be Exported Transporters (SWEETs) are bidirectional sugar [...] Read more.
We assessed the flowering Chinese cabbage (Brassica rapa var. parachinensis), a specialty vegetable found in southern China. The sugar content of the stem tip is closely related to bolting and flowering. Sugar Will Eventually be Exported Transporters (SWEETs) are bidirectional sugar transporter proteins involved in numerous plant growth and development processes. The expression of BraSWEET12 is positively correlated with sugar content. However, it is unclear whether BraSWEET12 is involved in bolting and flowering. In this study, we identified and characterized BraSWEET12. BraSWEET12 in flowering Chinese cabbage contains 288 amino acids and is located on the cell membrane as a sucrose transporter protein. BraSWEET12 is highly expressed in the petals and stem tips of flowering Chinese cabbage and is upregulated by gibberellin and low temperatures. Overexpression of BraSWEET12 in Arabidopsis can increase sucrose content at the stem tip, upregulate the expression of AtAP1 and AtLFY, and advance the flowering time. Subsequently, our results indicate that BraSWEET12 is involved in sucrose accumulation at the stem tip of flowering Chinese cabbage and plays a crucial role in flowering regulation. These results provide a reference for elucidating the regulatory mechanisms underlying flowering Chinese cabbage bolting and flowering. Full article
Show Figures

Figure 1

12 pages, 2808 KB  
Article
Influence of Cultivar-Dependent Alstroemeria Floral Emissions on Frankliniella occidentalis Host Selection Behavior
by Luis Gerardo Cubillos-Quijano, Marco Antonio Díaz, Daniel Rodríguez and Ericsson Coy-Barrera
Horticulturae 2024, 10(9), 982; https://doi.org/10.3390/horticulturae10090982 - 17 Sep 2024
Cited by 2 | Viewed by 1551
Abstract
Frankliniella occidentalis, commonly known as the western flower thrips (WFT), is one of the world’s most significant cosmopolitan pests. This pest infests many ornamental species, including Alstroemeria, leading to substantial economic losses. F. occidentalis damages flowers, transmits viruses, and causes the [...] Read more.
Frankliniella occidentalis, commonly known as the western flower thrips (WFT), is one of the world’s most significant cosmopolitan pests. This pest infests many ornamental species, including Alstroemeria, leading to substantial economic losses. F. occidentalis damages flowers, transmits viruses, and causes the rejection of shipments for exports. Farmers have observed variations in the occurrence of F. occidentalis among different Alstroemeria cultivars. It is hypothesized that differences in flower color and odor among cultivars may influence the host-choice behavior of this insect, potentially explaining the observed variations in incidence and damage in the field. To test this hypothesis, we analyzed one year’s worth of sampling data for the occurrence of the WFT complex in a commercial Alstroemeria greenhouse crop. This analysis identified cultivars with high and low thrips incidences. The ‘Himalaya’ and ‘Whistler’ cultivars exhibited the highest incidence, while the ‘Shakira’ and ‘Nora’ cultivars showed the lowest incidence values. To investigate the potential role of host odors in these field incidence differences, we conducted behavioral tests (choice, non-choice, and repellency) using glass boxes where visual stimuli were blocked. These tests confirmed a differential attraction response of thrips to the flowers of Alstroemeria cultivars, although all cultivars were viable options for WFT choice. Preferences under laboratory conditions differed from the incidence observed in the greenhouse, ruling out a repellency effect of some cultivars on insects. This study provides evidence that differential emissions from Alstroemeria flowers can influence host selection by WFT, a phenomenon that warrants further in-depth exploration in future studies. Full article
(This article belongs to the Collection Non-Chemical Strategies for IPM in Horticulture)
Show Figures

Figure 1

8 pages, 1245 KB  
Communication
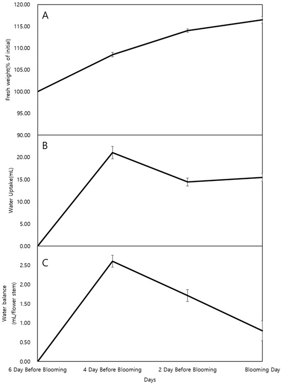
Predicting Blooming Day of Cut Lily through Wavelength Reflectance Analysis
by Siae Kim and Aekyung Lee
Horticulturae 2024, 10(8), 802; https://doi.org/10.3390/horticulturae10080802 - 29 Jul 2024
Cited by 3 | Viewed by 1556
Abstract
Domestic export cut lily flowers are expensive in Japan when they are in bud state that has not yet bloomed and when no leaf yellowing has occurred. Predicting the blooming day of domestic cut lily flowers is essential to increase their commodity value. [...] Read more.
Domestic export cut lily flowers are expensive in Japan when they are in bud state that has not yet bloomed and when no leaf yellowing has occurred. Predicting the blooming day of domestic cut lily flowers is essential to increase their commodity value. Thermal imaging, spectroscopic technologies, and hyperspectral cameras have recently been used for quality prediction. This study uses a hyperspectral camera, reflectance of wavelength, and a support vector machine (SVM) to evaluate the predictability of blooming days of cut lily flowers. While examining spectra at wavelengths of 750–900 nm associated with pollination, the resultant reflectance was over 75% during six to four days before blooming and 30% on a blooming day, indicating a decline in their reflectance toward blooming. Furthermore, SVM classification models based on kernel function revealed that the quadratic SVM had the highest accuracy at 84.4%, while the coarse Gaussian SVM had the lowest accuracy at 34.4%. The most crucial wavelength for the quadratic SVM was 842.3 nm, which was associated with water. The quadratic SVM’s accuracy, verified using the area under the curve (ACU), was above 0.8, showing suitability for spectral classification based on blooming day prediction. Thus, this study shows that hyperspectral imaging can classify spectra based on the blooming day, indicating its potential to predict the blooming day, vase life, and quality of cut lily flowers. Full article
Show Figures

Figure 1

13 pages, 3144 KB  
Article
Functional Characterization of JcSWEET12 and JcSWEET17a from Physic Nut
by Pingzhi Wu, Youting Wu, Zhu Yu, Huawu Jiang, Guojiang Wu and Yaping Chen
Int. J. Mol. Sci. 2024, 25(15), 8183; https://doi.org/10.3390/ijms25158183 - 26 Jul 2024
Cited by 2 | Viewed by 1270
Abstract
Physic nut (Jatropha curcas L.) has attracted extensive attention because of its fast growth, easy reproduction, tolerance to barren conditions, and high oil content of seeds. SWEET (Sugar Will Eventually be Exported Transporter) family genes contribute to regulating the distribution of carbohydrates [...] Read more.
Physic nut (Jatropha curcas L.) has attracted extensive attention because of its fast growth, easy reproduction, tolerance to barren conditions, and high oil content of seeds. SWEET (Sugar Will Eventually be Exported Transporter) family genes contribute to regulating the distribution of carbohydrates in plants and have great potential in improving yield and stress tolerance. In this study, we performed a functional analysis of the homology of these genes from physic nut, JcSWEET12 and JcSWEET17a. Subcellular localization indicated that the JcSWEET12 protein is localized on the plasma membrane and the JcSWEET17a protein on the vacuolar membrane. The overexpression of JcSWEET12 (OE12) and JcSWEET17a (OE17a) in Arabidopsis leads to late and early flowering, respectively, compared to the wild-type plants. The transgenic OE12 seedlings, but not OE17a, exhibit increased salt tolerance. In addition, OE12 plants attain greater plant height and greater shoot dry weight than the wild-type plants at maturity. Together, our results indicate that JcSWEET12 and JcSWEET17a play different roles in the regulation of flowering time and salt stress response, providing a novel genetic resource for future improvement in physic nut and other plants. Full article
(This article belongs to the Section Molecular Plant Sciences)
Show Figures

Figure 1

29 pages, 1543 KB  
Review
Cassava Breeding and Cultivation Challenges in Thailand: Past, Present, and Future Perspectives
by Pasajee Kongsil, Hernan Ceballos, Wanwisa Siriwan, Supachai Vuttipongchaikij, Piya Kittipadakul, Chalermpol Phumichai, Wannasiri Wannarat, Wichai Kositratana, Vichan Vichukit, Ed Sarobol and Chareinsak Rojanaridpiched
Plants 2024, 13(14), 1899; https://doi.org/10.3390/plants13141899 - 10 Jul 2024
Cited by 28 | Viewed by 9465
Abstract
Cassava (Manihot esculenta Crantz) was introduced to Southeast Asia in the 16th–17th centuries and has since flourished as an industrial crop. Since the 1980s, Thailand has emerged as the leading producer and exporter of cassava products. This growth coincided with the initiation [...] Read more.
Cassava (Manihot esculenta Crantz) was introduced to Southeast Asia in the 16th–17th centuries and has since flourished as an industrial crop. Since the 1980s, Thailand has emerged as the leading producer and exporter of cassava products. This growth coincided with the initiation of cassava breeding programs in collaboration with the International Center for Tropical Agriculture (CIAT), focusing on root yield and starch production. The success of Thai cassava breeding programs can be attributed to the incorporation of valuable genetic diversity from international germplasm resources to cross with the local landraces, which has become the genetic foundation of many Thai commercial varieties. Effective evaluation under diverse environmental conditions has led to the release of varieties with high yield stability. A notable success is the development of Kasetsart 50. However, extreme climate change poses significant challenges, including abiotic and biotic stresses that threaten cassava root yield and starch content, leading to a potential decline in starch-based industries. Future directions for cassava breeding must include hybrid development, marker-assisted recurrent breeding, and gene editing, along with high-throughput phenotyping and flower induction. These strategies are essential to achieve breeding objectives focused on drought tolerance and disease resistance, especially for CMD and CBSD. Full article
(This article belongs to the Section Plant Genetics, Genomics and Biotechnology)
Show Figures

Figure 1

22 pages, 2748 KB  
Article
Life Cycle Assessment and Life Cycle Costing for the Production of Hydrangeas in Antioquia—Colombia
by Cindy Natalia Arenas, Ana Patricia Bello, Nicolas Fernando Molina, Jaime Leòn Botero and Mariluz Betancur
Agronomy 2024, 14(7), 1408; https://doi.org/10.3390/agronomy14071408 - 28 Jun 2024
Cited by 2 | Viewed by 2260
Abstract
In the floriculture sector, it has been identified that the use of agrochemicals, fuels, and various raw materials has a significant impact on the environment, and, from an economic point of view, their use improves the quality of life of the people involved [...] Read more.
In the floriculture sector, it has been identified that the use of agrochemicals, fuels, and various raw materials has a significant impact on the environment, and, from an economic point of view, their use improves the quality of life of the people involved in the activity, and at the same time contributes to the development of the territories. Therefore, in order to address these issues, sustainability-oriented solutions have been proposed. This study focuses on the performance of a Life Cycle Assessment (LCA) of hydrangea production, addressing its environmental and economic dimensions, using the conventional method according to ISO 14040 and ISO 14044 standards. The functional unit was defined as one kilogram (1 kg) of hydrangea stems from a 36-week production cycle in three different crop sizes, as follows: small (0.45 ha), medium (1.20 ha), and large (2.99 ha). The boundaries of the gate-to-gate system were used, including the stages of growing and transporting of the flowers, to delivery to the marketer. The results showed significant environmental impacts in the areas of climate change, human toxicity, and acidification, resulting from phytosanitary management; use of fertilizers, fuel, and raw materials for infrastructure; and packaging of flowers for delivery to the marketer. In addition, from an economic point of view, it was shown that the most significant internal costs were associated with the cultivation phase, while the external costs were associated with CO2 emissions. The return on investment was less than 0.15 years, with human productivity more than 73%, and infrastructure investment less than 16%. These results highlight the need to implement effective measures to mitigate negative impacts and promote more sustainable practices in floriculture to further strengthen the sector, as hydrangeas are an export product. Full article
(This article belongs to the Section Horticultural and Floricultural Crops)
Show Figures

Figure 1

17 pages, 6295 KB  
Article
Utilizing Deep Neural Networks for Chrysanthemum Leaf and Flower Feature Recognition
by Toan Khac Nguyen, Minh Dang, Tham Thi Mong Doan and Jin Hee Lim
AgriEngineering 2024, 6(2), 1133-1149; https://doi.org/10.3390/agriengineering6020065 - 25 Apr 2024
Cited by 8 | Viewed by 3143
Abstract
Chrysanthemums, a significant genus within the Asteraceae, hold a paramount position in the global floricultural industry, second only to roses in market demand. The proliferation of diverse chrysanthemum cultivars presents a formidable challenge for accurate identification, exacerbated by the abundance of varieties, intricate [...] Read more.
Chrysanthemums, a significant genus within the Asteraceae, hold a paramount position in the global floricultural industry, second only to roses in market demand. The proliferation of diverse chrysanthemum cultivars presents a formidable challenge for accurate identification, exacerbated by the abundance of varieties, intricate floral structures, diverse floret types, and complex genetic profiles. Precise recognition of chrysanthemum phenotypes is indispensable to navigating these complexities. Traditional methods, including morphology studies, statistical analyses, and molecular markers, have fallen short due to their manual nature and time-intensive processes. This study presents an innovative solution employing deep learning techniques for image-based chrysanthemum phenotype recognition. Leveraging machine learning, our system autonomously extracts key features from chrysanthemum images, converting morphological data into accessible two-dimensional representations. We utilized Support Vector Machine (SVM) and Multilayer Perceptron (MLP) algorithms to construct frameworks for processing image data and classifying chrysanthemum cultivars based on color, shape, and texture. Experimental results, encompassing 10 cultivars, 10 flower colors, and five flower shapes, consistently demonstrated recognition accuracy ranging from 79.29% up to 97.86%. This tool promises streamlined identification of flower traits, and we anticipate its potential for real-time identification enhancements in future iterations, promising advances in chrysanthemum cultivation and exportation processes. Our approach offers a novel and efficient means to address the challenges posed by the vast diversity within chrysanthemum species, facilitating improved management, breeding, and marketing strategies in the floricultural industry. Full article
Show Figures

Figure 1

28 pages, 22021 KB  
Article
Identification and Expression Analysis of Putative Sugar Transporter Gene Family during Bulb Formation in Lilies
by Ziyang Huang, Cong Gao, Yunchen Xu, Jie Liu, Jie Kang, Ziming Ren, Qi Cui, Dongze Li, Si Ma, Yiping Xia and Yun Wu
Int. J. Mol. Sci. 2024, 25(6), 3483; https://doi.org/10.3390/ijms25063483 - 20 Mar 2024
Cited by 6 | Viewed by 2508
Abstract
Sugar transporters play important roles in plant growth and development, flowering and fruiting, as well as responses to adverse abiotic and biotic environmental conditions. Lilies (Lilium spp.) are some of the most representative ornamental bulbous flowers. Sugar metabolism is critical for bulb [...] Read more.
Sugar transporters play important roles in plant growth and development, flowering and fruiting, as well as responses to adverse abiotic and biotic environmental conditions. Lilies (Lilium spp.) are some of the most representative ornamental bulbous flowers. Sugar metabolism is critical for bulb formation in lilies; therefore, clarifying the amount and expression pattern of sugar transporters is essential for further analyzing their roles in bulb formation. In this study, based on the transcriptome data of the Lilium Oriental hybrid ‘Sorbonne’ and Lilium × formolongi, a total of 69 and 41 sugar transporters were identified in ‘Sorbonne’ and Lilium × formolongi, respectively, by performing bioinformatics analysis. Through phylogenetic analysis, monosaccharide transporters (MSTs) can be divided into seven subfamilies, sucrose transporters (SUTs) can be divided into three subgroups, and sugars will eventually be exported transporters (SWEETs) can be divided into four clades. According to an analysis of conserved motifs, 20, 14, and 12 conserved motifs were predicted in MSTs, SUTs, and SWEETs, respectively. A conserved domain analysis showed that MSTs and SUTs contained a single domain, whereas most of the SWEETs harbored two MtN3/saliva domains, also known as a PQ-loop repeat. The LohINT1, which was predicted to have a smaller number of transmembrane structural domains, was cloned and analyzed for subcellular localization. It was found that the LohINT1 protein is mainly localized in the cell membrane. In addition, the expression analysis indicated that 22 LohMSTs, 1 LohSUTs, and 5 LohSWEETs were upregulated in ‘Sorbonne’ 1 day after scale detachment treatment, suggesting that they may regulate the initiation of the bulblet. A total of 10 LflMSTs, 1 LflSUTs, and 6 LflSWEETs were upregulated 4~6 months after sowing, which corresponds to the juvenile-to-adult transition phase of Lilium × formolongi, suggesting that they may also play a role in the accompanying bulb swelling process. Combined with quantitative real-time PCR (qRT-PCR) analysis, LohSTP8 and LohSTP12 were significantly overexpressed during the extremely early stage of bulblet initiation, and LflERD6.3 was significantly overexpressed during the growth of the underground bulblet, suggesting that they may be key sugar transporters in the formation of lily bulbs, which needs further functional verification. Full article
Show Figures

Figure 1

Back to TopTop