You are currently viewing a new version of our website. To view the old version click .
Horticulturae
  • Communication
  • Open Access

29 July 2024

Predicting Blooming Day of Cut Lily through Wavelength Reflectance Analysis

and
Department of Environmental Horticulture and Landscape Architecture, Environmental Horticulture Major, Dankook University, Cheonan 31116, Republic of Korea
*
Author to whom correspondence should be addressed.

Abstract

Domestic export cut lily flowers are expensive in Japan when they are in bud state that has not yet bloomed and when no leaf yellowing has occurred. Predicting the blooming day of domestic cut lily flowers is essential to increase their commodity value. Thermal imaging, spectroscopic technologies, and hyperspectral cameras have recently been used for quality prediction. This study uses a hyperspectral camera, reflectance of wavelength, and a support vector machine (SVM) to evaluate the predictability of blooming days of cut lily flowers. While examining spectra at wavelengths of 750–900 nm associated with pollination, the resultant reflectance was over 75% during six to four days before blooming and 30% on a blooming day, indicating a decline in their reflectance toward blooming. Furthermore, SVM classification models based on kernel function revealed that the quadratic SVM had the highest accuracy at 84.4%, while the coarse Gaussian SVM had the lowest accuracy at 34.4%. The most crucial wavelength for the quadratic SVM was 842.3 nm, which was associated with water. The quadratic SVM’s accuracy, verified using the area under the curve (ACU), was above 0.8, showing suitability for spectral classification based on blooming day prediction. Thus, this study shows that hyperspectral imaging can classify spectra based on the blooming day, indicating its potential to predict the blooming day, vase life, and quality of cut lily flowers.

1. Introduction

Domestic cut lily flowers are one of Korea’s major cut flower species, with the third highest sales value and volume in 2020, following roses and chrysanthemums [1]. Their exports amounted to USD 5 million, constituting 32% of domestic cut flower exports, with 99% being exported to Japan [1,2]. Despite their prominence, domestic cut lily flowers exhibit a shorter vase life and inferior quality than their Japanese counterparts, resulting in a decline in export volume [2,3]. Domestic cut lily flowers exported to Japan are highly valued in their unbloomed bud state, with no signs of leaf yellowing [4]. Therefore, it is essential to predict the blooming day to increase the commodity value of domestic cut lily flowers in Japan.
Non-destructive methods of predicting crop quality include thermal imaging cameras and spectroscopic techniques. Recently, hyperspectral imaging technology, which can acquire spatial and spectral information in an image, has been used for non-destructive analysis of crops. Hyperspectral technology can selectively analyze a continuum of wavelengths in the near-infrared region, not limited to visible light [5]. In fruit, it has been used for evaluating the internal quality of apples [6], measuring maturity in strawberries [7], predicting yield and estimating nutrient concentrations in strawberries [8], and determining the ripening time in avocados [9], as well as for early decay detection [10]. In vegetables, it has been used to evaluate postharvest broccoli freshness [11], determine the accumulation of anthocyanins in bok choy [12], determine the moisture content of rapeseed leaves [13], and classify cabbage blight infection [14], as well as for the detection of Escherichia coli contamination in packaged fresh spinach [15].
In flowers, hyperspectral instruments have been used to measure the quality of chrysanthemums [16], classify flowers [17], predict the vase life of roses [18], classify chrysanthemum varieties and their origins [19], and detect fungus infection [20]. Studies [21,22] have used thermal imaging cameras to determine the vase life of cut lily flowers and roses. Additionally, spectroscopic techniques have been reported to distinguish postharvest stages of cut calla flowers.
A study [23] distinguished the postharvest stages of cut flowers using spectroscopic techniques. Another study [18] has been reported to use hyperspectral imaging, a more advanced technique than spectroscopic techniques, to predict the vase life of roses, suggesting the potential for predicting the blooming of cut lily flowers. However, unlike spectroscopic techniques, hyperspectral images are challenging to analyze due to certain factors, such as the high correlation of adjacent bands, thereby requiring deep learning and machine learning to analyze the data [24,25,26]. Therefore, this study aimed to determine the predictability of the blooming day of cut lily flowers using spectral data acquired by a hyperspectral camera.

2. Materials and Methods

The material used in this study was the Lilium longiflorum “Woori Tower” cultivar harvested at the bud stage in January 2023 from a farm located in Asan, Chungcheongnam-do, South Korea.
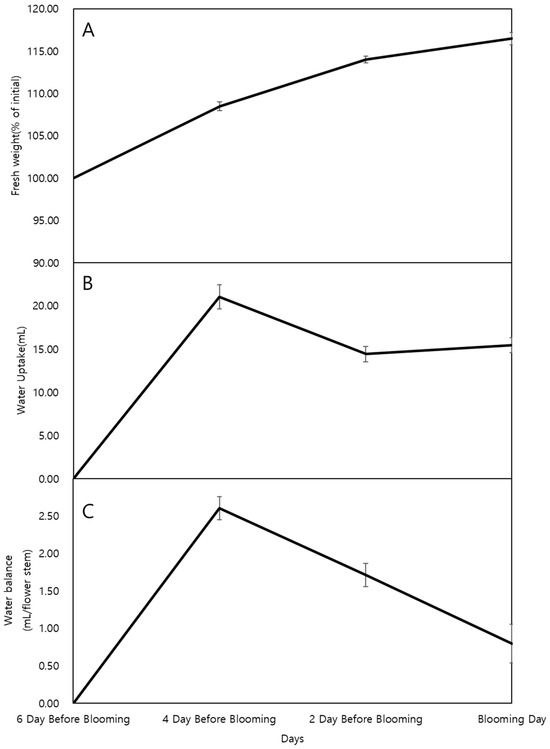
After selecting ten uniformly cut lilies, the stems were trimmed to 55 cm and placed in a triangular flask filled with 500 mL of distilled water. Quality assessment was conducted at 2-day intervals, evaluating flower opening stage, fresh weight change, water uptake, and water balance. The flower opening stage was categorized into stages 1–5 (Figure 1). Fresh weight, water uptake, and water balance were calculated using the formulas below. Fresh weight = experiment day’s weight − first day’s weight/first day’s weight × 100. Water uptake = experiment day’s weight − previous experiment day’s weight. Water balance = water uptake − {before previous day’s (container + solution) weight − experiment day’s (container + solution + transpired amount)}.
Figure 1. Flower opening stages of cut lily flowers.
Hyperspectral images of eight cut lilies (excluding two specimens that were not in full bloom) were acquired at 2-day intervals using a snap-scan type hyperspectral camera (msCAM, Imec, Leuven, Belgium).
The wavelength range of a hyperspectral camera was 470 to 900 nm, and the number of bands was 150. The imaging environment was set up in a dark room with eight halogen lamps that were evenly spaced to provide a light intensity of 2000 lux for the cut lily flower.
Before imaging the cut lily flower, the system was calibrated with a 95% white reference plate, followed by an 8 s exposure at 2048 × 2048 pixels using a hyperspectral image (HSI) snap-scan provided by Imec to acquire hyperspectral images. The acquired hyperspectral images were used to measure reflectance as a function of wavelength in HSI Studio. Reflectance measurements were taken in five replicates from one flower.
Matlab R2023b (Mathworks, Natick, MA, USA) was used for the reflectance classification of the acquired hyperspectral spectra (24 data sets using all 150 bands), and 6 SVM models provided by Matlab were used. Linear, quadratic, cubic, coarse Gaussian, medium Gaussian, and fine Gaussian SVMs were used, with the following kernel functions (Table 1).
Table 1. Kernal functions for the support vector machines.

3. Results

3.1. Blooming Characteristics of Cut Lily Flowers

Upon investigating the flower opening stage of the Lilium longiflorum “Woori Tower” cultivar, most individuals were at stage 2.9 on Day 7 of the experiment (Table 2). Consequently, Day 7 was designated as the blooming day of the “Woori Tower” cut lilies. In reverse order, Day 5 was designated as two days before blooming, Day 3 as four days before blooming, and Day 1 as six days before blooming.
Table 2. Flower opening stages of cut lilies toward the predicted blooming day.
Among the water-related indices, the water balance, which indicates the water-holing capacity of cut flowers, increased until four days before the blooming day, then began to decrease and approached zero on the blooming day, indicating a drop in water content (Figure 2).
Figure 2. Change in fresh weight (A), water uptake (B), and water balance (C) toward the predicted blooming day.

3.2. Spectral and Water Characteristics of Cut Lilies Based on the Predicted Blooming Day

In the near-infrared region, 750–900 nm corresponds to the second overtone of the O-H structure water molecules and is closely associated with water [27]. As cut lily flowers bloom, their reflectance in this water-associated near-infrared region decreases (Figure 3). Reflectance declined significantly toward the blooming day, with six days before the blooming day and four days before the blooming day showing a reflectance of over 75%, while it was around 55% two days before the blooming day and around 30% on the blooming day. This was found to be consistent with the reduction in the water-related indices of cut lilies, depending on the predicted blooming day (Figure 3).
Figure 3. Spectral reflectance of cut lily flowers based on the predicted blooming day.
The region of 680–750 nm is known as the red-edge band, which is the middle region of the plant where a sharp transition occurs from low reflectance red wavelengths to near-infrared wavelengths with increased reflectance, and this part of the plant is sensitive to the chlorophyll concentration of the plant [27,28,29,30]. The reflectance of the cut lilies also showed a sharp increase in that region. However, it was found to increase moderately as the blooming day approached, possibly because the green color remained green in the bud but decreased toward blooming.

3.3. Results of Classification Learning from Hyperspectral Spectra

When training support vector machines (SVMs) by kernel function, quadratic SVMs had the highest accuracy at 84.4%, followed by the linear SVM at 83.8%, the cubic SVM at 79.7%, the medium Gaussian SVM at 35.9%, and the coarse Gaussian SVM at 34.4% (Table 3). The quadratic and linear SVMs are more than 80.0% accurate, likely due to the kernel’s lower order, making the residuals more consistent in trend with a reduced standard deviation. The lower accuracy of the cubic SVM compared to the quadratic and linear SVMs is attributed to the higher order of the kernel, which leads to a randomized distribution, resulting in lower accuracy [31].
Table 3. SVM model accuracy by function.
The relatively low accuracy of medium and coarse Gaussian SVMs suggests that they are unsuitable for this study with small data, and the kernel is suitable for the nonlinear classification of big data.
The most crucial wavelength in the quadratic SVM with the highest accuracy was 842.3 nm, and the least important wavelength was 700.0 nm. This was consistent with Figure 3, where the reflectance at the 842.3 nm wavelength decreased toward the blooming day.
The reliability of the quadratic SVM with the highest accuracy was verified by measuring the area under the curve (ACU) of the receiver operating characteristic, and by curve plotting the proportion of correct predictions (true positive rate: TPR) and the proportion of incorrect predictions (false positive rate: FPR) for each predicted blooming day. The ACU on the blooming day was the highest at 0.99 and the lowest at 0.88 at 4 days before the blooming day, but both were above 0.8, which was considered the standard for ACU accuracy. Therefore, among the six kernel functions, an SVM with a quadratic kernel function is the best for spectral classification by the predicted blooming day (Table 3, Figure 4).
Figure 4. Artificial intelligence learning outcomes for cut lily flowers based on the predicted blooming day.

4. Discussion

This study aimed to determine the predictability of the blooming day of cut lilies using a hyperspectral camera and SVM. In this study, the analysis of spectral reflectance from hyperspectral images revealed a decrease in moisture-related wavelengths toward blooming. Among the six SVM kernel functions tested (linear, quadratic, cubic, coarse Gaussian, medium Gaussian, and fine Gaussian), the quadratic SVM demonstrated the highest accuracy at 84.4%, with ACUs exceeding 0.8 for each predicted blooming day, suggesting its efficacy in predicting the blooming day of cut lilies. The ability to predict blooming using extracted spectra suggests the potential for the future prediction of blooming day, vase life, and quality of cut lilies solely from hyperspectral images.
Additionally, spectral analysis from hyperspectral imaging showed a decrease in reflectance within the water-associated wavelength region (750–900 nm) toward blooming, aligning with water-related indices. Following SVM classification of the acquired spectra using six kernel functions (linear, quadratic, cubic, coarse Gaussian, medium Gaussian, and fine Gaussian), the quadratic kernel function achieved an accuracy of 84.4% with an ACU exceeding 0.8, rendering it the optimal choice for classifying the blooming day of cut lilies. This study has facilitated the spectral classification of cut lilies based on their blooming day, suggesting the future utilization of hyperspectral images for predicting the blooming day, vase life, and quality of cut lilies.

Author Contributions

Conceptualization, S.K.; methodology, S.K.; software, S.K.; validation, S.K.; formal analysis, S.K. and A.L.; investigation, S.K.; writing—original draft preparation, S.K.; writing—review and editing, A.L. and S.K.; visualization, S.K.; supervision, A.L.; project administration, A.L.; funding acquisition, A.L. All authors have read and agreed to the published version of the manuscript.

Funding

This work was supported by the Korea Institute of Planning and Evaluation for Technology in Food, Agriculture, and Forestry (IPET) through the High Value-added Food Technology Development Program, funded by the Ministry of Agriculture, Food, and Rural Affairs (MAFRA) (RS-2022-IP322053).

Data Availability Statement

The datasets presented in this study are available upon request to the corresponding author.

Conflicts of Interest

The authors declare no conflicts of interest.

References

  1. Ministry of Agriculture, Food and Rural Affairs. Flower Cultivation Status; Ministry of Agriculture, Food and Rural Affairs: Sejong, Republic of Korea, 2021; pp. 41–60.
  2. Korea Agro-Fisheries & Food Trade Corporation. Agriculture and Forestry Export & Import Statistic. 2022; Korea Agro-Fisheries & Food Trade Corporation: Naju, Republic of Korea, 2023; pp. 21–24. [Google Scholar]
  3. Kim, S.; Kim, J. Analysis on the production and consumption of the cut lily bulb in world market. Korean J. Agric. Sci. 2015, 42, 73–79. [Google Scholar] [CrossRef][Green Version]
  4. Lim, M.; Lee, S.; Kim, W. Effects of pretreatment and wet storage on quality and vase life of cut lily flowers under simulated exportation. Flower Res. J. 2016, 24, 140–144. [Google Scholar] [CrossRef]
  5. Vignati, S.; Tugnolo, A.; Giovenzana, V.; Pampuri, A.; Casson, A.; Guidetti, R.; Beghi, R. Hyperspectral Imaging for Fresh-Cut Fruit and Vegetable Quality Assessment: Basic Concepts and Applications. Appl. Sci. 2023, 13, 9740. [Google Scholar] [CrossRef]
  6. Necati, C.; Kevser, K.; Erhan, K.; Bekir, Y.; Ahmad, J. Using hyperspectral imaging technology and machine learning algorithms for assessing internal quality parameters of apple fruits. Chemom. Intell. Lab. Syst. 2022, 230, 104650. [Google Scholar] [CrossRef]
  7. Gao, Z.; Shao, Y.; Xuan, G.; Wang, Y.; Liu, Y.; Han, X. Real-time hyperspectral imaging for the in-field estimation of strawberry ripeness with deep learning. Artif. Intell. Agric. 2020, 4, 31–38. [Google Scholar] [CrossRef]
  8. Dung, C.D.; Trueman, S.J.; Wallace, H.M.; Farrar, M.B.; Gama, T.; Tahmasbian, I.; Bai, S.H. Hyperspectral imaging for estimating leaf, flower, and fruit macronutrient concentrations and predicting strawberry yields. Environ. Sci. Pollut. Res. 2023, 30, 114166–114182. [Google Scholar] [CrossRef] [PubMed]
  9. Han, Y.; Bai, S.H.; Trueman, S.J.; Khoshelham, K.; Kamper, W. Predicting the ripening time of ‘Hass’ and ‘Shepard’ avocado fruit by hyperspectral imaging. Precis. Agric. 2023, 24, 1889–1905. [Google Scholar] [CrossRef]
  10. Min, D.; Zhao, J.; Bodner, G.; Ali, M.; Li, F.; Zhang, X.; Rewald, B. Early decay detection in fruit by hyperspectral imaging–Principles and application potential. Food Control. 2023, 152, 109830. [Google Scholar] [CrossRef]
  11. Xiaolei, G.; Yogesj, K.; Tie, L.; Alina, Z. Evaluation of Postharvest Senescence of Broccoli via Hyperspectral Imaging. Plant Phenomics 2022, 2022, 9761095. [Google Scholar] [CrossRef]
  12. Kim, H.S.; Yoo, J.H.; Park, S.H.; Kim, J.S.; Chung, Y.; Kim, J.H.; Kim, H.S. Measurement of environmentally influenced variations in anthocyanin accumulations in Brassica rapa subsp. Chinensis (Bok Choy) using hyperspectral imaging. Front. Plant Sci. 2021, 12, 693854. [Google Scholar] [CrossRef]
  13. Liu, Y.; Zhou, X.; Sun, J.; Li, B.; Ji, J. A Method for Non-destructive Detection of Moisture Content in Oilseed Rape Leaves Using Hyperspectral Imaging Technology. J. Nondestruct. Eval. 2024, 43, 32. [Google Scholar] [CrossRef]
  14. Song, H.; Yoon, S.R.; Dang, Y.M.; Yang, J.S.; Hwang, I.M.; Ha, J.H. Nondestructive classification of soft rot disease in napa cabbage using hyperspectral imaging analysis. Sci. Rep. 2022, 12, 14707. [Google Scholar] [CrossRef] [PubMed]
  15. Siripatrawan, U.; Makino, Y.; Kawagoe, Y.; Oshita, S. Rapid detection of Escherichia coli contamination in packaged fresh spinach using hyperspectral imaging. Talanta 2011, 85, 276–281. [Google Scholar] [CrossRef] [PubMed]
  16. He, J.; Zhu, S.; Chu, B.; Bai, X.; Xiao, Q.; Zhang, C.; Gong, J. Nondestructive determination and visualization of quality attributes in fresh and dry chrysanthemum morifolium using near-infrared hyperspectral imaging. Appl. Sci. 2019, 9, 1959. [Google Scholar] [CrossRef]
  17. Wang, J.; Tian, Y.; Zhang, R.; Liu, Z.; Tian, Y.; Dai, S. Multi-information model for Large-flowered chrysanthemum cultivar recognition and classification. Front. Plant Sci. 2022, 13, 806711. [Google Scholar] [CrossRef] [PubMed]
  18. Kim, Y.T.; Ha, S.T.T.; In, B.C. Development of a longevity prediction model for cut roses using hyperspectral imaging and a convolutional neural network. Front. Plant Sci. 2024, 14, 1296473. [Google Scholar] [CrossRef] [PubMed]
  19. Cai, Z.; He, M.; Li, C.; Qi, H.; Bai, R.; Yang, J.; Zhang, C. Identification of chrysanthemum using hyperspectral imaging based on few-shot class incremental learning. Comput. Electron. Agric. 2023, 215, 108371. [Google Scholar] [CrossRef]
  20. Zhao, Y.; Yu, K.; He, Y. Detection of Fungus Infection on Petals of Rapeseed (Brassica napus L.) Using NIR Hyperspectral Imaging. Sci. Rep. 2016, 6, 38878. [Google Scholar] [CrossRef]
  21. Lee, J.H.; Choi, S.Y.; Park, H.M.; Oh, S.I.; Lee, A.K. Prediction of the vase life of cut lily flowers using thermography. J. People Plants Environ. 2019, 22, 233–239. [Google Scholar] [CrossRef]
  22. Choi, S.Y.; Lee, A.K. Development of a cut rose longevity prediction model using thermography and machine learning. Hortic. Sci. Technol. 2020, 38, 675–685. [Google Scholar] [CrossRef]
  23. Neto, A.J.S.; Grossi, J.A.; Lopes, D.C.; Anastacio, E.A. Potential of spectral reflectance as postharvest classification tool for flower development of calla lily (Zantedeschia aethiopica (L.) Spreng.). Chil. J. Agric. Res. 2009, 69, 588–592. [Google Scholar] [CrossRef]
  24. Seo, Y.; Kim, G.; Lim, J.; Lee, A.; Kim, B.; Jang, J.; Mo, C.; Kim, M.S. Non-destructive detection pilot study of vegetable organic residues using VNIR hyperspectral imaging and deep learning techniques. Sensors 2021, 21, 2899. [Google Scholar] [CrossRef] [PubMed]
  25. Lee, M.; Kim, K.; Min, K.; Son, D.; Kim, J.; Kim, S. Recent Trends of Hyperspectral Imaging Technology. Electron. Telecommun. Trends 2019, 34, 86–97. [Google Scholar] [CrossRef]
  26. Saha, D.; Manickavasagan, A. Machine learning techniques for analysis of hyperspectral images to determine quality of food products: A review. Curr. Res. Food Sci. 2021, 4, 28–44. [Google Scholar] [CrossRef] [PubMed]
  27. Cho, M.A.; Skidmore, A.K. A new technique for extracting the red edge position from hyperspectral data: The linear extrapolation method. Remote Sens. Environ. 2006, 101, 181–193. [Google Scholar] [CrossRef]
  28. Dash, J.; Curran, P. Evaluation of the MERIS terrestrial chlorophyll index (MTCI). Adv. Space Res. 2007, 39, 100–104. [Google Scholar] [CrossRef]
  29. Herrmann, I.; Pimstein, A.; Karnieli, A.; Cohen, Y.; Alchanatis, V.; Bonfil, D. LAI assessment of wheat and potato crops by VENμS and Sentinel-2 bands. Remote Sens. Environ. 2011, 115, 2141–2151. [Google Scholar] [CrossRef]
  30. Lee, H.S.; Lee, K.S. Effect of red-edge band to estimate leaf area index in close canopy forest. Korean J. Remote Sens. 2017, 33, 571–585. [Google Scholar] [CrossRef]
  31. Lee, D.; Kang, S.; Kang, M.; Lee, S.; Hyun, S.; Kim, C. Modeling of laser welds using machine learning algorithm part I: Penetration depth for laser overlap Al/Cu dissimilar metal welds. J. Weld. Join. 2021, 39, 27–35. [Google Scholar] [CrossRef]
Disclaimer/Publisher’s Note: The statements, opinions and data contained in all publications are solely those of the individual author(s) and contributor(s) and not of MDPI and/or the editor(s). MDPI and/or the editor(s) disclaim responsibility for any injury to people or property resulting from any ideas, methods, instructions or products referred to in the content.

Article Metrics

Citations

Article Access Statistics

Multiple requests from the same IP address are counted as one view.