Sign in to use this feature.

Years

Between: -

Subjects

remove_circle_outline
remove_circle_outline
remove_circle_outline
remove_circle_outline
remove_circle_outline
remove_circle_outline
remove_circle_outline
remove_circle_outline
remove_circle_outline

Journals

remove_circle_outline
remove_circle_outline
remove_circle_outline
remove_circle_outline
remove_circle_outline
remove_circle_outline
remove_circle_outline
remove_circle_outline
remove_circle_outline
remove_circle_outline
remove_circle_outline
remove_circle_outline
remove_circle_outline

Article Types

Countries / Regions

remove_circle_outline
remove_circle_outline
remove_circle_outline
remove_circle_outline
remove_circle_outline
remove_circle_outline
remove_circle_outline
remove_circle_outline

Search Results (1,605)

Search Parameters:
Keywords = flood vulnerability

Order results
Result details
Results per page
Select all
Export citation of selected articles as:
17 pages, 921 KB  
Article
Characterization and Dynamics of the Beach Transition Zone: Insights from Southwestern Rhode Island, U.S.A
by Bess Points and John P. Walsh
J. Mar. Sci. Eng. 2026, 14(8), 753; https://doi.org/10.3390/jmse14080753 - 20 Apr 2026
Abstract
Oceanfront relief varies along coastlines and serves as the first barrier to wave and surge damage. However, forecasted increases in storm frequency and sea levels are anticipated to enhance coastal erosion, potentially weakening this protection. The land–sea transition is variable along the New [...] Read more.
Oceanfront relief varies along coastlines and serves as the first barrier to wave and surge damage. However, forecasted increases in storm frequency and sea levels are anticipated to enhance coastal erosion, potentially weakening this protection. The land–sea transition is variable along the New England coast, USA, and this variability has produced a range of coastal morphologies that can vary over short distances. It is important to track the beach transition zone to better understand transformations of the system and related hazard risks. A combination of field and computer-based methods was used to evaluate the beach transition zone of southwestern Rhode Island to determine alongshore variability and dynamics. More specifically, a decadal-scale study was conducted to examine changes in morphology from 2011 to 2022, and a short-term study at South Kingstown Town Beach examined changes from November 2023 to January 2024 using time-series drone-derived elevations. Classification of over 500 cross-shore transects illustrated the dominance of sedimentary shorelines, with smaller areas of rocky outcrops and hardening. Analysis of four different years (2011, 2014, 2018, and 2022) determined that beaches with dune morphology were the most common type of transition zone (41–47% of the transects) and transects with a high bank upland were the next most frequent class (34–41%). Following Hurricane Sandy in 2012, a 6% decrease in the number of dune-classified transects was measured; however, one-third of those recovered dune morphology by 2022. The greatest beach transformations over the short-term study occurred in response to strong storms in the 2023–2024 winter season, during which lateral beach movement (erosion) exceeded 15 m in portions of South Kingstown Town Beach. Dune erosion was accompanied by overwash flooding and deposition, and the area remained low-lying and thus vulnerable to future impacts. The beach transition zone classification and insights from this research will be informative for future planning by coastal communities by determining at-risk shorelines based on underlying geology and the stability of morphological features. Full article
(This article belongs to the Special Issue Marine and Coastal Processes in a Changing Climate)
17 pages, 615 KB  
Article
From Flood Resilience to Value-Driven Action: Reimagining Human–Nature Relationships in a Coastal Living Lab
by Jacek Barańczuk, Ann-Marie Nienaber, Katarzyna Barańczuk, Iason Tamiakis, Grzegorz Masik, Kindy Sandhu and Irini Theodorakopoulou
Sustainability 2026, 18(8), 4087; https://doi.org/10.3390/su18084087 - 20 Apr 2026
Abstract
This paper explores the behavioural change process initiated within the Gdańsk Coastal City Living Lab (CCLL)—a site-based effort, initiated under the H2020 SCORE project and significantly deepened through the Horizon Europe PRO-CLIMATE project—through the lens of transforming human–nature relationships for sustainable urban biodiversity [...] Read more.
This paper explores the behavioural change process initiated within the Gdańsk Coastal City Living Lab (CCLL)—a site-based effort, initiated under the H2020 SCORE project and significantly deepened through the Horizon Europe PRO-CLIMATE project—through the lens of transforming human–nature relationships for sustainable urban biodiversity conservation. While SCORE established the technical baseline for Nature-based Solutions (NbSs), PRO-CLIMATE provides the critical behavioural framework to ensure these solutions are socially adopted and sustained. Located in a flood-prone coastal city, the Gdańsk CCLL addresses the critical need for nature-based solutions (NbSs) in minimizing the negative impacts of climate change, particularly pluvial flooding. At the heart of this initiative is a participatory change process facilitated by local Change Agents in collaboration with key stakeholders across water management, local government, academia, and civil society. Drawing on interdisciplinary insights from social science, the paper uses the Nature Futures Framework to analyse how conservation actions are influenced by the relational, intrinsic, and instrumental values that stakeholders and residents attach to nature. The paper situates these values in the Gdańsk context and examines how they shape motivations and willingness to engage in urban NbS, such as green roofs, retention parks, and rainwater gardens. The study presents qualitative findings from stakeholder engagement workshops, Change Agents’ reflections, and support mechanisms from behavioural change experts. It evaluates how behavioural change was facilitated through shared vision building, feedback loops, and trust-based relationships, and how barriers were negotiated. A key contribution of the paper is the exploration of how bottom-up and top-down processes intersect in urban adaptation strategies and how behavioural change frameworks can be designed to institutionalise sustainable human–nature interactions in urban governance. The Gdańsk case offers transferable insights for other cities facing climate vulnerabilities while striving to embed biodiversity conservation into everyday practice. Full article
(This article belongs to the Section Air, Climate Change and Sustainability)
Show Figures

Figure 1

22 pages, 944 KB  
Article
Hybrid Application of Multi-Criteria Decision-Making Methods for Municipal Investments: A Case Study Focusing on Equity in Istanbul
by Melike Cari, Betul Kara, Nezir Aydin, Bahar Yalcin Kavus, Tolga Kudret Karaca and Ertugrul Ayyildiz
Mathematics 2026, 14(8), 1356; https://doi.org/10.3390/math14081356 - 18 Apr 2026
Viewed by 62
Abstract
Equitable prioritization of public investments is increasingly critical as municipalities face constrained budgets, heterogeneous neighborhood needs, and demands for transparent decisions. This paper proposes a fairness-aware group multi-criteria decision-making (MCDM) framework for ranking municipal infrastructure investments when budgets are constrained, and neighborhood needs [...] Read more.
Equitable prioritization of public investments is increasingly critical as municipalities face constrained budgets, heterogeneous neighborhood needs, and demands for transparent decisions. This paper proposes a fairness-aware group multi-criteria decision-making (MCDM) framework for ranking municipal infrastructure investments when budgets are constrained, and neighborhood needs differ. Six alternatives are assessed in the Istanbul case study: flood risk mitigation, inclusive public realm and cooling, smart and energy-efficient municipal assets, walking and cycling infrastructure, healthcare access improvements, and seismic retrofitting of public buildings. The criteria system combines efficiency, implementability, socio-environmental performance, and equity-oriented priorities through five main dimensions and 23 sub-criteria. In addition to cost, feasibility, and service effectiveness, the framework incorporates fairness-related criteria such as baseline need and deficit severity, vulnerability-targeting effectiveness, minimum service guarantee for the worst-off, and priority for low-accessibility centers. Public acceptance and environmental performance are also included. Stakeholder panels provide expert judgments using intuitionistic fuzzy sets, capturing membership, non-membership, and hesitation to reflect uncertainty. Criteria weights are derived with Intuitionistic Fuzzy Step-wise Weight Assessment Ratio Analysis (IF-SWARA), enabling importance elicitation and group aggregation without forcing crisp consensus. Alternatives are then ranked using Intuitionistic Fuzzy Combined Compromise Solution (IF-CoCoSo), which blends additive and multiplicative compromise solutions to balance overall performance with equity objectives. Robustness is assessed through sensitivity analysis by varying the γ parameter within the IF-CoCoSo procedure. A municipal case study demonstrates that healthcare access improvements achieve the highest compromise performance, followed by flood risk mitigation and seismic retrofitting of public buildings, while smart and energy-efficient municipal assets rank last. The findings confirm that explicitly embedding fairness criteria can shift municipal priorities toward alternatives that more directly reduce deprivation, risk, and spatial inequality. The main contribution of this study is not merely empirical application, but the development of a fairness-aware group MCDM framework that operationalizes distributive justice in municipal investment prioritization through a structured set of criteria. Full article
(This article belongs to the Special Issue Advances in Multi-Criteria Decision Making Methods with Applications)
Show Figures

Figure 1

29 pages, 9655 KB  
Article
Dynamic Flood Risk Assessment in Shenzhen Integrating Ensemble Voting Algorithms and Machine Learning
by Donghai Yuan, Yizhuo Li, Chenling Yan and Yingying Kou
Sustainability 2026, 18(8), 4008; https://doi.org/10.3390/su18084008 - 17 Apr 2026
Viewed by 90
Abstract
To accurately evaluate flood susceptibility in Shenzhen and support long-term flood control planning, this study develops a GIS-based multi-model machine learning framework. Nine factors—including elevation, slope, and distance to rivers—were selected, with multicollinearity ruled out via Pearson correlation and VIF tests. A balanced [...] Read more.
To accurately evaluate flood susceptibility in Shenzhen and support long-term flood control planning, this study develops a GIS-based multi-model machine learning framework. Nine factors—including elevation, slope, and distance to rivers—were selected, with multicollinearity ruled out via Pearson correlation and VIF tests. A balanced sample set comprising 741 historical waterlogging points (2020–2024) and equal non-waterlogging sites was constructed. In addition to comparing five base models (Decision Tree, SVM, Logistic Regression, Naïve Bayes, LDA), the study introduces a voting ensemble for model integration and applies SHAP for both global and local interpretability. Key findings include: (1) improved predictive accuracy and robustness via ensemble learning (AUC = 0.8131), outperforming individual models; (2) flood susceptibility mapping reveals a distinct spatial pattern—higher risk in western coastal areas and lower risk in eastern mountainous zones—with 68.3% of historical waterlogging points located in high-susceptibility zones. The model is trained on waterlogging records from 2020 to 2024, which may not fully capture longer-term climatic or urban dynamics. This work directly supports sustainable urban development by providing a replicable framework for flood risk mitigation that reduces long-term economic and social vulnerabilities. Full article
Show Figures

Figure 1

20 pages, 1517 KB  
Article
The Waterlogging Resilience Assessment of Metro Stations with the Entropy Weight–TOPSIS Method: A Case Study in Changsha, China
by Jiashan Zhang, Chenhui Liu and Cuizhu Zhou
Appl. Sci. 2026, 16(8), 3881; https://doi.org/10.3390/app16083881 - 16 Apr 2026
Viewed by 163
Abstract
The underground urban rail transit (URT) is usually vulnerable to waterlogging caused by rainstorms, and floods run into the URT systems mainly via stations. Because of the increasing rainstorms due to global warming, assessing and improving the waterlogging resilience of URT stations is [...] Read more.
The underground urban rail transit (URT) is usually vulnerable to waterlogging caused by rainstorms, and floods run into the URT systems mainly via stations. Because of the increasing rainstorms due to global warming, assessing and improving the waterlogging resilience of URT stations is essential for preventing flooding disasters in URT. Here, an entropy weight–TOPSIS method is proposed to assess the waterlogging resilience of metro stations in Changsha, China. Firstly, 20 assessment indicators were selected from stability, resistance, and recovery of the system, respectively. Then, the entropy weight method was used to determine the objective weight of each indicator, and the TOPSIS method was applied to calculate the resilience index of metro stations. The results indicate that among the 137 metro stations, there are 26 low-resilience ones, 64 medium-resilience ones, and 47 high-resilience ones. The waterlogging resilience of metro stations shows a decreasing trend from the urban periphery to the urban center, and the low-resilience stations are predominantly located in the eastern low-altitude flat areas of Changsha. Finally, the countermeasures are proposed to improve the resilience of metro stations. Full article
20 pages, 20095 KB  
Article
Public Response and Emotional Evolution in Extreme Precipitation Events Based on Social Media Big Data: A Case Study of “7·31” Heavy Rain in Beijing in 2023
by Min Li, Xun Zhang, Rui Zhou, Su Li, Jin Zou, Ke Guo and Yuchai Wan
Appl. Sci. 2026, 16(8), 3859; https://doi.org/10.3390/app16083859 - 16 Apr 2026
Viewed by 203
Abstract
Based on Weibo big data, BERTopic, and dual-channel sentiment analysis model, a dynamic analysis framework of public perception and emotion evolution is constructed from the perspective of disaster chain and public response. The results show that (1) Due to the trust of information [...] Read more.
Based on Weibo big data, BERTopic, and dual-channel sentiment analysis model, a dynamic analysis framework of public perception and emotion evolution is constructed from the perspective of disaster chain and public response. The results show that (1) Due to the trust of information sources by the public, the efficiency of early warning information reaching the public and attracting attention is relatively high. Social media activity on related topics peaked several times in response to reports of major hazards, such as railway suspensions, passengers trapped in trains, and severe flooding in Miyun District, Beijing. (2) The evolution of topics of public attention strongly corresponds to the disaster process: From early warning and emergency risk avoidance, gradually move to disaster report and rescue coordination, and finally focus on the criticism of infrastructure vulnerability. (3) The emotional response presents phased characteristics. At the initial stage of the rainstorm red warning issued by the meteorological department, anxiety is dominant; after the release of rescue information, emotion rises briefly, and reflection and attribution tendencies generally appear after the disaster. (4) Elderly populations and those in remote areas exhibit characteristics of vulnerability, information isolation, and high dependency in response to disasters. Full article
Show Figures

Figure 1

22 pages, 437 KB  
Article
Resource Loss, Slow Violence, and Psychosocial Stress: The 2022 Pearl River Flood in Jackson, Mississippi
by Duane A. Gill, Liesel A. Ritchie, Adam M. Straub, J. Micah Roos, Erin Y. Boyle and Thomas M. Kersen
Soc. Sci. 2026, 15(4), 254; https://doi.org/10.3390/socsci15040254 - 15 Apr 2026
Viewed by 173
Abstract
In August 2022, the Pearl River flooded portions of Jackson, Mississippi and temporarily closed the city’s water treatment plant, leaving most citizens without access to safe drinking and potable water for more than a month. This event punctuated an ongoing water crisis that [...] Read more.
In August 2022, the Pearl River flooded portions of Jackson, Mississippi and temporarily closed the city’s water treatment plant, leaving most citizens without access to safe drinking and potable water for more than a month. This event punctuated an ongoing water crisis that had lingered for decades in this predominately African American city. We employ a social production of disaster approach to reveal aspects of slow violence perpetrated against disadvantaged peoples that increased their collective vulnerability to flood risks and limited their access to safe water. Using survey data collected one year after the flood, we examine event-related psychosocial stress as measured by the Impact of Event Scale and associated risk factors related to Conservation of Resources Theory. Multivariate analysis indicates that resource losses from the flood, health concerns about water quality, and trust in government were significantly related to elevated levels of psychosocial stress. Although the 2022 Pearl River flood can be treated as a discrete event, a social production of disaster perspective situates the flood in terms of its cascading effects and cumulative impacts on the city’s water infrastructure and citizens who depend on it. Full article
26 pages, 4037 KB  
Article
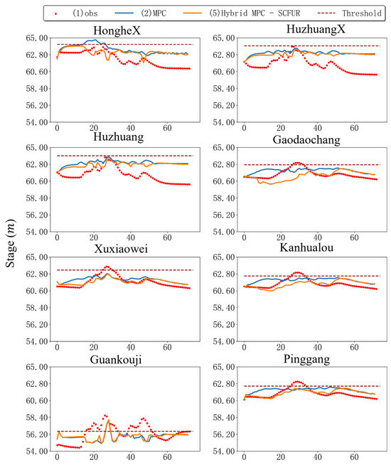
Hybrid Model Predictive Control for Sustainable Flood Management and Rainwater Resource Utilization in Open-Channel Irrigation Systems
by Wentao Hou, Shaohui Zhang, Ningjun Zeng, Wei Dai, Haorui Chen, Juyan Mu, Boxiong Zhang and Meijian Bai
Sustainability 2026, 18(8), 3896; https://doi.org/10.3390/su18083896 - 15 Apr 2026
Viewed by 167
Abstract
During the rainy season, open-channel irrigation systems (OCISs) in the hilly regions of southern China simultaneously undertake flood discharge and storage tasks, which are critical for flood mitigation, rainwater resource utilization, and long-term water security in climate-vulnerable monsoon regions. However, existing methods typically [...] Read more.
During the rainy season, open-channel irrigation systems (OCISs) in the hilly regions of southern China simultaneously undertake flood discharge and storage tasks, which are critical for flood mitigation, rainwater resource utilization, and long-term water security in climate-vulnerable monsoon regions. However, existing methods typically adopt a decoupled framework that separates optimization calculations from rule corrections, often leading to repeated “optimize–correct–reoptimize” iterations and struggling to coordinate the coupling between channel water level evolution and gate operation rules, resulting in frequent gate movements, intensified water level fluctuations, and elevated operational risks. To address these challenges, this study proposes a hybrid model predictive control method (HyMPC) for flood regulation in irrigation canal systems. The method jointly optimizes discrete gate opening and closing states with continuous water level dynamics within a receding prediction horizon. It employs discrete variables to represent gate states and water level zoning, continuous variables to describe channel water level processes, and an integrator-delay model to establish bidirectional coupling between them, enabling coordinated gate group control under combined flood discharge and storage conditions. Taking the flood event from 17 to 20 July 2020, in the Shi River Irrigation District, Anhui Province, China, as a case study, the proposed method was validated through comparative experiments. Results show that, compared with conventional MPC-based canal control models, the method improves gate regulation smoothness (13.33% reduction in the dimensionless integrated absolute flow change), water level stability (26.08% reduction in the high-frequency component of water level fluctuations), and rainwater resource utilization efficiency (6.98% improvement). Scenario analysis further demonstrates that the method can effectively enhance regulation stability and rainwater resource utilization while ensuring flood safety, providing a robust technical pathway and quantifiable tool for adaptive, integrated flood–drought management in irrigation canal systems. Full article
Show Figures

Figure 1

20 pages, 21157 KB  
Article
Climate Change and Subsidence in Metro Manila: Relative Sea-Level Projections Through Tide-Gauge Records and Satellite Altimetry up to 2150
by Daniel Ibarra-Marinas, Laura Marcela Silva-Mendoza, Dulce Mata-Chacón and Francisco Belmonte-Serrato
Geographies 2026, 6(2), 41; https://doi.org/10.3390/geographies6020041 - 14 Apr 2026
Viewed by 424
Abstract
Metro Manila, one of the world’s most densely populated megacities, is highly vulnerable to sea-level rise because of its low-lying deltaic location, frequent tropical cyclones, and rapid anthropogenic subsidence caused mainly by groundwater extraction. This study brings together historical tide-gauge records from the [...] Read more.
Metro Manila, one of the world’s most densely populated megacities, is highly vulnerable to sea-level rise because of its low-lying deltaic location, frequent tropical cyclones, and rapid anthropogenic subsidence caused mainly by groundwater extraction. This study brings together historical tide-gauge records from the Port of Manila (PSMSL) with the Sixth Assessment Report of Intergovernmental Panel on Climate Change (IPCC AR6) projections under Shared Socioeconomic Pathways, adding in vertical land motion (VLM) and sea-level fingerprints to work out local relative sea-level (RSL) changes. Assuming a constant subsidence rate, cumulative VLM reaches ~0.785 m by 2100 and ~1.289 m by 2150. When you factor in climatic contributions (amplified 10–20% by fingerprints, especially under high-emission scenarios thanks to far-field Antarctic ice-loss effects in the western Pacific), projected RSL ranges from 1.09–1.42 m (SSP1-2.6) to 1.51–2.00 m (SSP5-8.5) by 2100, and from 1.70–2.28 m to 2.41–3.54 m by 2150. Results show that 7.95–11.15 km2 (1.2–1.8% of land area under SSP5-8.5) could face permanent inundation, mostly in Malabon (~18%), Navotas (~20%), and Manila (~7%). Our conservative estimates (permanent ocean-connected flooding, excluding existing aquaculture areas) come in much lower than earlier mid-century projections of up to a 30% area affected. All this will worsen chronic tidal flooding, erosion, saltwater intrusion, and risks to millions in low-lying districts. We urgently need integrated adaptation, better groundwater regulation, and a mix of nature-based and engineered solutions. Full article
Show Figures

Figure 1

23 pages, 2267 KB  
Article
Risk-Driven Multi-Objective Synergistic Optimization of Grey-Green Infrastructure in High-Density Urban Areas
by Houying Xin, Soon-Thiam Khu, Xiaotian Qi, Pei Yu and Mingna Wang
Water 2026, 18(8), 934; https://doi.org/10.3390/w18080934 - 13 Apr 2026
Viewed by 270
Abstract
High-density urban areas face a critical trade-off between limited land resources and intensifying flood risks. This study develops a grey-green infrastructure (GGI) optimization framework that integrates hazard–exposure–vulnerability (H-E-V) risk assessment, surrogate modelling, and NSGA-III to simultaneously minimize cost, maximize flood control, and enhance [...] Read more.
High-density urban areas face a critical trade-off between limited land resources and intensifying flood risks. This study develops a grey-green infrastructure (GGI) optimization framework that integrates hazard–exposure–vulnerability (H-E-V) risk assessment, surrogate modelling, and NSGA-III to simultaneously minimize cost, maximize flood control, and enhance water environmental benefits. The Suqian City case study reveals: (1) Grey-green coupling significantly outperforms single green infrastructure (GI), providing an additional 7.07–23.34 percentage points in flood risk control rate (FRCR). While GI reaches a performance bottleneck at 78.59% FRCR under extreme events, the GGI configuration maintains a high efficiency of >92.74%. (2) Risk-informed spatial targeting effectively reclassifies urban vulnerability. Under a 20-year return period, high-risk and medium-high risk areas are reduced by 80.99% and 52.15%, respectively. The validated surrogate models ensure high optimization efficiency with R2 values exceeding 0.85. This framework provides a methodologically transferable decision-support tool for sponge city construction, demonstrating that strategic spatial allocation is as vital as infrastructure capacity for urban flood risk management. Full article
(This article belongs to the Special Issue "Watershed–Urban" Flooding and Waterlogging Disasters)
33 pages, 2394 KB  
Article
A Probabilistic Reliability and Risk Framework for Flood Control in Multi-Structure Complexes: Mining Site Design
by Afshin Ghahramani
Water 2026, 18(8), 916; https://doi.org/10.3390/w18080916 - 11 Apr 2026
Viewed by 240
Abstract
This paper developed a probabilistic framework for system level reliability and risk assessment that coupled hydraulic loading with structural response and explicitly modelled cascading interactions and statistical dependence between components. The contribution is a system-level reliability and risk modelling methodology that integrates dynamic [...] Read more.
This paper developed a probabilistic framework for system level reliability and risk assessment that coupled hydraulic loading with structural response and explicitly modelled cascading interactions and statistical dependence between components. The contribution is a system-level reliability and risk modelling methodology that integrates dynamic cascading interactions, non-stationary design-life reliability accumulation, and system-level optimisation within a unified Monte Carlo architecture. Dynamic Monte Carlo simulation was used to evaluate individual, joint, conditional, and system-scale probabilities of failure across varying flood magnitudes and design lives. Model verification confirmed that discretisation and sampling errors were small relative to parameter-driven variability. Results showed that long-term system reliability arose from the combined influence of flood frequency, exposure duration, and the strength of interaction between interdependent structures. Frequent loading accelerates the accumulation of failure probability through repeated events, whereas rare events contribute more slowly but dominate extreme outcomes, indicating that cumulative reliability cannot be inferred by the linear extrapolation of annual probabilities. In an examined diversion–levee–basin configuration, strong structural coupling amplified vulnerability by contracting joint stability margins and increasing conditional failure probabilities. The system-level optimisation of structural parameters over the examined design life reduced cumulative system failure probability from 0.305 to 0.153, whereas single-component optimisation redistributed risk within the system without reducing total system risk. The framework advances beyond static risk analysis by integrating time-dependent reliability, cascading dependencies, and design-life optimisation for system-scale mitigation. Full article
(This article belongs to the Section Hydraulics and Hydrodynamics)
21 pages, 9568 KB  
Article
A Multiscale FE Framework for Flood–Structure Interaction: Integrated Hydraulic Actions and Structural Damage Prediction
by Umberto De Maio, Fabrizio Greco, Paolo Lonetti and Paolo Nevone Blasi
Buildings 2026, 16(8), 1503; https://doi.org/10.3390/buildings16081503 - 11 Apr 2026
Viewed by 268
Abstract
Flood and flash flood events can generate severe hydraulic actions on civil structures, requiring modeling strategies able to link flow features to structural damage. This paper proposes a two-scale numerical framework based on advanced finite element modeling to assess the vulnerability of structures [...] Read more.
Flood and flash flood events can generate severe hydraulic actions on civil structures, requiring modeling strategies able to link flow features to structural damage. This paper proposes a two-scale numerical framework based on advanced finite element modeling to assess the vulnerability of structures subjected to inundation and flood-driven impact. At the macroscale, the flood propagation and the interaction with the built environment are simulated through the depth-averaged Shallow Water Equations, adopting a time-explicit interface treatment to capture the evolution of the free surface. The macroscale model provides time-dependent water depth and flow velocity along the external surfaces of the structure, which are then used to derive hydrostatic and hydrodynamic actions, also in comparison with code-based formulations. At the mesoscale, these actions are transferred to a detailed structural model to investigate the nonlinear mechanical response of the building. Structural components are described through a coupled damage–plasticity constitutive law, enabling the prediction of stiffness degradation, cracking-driven damage patterns, and the identification of the most critical structural zones under flood loading. The proposed workflow is finally applied to a real structure located in the municipality of Cosenza (Italy), demonstrating the capability of the approach to combine hydraulic intensity measures with physics-based structural damage assessment, supporting scenario analyses and risk mitigation evaluations. Full article
Show Figures

Figure 1

16 pages, 3267 KB  
Article
An Operational Multi-Criteria Framework for the Adaptive Reuse of Quarry Landscapes: The Cutrofiano Case Study in Southern Italy
by Alessandro Reina and Angelo Ganazzoli
Land 2026, 15(4), 626; https://doi.org/10.3390/land15040626 - 11 Apr 2026
Viewed by 341
Abstract
This article addresses the regeneration of extractive landscapes through the case study of the abandoned quarry system of Cutrofiano in the Salento region of Southern Italy, positioning the quarry as a critical interface between geology, architecture, and contemporary environmental challenges. The study aims [...] Read more.
This article addresses the regeneration of extractive landscapes through the case study of the abandoned quarry system of Cutrofiano in the Salento region of Southern Italy, positioning the quarry as a critical interface between geology, architecture, and contemporary environmental challenges. The study aims to redefine the quarry landscape not as a residual void, but as a potential ecological and cultural infrastructure. The research adopts an interdisciplinary methodology combining geomorphological and geotechnical surveys, historical and cartographic analysis, spatial interpretation, and a multi-criteria assessment framework to identify vulnerabilities and transformation potentials. The results include a strategic masterplan articulated into three integrated interventions: the conversion of the open-pit quarry into a flood-control basin for hydrogeological risk mitigation and sustainable water management; the transformation of the quarry floor into an energy park; and the design of cultural spaces for public use and territorial enhancement. These strategies demonstrate the feasibility of reconciling environmental safety, renewable energy production, and heritage valorization within a single morphological logic. The study concludes that the quarry can be reinterpreted as a regenerative landscape model, offering transferable tools for Mediterranean contexts characterized by similar geological and socio-economic conditions. Full article
Show Figures

Figure 1

22 pages, 10222 KB  
Article
Model-Based Evaluation of SUDS Efficiency in Urban Stormwater Management: A Case Study in Montería, Colombia
by Juan Pablo Medrano-Barboza, Luisa Martínez-Acosta, Alberto Flórez Soto, Guillermo J. Acuña, Fausto A. Canales, Rafael David Gómez Vásquez, Diego Armando Ayala Caballero and Suanny Sejin Cogollo
Hydrology 2026, 13(4), 111; https://doi.org/10.3390/hydrology13040111 - 10 Apr 2026
Viewed by 454
Abstract
The rapid growth of cities and expansion of impervious surfaces have intensified surface runoff problems and urban flooding risk. This scenario, exacerbated by the effects of climate change, demands sustainable and integrated solutions. Thus, this study evaluates the pre-feasibility of implementing sustainable urban [...] Read more.
The rapid growth of cities and expansion of impervious surfaces have intensified surface runoff problems and urban flooding risk. This scenario, exacerbated by the effects of climate change, demands sustainable and integrated solutions. Thus, this study evaluates the pre-feasibility of implementing sustainable urban drainage systems (SUDS) in the Monteverde neighborhood in Montería, Colombia; an area that is critically affected by floods during rainfall events. Using the storm water management model (SWMM) and hydrological simulations based on design hyetographs for different return periods, the performance of a conventional drainage system was compared with five scenarios using SUDS. To determine the modeling scenarios, a decision-making method through the analytic hierarchy process, AHP, was used to select the most appropriate SUDS. The results showed that implementing storage tanks reduces peak flows at outlets 1 and 2 up to 50%, while bioretention zones and rain gardens in isolation showed reduced effectiveness (<6%). Combining strategies slightly improves overall efficiency, although the impact keeps being dominated by tanks. This study demonstrates that the incorporation of SUDS in vulnerable urban areas lessens water risks, strengthens urban resilience, promotes rainwater harvesting, and eases the transition to a more sustainable infrastructure. In addition, it proposes a methodology that can be replicated in other similar Latin American cities. Full article
(This article belongs to the Section Water Resources and Risk Management)
Show Figures

Figure 1

12 pages, 533 KB  
Article
Flooding-Induced Mobilization of Heavy Metals in Surface Soils and Associated Carcinogenic and Non-Carcinogenic Health Risks: A Screening-Level Risk Assessment
by Nicole Montes Pérez and Tia Warrick
Int. J. Environ. Med. 2026, 1(2), 6; https://doi.org/10.3390/ijem1020006 - 10 Apr 2026
Viewed by 260
Abstract
Flooding is an increasingly frequent climate hazard with the potential to mobilize environmental contaminants and elevate human health risks. In this study, we assessed heavy metals and metalloids across five sites arranged along a flood-risk gradient from low to high. Six replicate samples [...] Read more.
Flooding is an increasingly frequent climate hazard with the potential to mobilize environmental contaminants and elevate human health risks. In this study, we assessed heavy metals and metalloids across five sites arranged along a flood-risk gradient from low to high. Six replicate samples per site (n = 30 per contaminant) were collected in a single sampling event. Contaminants were evaluated using the US Environmental Protection Agency (EPA) risk assessment framework to calculate chronic daily intake (CDI), hazard quotients (HQs), and lifetime cancer risk. Arsenic, chromium, and nickel emerged as the most concerning cancer drivers, with nickel cancer risk consistently exceeding 1 × 10−3 (equivalent to one additional cancer case per 1000 exposed individuals) and arsenic at 4.4 × 10−4 (about 1 in 2250). Lead posed non-cancer risks (HQ = 0.912, near the threshold of concern), while cobalt demonstrated a significant decreasing gradient with increasing flood-risk (p = 0.018). Arsenic and thallium more than doubled in concentration at high-flood sites relative to low-flood sites, while cadmium, cobalt, and nickel decreased. These findings suggest flooding may mobilize arsenic, lead, and thallium, while diluting or displacing other metals such as cadmium, cobalt, and nickel. Organs of concern include the liver and kidneys for arsenic, cadmium, nickel, and cobalt, the brain and bones for lead, and the lungs and liver for chromium. Although statistical significance was limited by the small sample size, effect sizes and fold-changes indicate meaningful flood-related differences. This study highlights the importance of considering flood-risk in contaminant hazard assessments and the need for flood-adaptive risk management strategies in vulnerable communities. Full article
Show Figures

Figure 1

Back to TopTop