Sign in to use this feature.

Years

Between: -

Subjects

remove_circle_outline
remove_circle_outline
remove_circle_outline
remove_circle_outline
remove_circle_outline
remove_circle_outline
remove_circle_outline
remove_circle_outline
remove_circle_outline

Journals

remove_circle_outline
remove_circle_outline
remove_circle_outline
remove_circle_outline
remove_circle_outline
remove_circle_outline
remove_circle_outline
remove_circle_outline
remove_circle_outline

Article Types

Countries / Regions

remove_circle_outline
remove_circle_outline
remove_circle_outline
remove_circle_outline
remove_circle_outline
remove_circle_outline

Search Results (560)

Search Parameters:
Keywords = flood resilience assessments

Order results
Result details
Results per page
Select all
Export citation of selected articles as:
16 pages, 1590 KB  
Article
A Methodological Exploration: Understanding Building Density and Flood Susceptibility in Urban Areas
by Nadya Kamila, Ahmad Gamal, Mohammad Raditia Pradana, Satria Indratmoko, Ardiansyah and Dwinanti Rika Marthanty
Urban Sci. 2026, 10(1), 8; https://doi.org/10.3390/urbansci10010008 - 24 Dec 2025
Abstract
Rapid urbanization in developing megacities has exacerbated hydrological imbalances, positioning urban flooding as a major environmental and socio-economic challenge of the twenty-first century. This study investigates the spatial relationship between building density, topography, and flood susceptibility in Jakarta, Indonesia—one of the most flood-prone [...] Read more.
Rapid urbanization in developing megacities has exacerbated hydrological imbalances, positioning urban flooding as a major environmental and socio-economic challenge of the twenty-first century. This study investigates the spatial relationship between building density, topography, and flood susceptibility in Jakarta, Indonesia—one of the most flood-prone urban regions globally. Employing geospatial analysis and spatial autocorrelation techniques, the research assesses how variations in land-use concentration and elevation influence the spatial clustering of flood vulnerability. The analytical framework integrates multiple spatial datasets, including Digital Elevation Models (DEMs), building footprint densities, and flood hazard maps, within a Geographic Information System (GIS) environment. Spatial statistical measures, specifically Moran’s I and Local Indicators of Spatial Association (LISA), are utilized to quantify and visualize patterns of flood susceptibility. The findings reveal that zones characterized by high building density and low elevation form statistically significant clusters of heightened flood risk, particularly within the southern and eastern subdistricts of Jakarta. The study concludes that incorporating spatially explicit and statistically rigorous methodologies enhances the accuracy of flood-risk assessments and supports evidence-based strategies for sustainable urban development and resilience planning. Full article
Show Figures

Figure 1

17 pages, 1766 KB  
Article
Detection of Nonstationarity in Peak Flow, Volume, and Duration in an Urbanizing Catchment
by Aure Flo Oraya, Eugene Herrera and Guillermo Tabios
Math. Comput. Appl. 2026, 31(1), 2; https://doi.org/10.3390/mca31010002 - 23 Dec 2025
Abstract
Urban catchments are increasingly vulnerable to hydrologic extremes driven by land-use change and climate variability, challenging the traditional assumption of stationarity. This study develops a computational framework to assess the nonstationary behavior of peak flow, volume, and duration in an urban catchment in [...] Read more.
Urban catchments are increasingly vulnerable to hydrologic extremes driven by land-use change and climate variability, challenging the traditional assumption of stationarity. This study develops a computational framework to assess the nonstationary behavior of peak flow, volume, and duration in an urban catchment in the Philippines using 39 years of daily flow records (June 1984–November 2022). Missing observations (~8% of the series) were reconstructed using multiple linear regression (MLR) and artificial neural networks (ANNs) with four predictors: daily rainfall, antecedent rainfall, antecedent flow, and built-up area index. MLR with all predictors yielded the most accurate reconstructions. Nonstationarity was detected using the Mann–Kendall test, Sen slope estimator, Pettitt test, and variance change test. Flood events were extracted using block maxima (BM) and peak-over-threshold (POT) methods. BM-based results showed stationary peak flow and volume, while duration increased by 1.78 h/year. POT analyses revealed nonstationarity across all variables, without significant shifts in variance. These findings demonstrate that methodological choices strongly influence nonstationary detection. The framework underscores the importance of reliable data reconstruction and robust statistical testing for nonstationary analysis of flood events. POT-based approaches more effectively capture evolving trends in peak flow, volume, and duration. These can be used in designing resilient infrastructure and flood risk management in urbanizing catchments. Full article
(This article belongs to the Section Engineering)
Show Figures

Figure 1

40 pages, 10864 KB  
Article
Surrogate-Based Resilience Assessment of SMRF Buildings Under Sequential Earthquake–Flood Hazards
by Delbaz Samadian and Imrose B. Muhit
Buildings 2026, 16(1), 48; https://doi.org/10.3390/buildings16010048 - 22 Dec 2025
Viewed by 106
Abstract
This study presents a framework for assessing the resilience of steel special moment-resisting frame (SMRF) buildings under sequential earthquake–flood hazards. Surrogate models, including a stacked attention-based LSTM network (Stack-AttenLSTM) and CatBoost, are developed to predict key engineering demand parameters (EDPs), particularly maximum inter-storey [...] Read more.
This study presents a framework for assessing the resilience of steel special moment-resisting frame (SMRF) buildings under sequential earthquake–flood hazards. Surrogate models, including a stacked attention-based LSTM network (Stack-AttenLSTM) and CatBoost, are developed to predict key engineering demand parameters (EDPs), particularly maximum inter-storey drift ratios (MIDRs), avoiding the need for computationally expensive nonlinear time history analysis (NLTHA). The predicted EDPs are integrated with the FEMA P-58 methodology to estimate repair costs and durations, while the REDi framework is used to capture recovery delays and functionality loss. A two-storey code-compliant SMRF building is evaluated under a design-basis earthquake (DBE) with and without a subsequent 4.0 m flood. Results show that the combined hazard nearly doubles repair costs (from 0.33 to 0.77 of replacement value), increases downtime from 194 to over 411 days, and reduces the resilience index (Ri) from 0.873 to 0.265. These findings highlight the severe impacts of cascading multi-hazard events and the need to extend performance-based design toward resilience-focused strategies. The proposed surrogate-based framework provides a practical tool for evaluating multi-hazard risks and guiding the design of more resilient structures. Full article
Show Figures

Figure 1

18 pages, 11420 KB  
Article
Applicability of UAV-Based Urban Flood Monitoring for Real-Time Evacuation Information
by Hye-Kyoung Lee, Young-Hoon Bae, Jihye Ryu and Young-Chan Kim
Sustainability 2026, 18(1), 103; https://doi.org/10.3390/su18010103 - 22 Dec 2025
Viewed by 68
Abstract
Urban floods are becoming increasingly frequent and severe, highlighting the need for real-time information that supports safe evacuation decision-making. This study proposes and validates an unmanned aerial vehicle (UAV)-based methodology for real-time urban flood monitoring using an actual flood event caused by Typhoon [...] Read more.
Urban floods are becoming increasingly frequent and severe, highlighting the need for real-time information that supports safe evacuation decision-making. This study proposes and validates an unmanned aerial vehicle (UAV)-based methodology for real-time urban flood monitoring using an actual flood event caused by Typhoon Hinnamnor at the Seondeok Intersection in Gyeongju, Republic of Korea. The method comprises three simple steps: (1) collecting UAV images and data; (2) generating spatial and terrain information through photogrammetry; and (3) estimating flood extent, depth, and volume using GIS-based analysis. A total of 796 UAV images were processed, yielding a flooded area of 3847.36 m2, a flood volume of 13,895.13 m3, and a maximum depth of 0.75 m. To assess performance, UAV-derived results were compared with XP-SWMM simulation outputs. Significant discrepancies were observed in flood extent, inundation volume, and flood persistence, indicating that hydrological models may not fully capture localized drainage failures or site-specific conditions in urban environments. These findings demonstrate that UAV-based monitoring provides a more accurate representation of actual flood and can supply high-resolution, rapidly obtainable information essential for real-time evacuation. This study provides empirical evidence of UAV applicability during the flood event itself and highlights its potential to enhance disaster-response capability, improve decision-making, and strengthen the resilience and sustainability of flood-prone urban areas. Full article
Show Figures

Figure 1

27 pages, 6672 KB  
Article
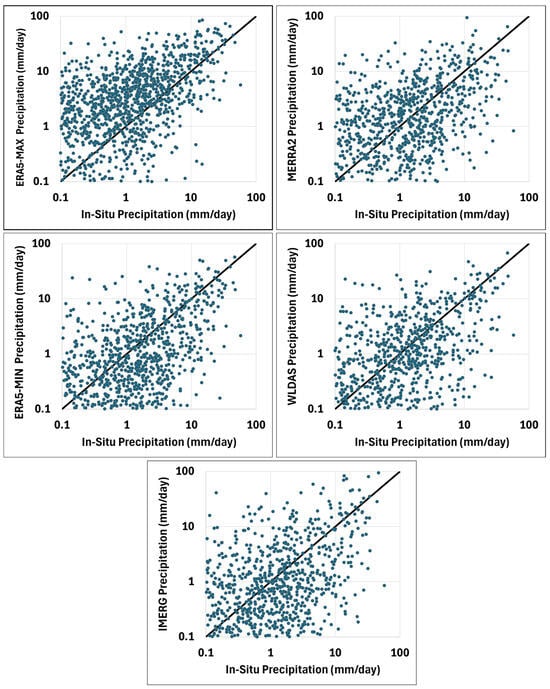
How Do Different Precipitation Products Perform in a Dry-Climate Region?
by Noelle Brobst-Whitcomb and Viviana Maggioni
Atmosphere 2026, 17(1), 5; https://doi.org/10.3390/atmos17010005 - 20 Dec 2025
Viewed by 94
Abstract
Dry climate regions face heightened risks of flooding and infrastructure damage even with minimal rainfall. Climate change is intensifying this vulnerability by increasing the duration, frequency, and intensity of precipitation events in areas that have historically experienced arid conditions. As a result, accurate [...] Read more.
Dry climate regions face heightened risks of flooding and infrastructure damage even with minimal rainfall. Climate change is intensifying this vulnerability by increasing the duration, frequency, and intensity of precipitation events in areas that have historically experienced arid conditions. As a result, accurate precipitation estimation in these regions is critical for effective planning, risk mitigation, and infrastructure resilience. This study evaluates the performance of five satellite- and model-based precipitation products by comparing them against in situ rain gauge observations in a dry-climate region: The fifth generation European Centre for Medium-Range Weather Forecasts Reanalysis (ERA5) (analyzing maximum and minimum precipitation rates separately), the Modern-Era Retrospective analysis for Research and Applications version 2 (MERRA2), the Western Land Data Assimilation System (WLDAS), and the Integrated Multi-satellite Retrievals for Global Precipitation Measurement (IMERG). The analysis focuses on both average daily rainfall and extreme precipitation events, with particular attention to precipitation magnitude and the accuracy of event detection, using a combination of statistical metrics—including bias ratio, mean error, and correlation coefficient—as well as contingency statistics such as probability of detection, false alarm rate, missed precipitation fraction, and false precipitation fraction. The study area is Palm Desert, a mountainous, arid, and urban region in Southern California, which exemplifies the challenges faced by dry regions under changing climate conditions. Among the products assessed, WLDAS ranked highest in measuring total precipitation and extreme rainfall amounts but performed the worst in detecting the occurrence of both average and extreme rainfall events. In contrast, IMERG and ERA5-MIN demonstrated the strongest ability to detect the timing of precipitation, though they were less accurate in estimating the magnitude of rainfall per event. Overall, this study provides valuable insights into the reliability and limitations of different precipitation estimation products in dry regions, where even small amounts of rainfall can have disproportionately large impacts on infrastructure and public safety. Full article
Show Figures

Figure 1

24 pages, 6674 KB  
Article
Spatiotemporal Assessment and Obstacle Factor Analysis of Urban Flood Resilience in the Shenyang Metropolitan Area Based on an LSTM-Attention Model
by Qiuxu Yan, Jingcheng Yuan, Dong Wu, Yunfei Lin and Zheng Lian
Sustainability 2026, 18(1), 50; https://doi.org/10.3390/su18010050 - 19 Dec 2025
Viewed by 142
Abstract
This study investigates the spatiotemporal evolution and key obstacle factors of urban flood resilience in the Shenyang Metropolitan Area, aiming to inform regional flood resilience planning and management. A comprehensive assessment indicator system was established, integrating natural, economic, social, and infrastructure dimensions to [...] Read more.
This study investigates the spatiotemporal evolution and key obstacle factors of urban flood resilience in the Shenyang Metropolitan Area, aiming to inform regional flood resilience planning and management. A comprehensive assessment indicator system was established, integrating natural, economic, social, and infrastructure dimensions to capture the multifaceted nature of flood resilience. The long short-term memory (LSTM) network with an attention mechanism, combined with the obstacle degree model, was employed to analyze resilience trends and diagnose limiting factors from 2001 to 2023. The findings reveal a sustained increase in the regional flood resilience index, rising from 0.255 in 2001 to 0.574 in 2023. Spatially, the resilience pattern evolved from a monocentric core diffusion to a dual-core leadership and multi-city collaborative structure, driven by basin-wide management and differentiated development between mountainous and plain areas. Disparities in resilience levels across cities narrowed over time. At the criterion level, infrastructure was the primary obstacle before 2010, while social factors became increasingly significant thereafter. At the indicator level, the main limiting factors varied among cities and shifted over time, reflecting local development dynamics. These results provide a theoretical basis and practical guidance for enhancing urban flood resilience in the Shenyang Metropolitan Area and offer insights applicable to other rapidly urbanizing regions. Full article
(This article belongs to the Section Social Ecology and Sustainability)
Show Figures

Figure 1

24 pages, 8954 KB  
Article
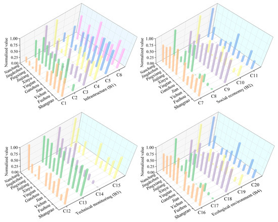
Assessing Urban Flood Resilience with Unascertained Measurement Theory: A Case Study of Jiangxi Province, China
by Shuhong Liu, Lu Feng, Jing Xie and Yuxian Ke
Sustainability 2026, 18(1), 49; https://doi.org/10.3390/su18010049 - 19 Dec 2025
Viewed by 143
Abstract
With the acceleration of global climate change and urbanization, urban flooding disasters have become increasingly frequent, posing significant threats to urban safety and sustainable development. Enhancing Urban Flood Resilience (UFR) has become a central issue in urban risk management and spatial planning. This [...] Read more.
With the acceleration of global climate change and urbanization, urban flooding disasters have become increasingly frequent, posing significant threats to urban safety and sustainable development. Enhancing Urban Flood Resilience (UFR) has become a central issue in urban risk management and spatial planning. This study aims to scientifically assess UFR by employing the core concepts of resistance, recovery, and adaptation from urban resilience theory. A set of 20 indicators for assessing UFR is selected from four aspects: infrastructure, social economy, technological monitoring, and the ecological environment. Addressing the limitations of traditional evaluation methods, which struggle to effectively handle data gaps and ambiguous boundaries, and fail to balance subjective and objective weights, this study introduces the unascertained measure theory and adopts a combined weighting method to construct a UFR evaluation model. Using 2023 statistical data from Jiangxi Province, a comprehensive evaluation of flood resilience was conducted across 11 prefecture-level cities within the province. The analysis indicates that, among level-2 indicators, infrastructure holds the highest weight at 43.7%. Regarding resilience dimensions, resistance dominates with a weight of 54.6%. Furthermore, significant spatial disparities exist in flood resilience levels across Jiangxi Province: high resilience cities are distributed in central and northern Jiangxi, moderately high resilience cities account for the largest proportion. Only one city, Pingxiang, exhibits moderate resilience. Full article
Show Figures

Figure 1

27 pages, 1994 KB  
Review
Bridging the Scaling Gap: A Review of Nonlinear Paradigms for the Estimation and Understanding of Extreme Rainfall from Heavy Storms
by Kevin K. W. Cheung
Fractal Fract. 2025, 9(12), 827; https://doi.org/10.3390/fractalfract9120827 - 18 Dec 2025
Viewed by 138
Abstract
Short-duration extreme rainfall is a major trigger of flash floods and urban inundation, yet its quantification remains a profound challenge due to the scarcity of high-resolution observations. This review synthesizes how three central paradigms of nonlinear science, multifractal cascade theory, self-organized criticality (SOC) [...] Read more.
Short-duration extreme rainfall is a major trigger of flash floods and urban inundation, yet its quantification remains a profound challenge due to the scarcity of high-resolution observations. This review synthesizes how three central paradigms of nonlinear science, multifractal cascade theory, self-organized criticality (SOC) and chaos theory, provide critical insights and practical methodologies for bridging this observational gap. We examine how multifractal temporal downscaling leverages scale-invariance to derive sub-hourly rainfall statistics from coarser data. The SOC paradigm is discussed for its ability to explain the power-law statistics of rainfall extremes and cluster properties, offering a physical basis for estimating rare events. The role of chaos theory and its modern evolution into complex network analysis is explored for diagnosing predictability and spatiotemporal organization. By comparing and integrating these perspectives plus recent developments in stochastic hydrology, this review highlights their collective potential to advance the estimation, understanding, and prediction of short-duration extreme rainfall, ultimately informing improved risk assessment and climate resilience strategies. Full article
(This article belongs to the Special Issue Fractals in Earthquake and Atmospheric Science)
Show Figures

Figure 1

24 pages, 5605 KB  
Article
Liquorice Cultivation Potential in Spain: A GIS-Based Multi-Criteria Assessment for Sustainable Rural Development
by Víctor Fernández Ocamica and Monique Bernardes Figueirêdo
Sustainability 2025, 17(24), 11299; https://doi.org/10.3390/su172411299 - 17 Dec 2025
Viewed by 123
Abstract
In the framework of the European bioeconomy, liquorice (Glycyrrhiza glabra) represents a promising crop for sustainable agriculture due to its ecological adaptability, nitrogen-fixing capacity, and wide industrial applications. This study aims to identify suitable areas for liquorice cultivation across Spanish municipalities [...] Read more.
In the framework of the European bioeconomy, liquorice (Glycyrrhiza glabra) represents a promising crop for sustainable agriculture due to its ecological adaptability, nitrogen-fixing capacity, and wide industrial applications. This study aims to identify suitable areas for liquorice cultivation across Spanish municipalities by integrating Geographic Information System (GIS)-based spatial analysis with a multi-criteria evaluation approach. Agronomic factors, annual mean temperature, soil pH, and water availability were combined with socioeconomic indicators including population decline, rural classification, and unemployment rate. Each municipality received a composite suitability score from 0 to 12 based on six criteria, with agronomic variables scored from 0 to 3 and socioeconomic factors assessed through binary classification. Results reveal that southern and southwestern regions, particularly Andalusia, Castilla-La Mancha, and Extremadura, exhibit the most favourable conditions for liquorice cultivation, offering both optimal environmental parameters and potential socioeconomic benefits. The study concludes that liquorice could serve as a regenerative and climate-resilient crop contributing to rural revitalization in Spain. A pilot case in Aragón illustrates its potential to promote social inclusion, repurpose historical assets, and stimulate local economies in depopulated, flood-prone areas. Full article
(This article belongs to the Special Issue Sustainable Agricultural Production and Crop Plants Protection)
Show Figures

Figure 1

24 pages, 35687 KB  
Article
End-to-End Modelling as a Non-Invasive Tool for Sustainable Risk Management After the Rupture of the Landslide Dam Along River Courses
by Massimo Mangifesta, Claudia Zito, Mirko Francioni, Luigi Guerriero, Diego Di Martire, Domenico Calcaterra, Corrado Cencetti, Antonio Pasculli, Francisco J. Mendez and Nicola Sciarra
Sustainability 2025, 17(24), 11195; https://doi.org/10.3390/su172411195 - 14 Dec 2025
Viewed by 179
Abstract
Debris flows represent a significant geohydrological hazard, impacting the surrounding environment and threatening human settlements by altering ecological equilibria. The formation of temporary, often unstable, natural dams that obstruct normal river flow and create secondary flood risks poses a complex and prolonged threat [...] Read more.
Debris flows represent a significant geohydrological hazard, impacting the surrounding environment and threatening human settlements by altering ecological equilibria. The formation of temporary, often unstable, natural dams that obstruct normal river flow and create secondary flood risks poses a complex and prolonged threat to the sustainable management of water resources. Non-invasive risk assessment and analysis tools are therefore essential for addressing this challenge effectively. In this context, this study uses an end-to-end numerical modelling approach validated on an actual river obstructed in past by a debris flow. The simulation focused on sustainable risk management after the landslide dam rupture. This computational methodology is a non-invasive technology that provides a fundamental alternative to costly and environmentally invasive field techniques for assessing the risk of complex river systems. Two separate numerical simulations were carried out using the HEC-RAS code. The first simulation used the integrated sediment transport module to quantify the dynamics of solid material deposition and dilution. The second simulation modelled secondary flooding scenarios using the dam break simulation module. The aim of integrating these non-invasive simulations is to analyse the interaction between the river and debris accumulation, understand the river’s natural regeneration capacity and determine the hydraulic response to sudden dam failure. These results are essential for geohydrological risk assessment and mitigation, thereby improving the effectiveness of prevention measures and systemic resilience against landslides. Full article
Show Figures

Figure 1

20 pages, 3942 KB  
Article
Virtual City Simulator: A Scenario-Based Tool for Multidimensional Urban Flood Long-Term Vulnerability Assessment and Planning in Mediterranean Cities
by Ana Noemí Gomez Vaca, Lucía Alexandra Popartan, Guillem Armengol Selvas, Sergi Nuss-Girona, Morgan Abily and Ignasi Rodríguez-Roda
Water 2025, 17(24), 3538; https://doi.org/10.3390/w17243538 - 13 Dec 2025
Viewed by 405
Abstract
Cities are increasingly vulnerable to flooding due to rapid urbanization and climate change, especially in Mediterranean climates. Although hydroinformatics, numerical modeling, and artificial intelligence can simulate and predict floods with high accuracy, critical gaps persist in assessing flood vulnerability, particularly in data-scarce environments. [...] Read more.
Cities are increasingly vulnerable to flooding due to rapid urbanization and climate change, especially in Mediterranean climates. Although hydroinformatics, numerical modeling, and artificial intelligence can simulate and predict floods with high accuracy, critical gaps persist in assessing flood vulnerability, particularly in data-scarce environments. We present the Virtual City Simulator, a decision-making support platform that evaluates long-term multi-dimension vulnerability to flooding. It combines a synthetic Mediterranean urban model with a composite vulnerability to flooding of index based on four dimensions (social, economic, environmental, physical) and three components (exposure, susceptibility and resilience). We have developed the following: (i) a representative virtual Mediterranean city (500,000 inhabitants, 100 km2; eight neighborhood typologies), (ii) a database with default values of 36 indicators for the eight typical neighborhoods, and (iii) a user-friendly RStudio/Shiny tool that integrates the virtual city and the database, with editable values for indicators and weights, that calculates the multidimensional vulnerability index to floods, and maps the results by dimension and in an integrated way, allowing comparability among scenarios. To illustrate the potential of the tool, the paper includes three case studies: (i) the business-as-usual scenario, using the default values of the indicators and weights of the database, where the most vulnerable neighborhood and dimensions of the virtual city are identified, (ii) the impact of implementing resilience measures in the previously identified vulnerable neighborhood, and (iii) the application of the tool to a neighborhood in a Mediterranean city (Ruzafa-Valencia), combining the available real data with the virtual city database. Full article
(This article belongs to the Special Issue Recent Advances in Flood Risk Assessment and Management)
Show Figures

Figure 1

18 pages, 5645 KB  
Article
Spatial and Temporal Trend Analysis of Flood Events Across Africa During the Historical Period
by Djanna Koubodana Houteta, Mouhamadou Bamba Sylla, Moustapha Tall, Alima Dajuma, Jeremy S. Pal, Christopher Lennard, Piotr Wolski, Wilfran Moufouma-Okia and Bruce Hewitson
Water 2025, 17(24), 3531; https://doi.org/10.3390/w17243531 - 13 Dec 2025
Viewed by 436
Abstract
Flooding is one of Africa’s most impactful natural disasters, significantly affecting human lives, infrastructure, and economies. This study examines the spatial and temporal distribution of historical flood events across the continent from 1927 to 2020, with a focus on fatalities, affected populations, and [...] Read more.
Flooding is one of Africa’s most impactful natural disasters, significantly affecting human lives, infrastructure, and economies. This study examines the spatial and temporal distribution of historical flood events across the continent from 1927 to 2020, with a focus on fatalities, affected populations, and economic damage. Data from the Emergency Events Database (EM-DAT), the fifth generation of bias-corrected European Centre for Medium-Range Weather Forecasts Reanalysis (ERA5), and the Climate Hazards Group InfraRed Precipitation with Stations (CHIRPS) observational datasets were used to calculate extreme precipitation indices—Consecutive Wet Days (CWD), annual precipitation on very wet days (R95PTOT), and Annual Maximum Precipitation (AMP). Spatial analysis tools and the Mann–Kendall test were used to assess trends in flood occurrences, while Pearson correlation analysis identified key meteorological drivers across 16 African capital cities for 1981–2019. A flood frequency analysis was conducted using Weibull, Gamma, Lognormal, Gumbel, and Logistic probability distribution models to compute flood return periods for up to 100 years. Results reveal a significant upward trend with a slope above 0.50 floods per year in flood frequency and impact over the period, particularly in regions such as West Africa (Nigeria, Ghana), East Africa (Ethiopia, Kenya, Tanzania), North Africa (Algeria, Morocco), Central Africa (Angola, Democratic Republic of Congo), and Southern Africa (Mozambique, Malawi, South Africa). Positive trends (at 99% significance level with slopes ranging between 0.50 and 0.60 floods per year) were observed in flood-related fatalities, affected populations, and economic damage across Regional Economic Communities (RECs), individual countries, and cities of Africa. The CWD, R95PTOT, and AMP indices emerged as reliable predictors of flood events, while non-stationary return periods exhibited low uncertainties for events within 20 years. These findings underscore the urgency of implementing robust flood disaster management strategies, enhancing flood forecasting systems, and designing resilient infrastructure to mitigate growing flood risks in Africa’s rapidly changing climate. Full article
(This article belongs to the Section Hydrology)
Show Figures

Figure 1

21 pages, 3772 KB  
Article
Integrated Multi-Source Data Fusion Framework Incorporating Surface Deformation, Seismicity, and Hydrological Indicators for Geohazard Risk Mapping in Oil and Gas Fields
by Mohammed Al Sulaimani, Rifaat Abdalla, Mohammed El-Diasty, Amani Al Abri, Mohamed A. K. EL-Ghali and Ahmed Tabook
Earth 2025, 6(4), 157; https://doi.org/10.3390/earth6040157 - 12 Dec 2025
Viewed by 203
Abstract
Oil and gas fields in subsidence-prone regions face multiple hazards that threaten the resilience of their infrastructure. This study presents an integrated risk mapping framework for the Yibal field in the Sultanate of Oman, utilizing remote sensing and geophysical data. Multi-temporal PS-InSAR analysis [...] Read more.
Oil and gas fields in subsidence-prone regions face multiple hazards that threaten the resilience of their infrastructure. This study presents an integrated risk mapping framework for the Yibal field in the Sultanate of Oman, utilizing remote sensing and geophysical data. Multi-temporal PS-InSAR analysis from 2010 to 2023 revealed cumulative surface deformation and tilt anomalies. Micro-seismic and fault proximity data assessed subsurface stress, while a flood risk map-based surface deformation-adjusted elevation captured hydrological susceptibility. All datasets were standardized into five risk zones (ranging from very low to very high) and combined through a weighted overlay analysis, with an emphasis on surface deformation and micro seismic factors. The resulting risk map highlights a central corridor of high vulnerability where subsidence, seismic activity, and drainage pathways converge, overlapping critical infrastructure. The results demonstrate that integrating geomechanical and hydrological factors yields a more accurate assessment of infrastructure risk than single-hazard approaches. This framework is adaptable to other petroleum fields, enhancing infrastructure protection (e.g., pipelines, flowlines, wells, and other oil and gas facilities), and supporting sustainable field management. Full article
(This article belongs to the Section AI and Big Data in Earth Science)
Show Figures

Figure 1

26 pages, 4997 KB  
Article
Regional Lessons to Support Local Guidelines: Adaptive Housing Solutions from the Baltic Sea Region for Climate-Sensitive Waterfronts in Gdańsk
by Bahaa Bou Kalfouni, Anna Rubczak, Olga Wiszniewska, Piotr Warżała, Filip Lasota and Dorota Kamrowska-Załuska
Sustainability 2025, 17(24), 11082; https://doi.org/10.3390/su172411082 - 10 Dec 2025
Viewed by 285
Abstract
Across the Baltic Sea region, areas situated in climate-sensitive water zones are increasingly exposed to environmental and socio-economic challenges. Gdańsk, Poland, is a prominent example where the rising threat of climate-related hazards, particularly connected with flooding, coincides with growing demand for resilient and [...] Read more.
Across the Baltic Sea region, areas situated in climate-sensitive water zones are increasingly exposed to environmental and socio-economic challenges. Gdańsk, Poland, is a prominent example where the rising threat of climate-related hazards, particularly connected with flooding, coincides with growing demand for resilient and adaptive housing solutions. Located in the Vistula Delta, the city’s vulnerability is heightened by its low-lying terrain, polder-based land systems, and extensive waterfronts. These geographic conditions underscore the urgent need for flexible, climate-responsive design strategies that support long-term adaptation while safeguarding the urban fabric and the well-being of local communities. This study provides evidence-based guidance for adaptive housing solutions tailored to Gdańsk’s waterfronts. It draws on successful architectural and urban interventions across the Baltic Sea region, selected for their environmental, social, and cultural relevance, to inform development approaches that strengthen resilience and social cohesion. To achieve this, an exploratory case study methodology was employed, supported by desk research and qualitative content analysis of strategic planning documents, academic literature, and project reports. A structured five-step framework, comprising project identification, document selection, qualitative assessment, data extraction, and analysis, was applied to examine three adaptive housing projects: Hammarby Sjöstad (Stockholm), Kalasataman Huvilat (Helsinki), and Urban Rigger (Copenhagen). Findings indicate measurable differences across nine sustainability indicators (1–5 scale): Hammarby Sjöstad excels in environmental integration (5/5 in carbon reduction and renewable energy), Kalasataman Huvilat demonstrates strong modular and human-scaled adaptability (3–5/5 across social and housing flexibility), and Urban Rigger leads in climate adaptability and material efficiency (4–5/5). Key adaptive measures include flexible spatial design, integrated environmental management, and community engagement. The study concludes with practical recommendations for local planning guidelines. The guidelines developed through the Gdańsk case study show strong potential for broader application in cities facing similar challenges. Although rooted in Gdańsk’s specific conditions, the model’s principles are transferable and adaptable, making the framework relevant to water sensitivity, flexible housing, and inclusive, resilient urban strategies. It offers transversal value to both urban scholars and practitioners in planning, policy, and community development. Full article
Show Figures

Figure 1

13 pages, 851 KB  
Project Report
Impact of Cash for Health Assistance on Healthcare Access and Health-Seeking Behaviors for Families of Pregnant Women in Sindh, Pakistan
by Faiza Rab, Ahmad Wehbi, Asma Hasnat, Chelvi Singeswaran, Mohamed Aliyar Ifftikar and Salim Sohani
Int. J. Environ. Res. Public Health 2025, 22(12), 1843; https://doi.org/10.3390/ijerph22121843 - 10 Dec 2025
Viewed by 227
Abstract
Background: The 2022 Pakistan floods devastated healthcare access for pregnant women in already impoverished areas in Sindh province. This study examines how Cash for Health assistance (CH) of USD 112 alleviated financial burdens and improved maternal health outcomes and resilience, bridging a critical [...] Read more.
Background: The 2022 Pakistan floods devastated healthcare access for pregnant women in already impoverished areas in Sindh province. This study examines how Cash for Health assistance (CH) of USD 112 alleviated financial burdens and improved maternal health outcomes and resilience, bridging a critical literature gap on cash effectiveness in humanitarian crises. Methodology: This study used a mixed-methods approach to assess the CH assistance intervention for families of pregnant/lactating women in flood-affected rural Sindh, Pakistan. A pre-post quantitative analysis of baseline (May–June 2024) and endline (August–November 2024) survey data in ~100 villages (Jamshoro/Sehwan) examined changes in healthcare access, expenditure, and preferences using t-tests, proportion tests, and multivariable regression. Concurrently, five qualitative case studies from key informant interviews provided thematic content analysis, triangulating findings on economic, health, and social impacts. Results: Respondents predominantly had low literacy rates and were from households of daily wage laborers in vulnerable, flood-affected areas. While income and education remained low, instances of forgone care due to financial barriers increased (68% to 97%, p < 0.001). CH significantly improved healthcare access (58% to 98%, p < 0.001). Access to regular physicians (20% to 69%) and private facilities (10% to 41%) notably expanded. Healthcare expenditure significantly increased from USD 9.3 to USD 25, with a shift in spending preference towards medication, consultations, and diagnostics. CH also significantly improved food security (21% to 97%), meal frequency, and overall household stability, including reducing domestic violence. Qualitative data emphasized pre-existing vulnerabilities and CH’s role in addressing health, nutrition, and psychosocial needs. Conclusions: CH significantly improved healthcare access and reduced financial burdens for vulnerable pregnant women post-disaster. However, a sustainable impact requires integrated “cash plus” models, combining financial aid with stronger health systems, psychosocial support, and literacy for long-term resilience. Full article
(This article belongs to the Special Issue Closing the Health Gap for Rural and Remote Communities)
Show Figures

Figure 1

Back to TopTop