Sign in to use this feature.

Years

Between: -

Subjects

remove_circle_outline
remove_circle_outline
remove_circle_outline
remove_circle_outline
remove_circle_outline
remove_circle_outline
remove_circle_outline
remove_circle_outline
remove_circle_outline

Journals

remove_circle_outline
remove_circle_outline
remove_circle_outline
remove_circle_outline
remove_circle_outline
remove_circle_outline
remove_circle_outline
remove_circle_outline
remove_circle_outline
remove_circle_outline
remove_circle_outline
remove_circle_outline
remove_circle_outline

Article Types

Countries / Regions

remove_circle_outline
remove_circle_outline
remove_circle_outline
remove_circle_outline
remove_circle_outline
remove_circle_outline
remove_circle_outline
remove_circle_outline
remove_circle_outline

Search Results (2,325)

Search Parameters:
Keywords = flight operations

Order results
Result details
Results per page
Select all
Export citation of selected articles as:
26 pages, 3529 KB  
Article
A CFD-Based Comparative Analysis of X-Wing Drone Performance with Varying Dihedral Angles
by Ionuț Bunescu, Mihai-Vlăduț Hothazie, Mihai-Victor Pricop and Mara-Florina Negoiță
Aerospace 2026, 13(2), 122; https://doi.org/10.3390/aerospace13020122 - 27 Jan 2026
Abstract
The aerodynamic performance of unmanned aerial vehicles (UAVs) with non-conventional geometries is a growing area of interest, particularly for improving stability and maneuverability. This study investigates the influence of the dihedral angle on the aerodynamic behavior and overall performance of drones configured in [...] Read more.
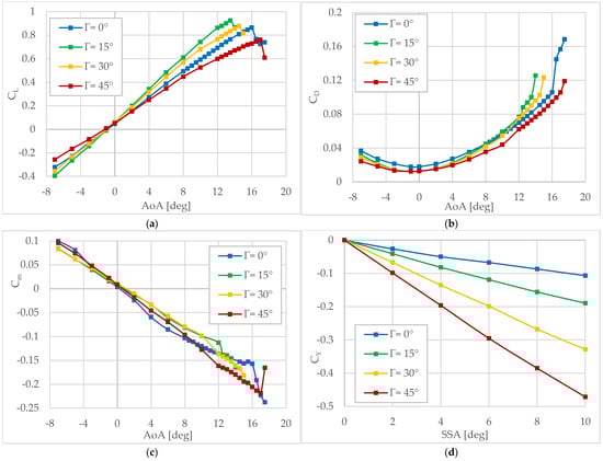
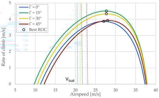
The aerodynamic performance of unmanned aerial vehicles (UAVs) with non-conventional geometries is a growing area of interest, particularly for improving stability and maneuverability. This study investigates the influence of the dihedral angle on the aerodynamic behavior and overall performance of drones configured in an X-wing layout. Four configurations with dihedral angles of 0°, 15°, 30°, and 45° were analyzed to assess how varying the wing inclination affects flight characteristics. Computational fluid dynamics (CFD) simulations were conducted to evaluate the aerodynamic forces and moments acting on each configuration under controlled conditions. Following the aerodynamic analysis, a performance assessment was carried out to determine the implications of each dihedral angle on parameters such as range, endurance, rate of climb, angle of climb or turn rate. The results indicate that increasing the dihedral angle can enhance maneuverability but may lead to trade-offs in aerodynamic efficiency, particularly at higher angles. The 15° and 30° configurations demonstrated a favorable balance between maneuverability and performance. These findings provide insight into the design optimization of X-wing UAVs and highlight the potential of dihedral angle tuning as a means to tailor drone behavior for specific operational needs. Full article
Show Figures

Figure 1

17 pages, 10638 KB  
Article
Numerical Investigation of Noise Generation from a Variable-Pitch Propeller at Various Flight Conditions
by Mateus Grassano Lattari, Victor Henrique Pereira da Rosa, Filipe Dutra da Silva and César José Deschamps
Fluids 2026, 11(2), 31; https://doi.org/10.3390/fluids11020031 - 26 Jan 2026
Abstract
The advent of electric propulsion for new aircraft designs necessitates the optimization of propeller aerodynamic performance and the reduction of acoustic signatures. Variable-pitch propellers present a promising solution, offering the flexibility to adjust blade angles in response to different flight conditions. The study [...] Read more.
The advent of electric propulsion for new aircraft designs necessitates the optimization of propeller aerodynamic performance and the reduction of acoustic signatures. Variable-pitch propellers present a promising solution, offering the flexibility to adjust blade angles in response to different flight conditions. The study investigates the performance of blade pitch configurations tailored to specific flight conditions. Rather than a dynamic pitch change, the research evaluates discrete pitch settings coupled with corresponding advance ratios to identify optimal operating points. Findings show that increasing collective pitch in response to a higher advance ratio (forward flight) successfully maintains aerodynamic efficiency and thrust, with an expected increase in torque. While this adjustment leads to an anticipated rise in noise due to higher aerodynamic loading, results reveal that a collective pitch increment of +5° actively suppresses broadband noise at frequencies above 2 kHz. Analysis of the flow field and surface pressure fluctuations indicates this suppression is directly attributed to the mitigation of outboard propeller stall. Ultimately, this work demonstrates the feasibility of using collective pitch adjustments not only to enhance flight performance but also to actively control and suppress components of the propeller noise signature, such as the broadband noise. Full article
(This article belongs to the Section Mathematical and Computational Fluid Mechanics)
Show Figures

Figure 1

22 pages, 8373 KB  
Article
Real-Time Automated Ergonomic Monitoring: A Bio-Inspired System Using 3D Computer Vision
by Gabriel Andrés Zamorano Núñez, Nicolás Norambuena, Isabel Cuevas Quezada, José Luis Valín Rivera, Javier Narea Olmos and Cristóbal Galleguillos Ketterer
Biomimetics 2026, 11(2), 88; https://doi.org/10.3390/biomimetics11020088 - 26 Jan 2026
Abstract
Work-related musculoskeletal disorders (MSDs) remain a global occupational health priority, with recognized limitations in current point-in-time assessment methodologies. This research extends prior computer vision ergonomic assessment approaches by implementing biological proprioceptive feedback principles into a continuous, real-time monitoring system. Unlike traditional periodic ergonomic [...] Read more.
Work-related musculoskeletal disorders (MSDs) remain a global occupational health priority, with recognized limitations in current point-in-time assessment methodologies. This research extends prior computer vision ergonomic assessment approaches by implementing biological proprioceptive feedback principles into a continuous, real-time monitoring system. Unlike traditional periodic ergonomic evaluation methods such as “Rapid Upper Limb Assessment” (RULA), our bio-inspired system translates natural proprioceptive mechanisms—which enable continuous postural monitoring through spinal feedback loops operating at 50–150 ms latencies—into automated assessment technology. The system integrates (1) markerless 3D pose estimation via MediaPipe Holistic (33 anatomical landmarks at 30 FPS), (2) depth validation via Orbbec Femto Mega RGB-D camera (640 × 576 resolution, Time-of-Flight sensor), and (3) proprioceptive-inspired alert architecture. Experimental validation with 40 adult participants (age 18–25, n = 26 female, n = 14 male) performing standardized load-lifting tasks (6 kg) demonstrated that 62.5% exhibited critical postural risk (RULA ≥ 5) during dynamic movement versus 7.5% at static rest, with McNemar test p<0.001 (Cohen’s h=1.22, 95% CI: 0.91–0.97). The system achieved 95% Pearson correlation between risk elevation and alert activation, with response latency of 42.1±8.3 ms. This work demonstrates technical feasibility for continuous occupational monitoring. However, long-term prospective studies are required to establish whether continuous real-time feedback reduces workplace injury incidence. The biomimetic design framework provides a systematic foundation for translating biological feedback principles into occupational health technology. Full article
(This article belongs to the Section Bioinspired Sensorics, Information Processing and Control)
Show Figures

Figure 1

26 pages, 2167 KB  
Article
AI-Powered Service Robots for Smart Airport Operations: Real-World Implementation and Performance Analysis in Passenger Flow Management
by Eleni Giannopoulou, Panagiotis Demestichas, Panagiotis Katrakazas, Sophia Saliverou and Nikos Papagiannopoulos
Sensors 2026, 26(3), 806; https://doi.org/10.3390/s26030806 - 25 Jan 2026
Viewed by 70
Abstract
The proliferation of air travel demand necessitates innovative solutions to enhance passenger experience while optimizing airport operational efficiency. This paper presents the pilot-scale implementation and evaluation of an AI-powered service robot ecosystem integrated with thermal cameras and 5G wireless connectivity at Athens International [...] Read more.
The proliferation of air travel demand necessitates innovative solutions to enhance passenger experience while optimizing airport operational efficiency. This paper presents the pilot-scale implementation and evaluation of an AI-powered service robot ecosystem integrated with thermal cameras and 5G wireless connectivity at Athens International Airport. The system addresses critical challenges in passenger flow management through real-time crowd analytics, congestion detection, and personalized robotic assistance. Eight strategically deployed thermal cameras monitor passenger movements across check-in areas, security zones, and departure entrances while employing privacy-by-design principles through thermal imaging technology that reduces personally identifiable information capture. A humanoid service robot, equipped with Robot Operating System navigation capabilities and natural language processing interfaces, provides real-time passenger assistance including flight information, wayfinding guidance, and congestion avoidance recommendations. The wi.move platform serves as the central intelligence hub, processing video streams through advanced computer vision algorithms to generate actionable insights including passenger count statistics, flow rate analysis, queue length monitoring, and anomaly detection. Formal trial evaluation conducted on 10 April 2025, with extended operational monitoring from April to June 2025, demonstrated strong technical performance with application round-trip latency achieving 42.9 milliseconds, perfect service reliability and availability ratings of one hundred percent, and comprehensive passenger satisfaction scores exceeding 4.3/5 across all evaluated dimensions. Results indicate promising potential for scalable deployment across major international airports, with identified requirements for sixth-generation network capabilities to support enhanced multi-robot coordination and advanced predictive analytics functionalities in future implementations. Full article
(This article belongs to the Section Sensors and Robotics)
Show Figures

Figure 1

38 pages, 2523 KB  
Article
Methods for GIS-Driven Airspace Management: Integrating Unmanned Aircraft Systems (UASs), Advanced Air Mobility (AAM), and Crewed Aircraft in the NAS
by Ryan P. Case and Joseph P. Hupy
Drones 2026, 10(2), 82; https://doi.org/10.3390/drones10020082 - 24 Jan 2026
Viewed by 117
Abstract
The rapid growth of Unmanned Aircraft Systems (UASs) and Advanced Air Mobility (AAM) presents significant integration and safety challenges for the National Airspace System (NAS), often relying on disconnected Air Traffic Management (ATM) and Unmanned Aircraft System Traffic Management (UTM) practices that contribute [...] Read more.
The rapid growth of Unmanned Aircraft Systems (UASs) and Advanced Air Mobility (AAM) presents significant integration and safety challenges for the National Airspace System (NAS), often relying on disconnected Air Traffic Management (ATM) and Unmanned Aircraft System Traffic Management (UTM) practices that contribute to airspace incidents. This study evaluates Geographic Information Systems (GISs) as a unified, data-driven framework to enhance shared airspace safety and efficiency. A comprehensive, multi-phase methodology was developed using GIS (specifically Esri ArcGIS Pro) to integrate heterogeneous aviation data, including FAA aeronautical data, Automatic Dependent Surveillance–Broadcast (ADS-B) for crewed aircraft, and UAS Flight Records, necessitating detailed spatial–temporal data preprocessing for harmonization. The effectiveness of this GIS-based approach was demonstrated through a case study analyzing a critical interaction between a University UAS (Da-Jiang Innovations (DJI) M300) and a crewed Piper PA-28-181 near Purdue University Airport (KLAF). The resulting two-dimensional (2D) and three-dimensional (3D) models successfully enabled the visualization, quantitative measurement, and analysis of aircraft trajectories, confirming a minimum separation of approximately 459 feet laterally and 339 feet vertically. The findings confirm that a GIS offers a centralized, scalable platform for collating, analyzing, modeling, and visualizing air traffic operations, directly addressing ATM/UTM integration deficiencies. This GIS framework, especially when combined with advancements in sensor technologies and Artificial Intelligence (AI) for anomaly detection, is critical for modernizing NAS oversight, improving situational awareness, and establishing a foundation for real-time risk prediction and dynamic airspace management. Full article
(This article belongs to the Special Issue Urban Air Mobility Solutions: UAVs for Smarter Cities)
27 pages, 2150 KB  
Article
Conceptual Retrofit of a Hydrogen–Electric VTOL Rotorcraft: The Hawk Demonstrator Simulation
by Jubayer Ahmed Sajid, Seeyama Hossain, Ivan Grgić and Mirko Karakašić
Designs 2026, 10(1), 9; https://doi.org/10.3390/designs10010009 - 24 Jan 2026
Viewed by 351
Abstract
Decarbonisation of the aviation sector is essential for achieving global-climate targets, with hydrogen propulsion emerging as a viable alternative to battery–electric systems for vertical flight. Unlike previous studies focusing on clean-sheet eVTOL concepts or fixed-wing platforms, this work provides a comprehensive retrofit evaluation [...] Read more.
Decarbonisation of the aviation sector is essential for achieving global-climate targets, with hydrogen propulsion emerging as a viable alternative to battery–electric systems for vertical flight. Unlike previous studies focusing on clean-sheet eVTOL concepts or fixed-wing platforms, this work provides a comprehensive retrofit evaluation of a two-seat light helicopter (Cabri G2/Robinson R22 class) to a hydrogen–electric hybrid powertrain built around a Toyota TFCM2-B PEM fuel cell (85 kW net), a 30 kg lithium-ion buffer battery, and 700 bar Type-IV hydrogen storage totalling 5 kg, aligned with the Vertical Flight Society (VFS) mission profile. The mass breakdown, mission energy equations, and segment-wise hydrogen use for a 100 km sortie are documented using a single main rotor with a radius of R = 3.39 m, with power-by-segment calculations taken from the team’s final proposal. Screening-level simulations are used solely for architectural assessment; no experimental validation is performed. Mission analysis indicates a 100 km operational range with only 3.06 kg of hydrogen consumption (39% fuel reserve). The main contribution is a quantified demonstration of a practical retrofit pathway for light rotorcraft, showing approximately 1.8–2.2 times greater range (100 km vs. 45–55 km battery-only baseline, including respective safety reserves). The Hawk demonstrates a 28% reduction in total propulsion system mass (199 kg including PEMFC stack and balance-of-plant 109 kg, H2 storage 20 kg, battery 30 kg, and motor with gearbox 40 kg) compared to a battery-only configuration (254.5 kg battery pack, plus equivalent 40 kg motor and gearbox), representing approximately 32% system-level mass savings when thermal-management subsystems (15 kg) are included for both configurations. Full article
(This article belongs to the Section Mechanical Engineering Design)
Show Figures

Figure 1

21 pages, 3270 KB  
Article
Reliability Case Study of COTS Storage on the Jilin-1 KF Satellite: On-Board Operations, Failure Analysis, and Closed-Loop Management
by Chunjuan Zhao, Jianan Pan, Hongwei Sun, Xiaoming Li, Kai Xu, Yang Zhao and Lei Zhang
Aerospace 2026, 13(2), 116; https://doi.org/10.3390/aerospace13020116 - 24 Jan 2026
Viewed by 71
Abstract
In recent years, the rapid development of commercial satellite projects, such as low-Earth orbit (LEO) communication and remote sensing constellations, has driven the satellite industry toward low-cost, rapid development, and large-scale deployment. Commercial off-the-shelf (COTS) components have been widely adopted across various commercial [...] Read more.
In recent years, the rapid development of commercial satellite projects, such as low-Earth orbit (LEO) communication and remote sensing constellations, has driven the satellite industry toward low-cost, rapid development, and large-scale deployment. Commercial off-the-shelf (COTS) components have been widely adopted across various commercial satellite platforms due to their advantages of low cost, high performance, and plug-and-play availability. However, the space environment is complex and hostile. COTS components were not originally designed for such conditions, and they often lack systematically flight-verified protective frameworks, making their reliability issues a core bottleneck limiting their extensive application in critical missions. This paper focuses on COTS solid-state drives (SSDs) onboard the Jilin-1 KF satellite and presents a full-lifecycle reliability practice covering component selection, system design, on-orbit operation, and failure feedback. The core contribution lies in proposing a full-lifecycle methodology that integrates proactive design—including multi-module redundancy architecture and targeted environmental stress screening—with on-orbit data monitoring and failure cause analysis. Through fault tree analysis, on-orbit data mining, and statistical analysis, it was found that SSD failures show a significant correlation with high-energy particle radiation in the South Atlantic Anomaly region. Building on this key spatial correlation, the on-orbit failure mode was successfully reproduced via proton irradiation experiments, confirming the mechanism of radiation-induced SSD damage and providing a basis for subsequent model development and management decisions. The study demonstrates that although individual COTS SSDs exhibit a certain failure rate, reasonable design, protection, and testing can enhance the on-orbit survivability of storage systems using COTS components. More broadly, by providing a validated closed-loop paradigm—encompassing design, flight verification and feedback, and iterative improvement—we enable the reliable use of COTS components in future cost-sensitive, high-performance satellite missions, adopting system-level solutions to balance cost and reliability without being confined to expensive radiation-hardened products. Full article
(This article belongs to the Section Astronautics & Space Science)
21 pages, 5145 KB  
Article
Synchronous Spray Effect Based on Dual Plant-Protection UAV Collaboration in Corn Fields
by Shenghui Yang, Shuyuan Zhai, Xiangye Yu, Weihong Liu, Yongjun Zheng, Hangxing Zhao, Han Feng, Haoyu Wang and Wenbo Xu
Agronomy 2026, 16(3), 292; https://doi.org/10.3390/agronomy16030292 - 24 Jan 2026
Viewed by 76
Abstract
It has become common to apply multiple drones to conduct plant-protection in large-scale farms, where dual-UAV synchronisation is representative. However, current studies are mainly dedicated to the spray quality of a single UAV, and it remains unclear whether synchronous operation affects spray effectiveness. [...] Read more.
It has become common to apply multiple drones to conduct plant-protection in large-scale farms, where dual-UAV synchronisation is representative. However, current studies are mainly dedicated to the spray quality of a single UAV, and it remains unclear whether synchronous operation affects spray effectiveness. This paper focuses on the spray efficacy and coupling effects of dual-UAV collaboration. Five-factor orthogonal four-level tests were conducted using the developed UAV collaboration system, and the results were compared with those of asynchronous and ideal linear superposition. It is indicated that (1) spray uniformity was impacted by the relative height between the UAVs and the flight speed of the UAVs (all the p-values < 0.02), whilst the deposition amount was affected by the relative horizontal spacing between the UAVs and the height of the left UAV relative to the forward flight direction (all the p-values < 0.04); (2) the proportion of high-quality spray in the coupling areas had a negative relation with the relative horizontal distance of the two UAVs, and the threshold of the effective coupling distance was 5 m; and (3) synchronous coupling should be avoided. If it is not, the left-side UAV (referring to the forward direction of flight) should be at a higher altitude (5 m or 6.5 m), be 0.5 m higher than the right and fly with a low or medium flight speed (3.5 m/s–4.5 m/s). The research can give a reference to the real spray operation by multiple UAVs. Full article
(This article belongs to the Special Issue New Trends in Agricultural UAV Application—2nd Edition)
Show Figures

Figure 1

23 pages, 12977 KB  
Article
High-Precision Modeling of UAV Electric Propulsion for Improving Endurance Estimation
by Xunhua Dai, Wei Liu and Yong Chen
Drones 2026, 10(2), 80; https://doi.org/10.3390/drones10020080 - 23 Jan 2026
Viewed by 90
Abstract
The electric propulsion system is a critical determinant of unmanned aerial vehicles’ (UAVs’) operational capabilities, particularly endurance performance. This paper proposes a high-precision modeling framework for UAV electric propulsion systems to improve endurance estimation. By integrating dimensional analysis based on the Buckingham π [...] Read more.
The electric propulsion system is a critical determinant of unmanned aerial vehicles’ (UAVs’) operational capabilities, particularly endurance performance. This paper proposes a high-precision modeling framework for UAV electric propulsion systems to improve endurance estimation. By integrating dimensional analysis based on the Buckingham π theorem with data-driven parameter fitting, the method accurately predicts propeller thrust, power, and motor current under varying inflow conditions using limited experimental data. The proposed models and complete implementation are publicly available, facilitating reproducibility and further research. The key novelty of this work lies in the tight integration of dimensional analysis (via Buckingham’s π theorem) with a data-driven torque-based motor current model, enabling accurate cross-configuration predictions for both propeller aerodynamics and motor electrical characteristics using limited experimental data. The model is rigorously validated against the UIUC propeller database, a custom-built inflow test rig, and actual flight tests. The results demonstrate that the proposed approach achieves superior prediction accuracy across multiple propeller-motor configurations while significantly reducing computational costs. This work provides a reliable foundation for improving UAV endurance estimation and propulsion system design. Full article
27 pages, 5704 KB  
Article
Intent-Aware Collision Avoidance for UAVs in High-Density Non-Cooperative Environments Using Deep Reinforcement Learning
by Xuchuan Liu, Yuan Zheng, Chenglong Li, Bo Jiang and Wenyong Gu
Aerospace 2026, 13(2), 111; https://doi.org/10.3390/aerospace13020111 - 23 Jan 2026
Viewed by 79
Abstract
Collision avoidance between unmanned aerial vehicles (UAVs) and non-cooperative targets (e.g., off-nominal operations or birds) presents significant challenges in urban air mobility (UAM). This difficulty arises due to the highly dynamic and unpredictable flight intentions of these targets. Traditional collision-avoidance methods primarily focus [...] Read more.
Collision avoidance between unmanned aerial vehicles (UAVs) and non-cooperative targets (e.g., off-nominal operations or birds) presents significant challenges in urban air mobility (UAM). This difficulty arises due to the highly dynamic and unpredictable flight intentions of these targets. Traditional collision-avoidance methods primarily focus on cooperative targets or non-cooperative ones with fixed behavior, rendering them ineffective when dealing with highly unpredictable flight patterns. To address this, we introduce a deep reinforcement learning-based collision-avoidance approach leveraging global and local intent prediction. Specifically, we propose a Global and Local Perception Prediction Module (GLPPM) that combines a state-space-based global intent association mechanism with a local feature extraction module, enabling accurate prediction of short- and long-term flight intents. Additionally, we propose a Fusion Sector Flight Control Module (FSFCM) that is trained with a Dueling Double Deep Q-Network (D3QN). The module integrates both predicted future and current intents into the state space and employs a specifically designed reward function, thereby ensuring safe UAV operations. Experimental results demonstrate that the proposed method significantly improves mission success rates in high-density environments, with up to 80 non-cooperative targets per square kilometer. In 1000 flight tests, the mission success rate is 15.2 percentage points higher than that of the baseline D3QN. Furthermore, the approach retains an 88.1% success rate even under extreme target densities of 120 targets per square kilometer. Finally, interpretability analysis via Deep SHAP further verifies the decision-making rationality of the algorithm. Full article
(This article belongs to the Section Aeronautics)
Show Figures

Figure 1

32 pages, 2129 KB  
Article
Artificial Intelligence-Based Depression Detection
by Gabor Kiss and Patrik Viktor
Sensors 2026, 26(2), 748; https://doi.org/10.3390/s26020748 - 22 Jan 2026
Viewed by 72
Abstract
Decisions made by pilots and drivers suffering from depression can endanger the lives of hundreds of people, as demonstrated by the tragedies of Germanwings flight 9525 and Air India flight 171. Since the detection of depression is currently based largely on subjective self-reporting, [...] Read more.
Decisions made by pilots and drivers suffering from depression can endanger the lives of hundreds of people, as demonstrated by the tragedies of Germanwings flight 9525 and Air India flight 171. Since the detection of depression is currently based largely on subjective self-reporting, there is an urgent need for fast, objective, and reliable detection methods. In our study, we present an artificial intelligence-based system that combines iris-based identification with the analysis of pupillometric and eye movement biomarkers, enabling the real-time detection of physiological signs of depression before driving or flying. The two-module model was evaluated based on data from 242 participants: the iris identification module operated with an Equal Error Rate of less than 0.5%, while the depression-detecting CNN-LSTM network achieved 89% accuracy and an AUC value of 0.94. Compared to the neutral state, depressed individuals responded to negative news with significantly greater pupil dilation (+27.9% vs. +18.4%), while showing a reduced or minimal response to positive stimuli (−1.3% vs. +6.2%). This was complemented by slower saccadic movement and longer fixation time, which is consistent with the cognitive distortions characteristic of depression. Our results indicate that pupillometric deviations relative to individual baselines can be reliably detected and used with high accuracy for depression screening. The presented system offers a preventive safety solution that could reduce the number of accidents caused by human error related to depression in road and air traffic in the future. Full article
Show Figures

Figure 1

45 pages, 1326 KB  
Article
Cross-Domain Deep Reinforcement Learning for Real-Time Resource Allocation in Transportation Hubs: From Airport Gates to Seaport Berths
by Zihao Zhang, Qingwei Zhong, Weijun Pan, Yi Ai and Qian Wang
Aerospace 2026, 13(1), 108; https://doi.org/10.3390/aerospace13010108 - 22 Jan 2026
Viewed by 41
Abstract
Efficient resource allocation is critical for transportation hub operations, yet current scheduling systems require substantial domain-specific customization when deployed across different facilities. This paper presents a domain-adaptive deep reinforcement learning (DADRL) framework that learns transferable optimization policies for dynamic resource allocation across structurally [...] Read more.
Efficient resource allocation is critical for transportation hub operations, yet current scheduling systems require substantial domain-specific customization when deployed across different facilities. This paper presents a domain-adaptive deep reinforcement learning (DADRL) framework that learns transferable optimization policies for dynamic resource allocation across structurally similar transportation scheduling problems. The framework integrates dual-level heterogeneous graph attention networks for separating constraint topology from domain-specific features, hypergraph-based constraint modeling for capturing high-order dependencies, and hierarchical policy decomposition that reduces computational complexity from O(mnT) to O(m+n+T). Evaluated on realistic simulators modeling airport gate assignment (Singapore Changi: 50 gates, 300–400 daily flights) and seaport berth allocation (Singapore Port: 40 berths, 80–120 daily vessels), DADRL achieves 87.3% resource utilization in airport operations and 86.3% in port operations, outperforming commercial solvers under strict real-time constraints (Gurobi-MIP with 300 s time limit: 85.1%) while operating 270 times faster (1.1 s versus 298 s per instance). Given unlimited time, Gurobi achieves provably optimal solutions, but DADRL reaches 98.7% of this optimum in 1.1 s, making it suitable for time-critical operational scenarios where exact solvers are computationally infeasible. Critically, policies trained exclusively on airport scenarios retain 92.4% performance when applied to ports without retraining, requiring only 800 adaptation steps compared to 13,200 for domain-specific training. The framework maintains 86.2% performance under operational disruptions and scales to problems three times larger than training instances with only 7% degradation. These results demonstrate that learned optimization principles can generalize across transportation scheduling problems sharing common constraint structures, enabling rapid deployment of AI-based scheduling systems across multi-modal transportation networks with minimal customization and reduced implementation costs. Full article
(This article belongs to the Special Issue Emerging Trends in Air Traffic Flow and Airport Operations Control)
Show Figures

Figure 1

25 pages, 3088 KB  
Article
A Human-Centered Visual Cognitive Framework for Traffic Pair Crossing Identification in Human–Machine Teaming
by Bufan Liu, Sun Woh Lye, Terry Liang Khin Teo and Hong Jie Wee
Electronics 2026, 15(2), 477; https://doi.org/10.3390/electronics15020477 - 22 Jan 2026
Viewed by 29
Abstract
Human–machine teaming (HMT) in air traffic management (ATM) promises safer, more efficient operations by combining human expertise in decision-making with machine efficiency in data processing, where traffic pair crossing identification is crucial for effective conflict detection and resolution by recognizing aircraft pairs that [...] Read more.
Human–machine teaming (HMT) in air traffic management (ATM) promises safer, more efficient operations by combining human expertise in decision-making with machine efficiency in data processing, where traffic pair crossing identification is crucial for effective conflict detection and resolution by recognizing aircraft pairs that may lead to conflict. To facilitate this goal, this paper presents a four-phase cognitive framework to enhance HMT for monitoring traffic pairs at crossing points through a human-centered, visual-based approach. The visual cognitive framework integrates three data streams—eye-tracking metrics, mouse-over actions, and issued radar commands—to capture the traffic context from the controller’s perspective. A target pair identification method is designed to generate potential conflict pairs. Controller behavior is then modeled using a sighting timeline, yielding insights to develop the cognitive mechanism. Using air traffic crossing-conflict monitoring in en route airspace as a case study, the framework successfully captures the state of controllers’ monitoring and awareness behavior through tests on five target flight pairs under various crossing conditions. Specifically, aware monitoring activities are characterized by higher fixation count on either flight across a 10 min window, with 53% to 100% of visual input activities occurring between 8 to 7 and 3 to 2 min before crossing, ensuring timely conflict management. Furthermore, the study quantifies the effect of crossing geometry, whereby narrow-angle crossings (21 degrees) require significantly higher monitoring intensity (15 paired sightings) compared to wide or moderate angle crossings. These results indicate that controllers exhibit distinct monitoring and awareness behaviors when identifying and managing conflicts across the different test pairs, demonstrating the effectiveness and applicability of the proposed visual cognitive framework. Full article
Show Figures

Figure 1

35 pages, 10558 KB  
Article
Cave of Altamira (Spain): UAV-Based SLAM Mapping, Digital Twin and Segmentation-Driven Crack Detection for Preventive Conservation in Paleolithic Rock-Art Environments
by Jorge Angás, Manuel Bea, Carlos Valladares, Cristian Iranzo, Gonzalo Ruiz, Pilar Fatás, Carmen de las Heras, Miguel Ángel Sánchez-Carro, Viola Bruschi, Alfredo Prada and Lucía M. Díaz-González
Drones 2026, 10(1), 73; https://doi.org/10.3390/drones10010073 - 22 Jan 2026
Viewed by 48
Abstract
The Cave of Altamira (Spain), a UNESCO World Heritage site, contains one of the most fragile and inaccessible Paleolithic rock-art environments in Europe, where geomatics documentation is constrained not only by severe spatial, lighting and safety limitations but also by conservation-driven restrictions on [...] Read more.
The Cave of Altamira (Spain), a UNESCO World Heritage site, contains one of the most fragile and inaccessible Paleolithic rock-art environments in Europe, where geomatics documentation is constrained not only by severe spatial, lighting and safety limitations but also by conservation-driven restrictions on time, access and operational procedures. This study applies a confined-space UAV equipped with LiDAR-based SLAM navigation to document and assess the stability of the vertical rock wall leading to “La Hoya” Hall, a structurally sensitive sector of the cave. Twelve autonomous and assisted flights were conducted, generating dense LiDAR point clouds and video sequences processed through videogrammetry to produce high-resolution 3D meshes. A Mask R-CNN deep learning model was trained on manually segmented images to explore automated crack detection under variable illumination and viewing conditions. The results reveal active fractures, overhanging blocks and sediment accumulations located on inaccessible ledges, demonstrating the capacity of UAV-SLAM workflows to overcome the limitations of traditional surveys in confined subterranean environments. All datasets were integrated into the DiGHER digital twin platform, enabling traceable storage, multitemporal comparison, and collaborative annotation. Overall, the study demonstrates the feasibility of combining UAV-based SLAM mapping, videogrammetry and deep learning segmentation as a reproducible baseline workflow to inform preventive conservation and future multitemporal monitoring in Paleolithic caves and similarly constrained cultural heritage contexts. Full article
(This article belongs to the Topic 3D Documentation of Natural and Cultural Heritage)
Show Figures

Figure 1

22 pages, 8359 KB  
Article
Unsteady Aerodynamics of Continuously Morphing Airfoils from Transonic to Hypersonic Regimes
by Linyi Zhi, Renqing Zhai, Yu Yang, Xintong Shi and Zhigang Wang
Aerospace 2026, 13(1), 103; https://doi.org/10.3390/aerospace13010103 - 21 Jan 2026
Viewed by 88
Abstract
Designing high-speed aircraft for wide-speed-range operation remains a major aerodynamic challenge. This study investigates the unsteady aerodynamics of a continuously morphing airfoil from transonic to hypersonic regimes. A smooth morphing trajectory is constructed among transonic, supersonic, and hypersonic baseline shapes, and analyzed via [...] Read more.
Designing high-speed aircraft for wide-speed-range operation remains a major aerodynamic challenge. This study investigates the unsteady aerodynamics of a continuously morphing airfoil from transonic to hypersonic regimes. A smooth morphing trajectory is constructed among transonic, supersonic, and hypersonic baseline shapes, and analyzed via high-fidelity unsteady Reynolds-averaged Navier–Stokes (URANS) simulations with a radial basis function (RBF) dynamic mesh. Two processes are examined: pure geometric morphing at fixed Mach numbers (Ma), and morphing coupled with flight acceleration. Key findings reveal two distinct adaptation features: (1) Transonic flow is highly sensitive to morphing (28.8% drop in lift-to-drag ratio), while supersonic flow is robust (<5% variation). (2) During coupled acceleration, the flow transitions smoothly—the shock evolves from a detached bow wave to an attached oblique structure, and the adaptive airfoil maintains a lift-to-drag ratio above 4 across Ma = 0.8–6. Additionally, wake vorticity transitions from organized shear layers to multi-scale clusters. These results elucidate the flow physics mechanism of continuous morphing and provide a framework for designing adaptive wide-speed-range aircraft. Full article
Show Figures

Figure 1

Back to TopTop