Sign in to use this feature.

Years

Between: -

Subjects

remove_circle_outline
remove_circle_outline
remove_circle_outline
remove_circle_outline
remove_circle_outline

Journals

Article Types

Countries / Regions

Search Results (19)

Search Parameters:
Keywords = fixed tow

Order results
Result details
Results per page
Select all
Export citation of selected articles as:
21 pages, 2871 KB  
Article
Numerical Investigation of Factors Influencing the Formation of Thermal Stratification in Water Bodies
by Zhenglong Du, Yun Wang, Zhiben Shen, Shiping He and Jun Tan
Appl. Sci. 2025, 15(17), 9301; https://doi.org/10.3390/app15179301 - 24 Aug 2025
Viewed by 963
Abstract
Controlled thermal stratification in water is crucial for applications such as testing the thermal stealth of underwater vehicles and studying aquatic ecosystems. However, existing laboratory methods for generating such stratified environments often lack stability and uniformity. This study systematically investigates the influence of [...] Read more.
Controlled thermal stratification in water is crucial for applications such as testing the thermal stealth of underwater vehicles and studying aquatic ecosystems. However, existing laboratory methods for generating such stratified environments often lack stability and uniformity. This study systematically investigates the influence of various hot water injection methods on the stability of thermal stratification. A computational fluid dynamics model, incorporating the overlapping dynamic mesh technique and the Volume of Fluid free-surface capturing method, was used to compare four generation strategies: single-side fixed discharge, towed horizontal discharge, towed vertical upward discharge, and multi-nozzle towed vertical upward discharge. The results indicate that towed discharge methods produce more stable and uniform thermal stratification compared to the fixed discharge method, achieving a 10.1% increase in the water body’s vertical stability coefficient and a 4.5% increase in the Richardson number, while the maximum surface temperature difference was significantly reduced from 0.98 K to 0.37 K. Among the towed methods, vertical upward discharge demonstrated superior stability over horizontal discharge, as it directly transports the high-temperature plume to the upper layer, minimizing thermal exchange with the lower layer, with its vertical stability coefficient and Richardson number being 17.9% and 23% higher, respectively. While maintaining a constant heat input per unit volume, the multi-nozzle configuration yielded N2 and Ri values comparable to the single-nozzle version, while further improving the temperature uniformity at the free surface. Consequently, the towed vertical upward discharge emerges as a highly efficient method for establishing stable and uniform thermal stratification, with the multi-nozzle configuration showing significant promise for large-scale applications. This study provides a valuable reference for creating stratified fluid environments and for related engineering fields. Full article
(This article belongs to the Special Issue Advances in Fluid Mechanics Analysis)
Show Figures

Figure 1

24 pages, 3659 KB  
Article
An Improved Climbing Strategy for High-Altitude Fast-Deploy Aerostat Systems
by Jun Li, Yonglin Deng, Zheng Chen, Jun Liao and Yi Jiang
Aerospace 2025, 12(8), 727; https://doi.org/10.3390/aerospace12080727 - 15 Aug 2025
Viewed by 766
Abstract
Due to the restrictions associated with the actual deployment time, the flight performance of traditional aerostat systems in the climbing process needs to be improved to reduce the climbing time and the horizontal movement. This paper presents a scheme comprising a dual-balloon system, [...] Read more.
Due to the restrictions associated with the actual deployment time, the flight performance of traditional aerostat systems in the climbing process needs to be improved to reduce the climbing time and the horizontal movement. This paper presents a scheme comprising a dual-balloon system, including an assisting system and a station-keeping system. In this study, a thermal and dynamic model for an aerostat system in the climbing course was established. To verify the theoretical model, flight experiments including traditional and improved aerostat systems were conducted. The performance of the improved aerostat system was compared with that of the traditional aerostat system. In addition, in this paper, the effects of helium mass in the tow balloon and payload mass on the climbing performance and equilibrium height of the improved aerostat system are discussed in detail. The results demonstrate that larger tow balloon volume does not guarantee better performance. With a fixed payload mass, equilibrium height initially rises sharply with helium mass but soon plateaus. Compared to traditional zero-pressure balloons, the dual-balloon system cuts ascent time by two-thirds. The proposed conceptual design and theoretical model could be a pathway towards achieving rapid deployment in high-altitude dual-balloon systems. Full article
Show Figures

Figure 1

28 pages, 19884 KB  
Article
Study on Dynamic Characteristics and Fracture Failure of Rigid Truss Trawl System During Towing Process
by Dapeng Zhang, Bowen Zhao, Yi Zhang, Keqiang Zhu and Jin Yan
J. Mar. Sci. Eng. 2025, 13(3), 586; https://doi.org/10.3390/jmse13030586 - 17 Mar 2025
Cited by 1 | Viewed by 833
Abstract
Deep-sea fisheries depend on various fishing methods, including trawling, purse seining, and longline fishing, among others. Studying the dynamic characteristics of trawling operations is essential for the trawl mechanism. Because of the solid truss support, the beam trawl system may be employed in [...] Read more.
Deep-sea fisheries depend on various fishing methods, including trawling, purse seining, and longline fishing, among others. Studying the dynamic characteristics of trawling operations is essential for the trawl mechanism. Because of the solid truss support, the beam trawl system may be employed in extreme sea conditions, the high-speed driving of tugs, and maneuvering situations. This study systematically investigates the dynamic responses and structural safety of a midwater beam trawl during towing via the lumped mass method and OrcaFlex 9.7e simulations. Firstly, a trawl model with four towlines was developed and validated against flume tank experiments. Secondly, multiple operational scenarios were analyzed: towing speeds, angular velocity variations under a fixed turning radius, and radius effects under constant angular velocity. The results show that line tension increases with the speed increment and that the rigid frame destabilizes at angular velocities exceeding 20°/s due to centrifugal overload. Furthermore, line fracture scenarios during startup and straight-line towing were emphasized. Single-line failure leads to edge constraint loss, redistributing stress to the remaining lines, and asymmetric dual-line fracture triggers net torsion, reducing fishing efficiency. This study provides theoretical guidance for optimizing the safe operational parameters of midwater beam trawls. Full article
Show Figures

Figure 1

31 pages, 49489 KB  
Review
Runway-Free Recovery Methods for Fixed-Wing UAVs: A Comprehensive Review
by Yunxiao Liu, Yiming Wang, Han Li and Jianliang Ai
Drones 2024, 8(9), 463; https://doi.org/10.3390/drones8090463 - 5 Sep 2024
Cited by 4 | Viewed by 7592
Abstract
Fixed-wing unmanned aerial vehicles (UAVs) have the advantages of long endurance and fast flight speed and are widely used in surveying, mapping, monitoring, and defense fields. However, its conventional take-off and landing methods require runway support. Achieving runway-free recovery is necessary for expanding [...] Read more.
Fixed-wing unmanned aerial vehicles (UAVs) have the advantages of long endurance and fast flight speed and are widely used in surveying, mapping, monitoring, and defense fields. However, its conventional take-off and landing methods require runway support. Achieving runway-free recovery is necessary for expanding the application of fixed-wing UAVs. This research comprehensively reviews the various techniques and scenarios of runway-free recovery of fixed-wing UAVs and summarizes the key technologies. The above methods cover parachute recovery, net recovery, rope recovery, SideArm recovery, deep stall recovery, towed drogue docking recovery, and robotic arm recovery methods within runway-free recovery. Finally, this research discusses the future research directions of runway-free recovery. Full article
Show Figures

Figure 1

10 pages, 1605 KB  
Article
Underwater Acoustic Signal Detection against the Background of Non-Stationary Sea Noise
by Alexander Gennadievich Khobotov, Vera Igorevna Kalinina, Alexander Ivanovich Khil’ko and Alexander Igorevich Malekhanov
J. Mar. Sci. Eng. 2024, 12(9), 1540; https://doi.org/10.3390/jmse12091540 - 4 Sep 2024
Cited by 1 | Viewed by 1556
Abstract
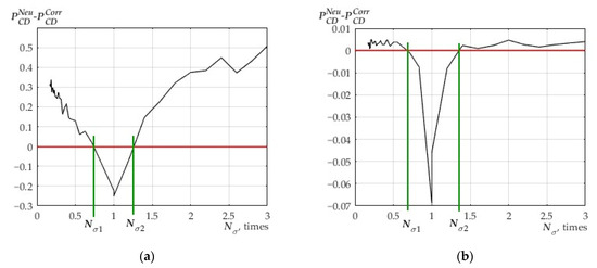
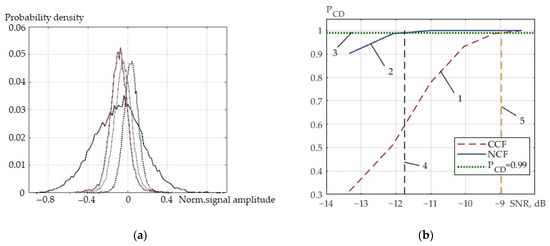
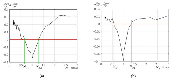
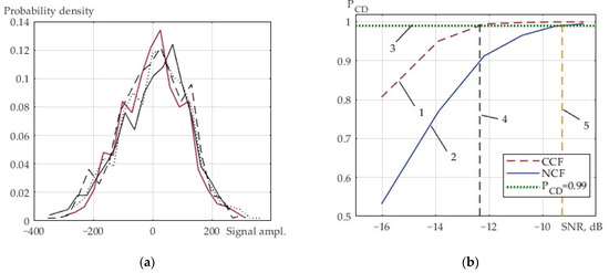
In this paper, we further develop a novel, efficient approach to the problem of signal detection against background noise based on a nonlinear residual functional called the neuron-like criterion function (NCF). A detailed comparison of the NCF-based technique and the conventional correlation criterion [...] Read more.
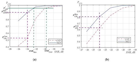
In this paper, we further develop a novel, efficient approach to the problem of signal detection against background noise based on a nonlinear residual functional called the neuron-like criterion function (NCF). A detailed comparison of the NCF-based technique and the conventional correlation criterion function (CCF)-based matched-signal detection is performed. For this purpose, we calculated the detection performance curves for both techniques and found the range of the problem parameters in which the NCF-based detector shows a certain advantage. The latter consists of achieving a fixed value of detection probability at a lower threshold value of the input signal-to-noise ratio (SNR) compared to the CCF-based detector. Special attention is given to the practically important scenario of receiving a weak signal against the background of non-stationary noise with a certain trend (positive or negative) of its intensity. For these two specific cases, modified NCFs are given, which are then used for computer simulation. For both broadband and narrow-band signals, the quantitative bounds of the most effective use of the derived NCFs are established and interpreted. The real sea noise data obtained from two underwater acoustic arrays, one stationary on the sea bottom and the other towed near the sea surface, are used for experimental validation. The experimental data processing results confirm the simulation results and make it possible to demonstrate the advantage of the NCF if the noise intensity shows a significant trend over the signal observation interval. The latter case obviously corresponds to the use of the towed array in the coastal area. Full article
(This article belongs to the Section Ocean Engineering)
Show Figures

Figure 1

28 pages, 5764 KB  
Article
Optimization Study of Steady-State Aerial-Towed Cable Circling Strategy Based on BP Neural Network Prediction
by Luqi Feng, Xueqiang Liu and Zi Feng Nio
Aerospace 2024, 11(7), 594; https://doi.org/10.3390/aerospace11070594 - 21 Jul 2024
Cited by 4 | Viewed by 1889
Abstract
This paper presents models for UAV aerial-towed cables in free-end and fixed-end configurations, crucial for tasks like communication and aerial charging. By establishing a quasi steady-state model, computational results on cable shapes are obtained. To accelerate computations, a backpropagation (BP) neural network prediction [...] Read more.
This paper presents models for UAV aerial-towed cables in free-end and fixed-end configurations, crucial for tasks like communication and aerial charging. By establishing a quasi steady-state model, computational results on cable shapes are obtained. To accelerate computations, a backpropagation (BP) neural network prediction model is trained, significantly reducing the computation time. An evaluation function has been developed that integrates both aircraft performance and cable shape considerations to evaluate circling parameters across various states. This function integrates techniques such as BP neural networks and particle swarm optimization (PSO) to refine parameters such as velocities and bank angles for both free-end and fixed-end cables. The results show that the BP neural network accurately predicts cable shapes, achieving a maximum error of 5% in towing force and verticality. Additionally, PSO efficiently optimizes circling parameters, thereby enhancing the effectiveness of the evaluation function in identifying optimal solutions. This approach significantly improves the efficiency of determining optimal circling parameters for UAV aerial-towed cables, thereby contributing to their operational efficacy. Full article
(This article belongs to the Special Issue Aerodynamic and Multidisciplinary Design Optimization)
Show Figures

Figure 1

18 pages, 2391 KB  
Article
Hydrodynamic Development and Optimisation of a Retrofittable Dual-Mode Propeller Turbine
by Joylan Rao Erriah, Pengfei Liu and Serkan Turkmen
Energies 2024, 17(13), 3138; https://doi.org/10.3390/en17133138 - 26 Jun 2024
Cited by 2 | Viewed by 1913
Abstract
Dual-mode propellers, as propulsion and turbine devices, have found widespread application in renewable energy systems for marine vehicles, particularly in sailing boats and yachts. However, the existing dual-mode propellers in these contexts are typically chosen in an off-the-shelf manner, indicating a lack of [...] Read more.
Dual-mode propellers, as propulsion and turbine devices, have found widespread application in renewable energy systems for marine vehicles, particularly in sailing boats and yachts. However, the existing dual-mode propellers in these contexts are typically chosen in an off-the-shelf manner, indicating a lack of hydrodynamic optimisation to enhance both the propulsion and energy generation efficiency in the same rotor. To address this limitation and furnish scientific validation of the design of a dual-mode propeller turbine rotor optimised to achieve a balanced performance in both propulsion and energy generation, rigorous experimentation was conducted using specialised software, Rotorysics 2019, and a case study vessel, the Princess Royale. Utilising prior experimental data for this propeller turbine, code validation was undertaken to ensure accurate prediction of the effects of the pitch, blade count and expanded area ratio on the performance in both modes. With the intention of achieving optimal power generation and propulsion efficiencies in conjunction with a single rotor, the findings reveal that the optimised fixed-pitch propeller exhibits dual functionality. They serve as both propulsion and tidal/current turbines with balanced efficiency. They are particularly suitable for low-speed vessels such as yachts anchored in currents or for sailboats utilising a propeller as a towed turbine. Through thorough testing and analysis, the concept of a dual-mode propeller turbine was feasible. Analysing them separately, in terms of the propulsion, the best geometry found through numerous tests of different expanded area ratios, blade number, pitch and speed was the 3-blade, 0.6 pitch ratio, which achieved a propulsive efficiency of 54.33% (0.5433204) and a power coefficient of 0.291843. Conversely, if the focus was on power generation while maintaining excellent propulsive efficiency, the optimal geometry would be the 5-blade, 0.6 pitch ratio, which offers a power coefficient of 0.348402 and a propulsive efficiency of 48.55% (0.48547). However, when using both power generation and propulsion as the criteria, the 5-blade, 0.6 pitch ratio, with an EAR of 0.387142, is superior, with balanced optimisation, offering a propulsive efficiency of 52.53% (0.52527) and a power coefficient of 0.319718. As expected, this encompasses a higher blade number for increased power generation efficiency and a higher pitch ratio for increased propulsive efficiency. Full article
(This article belongs to the Section A3: Wind, Wave and Tidal Energy)
Show Figures

Figure 1

12 pages, 5425 KB  
Article
An Anchoring Capacity Study Focused on a Wheel’s Curvature Geometry for an Autonomous Underwater Vehicle with a Traveling Function during Contact with Loose Ground Containing Water
by Akira Ofuchi, Daisuke Fujiwara and Kojiro Iizuka
Geotechnics 2024, 4(2), 350-361; https://doi.org/10.3390/geotechnics4020019 - 25 Mar 2024
Viewed by 1370
Abstract
The current scallop fishery sector allows many scallops to remain in specified fishing zones, and this process leads to heavy losses in the sector. Scallop fishermen aim to harvest the remaining scallops to reduce their losses. To achieve this, a fisherman must understand [...] Read more.
The current scallop fishery sector allows many scallops to remain in specified fishing zones, and this process leads to heavy losses in the sector. Scallop fishermen aim to harvest the remaining scallops to reduce their losses. To achieve this, a fisherman must understand the scallop ecology on the seafloor. In our previous study, we proposed a method for measuring scallops using wheeled robots. However, a wheeled robot must be able to resist disturbance from the sea to achieve high measurement accuracy. Strong anchoring of wheels against the seafloor is necessary to resist disturbance. To better understand anchoring performance, we confirmed the wheel anchoring capacity in water-containing sand in an experiment. In this experiment, we towed fixed wheels on water-containing sand and measured the resistance force acting between the wheel and the sand. Afterward, we considered the resistance force as the wheel anchoring capacity on the water-containing sand. The experimental results capture the tendency for the anchoring capacity of sand with/without water to increase with sinkage. The results also demonstrate that the anchoring capacity of water-containing sand is lower than that of non-water-containing sand. However, the results indicate that when the wheels possess lugs, their presence tends to increase the wheels’ anchoring capacity in water. Full article
(This article belongs to the Special Issue Recent Advances in Geotechnical Engineering (2nd Edition))
Show Figures

Graphical abstract

15 pages, 5727 KB  
Article
Study on Reducing Towing Drag by Varying the Shape and Arrangement of Floats and Gears
by Jung-Mo Jung, Yoshiki Matsushita and Seonghun Kim
Appl. Sci. 2022, 12(15), 7606; https://doi.org/10.3390/app12157606 - 28 Jul 2022
Cited by 4 | Viewed by 2396
Abstract
Many studies have been conducted with the aim of reducing fuel consumption by the fishing industry. We examined whether drag can be reduced by changing the arrangement of gears without requiring the development of new parts for the conventional float and ground gear. [...] Read more.
Many studies have been conducted with the aim of reducing fuel consumption by the fishing industry. We examined whether drag can be reduced by changing the arrangement of gears without requiring the development of new parts for the conventional float and ground gear. Ten differently shaped floats and ground gears were measured in a water flume tank. The float and ground gear were fixed to a steel rod to measure fluid drag according to attack angle, using a multi-component load cell. To estimate the frictional drag of ground gear on the seabed, five types of large ground gear were towed on flat land while changing attack angle using the load cell to measure tension. The fluid drag of the float and ground gear was highest at an attack angle of 60°, regardless of shape, size, and flow velocity. The resistance coefficients of the float and ground gear varied depending on the attack angle and tended to be lower at small attack angles. The frictional drag of the ground gear was greater when the axis of rotation had a small attack angle in the towing direction compared to other attack angles. We then investigated a method for designing bottom-towed gear that reduces drag while maintaining the size, buoyancy, and sinking force of conventional fishing gear parts. This gear design showed 1.2% drag reduction and an estimated 0.8% improvement in fuel efficiency per haul. Full article
Show Figures

Figure 1

18 pages, 10272 KB  
Article
Ship Bow Wings with Application to Trim and Resistance Control in Calm Water and in Waves
by Dimitris Ntouras, George Papadakis and Kostas Belibassakis
J. Mar. Sci. Eng. 2022, 10(4), 492; https://doi.org/10.3390/jmse10040492 - 2 Apr 2022
Cited by 18 | Viewed by 4019
Abstract
Flapping foils for augmenting thrust production have drawn attention as a means of assisting ship propulsion in waves due to their high efficiency rate compared to traditional screw propellers. However, they can also offer substantial resistance reduction when used as stabilizers. In this [...] Read more.
Flapping foils for augmenting thrust production have drawn attention as a means of assisting ship propulsion in waves due to their high efficiency rate compared to traditional screw propellers. However, they can also offer substantial resistance reduction when used as stabilizers. In this work, the aim is to investigate the feasibility of a symbiotic concept combining the ship’s propeller with a foil arranged at the ship’s bow at a fixed position operating as a trim-pitch stabilizer. The work presents results obtained from experiments conducted in the towing tank of the Laboratory of Ship and Marine Hydrodynamics of the National Technical University of Athens (LMSH NTUA), as well as results from an in-house CFD solver. The test cases focused on the resistance and the dynamic behavior of the wing–vessel configuration in calm water conditions and in head waves. All results were compared against the performance of a bare hull (without foil). The findings of this work are based both on numerical and experimental data and indicate that a bow wing in static mode can be used for trim-control of a vessel by altering the angle of attack leading to a possible drop in wave resistance both in calm water and in waves. In the latter case, utilizing the wing in head waves results in a significant reduction in the pitching and heaving responses of the vessel, which may lead to substantial enhancement of the propulsion performance. Full article
(This article belongs to the Special Issue Energy Saving Devices for Ships)
Show Figures

Figure 1

19 pages, 7327 KB  
Article
Influence of Flanks on Resistance Performance of High-Speed Amphibious Vehicle
by Dibo Pan, Xiaojun Xu and Bolong Liu
J. Mar. Sci. Eng. 2021, 9(11), 1260; https://doi.org/10.3390/jmse9111260 - 12 Nov 2021
Cited by 23 | Viewed by 3192
Abstract
In order to reduce the additional resistance of high-speed amphibious vehicles, Flanks are designed on the concave grooves. As a new drag reduction attachment, the principle of Flanks is analyzed and discussed in detail. In this paper, the HSAV model and Flanks coupling [...] Read more.
In order to reduce the additional resistance of high-speed amphibious vehicles, Flanks are designed on the concave grooves. As a new drag reduction attachment, the principle of Flanks is analyzed and discussed in detail. In this paper, the HSAV model and Flanks coupling resistance tests are performed based on the Reynolds-averaged Navier–Stokes method and SST kω model. The accuracy of the numerical approach is verified by a series of towing tests. Results show that with a fixed installation angle and invariable characteristic parameters, Flanks can significantly reduce the total resistance at high speed, with a maximum drag reduction of 16%. In the meantime, Flanks also affect the attitude and flow field of the vehicle, consequently affecting the resistance composition and the sailing condition. A vehicle model self-propulsion test is designed and carried out, and it qualitatively verifies the drag reduction effect of the Flanks at high speed. Full article
(This article belongs to the Section Ocean Engineering)
Show Figures

Figure 1

16 pages, 2837 KB  
Article
Dry Fibre Placement: The Influence of Process Parameters on Mechanical Laminate Properties and Infusion Behaviour
by Benjamin Grisin, Stefan Carosella and Peter Middendorf
Polymers 2021, 13(21), 3853; https://doi.org/10.3390/polym13213853 - 8 Nov 2021
Cited by 10 | Viewed by 4190
Abstract
Within the dry fibre placement (DFP) process, spread and pre-bindered carbon fibre rovings are automatically processed into dry textile preforms using 2-D and 3-D laying systems. The aim was to automate existing hand lay-up processes, reducing the complexity, increasing robustness, and facilitating the [...] Read more.
Within the dry fibre placement (DFP) process, spread and pre-bindered carbon fibre rovings are automatically processed into dry textile preforms using 2-D and 3-D laying systems. The aim was to automate existing hand lay-up processes, reducing the complexity, increasing robustness, and facilitating the handling of the DFP technology. Process reliability, low waste rates, and flexible production are demonstrated. In this publication, the influences of the process parameters, 2 mm wide gaps and the percentage of 90° plies in the laminate, are investigated with regard to the mechanical properties, the permeability, and the infusion times in the preform z-direction (thickness). The effects on stiffness and strength are compared for several use cases. An approach to determine the infusion times as a function of the laminate thickness, the ply structure, and 2 mm wide gaps is demonstrated and analysed using vacuum-assisted process (VAP) infusion tests. The investigations are performed with carbon fibre tows (24 k), a reactive epoxy-based binder system, and a thermoset infusion resin system. Full article
Show Figures

Figure 1

16 pages, 7020 KB  
Article
Real-Time Management of Vessel Carbon Dioxide Emissions Based on Automatic Identification System Database Using Deep Learning
by Yongpeng Wang, Daisuke Watanabe, Enna Hirata and Shigeki Toriumi
J. Mar. Sci. Eng. 2021, 9(8), 871; https://doi.org/10.3390/jmse9080871 - 13 Aug 2021
Cited by 19 | Viewed by 4230
Abstract
In this study, we propose an effective method using deep learning to strengthen real-time vessel carbon dioxide emission management. We propose a method to predict real-time carbon dioxide emissions of the vessel in three steps: (1) convert the trajectory data of the fixed [...] Read more.
In this study, we propose an effective method using deep learning to strengthen real-time vessel carbon dioxide emission management. We propose a method to predict real-time carbon dioxide emissions of the vessel in three steps: (1) convert the trajectory data of the fixed time interval into a spatial–temporal sequence, (2) apply a long short-term memory (LSTM) model to predict the future trajectory and vessel status data of the vessel, and (3) predict the carbon dioxide emissions. Automatic identification system (AIS) database of a liquefied natural gas (LNG) vessel were selected as the sample and we reconstructed the trajectory data with a fixed time interval using cubic spline interpolation. Applying the interpolated AIS data, the carbon dioxide emissions of the vessel were calculated based on the International Towing Tank Conference (ITTC) recommended procedures. The experimental results are twofold. First, it reveals that vessel emissions are currently underestimated. This study clearly indicates that the actual carbon dioxide emissions are higher than those reported. The finding offers insight into how to accurately measure the emissions of vessels, and hence, better execute a greenhouse gases (GHGs) reduction strategy. Second, the LSTM model has a better trajectory prediction performance than the recurrent neural network (RNN) model. The errors of the trajectory endpoint and carbon dioxide emissions were small, which shows that the LSTM model is suitable for spatial–temporal data prediction with excellent performance. Therefore, this study offers insights to strengthen the real-time management and control of vessel greenhouse gas emissions and handle those in a more efficient way. Full article
(This article belongs to the Special Issue Advanced Research in Shipping Informatics and Communications)
Show Figures

Figure 1

19 pages, 8927 KB  
Article
Mapping Sea Surface Height Using New Concepts of Kinematic GNSS Instruments
by Clémence Chupin, Valérie Ballu, Laurent Testut, Yann-Treden Tranchant, Michel Calzas, Etienne Poirier, Thibault Coulombier, Olivier Laurain, Pascal Bonnefond and Team FOAM Project
Remote Sens. 2020, 12(16), 2656; https://doi.org/10.3390/rs12162656 - 19 Aug 2020
Cited by 27 | Viewed by 6813
Abstract
For over 25 years, satellite altimetry observations have provided invaluable information about sea-level variations, from Global Mean Sea-Level to regional meso-scale variability. However, this information remains difficult to extract in coastal areas, where the proximity to land and complex dynamics create complications that [...] Read more.
For over 25 years, satellite altimetry observations have provided invaluable information about sea-level variations, from Global Mean Sea-Level to regional meso-scale variability. However, this information remains difficult to extract in coastal areas, where the proximity to land and complex dynamics create complications that are not sufficiently accounted for in current models. Detailed knowledge of local hydrodynamics, as well as reliable sea-surface height measurements, is required to improve and validate altimetry measurements. New kinematic systems based on Global Navigation Satellite Systems (GNSS) have been developed to map the sea surface height in motion. We demonstrate the capacity of two of these systems, designed to measure the height at a centimetric level: (1) A GNSS floating carpet towed by boat (named CalNaGeo); and (2) a combination of GNSS antenna and acoustic altimeter (named Cyclopée) mounted on an unmanned surface vehicle (USV). We show that, at a fixed point, these instruments provide comparable accuracy to the best available tide gauge systems. When moving at up to 7 knots, the instrument velocity does not affect the sea surface height accuracy, and the two instruments agree at a cm-level. Full article
(This article belongs to the Special Issue Calibration and Validation of Satellite Altimetry)
Show Figures

Graphical abstract

17 pages, 6139 KB  
Article
A Novel Vision-Based Towing Angle Estimation for Maritime Towing Operations
by Xiong Zou, Wenqiang Zhan, Changshi Xiao, Chunhui Zhou, Qianqian Chen, Tiantian Yang and Xin Liu
J. Mar. Sci. Eng. 2020, 8(5), 356; https://doi.org/10.3390/jmse8050356 - 18 May 2020
Cited by 4 | Viewed by 3288
Abstract
The demand for non-powered facility towing is increasing with the development of large-scale offshore projects. It is of great interest for its safe operation to measure the state of the towing process in real time. This paper proposed a computer vision algorithm designed [...] Read more.
The demand for non-powered facility towing is increasing with the development of large-scale offshore projects. It is of great interest for its safe operation to measure the state of the towing process in real time. This paper proposed a computer vision algorithm designed to measure the tug yawing during the towing operation by estimating the towing line angle. The geometrical projection of the towing line from 3D to 2D is described in detail. By fixing the camera at specific locations and simplifying the calculation procedure, the towing line angle in the 3D world can be estimated by the line angle in the image. Firstly, the sea–sky line is detected to estimate the rolling angle of the tug in the captured image. Then, the towing line angle is calculated by an image processing method. At the same time, the estimation of the towing angle is achieved through the captured video data analysis. Finally, field experiments were carried out and the results demonstrated that this method is suitable for real-time calculation of the towing angle during the towing operation. Full article
(This article belongs to the Special Issue Maritime Safety)
Show Figures

Figure 1

Back to TopTop