Next Article in Journal
Optimization of Integrated Tugboat–Berth–Quay Crane Scheduling in Container Ports Considering Uncertainty in Vessel Arrival Times and Berthing Preferences
Previous Article in Journal
Recent Advances in Aluminum Welding for Marine Structures
 
 
Font Type:
Arial Georgia Verdana
Font Size:
Aa Aa Aa
Line Spacing:
Column Width:
Background:
Article

Underwater Acoustic Signal Detection against the Background of Non-Stationary Sea Noise

by
Alexander Gennadievich Khobotov
,
Vera Igorevna Kalinina
*,
Alexander Ivanovich Khil’ko
and
Alexander Igorevich Malekhanov
Institute of Applied Physics, Russian Academy of Sciences, 46 Uljanova St., 603950 Nizhny Novgorod, Russia
*
Author to whom correspondence should be addressed.
J. Mar. Sci. Eng. 2024, 12(9), 1540; https://doi.org/10.3390/jmse12091540
Submission received: 1 August 2024 / Revised: 22 August 2024 / Accepted: 28 August 2024 / Published: 4 September 2024
(This article belongs to the Section Ocean Engineering)

Abstract

In this paper, we further develop a novel, efficient approach to the problem of signal detection against background noise based on a nonlinear residual functional called the neuron-like criterion function (NCF). A detailed comparison of the NCF-based technique and the conventional correlation criterion function (CCF)-based matched-signal detection is performed. For this purpose, we calculated the detection performance curves for both techniques and found the range of the problem parameters in which the NCF-based detector shows a certain advantage. The latter consists of achieving a fixed value of detection probability at a lower threshold value of the input signal-to-noise ratio (SNR) compared to the CCF-based detector. Special attention is given to the practically important scenario of receiving a weak signal against the background of non-stationary noise with a certain trend (positive or negative) of its intensity. For these two specific cases, modified NCFs are given, which are then used for computer simulation. For both broadband and narrow-band signals, the quantitative bounds of the most effective use of the derived NCFs are established and interpreted. The real sea noise data obtained from two underwater acoustic arrays, one stationary on the sea bottom and the other towed near the sea surface, are used for experimental validation. The experimental data processing results confirm the simulation results and make it possible to demonstrate the advantage of the NCF if the noise intensity shows a significant trend over the signal observation interval. The latter case obviously corresponds to the use of the towed array in the coastal area.

1. Introduction

Currently, artificial neural networks built by comparing with information processing systems in natural neural networks are intensely studied and widely used to solve various practical problems. Signal processing techniques and algorithms based on such comparisons show their effectiveness in various applications. The scientific and applied relevance of this study is due to the need to improve the accuracy of signal detection in various environmental or technical conditions.
One of the well-known and generally accepted approaches to solving the signal detection problem is matched signal filtering, which is based on the use of a replica of the reference (test) signal and the CCF. It is known that the matched filter is the optimal receiver in the case of a deterministic signal and white Gaussian noise. This technique maximizes the output SNR (see, e.g., [1,2]). The commonly used Neyman–Pearson criterion includes a preliminary assessment of the signal detection threshold based on a statistical analysis of the received noise in the absence of a useful signal, and further calculation of the probability of correct detection (PCD) proceeds from the condition of stationary noise in the signal observation interval. Thus, this approach does not take into account the possible non-stationary behavior of the noise against the background from which the signal is received.
One typical case is the temporal variability of the input noise intensity. Such a case is indeed possible and to be expected in many practical scenarios. For example, in the absence of a useful signal, the noise background at the receiver input may happen to have an intensity lower than the time interval of the signal reception. In underwater acoustics, variations in intrinsic noise may correspond to conditions of relatively close navigation and/or rapid variability in weather conditions with respective changes in wind waves. Despite the practical reasons, the study of such a scenario in signal detection is rather poorly covered in the literature. Therefore, important issues arise here, namely, to first obtain a preliminary estimate of the behavior of real noise in terms of its intensity level, and then to find the correct (most effective) methods for signal detection in a non-stationary noise background.
Our recent research has been motivated by these issues and has demonstrated the NCF as an effective “tool” for signal detection in non-stationary noise, when applied to underwater sound and the related fields [3,4]. However, the previously proposed NCF did not take into account any features of the noise related to its significant temporal variability. This means that the aforementioned issues have not been adequately explored. This paper addresses these issues directly and derives two modifications of the NCF that depend on whether the noise intensity trend is increasing (incremental noise) or decreasing (decremental noise) at the receiver input.
For a comparative analysis of the linear approach based on the conventional CCF and the nonlinear, neuron-like approach based on the NCF, we use the well-known Neyman–Pearson criterion and calculate the dependence of the PCD on the input SNR, or the detection efficiency. Also, a detector that provides a higher PCD for some given value of the input SNR is commonly considered more efficient if the false detection probability, or false alarm rate (FAR), is fixed. In other words, this means that such a detector provides some given (previously required) PCD value for a lower SNR. We focused on quantitative estimates of non-stationary noise behavior, in which the “hierarchy” of the two considered approaches is reversed. This is the main motivation and specific goal of this study—to develop a neuron-like approach to solve the proposed detection problem.

2. Materials and Methods

Our approach to signal detection and “building” a nonlinear threshold function is theoretically based on the mathematical model of the McCulloch–Pitts neuron [5]. The basic idea of the nonlinear algorithm and the basic transformation forming the output signal of the NCF-based detector W N e u τ were illustrated in as follows [3]:
W N e u ( τ ) = 0 T Q t × x t τ d t ,
Θ t = 0 , i f x t y t τ x t · y t τ y t τ 1 , i f x t > y t τ x t · y t τ y t τ ,
where T is the time interval of the test signal, τ is the time shift, x(t) is the reference or test signal, y t is the input signal with additive noise, and Q t is the NCF for the nonlinear neuron-like transformation of the input signal. It “operates” with the instantaneous difference between the input and test signals, rather than their correlation as seen in a CCF-based detector. As a typical threshold function, the NCF has only two possible values, 0 and 1. Therefore, the principal function of NCF operations is to modulate the input signal, which either “resets” the output signal samples in the areas of matching amplitudes of the input and test signals, or, on the contrary, “resets” the non-matching areas of the signal. In this way, NCF samples are formed.
The linear correlation technique, which involves calculating the correlation coefficient of the input y t and test x t signals, has the following well-known form [1]:
W C o r r τ = 0 T y t · x t τ d t 0 T y 2 t d t · 0 T x 2 t d t .
The difference between the NCF (1–2) and the CCF (3) is the replacement of the linear multiplication operation of the signal samples with a signal modulation procedure at each time sample.
As emphasized above, additive noise can have a natural trend of increasing or decreasing, i.e., the noise variance can change up or down during the time interval when signals are received. Our an alysis showed that the NCF should be modified to take this trend into account. In the case of an increased noise intensity trend, the output signal W 1 N e u ( τ ) should be calculated as follows:
W 1 N e u ( τ ) = 0 T Θ y t , x t τ d t 0 T x t τ d t + 0 T y t d t ,
Θ y t , x t τ = max x t τ × L t , y t × M t ,
L t = 1 , i f y t x t τ y t · x t τ x t τ 0 , i f y t > x t τ y t · x t τ x t τ ,
M t = 1 , i f x t τ y t x t τ · y t y t 0 , i f x t τ > y t x t τ · y t y t ,
where y t is the input signal, x t τ is the test signal, and τ is the time shift. The NCF was calculated for each sample.
In the case of a decreased noise intensity trend, the output signal should be calculated differently, and the difference is in the calculation of the auxiliary functions L(t) and M(t) as follows:
L t = 0 , i f y t x t τ y t · x t τ x t τ 1 , i f y t > x t τ y t · x t τ x t τ ,
M t = 0 , i f x t τ y t x t τ · y t y t 1 , i f x t τ > y t x t τ · y t y t .
We then numerically compared NCF-based techniques with conventional CCF-based techniques in terms of their efficiency. The main quantity to be compared was the value of the input SNR at which a given (fixed) PCD level was achieved. Thus, the smaller the SNR value required to achieve the desired PCD level, the more efficient the criterion function.
For the comparative study, we performed the following signal processing steps:
(1)
Random Gaussian noise with the given value of its variance is generated, or ready-made experimental sea noise data are used;
(2)
Chirp signals (signals with linear frequency modulation) are formed as desired signals;
(3)
Statistical histograms are generated to estimate the probability distribution of the correlation and neuron-like function values when receiving only the noise and when receiving the desired signal against the noise background;
(4)
On the basis of the Neyman–Pearson criterion, the position of the detection threshold at a given (rather typical) value of FAR = 0.001 is determined;
(5)
The dependence of the PCD on the input SNR, or conventional detector performance, is calculated for both the CCF and NCF to be compared.

3. Results

In this section, we review our results to demonstrate the hierarchy of NCF- and CCF-based detectors and to identify a more efficient approach for detecting weak signals in non-stationary noise. We used both computer simulations and experimental data to compare the detectors in detail.

3.1. Computer Simulation Results

In this subsection, using only computer simulations, we consider the cases of increasing and decreasing noise intensity trends.
Figure 1a shows the performance of NCF- and CCF-based detectors for an incremental Gaussian noise model. In this case, the NCF calculation was computed according to Equations (4)–(7). Here, it is seen that a given value of PCD, denoted as P C D * , is achieved at a lower SNR for the NCF ( S N R N e u * ) than for the CCF ( S N R C o r r * ), and some fixed value of the input SNR (e.g., the vertical dashed line that corresponds to the value –24 dB) leads to a higher value of P C D N e u compared to P C D C o r r . We obtained similar conclusions for the case of a decremental Gaussian noise model, as illustrated in Figure 1b. The NCF was calculated here in accordance with Equations (4), (5), (8), and (9).
As noted above, we paid special attention to the problem of quantifying the specific limits of the most efficient use of the NCF-based detector. For this purpose, we introduced a special quantity that is considered an intrinsic characteristic of non-stationary noise, namely, the quantity N σ . It is defined as the ratio of the average noise intensity in the presence of the desired signal (denoted as σ N S ) to the average noise intensity in its absence (denoted as σ N ) for some fixed SNR in the signal bandwidth:
N σ = σ N S σ N .
In the case where N σ > 1 , the noise is clearly incremental, and the NCF is calculated using Equations (4)–(7). In the opposite case, where N σ < 1 , the noise is decremental, so we use Equations (4), (5), (8), and (9).
In the context of our study, it is appropriate to interpret the N σ value as the non-stationary noise index (NSI). Then, the limits of a more efficient use of the NCF-based detector can be determined by the NSI interval when the use of the NCF leads to a better performance compared to the CCF. From Figure 1, we can easily estimate this effect as the corresponding PCD difference, namely, the value of ( P C D N e u P C D C o r r ).
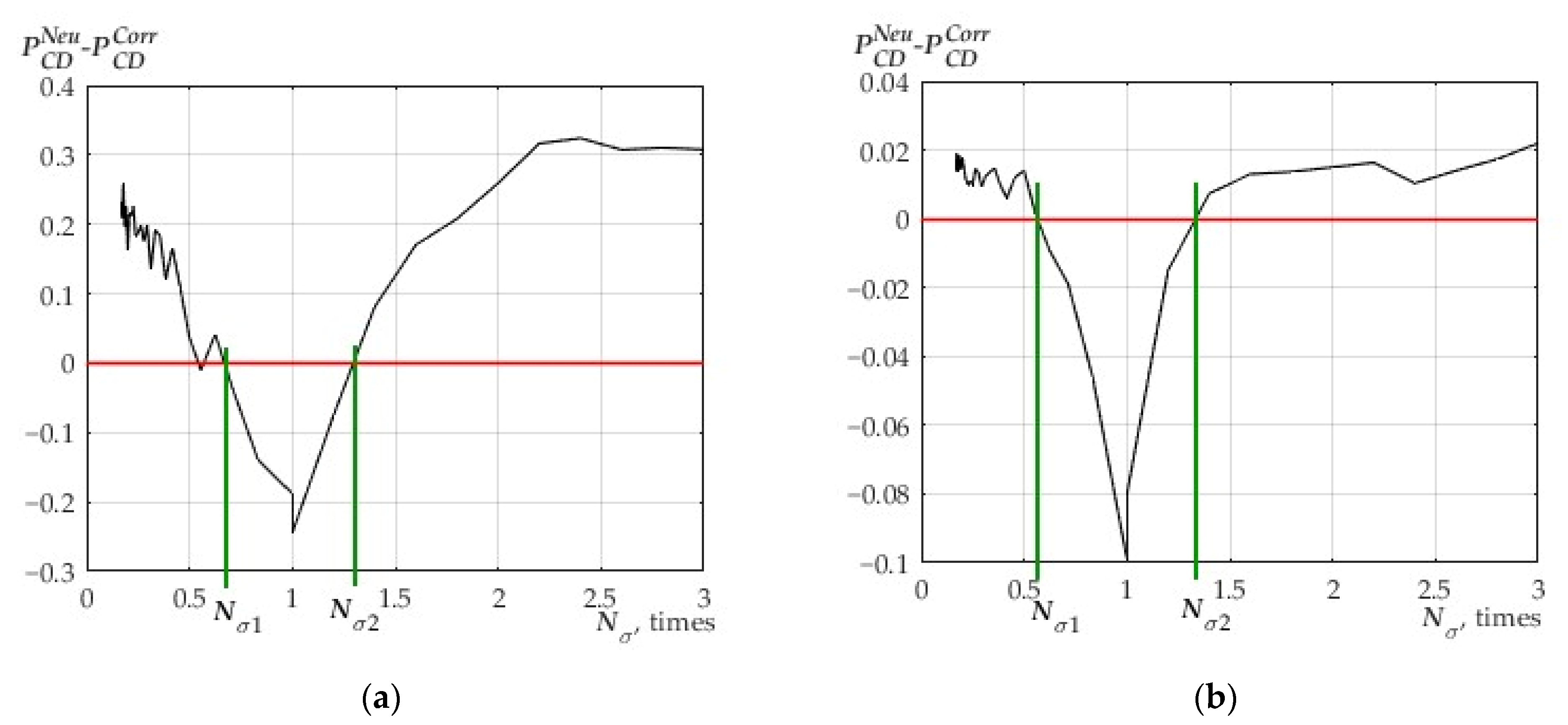
Figure 2 and Figure 3 show the dependence of the PCD difference on the NSI value for broadband and narrow-band test signals, respectively. In the studies using mathematical modeling, as well as when processing the experimental data, we focused on scenarios involving a weak signal against the noise background. In Figure 2, the frequency range of the chirp signal is from 200 to 1000 Hz, and the sampling frequency is 10 kHz. The two input SNR values are fixed at −24 dB (left) and −18 dB (right). In Figure 3, the frequency range is from 200 to 400 Hz, the sampling frequency is 1 kHz, and the input SNR values are −17 dB and −13 dB, respectively. When the PCD difference defined above is less than 0, this means that the CCF-based detector is more efficient, and it has the advantage of achieving a given PCD level with a lower input SNR value.
It can be seen from these two plots that the positions of the N σ 1 and N σ 2 boundary points (market by green lines in Figure 2 and Figure 3), when the NCF and CCF methods give the same PCD value (where the difference is zero), are at approximately the same levels for the illustrated cases. This means that the signal bandwidth is not a critical parameter for the detector comparison.
In Figure 2 and Figure 3, we can see another important point. The CCF-based detector shows its advantage if the NSI value is approximately in the following range:
0.65 < N σ < 1.35 .
The estimate (11) can be heuristically interpreted as the condition of “effective stationarity” of additive noise when the variability of its input intensity over the observation interval is relatively small. In the opposite case, where
N σ < 0.65 ,   N σ > 1.35 ,
the NCF-based detector is considered more efficient and preferable. Moreover, we see that the more the value of N σ differs from a given range (11), the greater the relative advantage of the NCF. This result confirms the expected conclusion that signal detection techniques based on nonlinear signal transformation have a certain advantage in non-stationary noise.

3.2. Experimental Results, Data Set No. 1 (Bottom-Mounted Acoustic Array)

Statistical analysis of ambient sea noise and the study of its effect on underwater acoustic signal detection have been carried out by many authors (see, e.g., [6,7,8,9,10,11,12,13,14,15,16]). In this paper, we use sea noise data obtained in two field experiments. Their main difference was that the background noise implementations in each were significantly different in nature. In the first experiment, the sea noise intensity level was stationary over a fairly long time interval, while in the second experiment, the noise intensity level varied significantly.
In the first experiment, an acoustic array consisting of 180 hydrophones was used, and laid at the sea bottom at a depth of 240 m. The noise signals were recorded with a sampling frequency of 250 Hz, and the total recording interval was about 70 s, which was composed of segments of 2 s each. Figure 4a shows the statistical histograms of the noise values for several samples. Data processing showed that the noise intensity did not change much during the observation interval, so the noise was stationary. This is mainly due to the stationary installation of the array at a sufficient depth where the external environmental factors such as weather conditions do not have such an effect.
Simulated chirped pulses in the frequency range of 50 to 150 Hz, with a duration of 2 s, were generated as the desired signal to be received against the sea noise background. Figure 4b shows the detection performance for this case. It can be seen that the CCF-based detector (curve 1) has a marked advantage over the NCF-based detector (curve 2). For example, at a given PCD level P C D * = 0.99 (dotted line 3), the input SNR values corresponding to these detectors differ by about 3 dB in favor of the CCF. This difference is indicated by the vertical dashed lines 4 (for CCF) and 5 (for NCF).

3.3. Experimental Results, Data Set No. 2 (Towed Acoustic Array)

In the second field experiment, an acoustic array consisting of 16 hydrophones was used. The array was towed behind a ship at a depth of 15 m in the coastal shallow-water area. During the tests, the wind speed was fairly stable at about 3 m/s and the wind wave strength was 2–3 points. The vessel was traveling in a straight line at a speed of three knots. Due to the motion of the vessel, the towed array was stretched in such a way that its tail part was 3–4 m closer to the surface. Due to all these instabilities, the towed array experienced noticeable oscillations in both depth and in course.
Noise signals were recorded with a sampling frequency of 16,000 Hz and a recording duration of 160 s with short segments of 1 s each. Analysis of the noise data showed a fundamental difference from the data of experiment No. 1; in this case, the noise intensity was essentially unstable and increased several times during the observation time, i.e., the noise was, in our terms, incremental. The non-stationary behavior of the noise is illustrated in Figure 5a, which shows normalized statistical histograms of the noise signals for several samples. It is observed that the experimental estimates of the noise variance differ by a factor of 3–4, in contrast to the noise histograms shown in Figure 4a for experiment No. 1.
The chirp signal was generated in a frequency range of 200 to 1000 Hz, with a duration of 1 s, and was added to the experimental noise. Using Equations (4)–(7), the detector performance was then calculated for the NCF-based detector and compared with the CCF-based detector, similar to all the previous examples.
Figure 5b shows the obtained results (notations are the same as in Figure 4b). Here, the advantage of the NCF-based detector can be clearly seen, as one would expect from the simulation results presented in Section 3.1. For example, a fixed value of P C D * = 0.99 (dotted line 3) (as in Figure 4b) is achieved for the NCF-based detector (line 2) with an input SNR value of less than 3 dB, which is less than the value needed for the CCF-based detector (line 1). This difference is indicated by the vertical dashed lines 4 (for CCF) and 5 (for NCF). Thus, the hierarchy of the discussed detectors is reversed, and this is only a consequence of the different noise behavior.

4. Discussion

The results of a comparative study of two different approaches to the construction of the detector criterion functions indicate that the statistical properties of additive noise are a factor that significantly affects the choice of the most efficient one. The problems that were raised as the main motivation of our study have been resolved.
First, numerical simulation of the chirp-signal detection against the background of non-stationary noise (Figure 1, Figure 2 and Figure 3), and then detector modeling using natural data (Figure 4 and Figure 5) clearly showed that the use of the NCF-based detector has an advantage under conditions of a certain (positive or negative) trend of noise intensity. This is clearly demonstrated by achieving a fixed PCD value at an input SNR that appears to be significantly (several dB) lower when compared to that corresponding to the use of a conventional CCF-based detector. This qualitative result is considered to be theoretically significant and practically important, since the non-stationary nature of the noise background is quite typical of the ambient or technical conditions accompanying the signal detection problem in a wide variety of applications. Such a signal reception scenario is of particular importance, for example, in sonar applications, since marine noise is “sensitive” to various natural factors. In addition, the signal reception conditions related to the use of extended antenna arrays of various types can also significantly affect the noise intensity variability over the observation/signal processing interval.
As for quantitative estimates, they are determined by the value (10), which we call the noise non-stationarity index. The obtained inequalities (11) and (12) are important here because they clearly show in what sense the noise can be considered stationary or, on the contrary, significantly non-stationary with a certain intensity trend. These inequalities quantify the limits of the most efficient use of NCFs derived for increasing or decreasing noise intensities. The detectors were compared in the cases of both broadband and narrow-band signals and for different values of the input SNR, with an emphasis on the weak signal scenario.
At the same time, we are far from claiming a definitive, general answer to the issues discussed. First, our analysis was limited to the case of non-stationary noise only, where its intensity trend had a certain sign, positive or negative. Obviously, these variants do not exhaust all the possible varieties of real detection scenarios in practical applications. Furthermore, we restricted ourselves to the case of a deterministic desired signal (e.g., chirp signals were exploited), which does not introduce any distortions into the propagation channel. At the same time, such distortions are possible and even quite typical for natural channels, particularly those over long distances. Underwater sound channels are a very typical example of such unstable environmental conditions. The corresponding effects, which can be interpreted as the effects of a random mismatch of the replica of the reference test signal with the actual received signals, can be expected to have a significant impact on detector performance. The issues outlined here require further study.
Another issue that should be considered among the stimuli for further study is related to the known phenomenon of stochastic resonance (SR). This nonlinear phenomenon is of a rather general nature in dynamical systems and has been intensively studied by many authors (for example, [17,18]). Moreover, some recent works focused on SR in relation to the signal detection problem of underwater sound [19]. In our opinion, there is some physical similarity between the nonlinear signal processing technique proposed and the SR phenomenon. However, this comparison seems to be not so clear in the case of an essentially non-periodic (broadband) chirp signal, so its practical use for further development of our approach is an interesting subject.

5. Conclusions

In this paper, a comparative study of the effectiveness of using nonlinear neuron-like and linear correlation procedures for detecting signals against the background of additive noise was carried out. The comparison was performed both on the basis of simulated noise data and on the basis of data from marine experiments with large acoustic arrays of various types.
It is shown that in cases where the noise is non-stationary and its variance tends to increase or decrease over the observation interval, the NCF-based detector has an advantage over the conventional CCF-based detector. The interval of effective stationary noise is established, which makes it possible to quantify the signal reception conditions in order to make the right choice in favor of one criterion function of the detector or another, namely, the linear CCF or the alternative nonlinear NCF.
This study has shown the practical importance of taking into account the possible non-stationarity of additive noise, against which the desired signal is received, especially at low values of the input SNR. The previously proposed approach based on NCF [3] was modified to take into account the increase or decrease in noise intensity during the observation interval. The results obtained indicate certain prospects for further development and the application of nonlinear neuron-like signal processing techniques for signal detection in real natural environments.

Author Contributions

Conceptualization, A.G.K., V.I.K., A.I.K. and A.I.M.; methodology, V.I.K., A.G.K. and A.I.K.; software, A.G.K. and V.I.K.; validation, V.I.K., A.G.K. and A.I.M.; formal analysis, A.G.K.; investigation, A.G.K. and V.I.K.; resources, V.I.K.; data curation, V.I.K. and A.G.K.; writing—original draft preparation, V.I.K. and A.G.K.; writing—review and editing, V.I.K. and A.I.M.; visualization, V.I.K. and A.G.K.; supervision, A.I.M.; project administration, A.I.M. All authors have read and agreed to the published version of the manuscript.

Funding

This research was funded by the Russian Science Foundation under Project No. 20-19-00383, https://rscf.ru/project/20-19-00383/, accessed on 18 May 2023.

Institutional Review Board Statement

Not applicable.

Informed Consent Statement

Not applicable.

Data Availability Statement

Data are contained within the article.

Acknowledgments

The authors thank the anonymous reviewers for their comments towards improving this manuscript.

Conflicts of Interest

The authors declare no conflicts of interest.

References

  1. Tikhonov, V.I. Optimal Signal Reception; Radio Communication; Izdatel’stvo Radio i Sviaz’: Moscow, Russia, 1983. (In Russian) [Google Scholar]
  2. Trees, H.V. Detection, Estimation, and Modulation Theory, Part I, Detection, Estimation, and Linear Modulation Theory; John Wiley & Sons: New York, NY, USA, 1968; p. 697. [Google Scholar]
  3. Khobotov, A.G.; Kalinina, V.I.; Khil’ko, A.I.; Malekhanov, A.I. Novel Neuron-like Procedure of Weak Signal Detection against the Non-Stationary Noise Background with Application to Underwater Sound. Remote Sens. 2022, 14, 4860. [Google Scholar] [CrossRef]
  4. Kalinina, V.I.; Smirnov, I.P.; Khilko, A.I.; Malekhanov, A.I. Comparative analysis of the noise immunity of algorithms for reconstructing seabed geoacoustic parameters by the coherent sounding technique. Acoust. Phys. 2021, 67, 381–396. [Google Scholar] [CrossRef]
  5. McCalloch, W.S.; Pitts, W. A logical calculus of the ideas immanent in nervous activity. Bull. Math. Biophys. 1943, 5, 115–133. [Google Scholar] [CrossRef]
  6. Urick, R.J. Principles of Underwater Sound; McGraw-Hill: New York, NY, USA, 1975. [Google Scholar]
  7. Coulson, R.; Glegg, S. Imaging of ocean noise. J. Acoust. Soc. Am. 1996, 100, 2736. [Google Scholar] [CrossRef]
  8. Mishachandar, B.; Vairamuthu, S. Diverse ocean noise classification using deep learning. Appl. Acoust. 2021, 181, 108141. [Google Scholar] [CrossRef]
  9. Kuperman, W. Ocean noise: Lose it or use it. J. Acoust. Soc. Am. 2013, 133, 3504. [Google Scholar] [CrossRef]
  10. Wu, G.; Dong, H.; Ke, G.; Song, J. Shear-Wave Tomography Using Ocean Ambient Noise with Interference. Remote Sens. 2020, 12, 2969. [Google Scholar] [CrossRef]
  11. Zhu, S.; Zhang, G.; Wu, D.; Jia, L.; Zhang, Y.; Geng, Y.; Liu, Y.; Ren, W.; Zhang, W. High Signal-to-Noise Ratio MEMS Noise Listener for Ship Noise Detection. Remote Sens. 2023, 15, 777. [Google Scholar] [CrossRef]
  12. Brooker, A.; Humphrey, V. Measurement of radiated underwater noise from a small research vessel in shallow water. Ocean Eng. 2016, 120, 182–189. [Google Scholar] [CrossRef]
  13. Cui, X.; Cang, S.; Li, C.; Tang, D.; Hu, Q.; Yang, H. Depth Spatial Characterization of Marine Environmental Noise in the Zengmu Basin. J. Mar. Sci. Eng. 2023, 11, 2226. [Google Scholar] [CrossRef]
  14. Ruppel, C.D.; Weber, T.C.; Staaterman, E.R.; Labak, S.J.; Hart, P.E. Categorizing Active Marine Acoustic Sources Based on Their Potential to Affect Marine Animals. J. Mar. Sci. Eng. 2022, 10, 1278. [Google Scholar] [CrossRef]
  15. Diviacco, P.; Nadali, A.; Iurcev, M.; Burca, M.; Carbajales, R.; Gangale, M.; Busato, A.; Brunetti, F.; Grio, L.; Viola, A.; et al. Underwater Noise Monitoring with Real-Time and Low-Cost Systems (The CORMA Experience). J. Mar. Sci. Eng. 2021, 9, 390. [Google Scholar] [CrossRef]
  16. Chapman, N.R.; Price, A. Low frequency deep ocean ambient noise trend in the Northeast Pacific Ocean. J. Acoust. Soc. Am. 2011, 129, EL161-5. [Google Scholar] [CrossRef] [PubMed]
  17. Gammaitoni, L.; Hänggi, P.; Jung, P.; Marchesoni, F. Stochastic resonance. Rev. Mod. Phys. 1998, 70, 223–287. [Google Scholar] [CrossRef]
  18. Bucolo, M.; Buscarino, A.; Famoso, C.; Fortuna, L.; Frasca, M. Control of imperfect dynamical systems. Nonlinear Dyn. 2019, 98, 2989–2999. [Google Scholar] [CrossRef]
  19. Yi, T.; Xiaomei, X.; Minghui, Z. Application of stochastic resonance theory in weak underwater acoustic signal detection. In Proceedings of the 2010 12th IEEE International Conference on Communication Technology (ICCT), Nanjing, China, 11–14 November 2010; pp. 1268–1270. [Google Scholar] [CrossRef]
Figure 1. Performances for the CCF-based (the “CCF” line) and NCF-based (the “NCF” line) detectors in the cases of (a) incremental noise and (b) decremental noise.
Figure 1. Performances for the CCF-based (the “CCF” line) and NCF-based (the “NCF” line) detectors in the cases of (a) incremental noise and (b) decremental noise.
Jmse 12 01540 g001
Figure 2. The PCD difference as a function of the NSI value N σ (11) for the broadband test signal: (a) SNR = –24 dB and (b) SNR = –18 dB.
Figure 2. The PCD difference as a function of the NSI value N σ (11) for the broadband test signal: (a) SNR = –24 dB and (b) SNR = –18 dB.
Jmse 12 01540 g002
Figure 3. Similar to Figure 2, but for the narrow-band test signal: (a) SNR = –17 dB and (b) SNR = –13 dB.
Figure 3. Similar to Figure 2, but for the narrow-band test signal: (a) SNR = –17 dB and (b) SNR = –13 dB.
Jmse 12 01540 g003
Figure 4. (a) Statistical histograms of sea noise from field experiment No. 1, several samples segments of 2 s each within a total interval of 70 s and (b) detection performances for the data from field experiment No. 1 (line 1—CCF-based detector, line 2—NCF-based detector, line 3—given PCD level P C D * = 0.99 , line 4—the SNR value for CCF obtained for a given PCD level, line 5—the SNR value for NCF obtained for a given PCD level.
Figure 4. (a) Statistical histograms of sea noise from field experiment No. 1, several samples segments of 2 s each within a total interval of 70 s and (b) detection performances for the data from field experiment No. 1 (line 1—CCF-based detector, line 2—NCF-based detector, line 3—given PCD level P C D * = 0.99 , line 4—the SNR value for CCF obtained for a given PCD level, line 5—the SNR value for NCF obtained for a given PCD level.
Jmse 12 01540 g004
Figure 5. (a) Statistical histograms of sea noise from field experiment No. 2, several samples segments of 1 s each within a total interval of 160 s and (b) detection performances for the data from field experiment No. 2 (line 1—CCF-based detector, line 2—NCF-based detector, line 3—given PCD level P C D * = 0.99 , line 4—the SNR value for CCF obtained for a given PCD level, line 5—the SNR value for NCF obtained for a given PCD level.
Figure 5. (a) Statistical histograms of sea noise from field experiment No. 2, several samples segments of 1 s each within a total interval of 160 s and (b) detection performances for the data from field experiment No. 2 (line 1—CCF-based detector, line 2—NCF-based detector, line 3—given PCD level P C D * = 0.99 , line 4—the SNR value for CCF obtained for a given PCD level, line 5—the SNR value for NCF obtained for a given PCD level.
Jmse 12 01540 g005
Disclaimer/Publisher’s Note: The statements, opinions and data contained in all publications are solely those of the individual author(s) and contributor(s) and not of MDPI and/or the editor(s). MDPI and/or the editor(s) disclaim responsibility for any injury to people or property resulting from any ideas, methods, instructions or products referred to in the content.

Share and Cite

MDPI and ACS Style

Khobotov, A.G.; Kalinina, V.I.; Khil’ko, A.I.; Malekhanov, A.I. Underwater Acoustic Signal Detection against the Background of Non-Stationary Sea Noise. J. Mar. Sci. Eng. 2024, 12, 1540. https://doi.org/10.3390/jmse12091540

AMA Style

Khobotov AG, Kalinina VI, Khil’ko AI, Malekhanov AI. Underwater Acoustic Signal Detection against the Background of Non-Stationary Sea Noise. Journal of Marine Science and Engineering. 2024; 12(9):1540. https://doi.org/10.3390/jmse12091540

Chicago/Turabian Style

Khobotov, Alexander Gennadievich, Vera Igorevna Kalinina, Alexander Ivanovich Khil’ko, and Alexander Igorevich Malekhanov. 2024. "Underwater Acoustic Signal Detection against the Background of Non-Stationary Sea Noise" Journal of Marine Science and Engineering 12, no. 9: 1540. https://doi.org/10.3390/jmse12091540

APA Style

Khobotov, A. G., Kalinina, V. I., Khil’ko, A. I., & Malekhanov, A. I. (2024). Underwater Acoustic Signal Detection against the Background of Non-Stationary Sea Noise. Journal of Marine Science and Engineering, 12(9), 1540. https://doi.org/10.3390/jmse12091540

Note that from the first issue of 2016, this journal uses article numbers instead of page numbers. See further details here.

Article Metrics

Back to TopTop