Sign in to use this feature.

Years

Between: -

Subjects

remove_circle_outline
remove_circle_outline
remove_circle_outline
remove_circle_outline
remove_circle_outline
remove_circle_outline
remove_circle_outline
remove_circle_outline
remove_circle_outline

Journals

Article Types

Countries / Regions

Search Results (75)

Search Parameters:
Keywords = fixed disc

Order results
Result details
Results per page
Select all
Export citation of selected articles as:
22 pages, 3356 KB  
Article
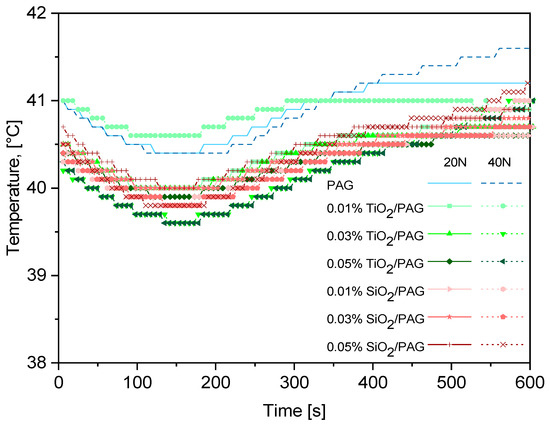
Effect of TiO2 and SiO2 Nanoparticles on Traction, Wear, and High-Shear Viscosity of PAG Lubricants Under Elastohydrodynamic (EHL) Conditions for Refrigeration Systems
by Mohd Zaki Sharif, Mohd Syafiq Abd Aziz, Mohd Farid Ismail, Mohd Fadzli Bin Abdollah, Abdul Aziz Mohamad Redhwan, Nor Azazi Ngatiman and Anwar Ilmar Ramadhan
Lubricants 2026, 14(2), 78; https://doi.org/10.3390/lubricants14020078 - 9 Feb 2026
Viewed by 394
Abstract
This study tests TiO2 and SiO2 nanolubricants in PAG oil using a Mini Traction Machine and an Ultra Shear Viscometer. The loads were 20 N and 40 N. The entrainment speeds ranged from 2.5 to 500 mm/s. The slide-to-roll ratio (SRR) [...] Read more.
This study tests TiO2 and SiO2 nanolubricants in PAG oil using a Mini Traction Machine and an Ultra Shear Viscometer. The loads were 20 N and 40 N. The entrainment speeds ranged from 2.5 to 500 mm/s. The slide-to-roll ratio (SRR) ranged from 25 to 150%. The nanoparticle concentrations were 0.01, 0.03, and 0.05%. The ball size was 19.05 mm, and the disc was 46 mm. All tests were run at 40 °C. Only the 0.05% concentration lowered traction compared with PAG at a fixed SRR. TiO2 at 0.05% showed the largest drop, up to 4.89% at 20 N and 2.99% at 40 N. However, lower concentrations increased traction. All the nanolubricants reduced wear. TiO2 at 0.03% gave the lowest wear, with a reduction of about 35 µm at 40 N. Nanolubricant samples stayed between 40.2 and 40.5 °C, while PAG reached about 41.0 °C. TiO2 produced slightly lower temperatures than SiO2. Ultra-shear tests from 40 to 100 °C showed shear thinning. In most conditions, TiO2 at 0.05% kept the highest viscosity at 40 and 60 °C, up to 12% above PAG. SiO2 showed smaller changes. TiO2 delivered better friction, wear, temperature, and viscosity performance. Overall, both nanolubricants at 0.03% are suitable when wear reduction and thermal stability are prioritised over traction reduction, such as in refrigeration applications, while the 0.05% suits high-load or high-shear use. Full article
(This article belongs to the Special Issue Tribological Behavior of Nanolubricants: Do We Know Enough?)
Show Figures

Figure 1

16 pages, 5027 KB  
Article
Surface Properties of Dental Materials Influence the In Vitro Multi-Species Biofilm Formation
by Sabina Noreen Wuersching, David Manghofer, Bogna Stawarczyk, Jan-Frederik Gueth and Maximilian Kollmuss
Polymers 2026, 18(2), 288; https://doi.org/10.3390/polym18020288 - 21 Jan 2026
Viewed by 382
Abstract
This study examined the association between biofilm growth and surface properties of 3D printed, milled, and conventional materials used for manufacturing fixed dental prostheses. Disc-shaped specimens were produced and finished from five 3D-printing resins (VarseoSmile Crown plus [VSC], NextDent C&B MFH [ND], VarseoSmile [...] Read more.
This study examined the association between biofilm growth and surface properties of 3D printed, milled, and conventional materials used for manufacturing fixed dental prostheses. Disc-shaped specimens were produced and finished from five 3D-printing resins (VarseoSmile Crown plus [VSC], NextDent C&B MFH [ND], VarseoSmile Temp [VST], Temp PRINT [TP], P Pro Crown & Bridge [P]), two polymer milling blocks (composite: TetricCAD [TC], PMMA: TelioCAD [TEL]), two conventional polymer materials (Tetric EvoCeram [TEC], Protemp 4 [PT]), and zirconia (ZR). Surface roughness (Ra), wettability, interfacial tension (IFT) and surface topography were examined. Three-day biofilms were grown on the specimens using A. naeslundii, S. gordonii, S. mutans, S. oralis, and S. sanguinis in a multi-species suspension. Biofilms were quantified by crystal violet staining and with a plating and culture method (CFU/mL). Linear regression analysis was computed to demonstrate associations between the surface properties and biofilm growth. The strength of this relationship was quantified by calculating Spearman’s ρ. TC exhibited the highest, and TP the lowest IFT. TEC showed the highest Ra, while TEL had the lowest, with significant differences detected particularly between milled and 3D-printed specimens. TP specimens exhibited the highest biofilm mass, while ZR surfaces retained the least. Bacterial viability within the biofilms remained similar across all tested materials. There was a strong negative correlation between total IFT and biofilm mass, and a moderate positive correlation between Ra and CFU/mL. Surface properties are shaped by material composition, microstructure, and manufacturing methods and play a crucial role in biofilm formation on dental restorations. Full article
Show Figures

Figure 1

12 pages, 2475 KB  
Proceeding Paper
Effect of Temperature Variations on Brake Squeal Characteristics in Disc Brake Systems
by Akif Yavuz, Osman Taha Sen, Mustafa Enes Kırmacı and Tolga Gündoğdu
Eng. Proc. 2026, 121(1), 11; https://doi.org/10.3390/engproc2025121011 - 13 Jan 2026
Viewed by 322
Abstract
Brake squeal is an undesirable high-frequency noise caused by vibrations induced by friction in disc brake systems. The noise is strongly affected by temperature, as this influences the material properties of the friction pair and the dynamic behaviour of the brake components. This [...] Read more.
Brake squeal is an undesirable high-frequency noise caused by vibrations induced by friction in disc brake systems. The noise is strongly affected by temperature, as this influences the material properties of the friction pair and the dynamic behaviour of the brake components. This study investigates the effect of temperature changes on the squeal characteristics of a disc brake system under different operating conditions. Experiments are carried out using a laboratory-scale test setup comprising a rotating disc, pneumatically actuated callipers, and precise measurement equipment. A series of test combinations is performed by systematically varying three parameters: disc surface temperature (40, 55, 70, 85, 100 °C), brake pressure (4.0 bar), and disc rotational speed (50, 100, 150, 200 rpm). Acceleration data are acquired using an accelerometer mounted directly on the calliper, while sound pressure data are measured with a fixed-position microphone located 0.5 m from the disc surface. The collected data are analyzed in the time and frequency domain to identify squeal events and their dominant frequencies. The effect of temperature on brake squeal noise and vibration varies with operating conditions, showing different patterns at low and high disc speed at constant brake pressure. This highlights the importance of considering both thermal and mechanical factors together when addressing brake squeal. Full article
Show Figures

Figure 1

20 pages, 16874 KB  
Article
A Pilot Study for “In Vitro” Testing the Surface Conditioning Effects on CAD/CAM Hybrid Nanoceramic Adhesion
by Georgi Veselinov Iliev, Lucian Toma Ciocan, Vlad Gabriel Vasilescu, Gaudențiu Vărzaru, Florin Miculescu, Ana Maria Cristina Țâncu, Marina Imre and Silviu Mirel Pițuru
Dent. J. 2026, 14(1), 36; https://doi.org/10.3390/dj14010036 - 6 Jan 2026
Viewed by 386
Abstract
Background/Objectives: The clinical application of CAD/CAM restorative materials continues to evolve due to increasing demand for aesthetic, durable, and minimally invasive indirect restorations. Hybrid nanoceramics, such as Grandio disc (VOCO GmbH, Cuxhaven, Germany), are increasingly used in indirect restorative dentistry due to [...] Read more.
Background/Objectives: The clinical application of CAD/CAM restorative materials continues to evolve due to increasing demand for aesthetic, durable, and minimally invasive indirect restorations. Hybrid nanoceramics, such as Grandio disc (VOCO GmbH, Cuxhaven, Germany), are increasingly used in indirect restorative dentistry due to their favourable combination of mechanical strength, polishability, wear resistance, and bonding potential. One challenge associated with adhesive protocols for CAD/CAM materials lies in achieving durable bonds with resin cements. Extensive post-polymerization during fabrication reduces the number of unreacted monomers available for chemical interaction, thereby limiting the effectiveness of traditional adhesive strategies and necessitating specific surface conditioning approaches. This study aimed to evaluate, in a preliminary, non-inferential manner, the influence of several combined conditioning protocols on surface micromorphology, elemental composition, and descriptive SBS trends of a CAD/CAM hybrid nanoceramic. This work was designed as a preliminary pilot feasibility study. Due to the limited number of specimens (two discs per protocol, each providing two independent enamel bonding measurements), all bond strength outcomes were interpreted descriptively, without inferential statistical testing. This in vitro study investigated the effects of various surface conditioning protocols on the adhesive performance of CAD/CAM hybrid nanoceramics (Grandio disc, VOCO GmbH, Cuxhaven, Germany) to dental enamel. Hydrofluoric acid (HF) etching was performed to improve adhesion to indirect resin-based materials using two commercially available gels: 9.5% Porcelain Etchant (Bisco, Inc., Schaumburg, IL, USA) and 4.5% IPS Ceramic Etching Gel (Ivoclar Vivadent, Schaan, Liechtenstein), in combination with airborne-particle abrasion (APA), silanization, and universal adhesive application. HF may selectively dissolve the inorganic phase, while APA increases surface texture and micromechanical retention. However, existing literature reports inconsistent results regarding the optimal conditioning method for hybrid composites and nanoceramics, and the relationship between micromorphology, elemental surface changes, and adhesion remains insufficiently clarified. Methods: A total of ten composite specimens were subjected to five conditioning protocols combining airborne-particle abrasion with varying hydrofluoric acid (HF) concentrations and etching times. Bonding was performed using a dual-cure resin cement (BiFix QM) and evaluated by shear bond strength (SBS) testing. Surface morphology was examined through environmental scanning electron microscopy (ESEM), and elemental composition was analyzed via energy-dispersive X-ray spectroscopy (EDS). Results: indicated that dual treatment with HF and sandblasting showed descriptively higher SBS, with values ranging from 5.01 to 6.14 MPa, compared to 1.85 MPa in the sandblasting-only group. ESEM revealed that higher HF concentrations (10%) created more porous and irregular surfaces, while EDS indicated an increased fluorine presence trend and silicon reduction, indicating deeper chemical activation. However, extending HF exposure beyond 20 s did not further improve bonding, suggesting the importance of protocol optimization. Conclusions: The preliminary observations suggest a synergistic effect of mechanical and chemical conditioning on hybrid ceramic adhesion, but values should be interpreted qualitatively due to the pilot nature of the study. Manufacturer-recommended air abrasion alone may provide limited adhesion under high-stress conditions, although this requires confirmation in studies with larger sample sizes and ageing simulations. Future studies should address long-term durability and extend the comparison to other hybrid CAD/CAM materials and to other etching protocols. Full article
(This article belongs to the Special Issue Dental Materials Design and Application)
Show Figures

Graphical abstract

20 pages, 17016 KB  
Article
Surface Fatigue Behavior of Duplex Ceramic Composites Under High-Frequency Impact Loading with In Situ Accelerometric Monitoring
by Arash Kariminejad, Maksim Antonov, Piotr Klimczyk and Irina Hussainova
Crystals 2025, 15(12), 1036; https://doi.org/10.3390/cryst15121036 - 4 Dec 2025
Viewed by 1784
Abstract
In applications involving repeated high-frequency mechanical impacts, such as cutting, machining, or percussive operations, understanding the surface fatigue performance of advanced ceramics is critical. This study investigated the surface fatigue resistance of duplex oxide–carbide ceramic composites fabricated via spark plasma sintering, complementing prior [...] Read more.
In applications involving repeated high-frequency mechanical impacts, such as cutting, machining, or percussive operations, understanding the surface fatigue performance of advanced ceramics is critical. This study investigated the surface fatigue resistance of duplex oxide–carbide ceramic composites fabricated via spark plasma sintering, complementing prior work on their sliding wear performance. The composites, featuring a hybrid oxide–carbide structure, were tested using a cyclic impact setup with a 10 mm ZrO2 ball activated with 12 hammers fixed to a rotary disc delivering 500,000 impacts per test. Surface degradation was quantified through three-dimensional profilometry to determine the net material loss and scar depth, while fatigue mechanisms were analyzed using scanning electron microscopy coupled with energy-dispersive spectroscopy. In situ monitoring was implemented using accelerometers to capture vibrational signatures during cycling loading, enabling real-time assessment of material response and damage evolution. The WC-containing composite (S2 AZW) exhibited the lowest surface fatigue wear loss (700 × 103 µm3), whereas the ZrC-based composite (AZZ1) showed the highest (1535 × 103 µm3). A distinct inverse correlation was observed between the average peak acceleration and fatigue wear loss. Frequency-domain analysis of accelerometric signals revealed progressive degradation patterns consistent with post-test surface damage, indicating that such signal features may serve as effective in situ indicators for tracking material fatigue in future applications. Full article
Show Figures

Figure 1

19 pages, 4791 KB  
Article
Design and Test of a Low-Damage Garlic Seeding Device Based on Rigid–Flexible Coupling
by Siyuan Wang, Yubai Meng, Yongjian Wang, Hua Li and Xiaodong Zhang
Agriculture 2025, 15(19), 2079; https://doi.org/10.3390/agriculture15192079 - 5 Oct 2025
Cited by 1 | Viewed by 781
Abstract
In conventional mechanized garlic seeding process, seed remains a persistent challenge that is difficult to avoid. This study proposes a solution by designing and testing a garlic seeding device based on a rigid–flexible coupling mechanism, aimed at minimizing seed damage during sowing. The [...] Read more.
In conventional mechanized garlic seeding process, seed remains a persistent challenge that is difficult to avoid. This study proposes a solution by designing and testing a garlic seeding device based on a rigid–flexible coupling mechanism, aimed at minimizing seed damage during sowing. The seeding pocket was constructed from a flexible metal sheet, which served as its structural foundation. A slider moving along a fixed track enabled the retraction and release of the pocket, thereby facilitating seed collection and discharge. The effects of pocket radius, rotational speed of seed discharge disc, and thickness of metal sheet on the stress of garlic seeds were investigated through the finite element method. Subsequently, an experimental bench was set up to analyze the effects of influence of these parameters on seed damage rate, single-seed rate, and leakage rate. Results demonstrated that under optimal parameters—a pocket radius of 12 mm, a seed discharge disc rotational speed of 0.21 rad/s, and a metal sheet thickness of 0.15 mm—the mechanism achieved a single-seed rate of 78.4%, a leakage rate of 11.4%, and a maximum stress on garlic seeds of only 0.535 MPa. Notably, this stress level was well below the damage threshold of garlic seeds, resulting in zero damage that outperformed conventional rigid seeding devices. These findings demonstrate the mechanism’s strong potential to preserve seed integrity, although the overall seeding performance remains modest and warrants further optimization in future designs. Full article
Show Figures

Figure 1

13 pages, 5641 KB  
Article
Effect of Gas Content on Surface Charge Accumulation of Epoxy Insulator in C4F7N/CO2/O2 Mixture Under AC Voltage
by Chuanyun Zhu, Xiaohui Duan, Shuangying Li, Zhen Zhang, Jian Guan, Yuepeng Xin and Yu Gao
Energies 2025, 18(16), 4390; https://doi.org/10.3390/en18164390 - 18 Aug 2025
Cited by 1 | Viewed by 862
Abstract
Perfluoroisobutyronitrile (C4F7N) has emerged as a promising SF6 alternative due to its superior dielectric properties and acceptable environmental impact. However, the gas–solid interfacial charge accumulation behavior in such gas mixtures requires in-depth and systematic investigation. This study investigated [...] Read more.
Perfluoroisobutyronitrile (C4F7N) has emerged as a promising SF6 alternative due to its superior dielectric properties and acceptable environmental impact. However, the gas–solid interfacial charge accumulation behavior in such gas mixtures requires in-depth and systematic investigation. This study investigated the surface charge accumulation behavior on scaled disc insulators in C4F7N/CO2/O2 mixtures under AC voltage. By constructing a high-precision surface charge measurement platform, the influence mechanisms of varying gas composition ratios of C4F7N (2–14%) with fixed O2 content and O2 (2–14%) with fixed C4F7N content on charge accumulation were analyzed. The results demonstrated that increasing C4F7N content significantly suppresses surface charge accumulation. When the C4F7N concentration rises from 2% to 14%, the maximum positive/negative charge densities decrease by 46.58% and 22.22% in the absence of metal particles. The suppression effect is more pronounced with the metal particle present, where the reductions in positive/negative charge densities reach 61.90% and 23.71% under the same conditions. In contrast, variations in O2 content exhibit a weaker impact on charge accumulation, showing no consistent regulatory effect within the 2–14% range. By comparing charge distribution patterns under different gas compositions, it is revealed that C4F7N suppresses gas ionization primarily by enhancing electronegativity, while O2 exhibits negligible influence on charge transport. This study provides critical experimental evidence for optimizing gas ratios and insulation design in AC GIS equipment. Full article
Show Figures

Figure 1

15 pages, 2986 KB  
Article
Fault-Tolerant Control of Multi-Clamp Disc Elevator Brakes with Fixed-Time Convergence
by Yefeng Jiang, Wanbin Su, Ke Li, Yuan Zhou and Jing Zhou
Actuators 2025, 14(3), 123; https://doi.org/10.3390/act14030123 - 4 Mar 2025
Viewed by 1084
Abstract
This paper proposes a passive fault-tolerant control strategy for a multi-caliper disc elevator brake system subject to unknown external disturbances and multiple actuator faults. Initially, a detailed analysis of the dynamic equations of the actuator in a multi-caliper disc elevator brake system with [...] Read more.
This paper proposes a passive fault-tolerant control strategy for a multi-caliper disc elevator brake system subject to unknown external disturbances and multiple actuator faults. Initially, a detailed analysis of the dynamic equations of the actuator in a multi-caliper disc elevator brake system with actuator faults is conducted. Subsequently, a nonsingular terminal sliding mode fault-tolerant control scheme with rapid fixed-time convergence is proposed, where the settling time is independent of the system’s initial state and can be preset through design parameters. The upper bound of the convergence time is derived using Lyapunov theory, ensuring that the faulty elevator brake control system converges within a predetermined fixed time. Ultimately, theoretical analysis and numerical simulation results confirm that the proposed controller can effectively handle the effects of actuator faults, parametric uncertainties, and external disturbances, ensuring satisfactory tracking accuracy. Full article
(This article belongs to the Section Control Systems)
Show Figures

Figure 1

16 pages, 6637 KB  
Article
Shape Effect and Accuracy Analysis of Rock Tensile Strength Test
by Junjie Pei, Jinchang Zhao and Shaoqing Niu
Appl. Sci. 2025, 15(5), 2477; https://doi.org/10.3390/app15052477 - 25 Feb 2025
Viewed by 1212
Abstract
To investigate the influence of shape effects on the tensile strength of rocks, splitting tests were conducted on disc specimens with the same thickness-to-diameter ratio but different diameters using physical similarity simulation and numerical simulation experiments. Additionally, finite element analysis software was employed [...] Read more.
To investigate the influence of shape effects on the tensile strength of rocks, splitting tests were conducted on disc specimens with the same thickness-to-diameter ratio but different diameters using physical similarity simulation and numerical simulation experiments. Additionally, finite element analysis software was employed to perform numerical simulation tests on two types of dumbbell-shaped specimens involved in direct tensile tests of rocks. This study revealed that when the thickness-to-diameter ratio is fixed at 0.5, the splitting tensile strength decreases gradually as the specimen diameter increases from 30 mm to 110 mm. This trend can be well fitted using a power function. The tensile strength measured from direct tensile tests on the two types of dumbbell-shaped specimens shows a slight decreasing trend as the diameter of the central effective test area decreases. Moreover, the measured tensile strength is lower than the actual tensile strength. The test results for disc specimens are the closest to the actual tensile strength, followed by arc-transition dumbbell-shaped specimens, and lastly, straight-transition dumbbell-shaped specimens. The correlation coefficients between the test results and the actual tensile strength for the three types of specimens are also provided. Full article
Show Figures

Figure 1

11 pages, 2360 KB  
Systematic Review
Influenza Vaccination Coverage and Influencing Factors in Type 2 Diabetes in Mainland China: A Systematic Review and Meta-Analysis
by Cheng Yang, Shijun Liu, Jue Xu, Wen Fu, Xin Qiu and Caixia Jiang
Vaccines 2024, 12(11), 1259; https://doi.org/10.3390/vaccines12111259 - 6 Nov 2024
Cited by 2 | Viewed by 2978
Abstract
Background: Influenza has many harmful effects on people with type 2 diabetes mellitus (T2DM), such as hyperglycemia and increasing incidence of cardiovascular and cerebrovascular diseases. Epidemiological evidence shows that influenza vaccinations can effectively prevent deterioration in T2DM patients. At present, there is a [...] Read more.
Background: Influenza has many harmful effects on people with type 2 diabetes mellitus (T2DM), such as hyperglycemia and increasing incidence of cardiovascular and cerebrovascular diseases. Epidemiological evidence shows that influenza vaccinations can effectively prevent deterioration in T2DM patients. At present, there is a lack of nationwide studies on the vaccination status of influenza vaccines for patients with certain chronic diseases. This study aimed to evaluate the influenza vaccination status of T2DM patients in mainland China and the factors affecting their influenza vaccination. Methods: Data were sourced from PubMed, Embase, Web of Science, the China Biology Medicine Disc (CBMdisc), the China National Knowledge Infrastructure (CNKI), and the Wanfang Database. The keywords used in the literature search included “diabetes”, “diabetes mellitus”, “DM”, “diabetic”, “T2DM”, “influenza vaccine”, “flu vaccine”, “China”, and “Chinese”. A total of 249 articles were retrieved through the searches; 7 articles met the inclusion criteria. The fixed-effects model was used when heterogeneity was low and a random-effects model was used when the heterogeneity was high. Results: The influenza vaccination coverage rate was 1.46% in diabetic patients and 9.99% in elderly diabetic patients. The influenza vaccination rate of type 2 diabetes patients with a high education level is higher than that of patients with a low education level. (OR: 1.462 [1.123, 1.903]). Meanwhile, gender (OR: 1.076, 95%CI: 0.893–1.295), marriage (OR: 1.283; 95%CI: 0.931–1.766), and occupation (OR: 1.049; 95% CI: 4.422–2.606) have no significant impact on influenza vaccination in patients with type 2 diabetes. Conclusions: This study found that the coverage of influenza vaccination in patients with T2DM in Chinese mainland was low, and there were few relevant research articles. In China’s mainland areas, education background is an important factor affecting the influenza vaccination of T2DM patients. China should continue to improve the influenza vaccination rate of patients with type 2 diabetes. Full article
(This article belongs to the Special Issue Influenza Virus Vaccines and Vaccination)
Show Figures

Figure 1

13 pages, 1647 KB  
Article
Evaluation of Automatic Signal Detection of In Situ Hybridization for Detecting HPV DNA in Cervical Tissue Derived from Patients with Cervical Intraepithelial Neoplasia
by Marcin Przybylski, Sonja Millert-Kalińska, Mateusz de Mezer, Monika Krzyżaniak, Paweł Kurzawa, Jakub Żurawski, Robert Jach and Dominik Pruski
Cancers 2024, 16(20), 3485; https://doi.org/10.3390/cancers16203485 - 15 Oct 2024
Cited by 3 | Viewed by 2244
Abstract
Background: Cervical cancer is fourth the most common cancer in women worldwide. Due to the prevalence of human papillomavirus (HPV) in the population (80–90%), scientists are likely to discover even more associations of this pathogen with other diseases in the future. In recent [...] Read more.
Background: Cervical cancer is fourth the most common cancer in women worldwide. Due to the prevalence of human papillomavirus (HPV) in the population (80–90%), scientists are likely to discover even more associations of this pathogen with other diseases in the future. In recent years, In Situ Hybridization (ISH) assays that use automated signal-detecting methods in formalin-fixed, paraffin-embedded (FFPE) cervical tissue, such as the enzyme-categorized signal-detecting system, have shown a higher sensitivity. Objectives and Methods: To evaluate automatic signal detection of ISH assay for detecting HPV DNA, we compared the ability of an ISH probe, Inform HPV II and III (Ventana Medical Systems, Tucson, AZ), to that of PCR assays to detect HPV DNA in cervical tissue specimens with cervical intraepithelial neoplasia (CIN; CIN 1, 28 cases; CIN 2, 22 cases; and CIN 3, 20 cases) and normal cervix (2 cases). Results: Our findings showed a significant relation was confirmed between ISH III level and HPV outcome (positive/negative). Patients with positive HPV outcomes had significantly lower ISH III levels, MD = −7961.82 CI95 [−17,230.00; −199.21], p = 0.005. Conclusions: Automatic signal detection of ISH assay is not particularly applicable to cervical tissue material. A more useful method of confirming the presence of HPV in the cervix is the HPV test with genotyping, as it allows for collecting a larger amount of material from the cervical disc and canal. The interpretation of a positive or negative ISH test must be guided in the context of clinical history and morphology. Full article
(This article belongs to the Special Issue Virus-Associated Cancers)
Show Figures

Figure 1

22 pages, 6084 KB  
Article
Design, Topology Optimization, Manufacturing and Testing of a Brake Caliper MADE of Scalmalloy® for Formula SAE Race Cars
by Luca Vecchiato, Federico Capraro and Giovanni Meneghetti
Vehicles 2024, 6(3), 1591-1612; https://doi.org/10.3390/vehicles6030075 - 4 Sep 2024
Cited by 3 | Viewed by 7374
Abstract
This paper details the conceptualization, design, topology optimization, manufacturing, and validation of a hydraulic brake caliper for Formula SAE race cars made of Scalmalloy®, an innovative Al-Mg-Sc alloy which was never adopted before to manufacture a brake caliper. A monoblock fixed [...] Read more.
This paper details the conceptualization, design, topology optimization, manufacturing, and validation of a hydraulic brake caliper for Formula SAE race cars made of Scalmalloy®, an innovative Al-Mg-Sc alloy which was never adopted before to manufacture a brake caliper. A monoblock fixed caliper with opposing pistons was developed, focusing on reducing mass for a fixed braking force. The design process began with a theoretical analysis to establish braking force and pressure requirements, followed by preliminary design and topology optimization. The caliper was then manufactured using laser powder bed fusion (LPBF). Comprehensive experimental validation, including testing with static and rotating brake discs on an inertial dynamometer, confirmed the expected caliper’s performance, with the results showing strong alignment with finite element analysis estimations. In particular, strain and displacement measurements showed excellent correlation with numerical estimates, validating the design’s accuracy and effectiveness. Full article
(This article belongs to the Special Issue Vehicle Design Processes, 2nd Edition)
Show Figures

Figure 1

12 pages, 4651 KB  
Article
Direct Binding of Synaptopodin 2-Like Protein to Alpha-Actinin Contributes to Actin Bundle Formation in Cardiomyocytes
by Hiroshi Yamada, Hirona Osaka, Nanami Tatsumi, Miu Araki, Tadashi Abe, Keiko Kaihara, Ken Takahashi, Eizo Takashima, Takayuki Uchihashi, Keiji Naruse and Kohji Takei
Cells 2024, 13(16), 1373; https://doi.org/10.3390/cells13161373 - 17 Aug 2024
Cited by 3 | Viewed by 2512
Abstract
Synaptopodin 2-like protein (SYNPO2L) is localized in the sarcomere of cardiomyocytes and is involved in heart morphogenesis. However, the molecular function of SYNPO2L in the heart is not fully understood. We investigated the interaction of SYNPO2L with sarcomeric α-actinin and actin filaments in [...] Read more.
Synaptopodin 2-like protein (SYNPO2L) is localized in the sarcomere of cardiomyocytes and is involved in heart morphogenesis. However, the molecular function of SYNPO2L in the heart is not fully understood. We investigated the interaction of SYNPO2L with sarcomeric α-actinin and actin filaments in cultured mouse cardiomyocytes. Immunofluorescence studies showed that SYNPO2L colocalized with α-actinin and actin filaments at the Z-discs of the sarcomere. Recombinant SYNPO2La or SYNPO2Lb caused a bundling of the actin filaments in the absence of α-actinin and enhanced the α-actinin-dependent formation of actin bundles. In addition, high-speed atomic force microscopy revealed that SYNPO2La directly bound to α-actinin via its globular ends. The interaction between α-actinin and SYNPO2La fixed the movements of the two proteins on the actin filaments. These results strongly suggest that SYNPO2L cooperates with α-actinin during actin bundle formation to facilitate sarcomere formation and maintenance. Full article
(This article belongs to the Special Issue Muscle Structure and Function in Health and Disease)
Show Figures

Figure 1

25 pages, 9132 KB  
Article
A UAV-Borne Six-Vessel Negative-Pressure Enrichment Device with Filters Designed to Collect Infectious Fungal Spores in Rice Fields
by Xiaoyan Guo, Yuanzhen Ou, Konghong Deng, Xiaolong Fan, Rui Jiang and Zhiyan Zhou
Agronomy 2024, 14(4), 716; https://doi.org/10.3390/agronomy14040716 - 29 Mar 2024
Viewed by 1906
Abstract
Fungal spores that cause infectious fungal diseases in rice are mainly transmitted through air. The existing fixed, portable or vehicle-mounted fungal spore collection devices used for rice infectious diseases have several disadvantages, such as low efficiency, large volume, low precision and incomplete information. [...] Read more.
Fungal spores that cause infectious fungal diseases in rice are mainly transmitted through air. The existing fixed, portable or vehicle-mounted fungal spore collection devices used for rice infectious diseases have several disadvantages, such as low efficiency, large volume, low precision and incomplete information. In this study, a mobile fungal spore collection device is designed, consisting of six filters called “Capture-A”, which can collect spores and other airborne particles onto a filter located on a rotating disc of six filters that can be rotated to a position allowing for the capture of six individual samples. They are captured one at a time and designed and validated by capturing spores above the rice field, and the parameters of the key components of the collector are optimized through fluid simulation and verification experiments. The parameter combination of the “Capturer-A” in the best working state is as follows: sampling vessel filter screen with aperture size of 0.150 mm, bent air duct with inner diameter of 20 mm, negative pressure fan with 1500 Pa and spore sampling of cylindrical shape. In the field test, the self-developed “Capturer-A” was compared with the existing “YFBZ3” (mobile spore collection device made by Yunfei Co., Ltd., Zhengzhou, China). The two devices were experimented on at 15 sampling points in three diseased rice fields, and the samples were examined and counted under a microscope in the laboratory. It was found that the spores of rice blast disease and rice flax spot disease of rice were contained in the samples; the number of samples collected by a single sampling vessel of “Capturer-A” was about twice that of the device “YFBZ3”in the test. Full article
(This article belongs to the Special Issue Unmanned Farms in Smart Agriculture)
Show Figures

Figure 1

27 pages, 11172 KB  
Article
A Practical Approach for On-Road Measurements of Brake Wear Particles from a Light-Duty Vehicle
by Jon Andersson, Louisa J. Kramer, Michael Campbell, Ian Marshall, John Norris, Jason Southgate, Simon de Vries and Gary Waite
Atmosphere 2024, 15(2), 224; https://doi.org/10.3390/atmos15020224 - 13 Feb 2024
Cited by 3 | Viewed by 4458
Abstract
Brake wear particles are generated through frictional contact between the brake disc or brake drum and the brake pads. Some of these particles may be released into the atmosphere, contributing to airborne fine particulate matter (PM2.5). In this study, an onboard [...] Read more.
Brake wear particles are generated through frictional contact between the brake disc or brake drum and the brake pads. Some of these particles may be released into the atmosphere, contributing to airborne fine particulate matter (PM2.5). In this study, an onboard system was developed and tested to measure brake wear particles emitted under real-world driving conditions. Brake wear particles were extracted from a fixed volume enclosure surrounding the pad and disc installed on the front wheel of a light-duty vehicle. Real-time data on size distribution, number concentration, PM2.5 mass, and the contribution of semi-volatiles were obtained via a suite of instruments sub-sampling from the constant volume sampler (CVS) dilution tunnel. Repeat measurements of brake particles were obtained from a 42 min bespoke drive cycle on a chassis dynamometer, from on-road tests in an urban area, and from braking events on a test track. The results showed that particle emissions coincided with braking events, with mass emissions around 1 mg/km/brake during on-road driving. Particle number emissions of low volatility particles were between 2 and 5 × 109 particles/km/brake. The highest emissions were observed under more aggressive braking. The project successfully developed a proof-of-principle measurement system for brake wear emissions from transient vehicle operation. The system shows good repeatability for stable particle metrics, such as non-volatile particle number (PN) from the solid particle counting system (SPCS), and allows for progression to a second phase of work where emissions differences between commercially available brake system components will be assessed. Full article
(This article belongs to the Special Issue Study of Brake Wear Particle Emission)
Show Figures

Graphical abstract

Back to TopTop