Sign in to use this feature.

Years

Between: -

Subjects

remove_circle_outline
remove_circle_outline
remove_circle_outline
remove_circle_outline
remove_circle_outline
remove_circle_outline
remove_circle_outline
remove_circle_outline
remove_circle_outline

Journals

remove_circle_outline
remove_circle_outline
remove_circle_outline
remove_circle_outline
remove_circle_outline
remove_circle_outline
remove_circle_outline
remove_circle_outline
remove_circle_outline
remove_circle_outline
remove_circle_outline
remove_circle_outline
remove_circle_outline
remove_circle_outline
remove_circle_outline
remove_circle_outline

Article Types

Countries / Regions

remove_circle_outline
remove_circle_outline
remove_circle_outline
remove_circle_outline

Search Results (3,063)

Search Parameters:
Keywords = fiber modes

Order results
Result details
Results per page
Select all
Export citation of selected articles as:
12 pages, 2315 KB  
Article
Nonlinearity- and Dispersion-Controlled High-Energy All-Fiber Femtosecond Laser System with Peak Power Exceeding 0.5 GW
by Feng Li, Qianglong Li, Jixin Xing, Xue Cao, Wenlong Wen, Lei Wang, Yufeng Wei, Hualong Zhao, Yishan Wang, Yuxi Fu and Wei Zhao
Nanomaterials 2026, 16(1), 32; https://doi.org/10.3390/nano16010032 (registering DOI) - 25 Dec 2025
Abstract
A monolithic all-fiber high-energy chirped pulse amplification (CPA) system with a managed large dispersion is demonstrated. Considering the nonlinearity in the amplification system, two temperature-tuning cascaded chirped fiber Bragg gratings (CFBGs) with a large dispersion of 200 ps/nm are employed as stretchers to [...] Read more.
A monolithic all-fiber high-energy chirped pulse amplification (CPA) system with a managed large dispersion is demonstrated. Considering the nonlinearity in the amplification system, two temperature-tuning cascaded chirped fiber Bragg gratings (CFBGs) with a large dispersion of 200 ps/nm are employed as stretchers to stretch the pulse duration to more than 2 ns in the time domain. The main amplifier, with centimeter-level length, a large mode area, and high-gain silicate glass fiber, increases the energy to 293 μJ at 100 kHz. A reflective grating pair with a high density of 1740 lines/mm is used to compress the large-dispersion chirped pulse into a compact structure. Owing to the high-order dispersion pre-compensation by the CFBGs and the large-sized grating with high diffraction efficiency, we achieved a compressed pulse duration of 466 fs with a maximum pulse energy of 250 μJ, corresponding to a compression efficiency of more than 85% and a well-preserved beam quality of M2 < 1.3. To the best of our knowledge, this is the highest pulse energy ever reported in a monolithic fiber femtosecond amplifier. Full article
(This article belongs to the Special Issue Advanced Fiber Laser (Third Edition))
Show Figures

Figure 1

10 pages, 1852 KB  
Communication
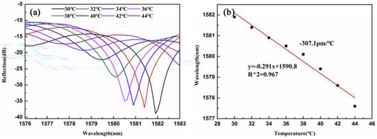
Whispering Gallery Mode Resonator Based on In-Fiber Liquid Microsphere and Y-Waveguide Coupler
by Lixiang Zhao, Shuhui Liu, Ruiying Cao, Lin Mao and Zhicong He
Photonics 2026, 13(1), 8; https://doi.org/10.3390/photonics13010008 - 24 Dec 2025
Abstract
A reflective in-fiber liquid microsphere whispering gallery mode (WGM) resonator based on a Y-waveguide coupler is proposed and experimentally demonstrated. The sphere resonator is introduced inside a single-mode fiber (SMF) by using femtosecond laser micromachining and fusion splicing. A Y-waveguide coupler is fabricated [...] Read more.
A reflective in-fiber liquid microsphere whispering gallery mode (WGM) resonator based on a Y-waveguide coupler is proposed and experimentally demonstrated. The sphere resonator is introduced inside a single-mode fiber (SMF) by using femtosecond laser micromachining and fusion splicing. A Y-waveguide coupler is fabricated with femtosecond laser direct writing, which is used to simultaneously excite and collect the WGM field through evanescent field coupling. High-index liquids are filled into the sphere through a laser-drilled channel to form a liquid microsphere where the WGM resonation takes place. The WGM resonator is sensitive to the refractive index (RI) of the filled liquids, and a RI sensitivity of 439 nm/RIU is achieved in an index range from 1.672 to 1.692. The liquid microsphere resonator is also sensitive to temperature, with a sensitivity of −307.1 pm/°C obtained. The microsphere resonator is small in size and robust, which has broad application prospects in the field of food and the chemical industry. Full article
(This article belongs to the Special Issue Advanced Photonic Sensing Technologies for Optical Fiber Devices)
Show Figures

Figure 1

18 pages, 1410 KB  
Article
Mechanical Recycling of a Short Carbon Fiber Reinforced Polyamide 6 in 3D Printing: Effects on Mechanical Properties
by Marco Zanelli, Giulia Ronconi, Nicola Pritoni, Andrea D’Iorio, Monica Bertoldo, Francesco Mollica and Valentina Mazzanti
Polymers 2026, 18(1), 27; https://doi.org/10.3390/polym18010027 - 22 Dec 2025
Viewed by 61
Abstract
Mechanical recycling of Fused Deposition Modeling 3D printing materials is very attractive for the circular economy. In this paper, the tensile properties of a virgin and a one-time-recycled short carbon fiber reinforced polyamide, coming from 3D printing scrap and failed parts, were evaluated. [...] Read more.
Mechanical recycling of Fused Deposition Modeling 3D printing materials is very attractive for the circular economy. In this paper, the tensile properties of a virgin and a one-time-recycled short carbon fiber reinforced polyamide, coming from 3D printing scrap and failed parts, were evaluated. Anisotropy was taken into account properly by using characterization methods that are typical of composites. Rheological properties were obtained with a parallel plate rheometer in oscillatory mode, and thermal properties were investigated based on thermogravimetric analysis and differential scanning calorimetry. A decrease in the average molecular weight of the recycled material, indicated by the rheological measurements, induced brittleness. Nevertheless, the stiffness and yield strength of the 3D printed parts made with the recycled material were higher than those made with the virgin one. Since this behavior could not be explained based on an increase in crystallinity or a relevant decrease in the void content, a feasible explanation is proposed with an increase of the interlayer and intralayer adhesion quality. In any case, the recycled polyamide filament can be successfully reused in Fused Deposition Modeling 3D printing, even when significant mechanical properties are required, but attention must be paid to a certain decrease in ductility. Full article
(This article belongs to the Section Polymer Processing and Engineering)
37 pages, 2717 KB  
Review
Fire Resistance of Steel-Reinforced Concrete Columns: A Review of Ordinary Concrete to Ultra-High Performance Concrete
by Chang Liu, Xiaochen Wu and Jinsheng Du
Buildings 2026, 16(1), 24; https://doi.org/10.3390/buildings16010024 - 20 Dec 2025
Viewed by 85
Abstract
This review surveys the recent literature on the fire resistance of reinforced concrete (RC) columns based on a bibliometric analysis of publications to reveal research trends and focus areas. The collected studies are synthesized from the perspectives of materials, structural behaviors, parameter influences, [...] Read more.
This review surveys the recent literature on the fire resistance of reinforced concrete (RC) columns based on a bibliometric analysis of publications to reveal research trends and focus areas. The collected studies are synthesized from the perspectives of materials, structural behaviors, parameter influences, and predictive modeling. From the material aspect, the review summarizes the degradation mechanisms of conventional concrete at elevated temperatures and highlights the improved performance of ultra-high-performance concrete (UHPC) and reactive powder concrete (RPC), where dense microstructures and fiber bridging effectively suppress spalling and help maintain residual capacity. In terms of structural behavior, experimental and numerical studies on RC columns under fire are reviewed to clarify the deformation, failure modes, and effects of axial load ratio, slenderness, cover thickness, reinforcement ratio, boundary restraint, and load eccentricity on fire endurance. Parametric analyses addressing the influence of these factors, as well as the heating–cooling history, on overall stability and post-fire performance is discussed. Recent advances in thermomechanical finite element analysis and the integration of data-driven approaches such as machine learning have been summarized for evaluating and predicting fire performance. Future directions are outlined, emphasizing the need for standardized parameters for fiber-reinforced systems, a combination of multi-scale numerical and machine-learning models, and further exploration of multi-hazard coupling, durability, and digital-twin-based monitoring to support next-generation performance-based fire design. Full article
Show Figures

Figure 1

15 pages, 835 KB  
Article
Silane-Containing Self-Adhesive Resin Cement vs. Conventional Strategies in Fiber Post Application: A Push-Out Bond Strength and Failure Mode Study
by Zeynep Hale Keles, Vasfiye Isik, Rana Turunc and Soner Sismanoglu
Appl. Sci. 2026, 16(1), 57; https://doi.org/10.3390/app16010057 - 20 Dec 2025
Viewed by 76
Abstract
This study evaluated the push-out bond strength (PBS) and failure modes of fiber posts cemented with silane-containing self-adhesive resin cement (SARC) compared with conventional SARC and universal adhesive strategies, considering the effects of root section and aging. Ninety single-rooted human premolars were equally [...] Read more.
This study evaluated the push-out bond strength (PBS) and failure modes of fiber posts cemented with silane-containing self-adhesive resin cement (SARC) compared with conventional SARC and universal adhesive strategies, considering the effects of root section and aging. Ninety single-rooted human premolars were equally assigned to three cementation protocols: silane-containing SARC (PANAVIA SA Cement Universal), conventional SARC (RelyX Universal), and universal adhesive plus SARC (Scotchbond Universal Plus + RelyX Universal). Each group was divided into two aging subgroups: 24 h water storage and thermal cycling (10,000 cycles between 5 °C and 55 °C, 30 s dwell time; n = 15). After root canal treatment and post space preparation, glass fiber posts were cemented, and each root was sectioned to obtain six slices. PBS was measured using a push-out test, and failure modes were examined under stereomicroscopy. Data were analyzed using three-way ANOVA, post hoc tests, Spearman’s correlation, and logistic regression (α = 0.05). Cement type, root section, and aging significantly influenced PBS (p < 0.001). PBS decreased from coronal to apical sections, and thermal cycling reduced PBS in all groups. The universal adhesive plus SARC achieved the highest PBS, while conventional SARC had the lowest PBS. Cementdentin adhesive failures (FM2) predominated overall, with proportions varying between 43% and 90%, and higher PBS values were associated with fewer FM2 failures. The combination of a universal adhesive with SARC provided superior bonding compared to simplified protocols. Although silane-containing SARC improved bonding relative to conventional SARC, durable adhesion to radicular dentin remains challenging, particularly in apical regions. Full article
(This article belongs to the Section Applied Dentistry and Oral Sciences)
Show Figures

Figure 1

13 pages, 11849 KB  
Article
Balloon-Shaped Optical Fiber Humidity Sensor Based on PVA Coating for Respiratory Monitoring
by Qingfeng Shi, Yunkun Cui, Wenyan Xu, Yu Zhang and Feng Peng
Photonics 2026, 13(1), 2; https://doi.org/10.3390/photonics13010002 - 19 Dec 2025
Viewed by 105
Abstract
A polyvinyl alcohol (PVA)-coated optical fiber humidity sensor for respiratory monitoring is proposed. The humidity sensor forms a fiber Mach–Zehnder interferometer (MZI) by bending the single-mode fiber (SMF) coated with PVA. The refractive index of PVA coatings varies with changes in relative humidity [...] Read more.
A polyvinyl alcohol (PVA)-coated optical fiber humidity sensor for respiratory monitoring is proposed. The humidity sensor forms a fiber Mach–Zehnder interferometer (MZI) by bending the single-mode fiber (SMF) coated with PVA. The refractive index of PVA coatings varies with changes in relative humidity (RH), causing phase changes in higher-order modes and resulting in shifts in the transmission spectrum. The sensor exhibits excellent dynamic humidity response performance (92.8 ms for response time and 63.6 ms for recovery time), realizing a humidity sensitivity of −1.927 nm/%RH within the humidity range of 86.1% to 92.2%. Compared to the balloon-shaped fiber optic sensor based on polydimethylsiloxane (PDMS) coating previously proposed by our research group, the PVA coating facilitates easier surface composite on the fiber, exhibits faster response speed, and its humidity response range is more suitable for respiratory monitoring. Ultimately, the sensor was encapsulated within a mask to enable human respiration monitoring functionality. Full article
(This article belongs to the Special Issue Advances in Optical Fiber Sensing Technology)
Show Figures

Figure 1

16 pages, 2639 KB  
Article
Aging Effects on Flexural Behavior of Glass Fiber-Reinforced Stone-Cork Composite Panels for External Facade Elements
by João Marques, Madalena Barata Garcia, Virgínia Infante, Pedro Miguel Amaral and Arménio Correia
Fibers 2025, 13(12), 167; https://doi.org/10.3390/fib13120167 - 18 Dec 2025
Viewed by 120
Abstract
The building sector faces sustainability issues due to its substantial resource demand, prompting the exploration of alternative materials of natural origin. Given the diverse environmental conditions buildings experience, assessing the impact of these conditions on the mechanical characteristics of alternative materials becomes crucial. [...] Read more.
The building sector faces sustainability issues due to its substantial resource demand, prompting the exploration of alternative materials of natural origin. Given the diverse environmental conditions buildings experience, assessing the impact of these conditions on the mechanical characteristics of alternative materials becomes crucial. This study focuses on a composite comprising stone, agglomerate cork core and glass fiber-reinforced epoxy skins, designed for ventilated facades. The composite underwent an aging cycle commonly applied in the evaluation of construction building materials to evaluate its flexural behavior. To that end, bending tests on unaged and aged samples were carried out to investigate both the bending strength and stiffness. The composite panels were tested in two configurations: (i) stone facing up and (ii) stone facing down. The results indicated that higher bending strength was found in samples where the stone was facing up, regardless of the aging condition. In the stone facing up configuration, the predominant failure mode was stone crushing, whereas the samples in the stone facing down configuration evidenced a failure mechanism of fiber breakage. Despite the observed morphological differences between aged and unaged specimens, no significant difference was found regarding the bending strength and failure modes in both tested configurations. However, a flexural stiffness reduction of at least 21% was found for every aged specimen. Full article
Show Figures

Figure 1

18 pages, 2769 KB  
Article
An Ultra-Sensitive Bimetallic-Coated PCF-Based Surface Plasmon Resonance Sensor for Waterborne Pathogen Detection
by Ariful Hasan, Anik Chowdhury, Abrar Adib, Devjyoti Das, A. H. M. Iftekharul Ferdous, Abu Farzan Mitul, Jobaida Akhtar and Mohammad Istiaque Reja
Photonics 2025, 12(12), 1240; https://doi.org/10.3390/photonics12121240 - 18 Dec 2025
Viewed by 257
Abstract
This study presents an ultra-sensitive dual-core photonic crystal fiber-based surface plasmon resonance (PCF-SPR) sensor for the detection of waterborne pathogens through refractive index (RI) variation. The proposed sensor integrates a bimetallic coating of silver and titanium dioxide (Ag–TiO2). Silver ensures sharp [...] Read more.
This study presents an ultra-sensitive dual-core photonic crystal fiber-based surface plasmon resonance (PCF-SPR) sensor for the detection of waterborne pathogens through refractive index (RI) variation. The proposed sensor integrates a bimetallic coating of silver and titanium dioxide (Ag–TiO2). Silver ensures sharp plasmonic resonance, and TiO2 enhances chemical stability and coupling efficiency. This dual-core configuration allows for increased interaction between the core-guided modes and the plasmonic interface. As a result, the sensor’s sensitivity improves significantly. The sensor can accurately detect analytes with an RI value of 1.28 to 1.43. It demonstrates a maximum wavelength sensitivity (WS) of 107,000 nm/RIU, an amplitude sensitivity (AS) of 2209.21 RIU−1, a wavelength resolution of 9.35 × 10−7 RIU, and a figure of merit (FOM) of about 520. These results support the sensor’s ability to identify the presence of different pathogenic contaminants, such as E. coli, Vibrio cholerae, and Bacillus anthracis, based on their unique RI properties. This optimized design, high resolution, and potential for real-time detection enable this sensor to be a promising solution for environmental monitoring applications. Full article
Show Figures

Figure 1

16 pages, 10882 KB  
Article
Experimental Research of Inter-Satellite Beaconless Laser Communication Tracking System Based on Direct Fiber Control
by Yue Zhao, Junfeng Han, Bo Peng and Caiwen Ma
Photonics 2025, 12(12), 1238; https://doi.org/10.3390/photonics12121238 - 18 Dec 2025
Viewed by 153
Abstract
We propose a compact, beaconless inter-satellite laser communication tracking system based on direct fiber control to address the complexity and resource demands of conventional pointing, acquisition, and tracking (PAT) architectures. Unlike traditional sensor-based or beacon-assisted schemes, the proposed method employs a piezoelectric ceramic [...] Read more.
We propose a compact, beaconless inter-satellite laser communication tracking system based on direct fiber control to address the complexity and resource demands of conventional pointing, acquisition, and tracking (PAT) architectures. Unlike traditional sensor-based or beacon-assisted schemes, the proposed method employs a piezoelectric ceramic tube (PCT) to generate high-frequency, small-amplitude nutation of the single-mode fiber (SMF) tip, enabling real-time alignment correction using only the coupled optical power of the communication signal. This fully closed-loop tracking approach operates without position sensors and eliminates the need for beam splitting, external beacon sources, or auxiliary position detectors. A theoretical model is developed to analyze the influence of algorithm parameters and optical spot jitter on dynamic tracking performance. Experimental results show that the closed-loop system reliably converges to the optical spot center, achieving a fine-tracking accuracy of 4.6 μrad and a disturbance suppression bandwidth of 200 Hz. By significantly simplifying the terminal architecture, the proposed approach provides an efficient and SWaP-optimized solution for inter-satellite and satellite-to-ground optical communication links. Full article
(This article belongs to the Special Issue Laser Communication Systems and Related Technologies)
Show Figures

Figure 1

Proceeding Paper
Silicon Fiber Optic Coating with Zinc Oxide Nanoparticles Characterized by AFM
by Saira Ximena Mendoza-Lopez, Jaime Gutiérrez-Gutiérrez, Marciano Vargas-Treviño, Antonio Canseco-Urbieta, Rosa María Velázquez-Cueto, Ivonne Arisbeth Díaz-Santiago and José Luis Cano-Pérez
Mater. Proc. 2025, 28(1), 8; https://doi.org/10.3390/materproc2025028008 - 17 Dec 2025
Abstract
This paper presents the preparation and characterization of single-mode optical fibers coated with zinc oxide (ZnO) nanoparticles using the immersion technique. The study was carried out in three stages: the first consisted of pretreating the fiber by means of controlled immersion in HCl [...] Read more.
This paper presents the preparation and characterization of single-mode optical fibers coated with zinc oxide (ZnO) nanoparticles using the immersion technique. The study was carried out in three stages: the first consisted of pretreating the fiber by means of controlled immersion in HCl and H2SO4 solutions and exposure in a muffle furnace; the second involved the growth and deposition of ZnO nanoparticles synthesized in a laboratory; and the third was characterization by means of atomic force microscopy (AFM). In this last stage, we obtained through AFM that Sample 1, considered optimized, presented high particle density (9.203 particles/µm2), an RMS roughness (Rq) of 2.98 nm, and average roughness (Ra) of 1.82 nm, as well as an average height of 1.117 nm. These parameters reflect a uniform and stable surface, desirable conditions for applications in the development of high-sensitivity optical sensors and biosensors. Full article
12 pages, 5567 KB  
Article
A Long-Period Grating Based on Double-Clad Fiber for Multi-Parameter Sensing
by Wenchao Li, Hongye Wang, Xinyan Ze, Shuqin Wang, Xiangwei Hao, Yan Bai, Shuanglong Cui, Jian Xing and Xuelan He
Photonics 2025, 12(12), 1235; https://doi.org/10.3390/photonics12121235 - 17 Dec 2025
Viewed by 136
Abstract
This paper proposes a long-period grating (LPG) based on double-clad fibers (DCFs) for multi-parameter sensing. The sensor consists of cascaded-input single-mode fibers (SMF), DCF, and output SMF. Multi-parameter detection is realized by utilizing the different sensing characteristics of the resonance peak under different [...] Read more.
This paper proposes a long-period grating (LPG) based on double-clad fibers (DCFs) for multi-parameter sensing. The sensor consists of cascaded-input single-mode fibers (SMF), DCF, and output SMF. Multi-parameter detection is realized by utilizing the different sensing characteristics of the resonance peak under different physical parameters. The experiment results show that within the temperature range of 30–100 °C, the maximum sensitivity is 66.37 pm/°C. For the refractive index (RI) measurement, the tested range is 1.3309–1.3888 and the maximum sensitivity is −45.84 nm/RIU. Regarding curvature detection, the tested range is 0.6928–1.6971 m−1 and the maximum sensitivity is −2.022 nm/m−1. In addition, the sensor has a symmetrical structure, so its measurement is not restricted by the incident direction of light, thus having flexibility in practical use. This research not only contributes to the advancement of optical fiber sensor technology but also has significant implications for practical applications in industry, the environment, and healthcare. Full article
(This article belongs to the Special Issue Advances in Optical Fiber Sensing Technology)
Show Figures

Figure 1

16 pages, 1413 KB  
Article
The Influence of Oceanic Turbulence on Fiber-Coupling Efficiency of Multi-Gaussian Shell-Mode Beams for Underwater Optical Communications
by Xiaonan Jing, Shan Lv, Jiqian Zhang, Hui Zhang, Yaru Gao, Yangsheng Yuan, Yangjian Cai and Dongmei Wei
Photonics 2025, 12(12), 1234; https://doi.org/10.3390/photonics12121234 - 17 Dec 2025
Viewed by 85
Abstract
This study theoretically investigates the coupling efficiency of multi-Gaussian Shell-mode (MGSM) beams in ocean turbulence. The expression for the fiber-coupling efficiency of the MGSM beams propagating through oceanic turbulent media is derived using the cross-spectral density function. Numerical simulations are performed to examine [...] Read more.
This study theoretically investigates the coupling efficiency of multi-Gaussian Shell-mode (MGSM) beams in ocean turbulence. The expression for the fiber-coupling efficiency of the MGSM beams propagating through oceanic turbulent media is derived using the cross-spectral density function. Numerical simulations are performed to examine the relationship between fiber-coupling efficiency and the beam order, and the scintillation index of the MGSM beams in ocean turbulence is also examined. In the analysis of transmission efficiency, the effects of the receiving aperture and source coherence on transmission efficiency are investigated, taking into account ocean turbulence induced by salinity and temperature fluctuations. The analysis of the fiber-coupling efficiency for MGSM beams presented in this work provides insights for optimizing the design of free-space optical communication systems. Full article
(This article belongs to the Special Issue Advances in the Propagation and Coherence of Light)
Show Figures

Figure 1

21 pages, 4069 KB  
Article
Effect of Notch Depth on Mode II Interlaminar Fracture Toughness of Rubber-Modified Bamboo–Coir Composites
by C. Bhargavi, K S Sreekeshava, Narendra Reddy and Naveen Dyava Naik
J. Compos. Sci. 2025, 9(12), 704; https://doi.org/10.3390/jcs9120704 - 16 Dec 2025
Viewed by 270
Abstract
This study investigates the Mode II fracture behavior of bamboo–coir–rubber (BCR) hybrid composite panels developed as sustainable alternatives for wood-based panels used in structural applications. The composites were fabricated using alternating bamboo and coir layers within a polypropylene (PP) thermoplastic matrix, with styrene–butadiene [...] Read more.
This study investigates the Mode II fracture behavior of bamboo–coir–rubber (BCR) hybrid composite panels developed as sustainable alternatives for wood-based panels used in structural applications. The composites were fabricated using alternating bamboo and coir layers within a polypropylene (PP) thermoplastic matrix, with styrene–butadiene rubber (SBR) incorporated as an additive at 0–30 wt.% to enhance interlaminar toughness. Commercial structural plywood was tested as the benchmark. Mode II interlaminar fracture toughness (GIIc) was evaluated using the ASTM D7905 End-Notched Flexure (ENF) test, supported by optical monitoring to study crack monitoring and Scanning Electron Microscopy (SEM) for microstructural interpretation. Results demonstrated a steady increase in GIIc from 1.26 kJ/m2 for unmodified laminates to a maximum of 1.98 kJ/m2 at 30% SBR, representing a 60% improvement over the baseline and nearly double the toughness of plywood (0.7–0.9 kJ/m2). The optimum performance was obtained at 20–25 wt.% SBR, where the laminated retained approximately 85–90% of their initial flexural modulus while exhibiting enhanced energy absorption. Increasing the initial notch ratio (a0/L) from 0.2 to 0.4 caused a reduction of 20% in GIIc and a twofold rise in compliance, highlighting the geometric sensitivity of shear fracture to the remaining ligament. Analysis of Variance (ANOVA) confirmed that the increase in GIIc for the 20–25% SBR laminates relative to plywood and the unmodified composite is significant at p < 0.05. SEM observations revealed rubber-particle cavitation, matrix shear yielding, and coir–fiber bridging as the dominant toughening mechanisms responsible for the transition from abrupt to stable delamination. The measured toughness levels (1.5–2.0 kJ/m2) position the BCR panels within the functional range required for reusable formwork, interior partitions, and transport flooring. The combination of renewable bamboo and coir with a thermoplastic PP matrix and rubber modification hence offers a formaldehyde-free alternative to conventional plywood for shear-dominated applications. Full article
(This article belongs to the Section Biocomposites)
Show Figures

Figure 1

17 pages, 8805 KB  
Article
Effect of Electron Beam Irradiation on Friction and Wear Properties of Carbon Fiber-Reinforced PEEK at Different Injection Temperatures
by Yi Chen, Jiahong Li, Da Bian and Yongwu Zhao
Lubricants 2025, 13(12), 546; https://doi.org/10.3390/lubricants13120546 - 16 Dec 2025
Viewed by 237
Abstract
Polyetheretherketone (PEEK) is a high-performance engineering plastic widely used in aerospace, automotive, and other industries due to its heat resistance and mechanical strength. However, its high friction coefficient and low thermal conductivity limit its use in heavy-load environments. Existing studies have extensively explored [...] Read more.
Polyetheretherketone (PEEK) is a high-performance engineering plastic widely used in aerospace, automotive, and other industries due to its heat resistance and mechanical strength. However, its high friction coefficient and low thermal conductivity limit its use in heavy-load environments. Existing studies have extensively explored the individual effects of thermal processing or irradiation on PEEK. However, the synergistic mechanism between the initial microstructure formed by mold temperature and subsequent irradiation modification remains unclear. This paper investigates the coupled effects of injection molding temperature and electron beam irradiation on the tribology of carbon fiber-reinforced PEEK composites, with the aim of identifying process conditions that improve friction and wear performance under high load by controlling the crystal morphology and cross-linking network. Carbon fiber (CF) particles were mixed with PEEK particles at a 1:2 mass ratio, and specimens were prepared at injection molding temperatures of 150 °C, 175 °C, and 200 °C. Some specimens were irradiated with an electron beam dose of 200 kGy. The friction coefficient, wear rate, surface shape, and crystallinity of the material were obtained using friction and wear tests, white-light topography, SEM, and XRD. The results show that the injection molding temperature of the material influences the friction performance. Optimal performance is obtained at 175 °C with a friction coefficient of 0.12 and wear rate of 9.722 × 10−6 mm3/(N·m). After irradiation modification, the friction coefficient decreases to 0.10. This improvement is due to the moderate melt fluidity, adequate fiber infiltration, and dense crystallization at this temperature. In addition, cross-linking of chains occurs, and surface transfer films are created at this temperature. However, irradiation leads to a slight increase in wear rate to 1.013 × 10−5 mm3/(N·m), suggesting that chain segment fracture and embrittlement effects are enhanced at this dose. At 150 °C, there is weak interfacial bonding and microcrack development. At 200 °C, excessive thermal motion reduces crystallinity and adds residual stress, increasing wear sensitivity. Overall, while irradiation reduces the friction coefficient, the wear rate is affected by the initial microstructure at molding. At non-optimal temperatures, embrittlement tends to dominate the wear mode. This study uncovers the synergistic and competitive dynamics between the injection molding process and irradiation modification, offering an operational framework and a mechanistic foundation for applying CF/PEEK under heavy-load conditions. The present approach can be extended in future work to other reinforcement systems or variable-dose irradiation schemes to further optimize overall tribological performance. Full article
Show Figures

Figure 1

25 pages, 5082 KB  
Article
Performance Evaluation of Fixed-Point DFOS Cables for Structural Monitoring of Reinforced Concrete Elements
by Aigerim Buranbayeva, Assel Sarsembayeva, Bun Pin Tee, Iliyas Zhumadilov and Gulizat Orazbekova
Infrastructures 2025, 10(12), 349; https://doi.org/10.3390/infrastructures10120349 - 15 Dec 2025
Viewed by 182
Abstract
Distributed fiber-optic sensing (DFOS) with intentionally spaced mechanical fixity points was experimentally evaluated for the structural health monitoring (SHM) of reinforced concrete (RC) members. A full-scale four-point bending test was conducted on a 12 m RC beam (400 × 400 mm) instrumented with [...] Read more.
Distributed fiber-optic sensing (DFOS) with intentionally spaced mechanical fixity points was experimentally evaluated for the structural health monitoring (SHM) of reinforced concrete (RC) members. A full-scale four-point bending test was conducted on a 12 m RC beam (400 × 400 mm) instrumented with a single-mode DFOS cable incorporating internal anchors at 2 m intervals and bonded externally with structural epoxy. Brillouin time-domain analysis (BOTDA) provided distributed strain measurements at approximately 0.5 m spatial resolution, with all cables calibrated to ±15,000 µε. Under stepwise monotonic loading, the system captured smooth, repeatable strain baselines and clearly resolved localized tensile peaks associated with crack initiation and propagation. Long-gauge averages exhibited a near-linear load–strain response (R2 ≈ 0.99) consistent with discrete foil and vibrating-wire strain gauges. Even after cracking, the DFOS signal remained continuous, while some discrete sensors showed saturation or scatter. Temperature compensation via a parallel fiber ensured thermally stable interpretation during load holds. The fixed-point configuration mitigated local debonding effects and yielded unbiased long-gauge strain data suitable for assessing serviceability and differential settlement. Overall, the results confirm the suitability of fixed-point DFOS as a durable, SHM-ready sensing approach for RC foundation elements and as a dense data source for emerging digital-twin frameworks. Full article
Show Figures

Figure 1

Back to TopTop