Next Article in Journal
A Long-Period Grating Based on Double-Clad Fiber for Multi-Parameter Sensing
Next Article in Special Issue
Shannon Entropy of Laguerre-Gaussian Correlated Schell-Model Beams in Underwater Turbulence
Previous Article in Journal
A Nanosecond-Scale, High-Spatiotemporal-Resolution, Near-UV–Visible Imaging System for Advanced Optical Diagnostics with Application to Rotating Detonation Engines
Previous Article in Special Issue
Propagation Properties of the COAM Matrix of Twisted Gaussian Schell-Model Beams in Non-Kolmogorov Turbulence
 
 
Font Type:
Arial Georgia Verdana
Font Size:
Aa Aa Aa
Line Spacing:
Column Width:
Background:
Article

The Influence of Oceanic Turbulence on Fiber-Coupling Efficiency of Multi-Gaussian Shell-Mode Beams for Underwater Optical Communications

1
Shandong Provincial Key Laboratory of Light Field Manipulation Physics and Applications, School of Physics and Optoelectronics, Shandong Normal University, Jinan 250358, China
2
Collaborative Innovation Center of Light Manipulation and Applications, Shandong Normal University, Jinan 250358, China
*
Authors to whom correspondence should be addressed.
Photonics 2025, 12(12), 1234; https://doi.org/10.3390/photonics12121234
Submission received: 25 November 2025 / Revised: 13 December 2025 / Accepted: 15 December 2025 / Published: 17 December 2025
(This article belongs to the Special Issue Advances in the Propagation and Coherence of Light)

Abstract

This study theoretically investigates the coupling efficiency of multi-Gaussian Shell-mode (MGSM) beams in ocean turbulence. The expression for the fiber-coupling efficiency of the MGSM beams propagating through oceanic turbulent media is derived using the cross-spectral density function. Numerical simulations are performed to examine the relationship between fiber-coupling efficiency and the beam order, and the scintillation index of the MGSM beams in ocean turbulence is also examined. In the analysis of transmission efficiency, the effects of the receiving aperture and source coherence on transmission efficiency are investigated, taking into account ocean turbulence induced by salinity and temperature fluctuations. The analysis of the fiber-coupling efficiency for MGSM beams presented in this work provides insights for optimizing the design of free-space optical communication systems.

1. Introduction

Advances in science and technology are driving increasing demands for higher communication rates and greater bandwidth. With benefits such as high data rates, robust security, and a virtually unlimited spectrum, free-space optical (FSO) communication has garnered significant attention as a developmental focus. Notable advancements in this technology include developments in quantum communication, inter-satellite optical communication [1,2,3], and ground-based optical communication [4,5,6,7]. In the challenging underwater environment, traditional radio frequency communication faces limitations, making optical communication technology a vital focus for underwater communication research and development [8,9,10]. In the free space optical communication link, the erbium-doped fiber amplifier (EDFA), fiber laser transmitter, fiber modem, and single-mode fiber (SMF) with a preamplifier are introduced to enhance the performance of laser communication [11,12,13]. In communication systems, the receiving end couples the laser beam into the optical fiber using a coupling lens, allowing the optical signal to be amplified, filtered, demodulated, and ultimately converted into the required electrical signal in subsequent stages. Consequently, optical fiber-coupling technology is particularly crucial in communication links [14,15,16,17].
In contrast to previous studies focusing on the transmission process prior to beam coupling, this research examines the transmission process from the emitting end to the receiving end, treating random turbulence as the transmission medium. Numerous theoretical studies and practical applications have demonstrated that the effects of turbulence during beam transmission are unavoidable [18,19,20], which can degrade the quality of laser beam transmission [21,22,23]. Dikmelik et al. established that turbulence can diminish the coupling efficiency of plane waves [24]. To investigate the impact of turbulence on long-distance optical communication links, Robinson et al. employed efficient single-mode optical receivers to facilitate high-capacity data transmission from low Earth orbit to the ground [25]. Wright et al. implemented an adaptive optical (AO) correction system in their research to adaptively correct the optical downlink aberrations caused by atmospheric turbulence, thereby enabling effective and continuous coupling of the laser signal emitted by the space station in low Earth orbit to single-mode optical fiber [26]. Within the context of satellite–ground laser downlink, Canuet et al. proposed an analytical model to describe the instantaneous variation of coupling flux in partially adaptive optical (AO) systems before and after the correction of incident wave into single-mode fiber [27]. Mphuthi et al. investigated the free-space optical (FSO) communication link using a shape-invariant orbital angular momentum Bessel beam, proposing an alternative orbital angular momentum (OAM) solution for FSO communication [28]. To investigate the impact of harsh environmental conditions on transmission, Esmail et al. conducted research and demonstrations of a high-speed all-optical hybrid free-space optical (FSO)/fiber communication system under dust storm conditions [29]. In the field of underwater communication research, Zhang et al. theoretically analyzed the fiber-coupling efficiency of optical communication links using partially coherent Gaussian beams in oceanic turbulence by developing a novel model [30]. Hu, Zhang, et al. found that a high correction factor and the spatial coherence of the laser beam enhanced the coupling efficiency of the optical fiber link [31]. Tan, Ma, et al. examined the effect of light source coherence on fiber-coupling efficiency by comparing partially coherent Gaussian model beams with fully coherent beams [32]. Zhu et al. explored the coupling between partially coherent radially polarized (PCRP) vortex beams and single-mode fibers, using PCRP vortex beams as incident beams, and discussed the influences of coherence, topological charge, and wavelength on the beam coupling efficiency of single-mode fibers when focused through a lens [33].
The results indicate that the source field intensity of MGSM beams follows a Gaussian distribution, whereas its far-field intensity distribution is flat-topped [34,35,36]. This unique property has spurred extensive research and yielded notable findings. MGSM beams differ fundamentally from conventional flat-topped beams [37,38,39]. Although these traditional flat-topped beams exhibit a flat intensity distribution near the light source, their intensity distribution gradually transitions to a Gaussian profile during propagation. In studies by Olga et al. [35,40], the evolution of MGSM beams propagation from the light source to various regions was investigated under two scenarios: propagation in free space and propagation in the presence of specific linear random continuous media. Yuan et al. further elucidated the scintillation behavior of MGSM beams in extremely turbulent atmospheres using a tensor method [41], and observed that MGSM beams possess the ability to suppress turbulence-induced scintillation, a feature of great significance for long-distance FSO communication.
This paper theoretically investigates the fiber-coupling efficiency of MGSM beams in oceanic turbulence. Unlike atmospheric turbulence, oceanic turbulence is influenced by multiple factors, including temperature and salinity, rendering it more complex; additionally, beams exhibit greater sensitivity to turbulence effects during propagation [42,43,44,45]. After calculating the cross-spectral density of MGSM beams in oceanic turbulence, we derived the expression for fiber-coupling efficiency. The results demonstrate that the turbulence effects of oceanic turbulence reduce the coupling efficiency of MGSM beams, and that these beams are more sensitive to oceanic turbulence driven by salinity than to that induced by temperature. The coupling efficiency of MGSM beams decreases as the beam order increases. Both the coherence of the light source at the exit and the design parameters of the incident beam can optimize the coupling efficiency.

2. Theory

2.1. Cross-Spectral Density of MGSM Beams in Ocean Turbulence

The cross-spectral density of an MGSM beams at z = 0 is given by W ρ 1 , ρ 2 , 0 [35], expressed as Equation (1):
W ρ 1 , ρ 2 , 0 = 1 C 0 m = 1 M M m 1 m 1 m exp ρ 1 ρ 2 2 2 m δ 0 2 exp ρ 1 2 + ρ 2 2 w 0 2 ,
where C 0 = m = 1 M 1 m 1 m M m is the normalized factor, and M m is the binomial coefficient. ρ 1 and ρ 2 are horizontal coordinate vectors at plane z = 0 . w 0 is the beam width. M is the beam order. When M = 1 , the beam is reduced to a GSM beam. δ 0 is the transverse coherent width of the light source. When δ 0 0 , the MGSM beams degenerate into completely coherent light.
Based on the generalized Huygens–Fresnel principle, the analytical formula for the cross-spectral density of MGSM beams in the z-plane is defined as follows [46,47]:
W r 1 , r 2 , z = k 2 π z 2 d 2 ρ 1 d 2 ρ 2 W ρ 1 , ρ 2 , 0 × exp i k 2 z r 1 ρ 1 2 r 2 ρ 2 2 × exp ψ ( r 1 , ρ 1 , z ) + ψ ( r 2 , ρ 2 , z ) 0 ,
where r 1 and r 2 are horizontal coordinate vectors of the plane, k is wave number, and k = 2 π / λ . 0 represents the ensemble average in oceanic turbulence [47,48,49], as shown in Equation (3):
exp ψ ρ 1 , r 1 , z + ψ ρ 2 , r 2 , z 0 exp M ρ 1 ρ 2 2 + ρ 1 ρ 2 r 1 r 2 + r 1 r 2 2 ,
In Equation (3), M is defined as the expression of ocean turbulence intensity in the form shown in Equation (4) [21,31,50]:
M = 3.603 × 10 7 k 2 z ε η 1 / 3 χ t 2 ϖ 2 0.483 ϖ 2 0.835 ϖ + 3.38 , C m 2 = 10 8 ε 1 / 3 χ t
where ϖ is defined as the ratio of temperature to salinity contributions to the refractive index spectrum. The value range of the ratio is 5 ; 0 ; 5 and 0 represent the dominant optical turbulence caused by temperature and salinity, respectively. ε is the rate of dissipation of the turbulent kinetic energy. The kinetic energy dissipation rate has a wide range, and the dissipation rate in different sea areas also varies, spanning about nine orders of magnitude. In the deep sea area, the kinetic energy dissipation rate is close to 10 10   m 2 / s 3 , and in the turbulent active area such as the surf area, the kinetic energy dissipation rate is 10 1   m 2 / s 3 . χ t is the rate of dissipation of the mean squared temperature, which is defined to describe the amount of turbulence acting on the temperature field. The larger the experimental data, the stronger the turbulence. Similar to atmospheric turbulence, the minimum scale of ocean turbulence represented by η is the Kolmogorov scale. When C m 2 is the “equivalent” temperature structural constant, and C m 2 = 10 8 ε 1 / 3 χ t , substituting it into Equation (4) to obtain Equation (5), the form is as follows [51]:
M = 18.02 C m 2 k 2 z η 1 / 3 0.483 0.835 ϖ 1 + 3.38 ϖ 2 ,
By substituting Equation (1) and Equation (3) into Equation (2), the analytical formula for the cross-spectral density of MGSM beams in the plane is obtained through integral calculation, yielding:
W r 1 , r 2 , z = 1 C 0 m = 1 M M m 1 m 1 m 1 L a z exp M M 2 4 a + 1 + M 2 a 2 a L a z r 1 r 2 2 × exp k 2 16 a z 2 1 1 L a z r 1 + r 2 2 exp 1 M 2 a + 1 + M 2 a 1 L a z i k 2 z r 1 2 r 2 2 ,
where L a z = 8 a z 2 k 2 w 0 2 + 1 , and w0 is the initial Gaussian beam waist, quantifying the spatial spreading of the beam under oceanic turbulence, a = 1 2 w 0 2 + 1 2 m δ 0 2 + M . The first exponential factor characterizes the decay of the beam’s spatial coherence. It is a function of the squared distance ( r 1 r 2 ) 2 , whose exponent coefficient directly determines the transverse coherence width. An increase in the turbulence parameter M leads to a larger coefficient, meaning coherence decays more rapidly with distance, i.e., turbulence degrades the spatial coherence of the beam. The second exponential factor dictates the average intensity on the receiving plane. It shows that the intensity maintains a Gaussian distribution. The factor ( 1 1 / L a ( z ) ) increases with stronger turbulence, leading to a broader intensity profile. This is equivalent to additional beam broadening induced by turbulence, resulting in more dispersed energy. The third exponential factor represents the wavefront curvature of the beam. Its form ( r 1 2 r 2 2 ) is typical for a spherical wave phase. Turbulence modulates its coefficient via parameters M , a , and L a ( z ) , thereby distorting the ideal spherical curvature of the wavefront. This phase distortion is key to the performance of subsequent optical systems, such as fiber coupling.

2.2. Fiber-Coupling Efficiency of MGSM Beams in Ocean Turbulence

When the optical signal passing through the ocean turbulence is received by the receiver, it is coupled into the optical fiber through a coupling lens at the receiving plane A in Figure 1, where the optical fiber is located on the focal plane B of the coupling lens. In order to achieve the maximum coupling efficiency, the core of the fiber is on the axis of the lens.
In free space optical communication, the fiber-coupling efficiency η c is defined as the ratio of P c to P a . As shown in Equation (7), where P c is the average optical power coupled into the optical fiber, P a is the average optical power reaching the receiving aperture plane [52], and W r 1 , r 2 , z is the cross-spectral density function of MGSM beams at z in the ocean turbulence. E A r is the incident light field of the beam at the receiving aperture plane A; * is complex conjugate [24].
η c = P c P a = A W r 1 , r 2 , z F A * r 1 F A r 2 d r 1 d r 2 A E A r 2 d r ,
In addition, the mode profile F A r of back propagation fiber is given in the form shown in Equation (8). In Equation (9), ω a is the mode-field radius of the backpropagated fiber mode, and ω a = λ f π ω 0 . f is the focal length of the coupling lens at the receiving end. ω 0 is the fiber-mode field radius, and λ is the beam wavelength.
F A r = 1 w a 2 π exp r 2 w a 2 ,
where F A r is the back propagation fiber mode profile [24]. In Equation (8), w a is the mode field radius out of the fiber end face, and w a = λ f π w 0 . f is the focal length of the coupling lens at the receiving end, λ is the beam wavelength, and w 0 is the beam width.
By substituting Equation (6) and Equation (8) into Equation (7), the analytical formula for fiber-coupling efficiency can be derived as follows:
η c = 2 π w a 2 A R A 1 C 0 m = 1 M M m 1 m 1 m 1 L a z exp A 1 r 1 r 2 2 exp A 2 r 1 + r 2 2 × 1 C 0 m = 1 M M m 1 m 1 m 1 L a z exp 4 A 2 r 1 2 1 / 2 1 C 0 m = 1 M M m 1 m 1 m 1 L a z exp 4 A 2 r 2 2 1 / 2 × exp r 1 2 + r 2 2 w a 2 d r 1 d r 2 ,
w h e r e A 1 = M M 2 4 a + 1 + M 2 a 2 a L a z A 2 = k 2 16 a z 2 1 1 L a z A 3 = 1 M 2 a + 1 + M 2 a 1 L a z .
where A R = π D 2 / 4 , A R is the area of the receiving aperture at the receiving end, and D is the c. r 1 and r 2 are the horizontal coordinate vectors of the plane z > 0 , φ 1 and φ 2 are the angles between r 1 , r 2 and the central axis of the propagation plane. The cosine theorem and double integrals on the angular variables A and B are given as follows:
r 1 ± r 2 2 = r 1 2 + r 2 2 ± 2 r 1 r 2 cos φ 1 φ 2 ,
0 2 π 0 2 π exp 2 A 1 + A 2 r 1 r 2 cos ( φ 1 φ 2 ) d φ 1 d φ 2 = 4 π 2 J 0 2 A 1 + A 2 r 1 r 2 ,
where J 0 denotes the modified Bessel function of first kind and zero order [24].
The fiber-coupling efficiency equation of MGSM beams can be written as follows:
η c = 8 π w a 2 A R 0 D 2 0 D 2 1 C 0 m = 1 M M m 1 m 1 m 1 L a z exp A 1 A 2 r 1 2 + r 2 2 J 0 2 A 1 + A 2 r 1 r 2 × 1 C 0 m = 1 M M m 1 m 1 m 1 L a z exp 4 A 2 r 1 2 1 / 2 1 C 0 m = 1 M M m 1 m 1 m 1 L a z exp 4 A 2 r 2 2 1 / 2 × exp r 1 2 + r 2 2 w a 2 r 1 r 2 d r 1 d r 2 .
The radial integral variable is normalized to the radius of the receiving lens. By defining new variables r 1 = D x 1 / 2 , r 2 = D x 2 / 2 . The design parameter β is defined as the ratio of the receiving aperture radius D / 2 to the mode radius w a of the back propagation fiber. The η c is expressed as
η c = 8 β 2 0 1 0 1 1 C 0 m = 1 M M m 1 m 1 m 1 L a z exp 1 4 D 2 A 1 A 2 x 1 2 + x 2 2 J 0 1 2 D 2 A 1 + A 2 x 1 x 2 × 1 C 0 m = 1 M M m 1 m 1 m 1 L a z exp A 2 D 2 x 1 2 1 / 2 1 C 0 m = 1 M M m 1 m 1 m 1 L a z exp A 2 D 2 x 2 2 1 / 2 × exp β 2 x 1 2 + x 2 2 x 1 x 2 d x 1 d x 2 .
Here, to validate the convergence of the numerical integration in Equation (14), especially for high beam orders M, we performed a convergence test by varying M. First, we calculated the result with M = 1, 3, 5 and observed a gradual convergence trend. When M was further increased to 10, the resulting curve showed negligible deviation from that obtained with M = 5, confirming the convergence of the integration. Based on this trend, the integration is guaranteed to remain convergent for the beam order M = 13 adopted in this work. We first investigated the variation trend of the results by setting M = 1, 3, 5 and observed a gradual tendency toward convergence. Subsequently, we increased M to 10 and found that the resulting curve exhibited negligible changes compared to that of M = 5, confirming that the integration had converged. Given this trend, we can ensure that the integration remains convergent when M = 13, which is the beam order adopted in our work.

2.3. Discussion of the Limiting Cases

This limiting behavior confirms that the turbulence model is properly embedded and disappears as expected when turbulence is absent.
To verify the correctness and physical consistency of the derived analytical expressions, several important limiting cases of the MGSM beam are examined in this subsection. These include the reduction to a Gaussian Schell-model (GSM) beam when the beam order is M = 1 , the degeneration to a fully coherent beam when the initial transverse coherence width approaches zero ( δ 0 0 ), and the turbulence-free condition in which the oceanic refractive index fluctuations vanish. The results demonstrate that the proposed analytical expressions correctly reproduce known special-case solutions.
Case of M = 1 : Reduction to a GSM beam
When the beam order is set to M = 1 , the summation term in Equation (1) contains only a single Gaussian component. In this case, the MGSM beam reduces to a standard Gaussian Schell-model (GSM) beam. Substituting M = 1 into Equations (1) and (6), the cross-spectral density naturally collapses to the classical GSM form reported in Refs. [35,40].
After substitution into the fiber-coupling expression in Equation (13), the resulting coupling efficiency is fully consistent with the known solution for GSM beams in turbulent media, demonstrating that the MGSM formulation behaves correctly in the low-order limit.
Case of δ 0 0 : Completely coherent limit
For δ 0 0 , the transverse coherence width of the source tends to zero and the mutual coherence function approaches a delta-correlated form, indicating that the MGSM beam degenerates into a fully coherent multi-Gaussian beam.
In this limit, Equation (1) becomes a coherent superposition of Gaussian modes, and Equation (6) reduces to the free-space propagation of a fully coherent field.
Likewise, substituting the limiting form into Equation (13) yields the well-known coupling-efficiency expression for fully coherent beams, consistent with the coherent fiber-coupling model in Ref. [16]. This confirms that the MGSM-based expressions remain self-consistent in the coherence-limit scenario.
Turbulence-free case: D n ( ρ ) = 0
When the refractive index structure function in Equation (3) vanishes, i.e.,
D n ( ρ ) = 0 ,
the exponential turbulence term becomes unity,
e x p [ 1 2 D n ( ρ ) ] = 1 ,
and Equation (2) simplifies directly to the generalized Huygens–Fresnel integral in free space.
Consequently, the cross-spectral density in Equation (6) returns to the turbulence-free MGSM propagation form, and the coupling-efficiency expression in Equation (13) reduces to the well-established free-space fiber-coupling formula.
The above limiting-case analysis verifies that the derived expressions for the cross-spectral density and fiber-coupling efficiency exhibit correct mathematical behavior and reduce to known special-case solutions for GSM beams, fully coherent beams, and turbulence-free propagation. This provides strong validation of the analytical framework developed in this study.

3. Analysis of Fiber-Coupling Efficiency of MGSM Beams

In this study, we deduce the coupling efficiency of MGSM beams in oceanic turbulence, obtain the analytical expression for the coupling efficiency, and conduct numerical simulations. Specifically, different beam order values are selected to simulate MGSM beams, and multiple parameters are defined in the simulations, including the beam width, receiving aperture diameter, and laser wavelength. When simulating the effects of oceanic turbulence, different equivalent temperature structure constants are utilized to model the influences of oceanic turbulence with different intensities. Meanwhile, the effects of temperature, salinity, and turbulence in distinct regions are taken into account.
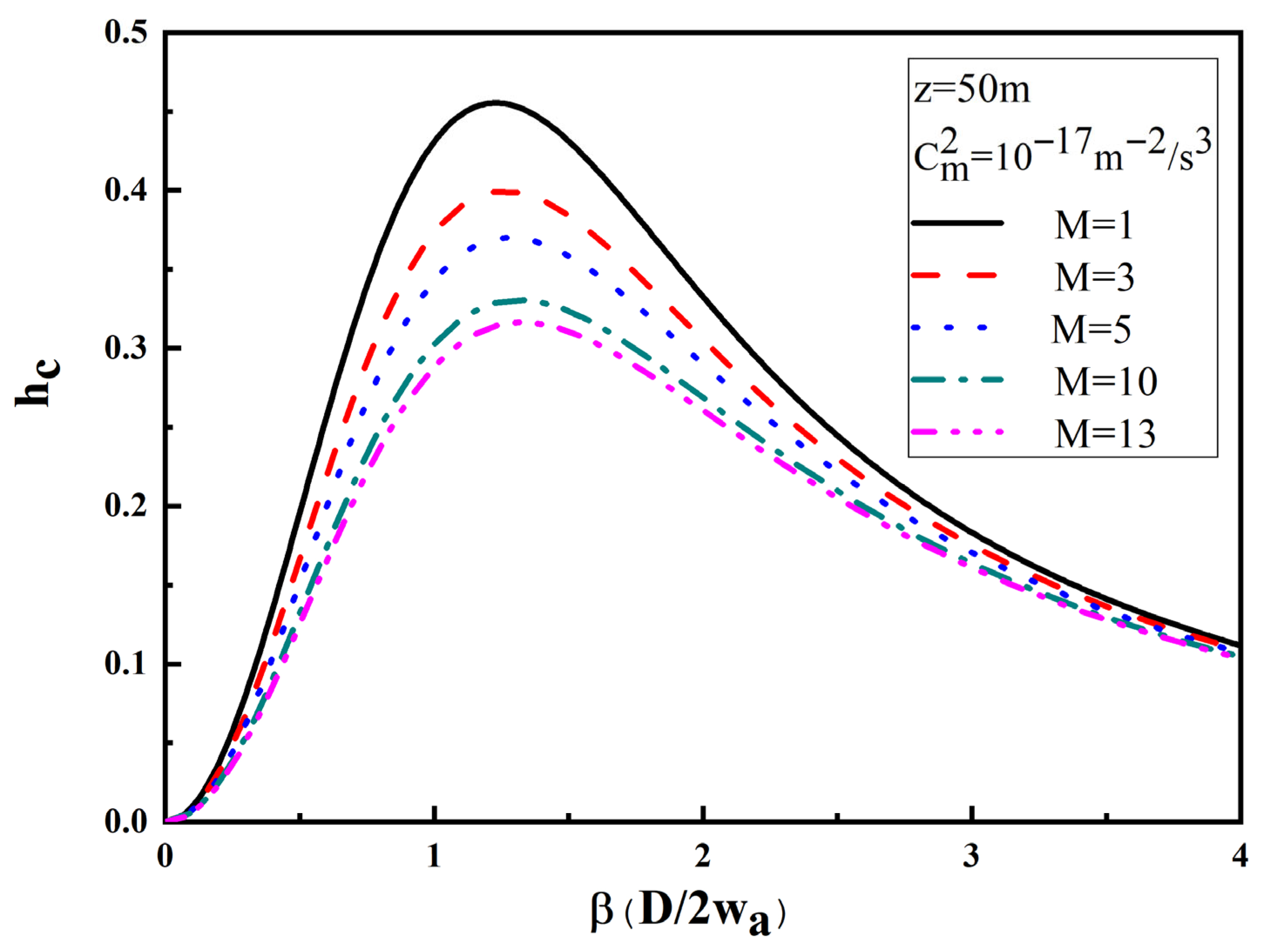
For the purpose of studying fiber-coupling efficiency, the impact of the receiver is incorporated into the analysis. In Figure 2, the influences of beam order and design parameters on fiber-coupling efficiency are simulated with a beam transmission distance of 50 m. The spatial coherence length of the laser source is set to δ 0 = 0.04   m , and the order is set as M = 1 , M = 3 , M = 5 , M = 10 and M = 13 . When M = 1 , MGSM beams degenerate into GSM beams. Ocean turbulence parameters are set as C m 2 = 10 17   m 2 / 3 , η = 1   m m , ϖ = 3 . Through the simulation, it can be found in Figure 2 that when M = 1 , the maximum fiber-coupling efficiency is 45%. When M = 5 , the beam has the maximum fiber-coupling efficiency at β = 1.28 , and the value reaches 30%. Numerical simulation results demonstrate that the fiber-coupling efficiency of MGSM beams declines with increasing beam order.
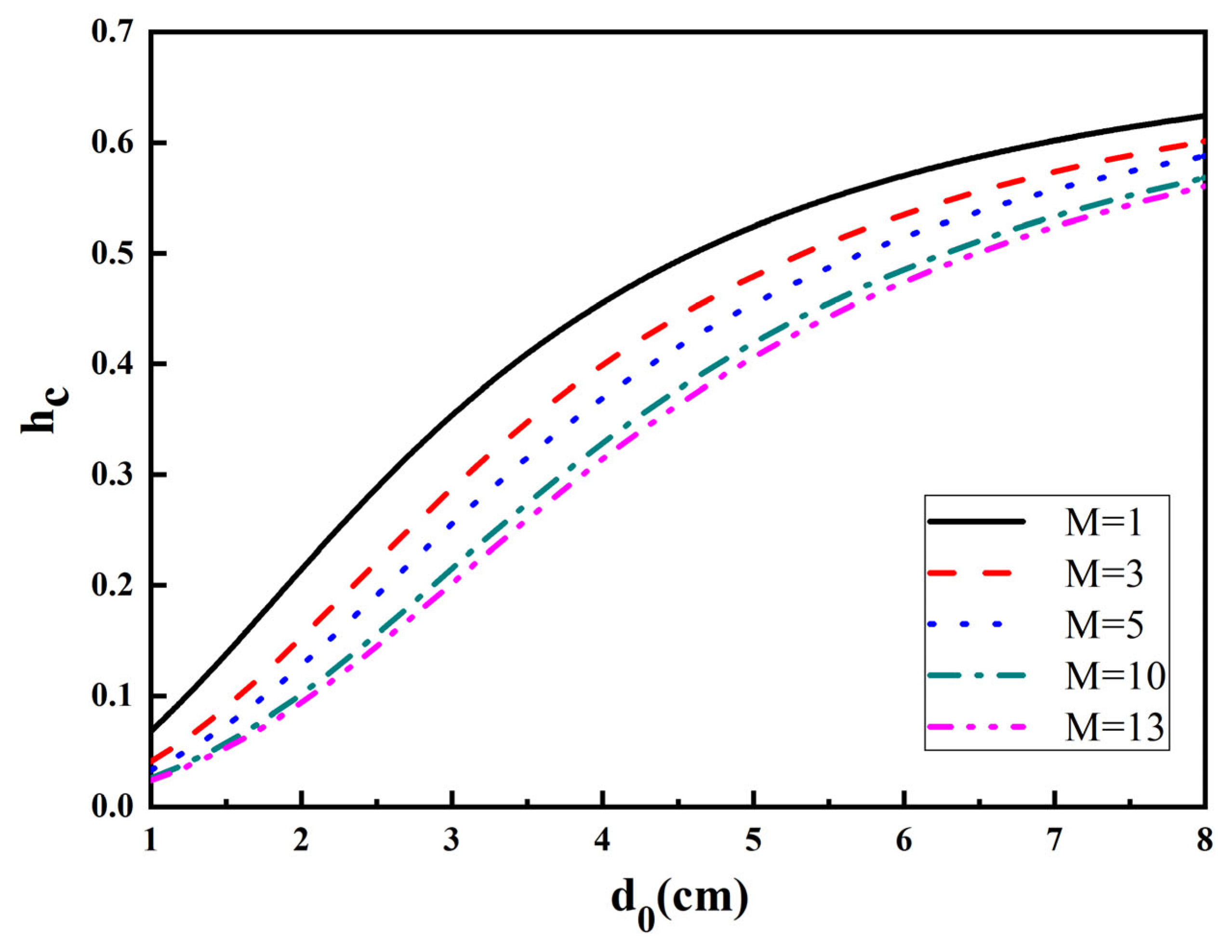
The influence of the coherence of light source on the coupling efficiency of MGSM beams is simulated. We set the value of the spatial coherence length to δ 0 = 1 ~ 8   cm . Other parameters are set to β = 1.23 , C m 2 = 10 17   m 2 / 3 , z = 50   m , ϖ = 3 . In Figure 3, when δ 0 = 8   cm , the highest fiber-coupling efficiency value can be obtained. When the spatial coherence length δ 0 of the light source is fixed, the fiber-coupling efficiency decreases with the increase in the beam order M . When the beam order M is fixed, the fiber-coupling efficiency increases with the increase in spatial coherence length. The results demonstrate that coupling efficiency increases with the spatial coherence of the incident light, i.e., higher spatial coherence corresponds to higher coupling efficiency. When constructing an optical communication link, the spatial coherence of the light source and the beam order can be adjusted to optimize transmission quality.
Within oceanic turbulence, turbulent effects modify the propagation characteristics of beams and impair their quality, while beam coherence degrades with increasing transmission distance. This study simulates how propagation distance and oceanic turbulence intensity affect the fiber-coupling efficiency of MGSM beams in oceanic turbulence. In the study, the “equivalent” temperature structure constant is used to quantify oceanic turbulence intensity. Figure 3 presents the variation curve of fiber-coupling efficiency with respect to transmission distance and equivalent temperature structure constant. The parameters are set to β = 1.23 , ϖ = 3 , and δ 0 = 0.04   m . We found that the order M of MGSM directly determines the number of Gaussian sub-modes that are superimposed. As M increases, the more Gaussian terms are included, the more intense the lateral variation in the beam becomes, and the lateral gradient significantly increases. Therefore, its far-field presents a more obvious flat-top structure, making the energy distribution more susceptible to the phase perturbations and scattering caused by turbulence, thereby resulting in a stronger attenuation of coupling efficiency. Furthermore, from a physical perspective, there are the following points to explain.
The high-order MGSM beam contains more off-axis energy distribution, and its far-field presents a more obvious flat-top structure. This makes the energy distribution more susceptible to the phase perturbations and scattering caused by turbulence, thereby resulting in a stronger attenuation of coupling efficiency. The higher the beam order, the more complex the coherent structure of the light beam becomes. The multi-mode superposition effect causes the turbulence to disturb different sub-beams in a way that they cannot cancel each other out, resulting in a faster decline in overall coherence. As M increases, the scintillation index of the MGSM beam in oceanic turbulence also increases, which is an important physical factor contributing to a more significant decrease in coupling efficiency. The wavefront sensitivity of high-order MGSM beams is higher, and they are more susceptible to being disrupted by the dual-spectrum turbulence caused by temperature and salinity, resulting in more severe phase distortion and energy diffusion.
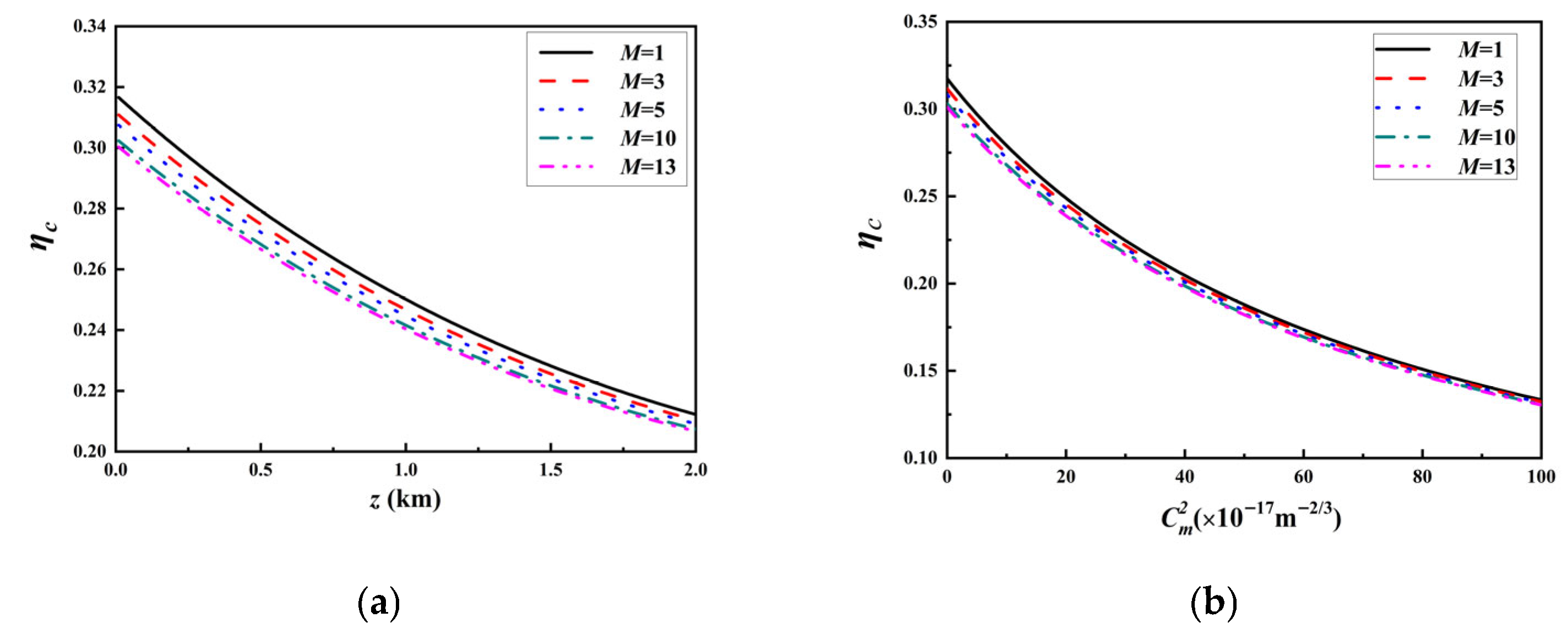
In Figure 4a, we simulate the change in fiber-coupling efficiency of MGSM beams with different beam orders in the turbulence with the “equivalent” temperature structure constant C m 2 = 10 17   m 2 / 3 , and the transmission range is z = 0 ~ 2   k m , in which the GSM beam ( M = 1 ) is used as a reference. We found that as the transmission distance of the beam increases, the fiber-coupling efficiency decreases. At the same time, at the same distance, lower beam order can achieve higher fiber-coupling efficiency. In Figure 4b, the change in fiber-coupling efficiency of MGSM beams with different orders is simulated when they travel 50 m in different intensity of ocean turbulence. The variation range of the “equivalent” temperature structure constant is C m 2 = 0 ~ 10 15   m 2 / 3 . When C m 2 = 0 , it is an ideal state for comparison. We can observe that when the transmission distance is fixed, with the increase in the equivalent temperature structure constant of ocean turbulence, the fiber-coupling efficiency decreases rapidly. However, when the turbulence C m 2 = 10 15   m 2 / 3 , the coupling efficiency of optical fiber decays seriously, and the difference in coupling efficiency of various beams is small.
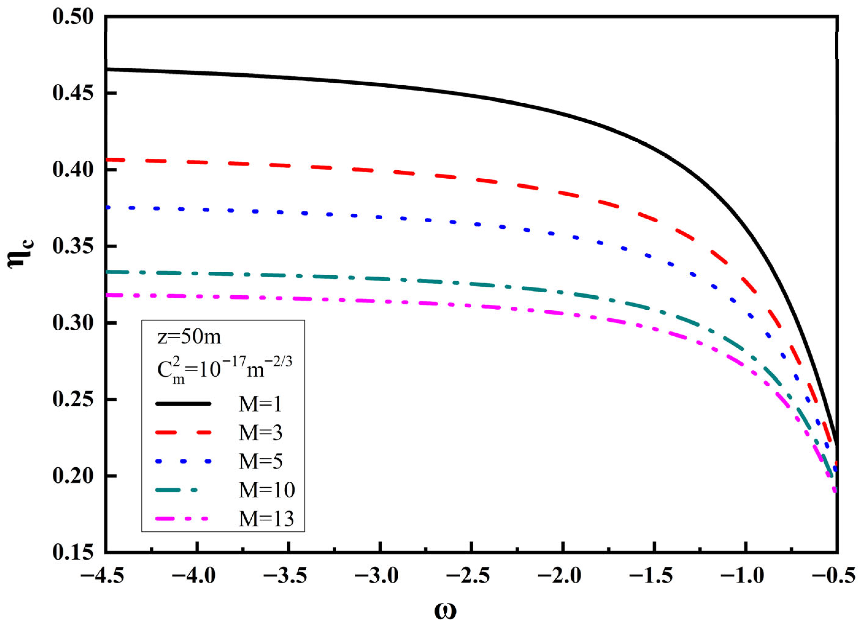
Within oceanic turbulence, refractive index fluctuations are impacted by both temperature and salinity. For this reason, the effects of temperature and salinity in oceanic turbulence are also integrated into the analysis of this study. In Figure 5, the effects of the ratio of temperature to salinity contributions to the refractive index spectrum ϖ on the fiber-coupling efficiency of different order beams are simulated, and the variation range is ϖ 4.5 , 0.5 . Other parameters in the system are C m 2 = 10 17   m 2 / 3 , η = 1   mm , β = 1.23 , δ 0 = 0.04   m , and z = 50   m . In Figure 5, we can find that under fixed transmission distance, when the ϖ value is small, that is, when the temperature leads to the dominant optical turbulence, the MGSM beams with different beam orders exhibit better transmission efficiency. When the ϖ value is large, that is to say, in the dominant optical turbulence caused by salinity, the fiber-coupling efficiency of MGSM beams with different beam orders has obvious attenuation. It shows that with the increase in ϖ , the intensity of ocean turbulence increases, the scintillation effect increases, and the coupling efficiency decreases.
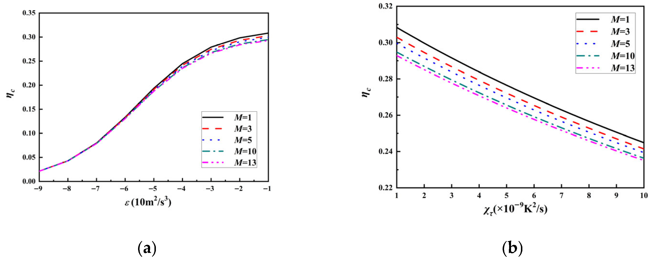
The rate of dissipation of kinetic energy per unit mass ε and the rate of dissipation of mean square temperature variance χ t are important parameters in ocean turbulence. In Figure 6a, we investigate the effect of ε on the fiber-coupling efficiency of MGSM beams in marine turbulence. The system parameters are set to λ = 417   nm , β = 1.23 , z = 50   m , ϖ = 3 , and χ t = 10 9 K 2 / s . It is found in Figure 6a that the fiber-coupling efficiency of MGSM beams increases with the increase in ε . When ε is close to 10 9 m 2 / s 3 , the fiber-coupling efficiency of various order MGSM beams is very low in the deep sea. When ε is close to 10 1 m 2 / s 3 , the fiber-coupling efficiency can be improved at a lower order in the surf zone. In Figure 6b, we investigated the effect of χ t on the fiber-coupling efficiency of MGSM beams in marine turbulence. χ t is inversely proportional to the size of the minimum flow structure. The value range is 10 9 K 2 / s ~ 10 8 K 2 / s . Other parameters are λ = 417   nm , β = 1.23 , z = 50   m , ϖ = 3 , ε = 10 1 m 2 / s 3 . It is found that a lower beam order can achieve a higher fiber-coupling efficiency. When χ t value is larger, it will lead to stronger ocean turbulence, so the fiber-coupling efficiency of MGSM beams decreases with the increase in χ t .

4. Details Supplement

Prior to conducting numerical simulation analysis of the fiber-coupling efficiency of MGSM beams, it is necessary to clarify the values and variation ranges of core physical and system parameters in the simulation framework, to ensure the representativeness and comparability of the simulation results. The relevant parameter configurations are presented in Table 1. Among these parameters, the beam order M is selected as 1, 3, 5, 10, 13, covering the modal structures of MGSM beams from low to high orders; the value ranges of coherence length δ 0 , turbulence strength C m 2 , and transmission distance z correspond to the dynamic variation intervals of actual environments and transmission conditions in underwater optical communication scenarios; the temperature variance dissipation rate χ t adopts the typical magnitude of oceanic turbulence; the fiber-mode field radius ω 0 , operating wavelength λ , and radius of the coupling lens D match the common hardware parameter specifications of underwater optical communication systems. These parameters provide a unified and practical scenario-compliant benchmark configuration for the subsequent simulation analysis of the coupling characteristics of MGSM beams.
To further clarify the rigor of the formula derivation, the key mathematical processing steps involved between Equations (2) and (6) are supplemented and explained below.
Establishing the theoretical model for the propagation of multi-Gaussian Schell-model (MGSM) beams in oceanic turbulence and deriving the analytical expression for their cross-spectral density function requires a rigorous derivation process. The derivation in this work starts from the generalized Huygens–Fresnel integral formula describing beam propagation in turbulence, which forms the cornerstone of the entire theory. It decomposes the propagation of the beam in a random medium into the product of two independent effect free-space diffraction and random phase perturbation induced by turbulence which followed by an ensemble average. The quadratic phase term containing the wavenumber k and propagation distance z accurately describes the diffraction process in the absence of turbulence, while the term containing the complex phase perturbation function ψ encapsulates all random influences of turbulence. This separation method is the standard starting point for analyzing the propagation of partially coherent light in random media, and its validity is widely supported by theory and experiment.
The core difficulty in solving this formula lies in handling the ensemble average of the random phase term, exp [ ψ * + ψ ] m . This work employs the Rytov approximation to address this challenge. Under weak fluctuation conditions, the Rytov approximation assumes that the total field disturbance can be expressed as a linear superposition of log-amplitude and phase perturbations, which obey Gaussian statistics. Based on this approximation and adopting a turbulence power spectrum model suitable for the marine environment, which comprehensively considers the effects of temperature and salinity fluctuations, the complex ensemble average term can be rigorously simplified through mathematical derivation to a concise exponential decay form. The parameter M in this expression is an integral quantity containing all characteristic parameters of oceanic turbulence (such as the kinetic energy dissipation rate ϵ , the temperature variance dissipation rate χ t , and the temperature–salinity contribution ratio ω , physically representing the strength of turbulence-induced degradation of beam coherence. Its quadratic form is the fundamental reason why an analytical solution can be obtained subsequently.
Regarding the strategy for solving the integral, substituting both the source field cross-spectral density function of the MGSM beam and the turbulence effect expression yields a quadruple integral over the source plane coordinates. To solve this integral, we perform a standard variable substitution, introducing sum and difference coordinates:
q = ( ρ 1 ρ 2 ) / 2 , Q = ( ρ 1 + ρ 2 ) / 2 .
This transformation successfully separates the originally coupled variables in the integrand. Through these operations, the original integral is transformed into two independent two-dimensional Gaussian-type integrals. Each 2D Gaussian integral has the standard form exp ( A x 2 + B x ) d 2 x , whose analytical solution is
( π / A ) exp ( B 2 / ( 4 A ) )
Applying this Gaussian integral formula to the variables separately is the crucial mathematical step in obtaining a closed-form solution.
After completing the integration, the result is a complex expression containing coefficients and observation plane coordinates. By performing systematic algebraic simplification and focusing on the real exponential terms that determine the beam’s intensity distribution and coherence properties, pure phase terms contributing to rapid oscillations are typically averaged out when calculating physical quantities such as fiber-coupling efficiency, and the result can finally be organized into a highly structured form. This form clearly reveals the physical characteristics of the beam after propagation: the term exp [ A 1 ( r 1 r 2 ) 2 ] describes the attenuation of the beam’s A 1 ; the term exp [ A 2 ( r 1 + r 2 ) 2 ] reflects the effect of beam A 2 ; the term exp [ ( A 3 i k / 2 z ) ( r 1 2 r 2 2 ) ] represents the change in wavefront phase curvature caused by the combined action of diffraction and turbulence; the summation symbol and coefficients preserve the essential characteristic of the MGSM beam as a superposition of multiple Gaussian Schell-model beams.
In summary, the derivation from the generalized Huygens–Fresnel integral formula to the final analytical expression strictly adheres to the theoretical framework of light propagation in random media. We successively applied the generalized Huygens–Fresnel principle, the Rytov weak-fluctuation approximation, the variable separation method, and the standard Gaussian integration technique. Each step is supported by solid physical foundations or well-established mathematical tools, ensuring the correctness and reliability of the final analytical expression. This lays a rigorous theoretical foundation for the subsequent analysis of fiber-coupling efficiency.

5. Conclusions

This study derives the analytical expression for the cross-spectral density of MGSM beams in oceanic turbulence and further conducts theoretical derivation and numerical simulation of fiber-coupling efficiency. It is observed that as MGSM beams propagates in oceanic turbulence, the turbulent effects thereof impair the beam’s coherence—leading to a significant reduction in fiber-coupling efficiency during long-distance transmission. This phenomenon arises because, in an ideal turbulence-free environment, the diffractive broadening of MGSM beams boosts the beam’s spatial coherence, which in turn optimizes its fiber-coupling efficiency. In contrast, propagation in oceanic turbulence introduces turbulent effects that diminish the beam’s coherence. When the impact of these turbulent effects surpasses that of beam broadening, the fiber-coupling efficiency of the beam declines. From numerical simulations, it is found that a light source characterized by lower beam order and superior coherence can enhance the beam’s transmission efficiency. However, with the decrease in ε and the increase in χ t , strong turbulence effects will be caused. Concurrently, salinity induces an increase in the intensity of dominant optical turbulence, with a subsequent reduction in coupling efficiency. Ultimately, numerical simulations demonstrate that there exist optimal design parameters for the receiver: adjusting the receiving aperture size and the focal length of the coupling lens can effectively boost the beam’s transmission efficiency. This study thereby offers meaningful insights for the design of communication systems operating in oceanic turbulence. It is important to acknowledge that this work is primarily a theoretical and numerical analysis. As there is often a gap between theoretical modeling and practical implementation, future experimental studies are essential to validate, and potentially refine, the theoretical predictions presented here. Furthermore, when a laser beam propagates through a random medium like oceanic turbulence, its properties are altered through interaction with the medium. These changes directly impact the coupling efficiency at the receiver in a free-space optical communication system. Consequently, the optimal parameter tuning for receiving-end equipment will vary for different beam types. Identifying the most suitable receiver design parameters requires further investigation through practical experimentation and system optimization. These directions constitute important avenues for subsequent research.

Author Contributions

Conceptualization, D.W. and Y.Y.; methodology, X.J. and J.Z.; software, J.Z.; validation, X.J. and J.Z.; formal analysis, X.J. and Y.G.; investigation, J.Z.; resources, X.J., S.L., and J.Z.; data curation, J.Z.; writing—original draft preparation, X.J., J.Z. and Y.G.; writing—review and editing, X.J., J.Z. and Y.G.; supervision, Y.Y., Y.C. and D.W.; funding acquisition, H.Z., Y.Y. and Y.G. All authors have read and agreed to the published version of the manuscript.

Funding

National Natural Science Foundation of China (12192254 (Y.C.), 12534014 (Y.C.), W2441005 (Y.C.), 12174227 (Y.Y.), 12447150 (H.Z.), 12474295 (Y.G.), 12504350 (H.Z.), 12574325 (Y.Y.)); Natural Science Foundation of Shandong Province (ZR2025ZD21 (Y.C.), ZR2025MS66 (H.Z.)); Key research and development program of Shandong Province (2024JMRH0105 (Y.C.)).

Data Availability Statement

Data are contained within the article.

Conflicts of Interest

The authors declare no conflicts of interest.

References

  1. Pittaluga, M.; Lo, Y.S.; Brzosko, A.; Woodward, R.I.; Scalcon, D.; Winnel, M.S.; Roger, T.; Dynes, J.F.; Owen, K.A.; Juárez, S.J.N. Long-distance coherent quantum communications in deployed telecom networks. Nature 2025, 640, 911–917. [Google Scholar] [CrossRef]
  2. Ren, W.; Zhang, Y.; Hou, P.; Jiang, Y.; Zhao, Z.; Wei, F.; Sun, J. Arbitrary frequency difference locking method for carrier in intersatellite coherent laser communication. Opt. Express 2025, 33, 45171–45186. [Google Scholar] [CrossRef]
  3. Alam, A.; Aziz, A.E.; Basit, A.J.P.C. A survey on inter-satellite links based on visible light communication. Phys. Commun. 2025, 72, 102757. [Google Scholar] [CrossRef]
  4. Yang, K.; Wang, Y.; Gao, X.; Shi, C.; Huang, Y.; Yuan, H.; Shi, M. Communications in space–air–ground integrated networks: An overview. Space Sci. Technol. 2025, 5, 0199. [Google Scholar] [CrossRef]
  5. Yu, H.; Li, L.; Hou, Y.; Li, Y.; Yin, C.; Gao, C.; Fu, S. Deep learning-based prediction of atmospheric turbulence toward satellite-to-ground laser communication. Opt. Lett. 2025, 50, 273–276. [Google Scholar] [CrossRef] [PubMed]
  6. Cheng, M.-C.; Hsu, H.-Y.; Hayle, S.T.; Lu, H.-H.; Hsu, W.-W.; Okram, K.; Bai, Y.-Y.; Lu, J.-M.; Chung, Y.-C. A Simulated 1000-km LEO Satellite-to-Ground Station Laser Communication Using a 1.8-km OWC Link. J. Light. Technol. 2025, 43, 4731–4739. [Google Scholar] [CrossRef]
  7. Daoman, R.; Chao, L.; Mo, C.; Hao, X. Application of adaptive optics on the satellite laser communication ground station. Opto-Electron. Eng. 2025, 45, 170647. [Google Scholar]
  8. Zayed, M.M.; Shokair, M. Performance analysis and optimization of modulation techniques for underwater optical wireless communication in varied aquatic environments. Sci. Rep. 2025, 15, 32570. [Google Scholar] [CrossRef]
  9. Guo, Y.; Xu, L. Research on the transmission characteristics of non-line-of-sight green lasers at varying underwater depths. Opt. Contin. 2025, 4, 2021–2034. [Google Scholar] [CrossRef]
  10. Oubei, H.M.; Duran, J.R.; Janjua, B.; Wang, H.-Y.; Tsai, C.-T.; Chi, Y.-C.; Ng, T.K.; Kuo, H.-C.; He, J.-H.; Alouini, M.-S. 4.8 Gbit/s 16-QAM-OFDM transmission based on compact 450-nm laser for underwater wireless optical communication. Opt. Express 2015, 23, 23302–23309. [Google Scholar] [CrossRef]
  11. Zhang, Z.; Guo, C.; Cui, L.; Mo, Q.; Zhao, N.; Du, C.; Li, X.; Li, G. 21 spatial mode erbium-doped fiber amplifier for mode division multiplexing transmission. Opt. Lett. 2018, 43, 1550–1553. [Google Scholar] [CrossRef] [PubMed]
  12. Tan, J.; Zhao, Z.; Wang, Y.; Zhang, Z.; Liu, J.; Zhu, N. 12.5 Gb/s multi-channel broadcasting transmission for free-space optical communication based on the optical frequency comb module. Opt. Express 2018, 26, 2099–2106. [Google Scholar] [CrossRef] [PubMed]
  13. Everson, K.M.; Pozzi, L.; Barrett, M.A.; Blair, M.E.; Donohue, M.E.; Kappeler, P.M.; Kitchener, A.C.; Lemmon, A.R.; Lemmon, E.M.; Pavón-Vázquez, C.J.; et al. Multiple bursts of speciation in Madagascar’s endangered lemurs. Nat. Commun. 2025, 16, 7070. [Google Scholar] [CrossRef] [PubMed]
  14. Song, D.-Y.; Hurh, Y.-S.; Cho, J.-W.; Lim, J.-H.; Lee, D.-W.; Lee, J.-S.; Chung, Y. 4 × 10 Gb/s terrestrial optical free space transmission over 1.2 km using an EDFA preamplifier with 100 GHz channel spacing. Opt. Express 2000, 7, 280–284. [Google Scholar] [CrossRef]
  15. Sun, J.; Huang, P.; Yao, Z. Fiber-coupling Efficiency for Satellite-to-ground Laser Links with Angle-of-arrival Fluctuations. In Proceedings of the 2019 IEEE 19th International Conference on Communication Technology (ICCT), Xi’an, China, 16–19 October 2019; pp. 705–709. [Google Scholar]
  16. Zhou, X.; Yi, D.; Chan, D.W.U.; Tsang, H.K. Silicon photonics for high-speed communications and photonic signal processing. npj Nanophotonics 2024, 1, 27. [Google Scholar] [CrossRef]
  17. Yu, L.; Zhang, Y. Free-Space to Fiber Coupling of Electromagnetic Gaussian Schell-Model Beams in Turbulent Marine Atmospheric Channel. IEEE Photonics J. 2018, 10, 1–9. [Google Scholar] [CrossRef]
  18. Korotkova, O.; Wolf, E. Beam Criterion for Atmospheric Propagation. In Proceedings of the Frontiers in Optics 2007/Laser Science XXIII/Organic Materials and Devices for Displays and Energy Conversion, San Jose, CA, USA, 16 September 2007; p. FTuC6. [Google Scholar]
  19. Grábner, M.; Kvicera, V. The wavelength dependent model of extinction in fog and haze for free space optical communication. Opt. Express 2011, 19, 3379–3386. [Google Scholar] [CrossRef]
  20. Sun, X.; Cai, W.; Alkhazragi, O.; Ooi, E.N.; He, H.; Chaaban, A.; Shen, C.; Oubei, H.M.; Khan, M.Z.M.; Ng, T.K.; et al. 375-nm ultraviolet-laser based non-line-of-sight underwater optical communication. Opt. Express 2018, 26, 12870–12877. [Google Scholar] [CrossRef]
  21. Yu, L.; Zhang, Y. Analysis of modal crosstalk for communication in turbulent ocean using Lommel-Gaussian beam. Opt. Express 2017, 25, 22565–22574. [Google Scholar] [CrossRef]
  22. Sangeetha, R.; Hemanth, C.; Anbarasi, K.J.O.; Electronics, Q. Impact of crosstalk and atmospheric turbulence on free space optical communication systems-a hardware emulation. Opt. Quantum Electron. 2024, 56, 1401. [Google Scholar] [CrossRef]
  23. Zhao, C.; Dong, Y.; Wu, G.; Wang, F.; Cai, Y.; Korotkova, O. Experimental demonstration of coupling of an electromagnetic Gaussian Schell-model beam into a single-mode optical fiber. Appl. Phys. B 2012, 108, 891–895. [Google Scholar] [CrossRef]
  24. Dikmelik, Y.; Davidson, F.M. Fiber-coupling efficiency for free-space optical communication through atmospheric turbulence. Appl. Opt. 2005, 44, 4946–4952. [Google Scholar] [CrossRef] [PubMed]
  25. Robinson, B.; Schieler, C.; Boroson, D. Large-Volume Data Delivery from Low-Earth Orbit to Ground Using Efficient Single-Mode Optical Receivers; SPIE: Bellingham, WA, USA, 2016; Volume 9739. [Google Scholar]
  26. Wright, M.W.; Morris, J.F.; Kovalik, J.M.; Andrews, K.S.; Abrahamson, M.J.; Biswas, A. Adaptive optics correction into single mode fiber for a low Earth orbiting space to ground optical communication link using the OPALS downlink. Opt. Express 2015, 23, 33705–33712. [Google Scholar] [CrossRef] [PubMed]
  27. Canuet, L.; Védrenne, N.; Conan, J.-M.; Petit, C.; Artaud, G.; Rissons, A.; Lacan, J. Statistical properties of single-mode fiber coupling of satellite-to-ground laser links partially corrected by adaptive optics. J. Opt. Soc. Am. A 2018, 35, 148–162. [Google Scholar] [CrossRef]
  28. Mphuthi, N.; Gailele, L.; Litvin, I.; Dudley, A.; Botha, R.; Forbes, A. Free-space optical communication link with shape-invariant orbital angular momentum Bessel beams. Appl. Opt. 2019, 58, 4258–4264. [Google Scholar] [CrossRef]
  29. Esmail, M.A.; Ragheb, A.; Fathallah, H.; Alouini, M.S. Investigation and Demonstration of High Speed Full-Optical Hybrid FSO/Fiber Communication System Under Light Sand Storm Condition. IEEE Photonics J. 2017, 9, 1–12. [Google Scholar] [CrossRef]
  30. Hu, B.; Zhang, Y.; Zhu, Y. New model of the fiber coupling efficiency of a partially coherent Gaussian beam in an ocean to fiber link. Opt. Express 2018, 26, 25111–25119. [Google Scholar] [CrossRef]
  31. Hu, B.; Yu, L.; Zhang, Y. Fiber coupling efficiency of Gaussian-Schell model beams in an ocean to fiber link with a Zernike tilt correction. Appl. Opt. 2018, 57, 5831–5836. [Google Scholar] [CrossRef]
  32. Tan, L.; Li, M.; Yang, Q.; Ma, J. Fiber-coupling efficiency of Gaussian Schell model for optical communication through atmospheric turbulence. Appl. Opt. 2015, 54, 2318–2325. [Google Scholar] [CrossRef]
  33. Zhu, X.; Wang, K.; Wang, F.; Zhao, C.; Cai, Y. Coupling Efficiency of a Partially Coherent Radially Polarized Vortex Beam into a Single-Mode Fiber. Appl. Sci. 2018, 8, 1313. [Google Scholar] [CrossRef]
  34. Sahin, S.; Korotkova, O. Light sources generating far fields with tunable flat profiles. Opt. Lett. 2012, 37, 2970–2972. [Google Scholar] [CrossRef]
  35. Korotkova, O.; Sahin, S.; Shchepakina, E. Multi-Gaussian Schell-model beams. J. Opt. Soc. Am. A 2012, 29, 2159–2164. [Google Scholar] [CrossRef]
  36. Mei, Z.; Korotkova, O.; Shchepakina, E. Electromagnetic multi-Gaussian Schell-model beams. J. Opt. 2013, 15, 025705. [Google Scholar] [CrossRef]
  37. Gori, F. Flattened gaussian beams. Opt. Commun. 1994, 107, 335–341. [Google Scholar] [CrossRef]
  38. Li, Y. New expressions for flat-topped light beams. Opt. Commun. 2002, 206, 225–234. [Google Scholar] [CrossRef]
  39. Cai, Y. Propagation of various flat-topped beams in a turbulent atmosphere. J. Opt. A Pure Appl. Opt. 2006, 8, 537. [Google Scholar] [CrossRef]
  40. Korotkova, O. Multi-Gaussian Schell-model source with a complex coherence state. J. Opt. 2019, 21, 045607. [Google Scholar] [CrossRef]
  41. Yuan, Y.; Cai, Y. Scintillation index of a flat-topped beam array in a weakly turbulent atmosphere. J. Opt. 2011, 13, 125701. [Google Scholar] [CrossRef]
  42. Oubei, H.M.; ElAfandy, R.T.; Park, K.H.; Ng, T.K.; Alouini, M.S.; Ooi, B.S. Performance Evaluation of Underwater Wireless Optical Communications Links in the Presence of Different Air Bubble Populations. IEEE Photonics J. 2017, 9, 1–9. [Google Scholar] [CrossRef]
  43. Zayed, M.M.; Shokair, M.J.S.R. Modeling and simulation of optical wireless communication channels in IoUT considering water types turbulence and transmitter selection. Sci. Rep. 2025, 15, 28381. [Google Scholar] [CrossRef]
  44. Cao, Z.; Yao, H.; Zhang, Y.; Zhang, T.; Hao, Q.; Liu, X.; Wang, W.; Zhou, C.; Dong, K.; Jiang, H. Quantitative generation of dynamic optical turbulence environment for offshore laser communication. Opt. Express 2025, 33, 49239–49252. [Google Scholar] [CrossRef]
  45. Kou, L.; Yan, S.; Liu, J.; Zhang, J.; Leng, J.; Wang, J.; An, R. The Investigation of Underwater Wireless Optical Communication Channel Fading in Multi-size particles, bubbles, and turbulence. IEEE Internet Things J. 2025, 12, 52293–52307. [Google Scholar] [CrossRef]
  46. Andrews, L.; Phillips, R. Laser Beam Propagation Through Random Media; SPIE: Bellingham, WA, USA, 2005. [Google Scholar]
  47. Ricklin, J.C.; Davidson, F.M. Atmospheric turbulence effects on a partially coherent Gaussian beam: Implications for free-space laser communication. J. Opt. Soc. Am. A 2002, 19, 1794–1802. [Google Scholar] [CrossRef]
  48. Wu, Y.; Zhang, Y.; Zhu, Y. Average intensity and directionality of partially coherent model beams propagating in turbulent ocean. J. Opt. Soc. Am. A 2016, 33, 1451–1458. [Google Scholar] [CrossRef]
  49. Roychowdhury, H.; Ponomarenko, S.A.; Wolf, E. Change in the polarization of partially coherent electromagnetic beams propagating through the turbulent atmosphere. J. Mod. Opt. 2005, 52, 1611–1618. [Google Scholar] [CrossRef]
  50. Farwell, N.; Korotkova, O. Intensity and coherence properties of light in oceanic turbulence. Opt. Commun. 2012, 285, 872–875. [Google Scholar] [CrossRef]
  51. Wu, Y.; Zhang, Y.; Li, Y.; Hu, Z. Beam wander of Gaussian-Schell model beams propagating through oceanic turbulence. Opt. Commun. 2016, 371, 59–66. [Google Scholar] [CrossRef]
  52. Winzer, P.J.; Leeb, W.R. Fiber coupling efficiency for random light and its applications to lidar. Opt. Lett. 1998, 23, 986–988. [Google Scholar] [CrossRef]
Figure 1. Schematic diagram of optical fiber coupling.
Figure 1. Schematic diagram of optical fiber coupling.
Photonics 12 01234 g001
Figure 2. Influence of design parameters and beam order on fiber-coupling efficiency of MGSM beams in ocean turbulence.
Figure 2. Influence of design parameters and beam order on fiber-coupling efficiency of MGSM beams in ocean turbulence.
Photonics 12 01234 g002
Figure 3. Influence of beam order M and coherence of laser source on fiber-coupling efficiency of MGSM beams in ocean turbulence.
Figure 3. Influence of beam order M and coherence of laser source on fiber-coupling efficiency of MGSM beams in ocean turbulence.
Photonics 12 01234 g003
Figure 4. Influence of transmission distance (a) and equivalent temperature structure constant (b) on fiber-coupling efficiency of MGSM beams in ocean turbulence.
Figure 4. Influence of transmission distance (a) and equivalent temperature structure constant (b) on fiber-coupling efficiency of MGSM beams in ocean turbulence.
Photonics 12 01234 g004
Figure 5. The effect of the ratio of temperature to salinity contributions to the refractive index spectrum on the fiber-coupling efficiency of different order beams.
Figure 5. The effect of the ratio of temperature to salinity contributions to the refractive index spectrum on the fiber-coupling efficiency of different order beams.
Photonics 12 01234 g005
Figure 6. The rate of dissipation of kinetic energy per unit mass ε (a) and the rate of dissipation of mean square temperature variance χ t (b) on fiber-coupling efficiency of different order MGSM beams.
Figure 6. The rate of dissipation of kinetic energy per unit mass ε (a) and the rate of dissipation of mean square temperature variance χ t (b) on fiber-coupling efficiency of different order MGSM beams.
Photonics 12 01234 g006
Table 1. Common parameters used in the numerical simulation and their ranges of values.
Table 1. Common parameters used in the numerical simulation and their ranges of values.
ParameterSymbolValue/Range
Beam Order M 1 , 3 , 5 , 10 , 13
Coherence Length δ 0 1 ~ 8   c m
Turbulence Strength C m 2 0 10 15
Transmission Distance z 0 ~ 2   k m
Temperature Variance Dissipation Rate χ t 10 9   K 2 / s 10 8   K 2 / s
Fiber-mode field radius ω 0 0.04 m
Wavelength λ 417 nm
Radius of the coupling lens D 0.1 m
Disclaimer/Publisher’s Note: The statements, opinions and data contained in all publications are solely those of the individual author(s) and contributor(s) and not of MDPI and/or the editor(s). MDPI and/or the editor(s) disclaim responsibility for any injury to people or property resulting from any ideas, methods, instructions or products referred to in the content.

Share and Cite

MDPI and ACS Style

Jing, X.; Lv, S.; Zhang, J.; Zhang, H.; Gao, Y.; Yuan, Y.; Cai, Y.; Wei, D. The Influence of Oceanic Turbulence on Fiber-Coupling Efficiency of Multi-Gaussian Shell-Mode Beams for Underwater Optical Communications. Photonics 2025, 12, 1234. https://doi.org/10.3390/photonics12121234

AMA Style

Jing X, Lv S, Zhang J, Zhang H, Gao Y, Yuan Y, Cai Y, Wei D. The Influence of Oceanic Turbulence on Fiber-Coupling Efficiency of Multi-Gaussian Shell-Mode Beams for Underwater Optical Communications. Photonics. 2025; 12(12):1234. https://doi.org/10.3390/photonics12121234

Chicago/Turabian Style

Jing, Xiaonan, Shan Lv, Jiqian Zhang, Hui Zhang, Yaru Gao, Yangsheng Yuan, Yangjian Cai, and Dongmei Wei. 2025. "The Influence of Oceanic Turbulence on Fiber-Coupling Efficiency of Multi-Gaussian Shell-Mode Beams for Underwater Optical Communications" Photonics 12, no. 12: 1234. https://doi.org/10.3390/photonics12121234

APA Style

Jing, X., Lv, S., Zhang, J., Zhang, H., Gao, Y., Yuan, Y., Cai, Y., & Wei, D. (2025). The Influence of Oceanic Turbulence on Fiber-Coupling Efficiency of Multi-Gaussian Shell-Mode Beams for Underwater Optical Communications. Photonics, 12(12), 1234. https://doi.org/10.3390/photonics12121234

Note that from the first issue of 2016, this journal uses article numbers instead of page numbers. See further details here.

Article Metrics

Back to TopTop