Sign in to use this feature.

Years

Between: -

Subjects

remove_circle_outline
remove_circle_outline
remove_circle_outline
remove_circle_outline
remove_circle_outline
remove_circle_outline
remove_circle_outline
remove_circle_outline
remove_circle_outline

Journals

remove_circle_outline
remove_circle_outline
remove_circle_outline
remove_circle_outline
remove_circle_outline
remove_circle_outline
remove_circle_outline
remove_circle_outline
remove_circle_outline
remove_circle_outline
remove_circle_outline
remove_circle_outline
remove_circle_outline
remove_circle_outline
remove_circle_outline

Article Types

Countries / Regions

remove_circle_outline
remove_circle_outline
remove_circle_outline
remove_circle_outline
remove_circle_outline
remove_circle_outline

Search Results (3,087)

Search Parameters:
Keywords = ferrite

Order results
Result details
Results per page
Select all
Export citation of selected articles as:
15 pages, 10200 KB  
Article
Effect of Laser Power on Microstructure and Mechanical Properties of Laser Welded High-Nitrogen Steel
by Meirong Wang, Jianlin Dong, Haifeng Yang, Wujun Wang, Yu Chen, Xinnan Zhu and Yue Fu
Metals 2026, 16(3), 261; https://doi.org/10.3390/met16030261 - 26 Feb 2026
Abstract
This study investigates the influence of laser welding process parameters on the weld bead formation, microstructure, and mechanical properties of high-nitrogen steel. Results indicate that as laser power increases, the weld bead width expands, while the cross-sectional porosity exhibits a trend of initially [...] Read more.
This study investigates the influence of laser welding process parameters on the weld bead formation, microstructure, and mechanical properties of high-nitrogen steel. Results indicate that as laser power increases, the weld bead width expands, while the cross-sectional porosity exhibits a trend of initially decreasing and then increasing. The lowest porosity is achieved at a power of 2.1 kW and a welding speed of 8 mm/s. Microstructural analysis revealed that higher laser power promotes grain coarsening, increases the proportion of high-angle grain boundaries, and raises the ferrite phase content. At 2.4 kW, the weld zone exhibits high dislocation density and significant lattice distortion. Regarding mechanical properties, the hardness of the weld metal gradually decreased with increasing laser power, while the tensile strength exhibited an initial increase followed by a decrease. The tensile strength (840.5 MPa) was also achieved under the process conditions of 2.1 kW and 8 mm/s. Full article
13 pages, 6820 KB  
Article
Effect of Base Metal Microstructure on Softening Behavior of the Heat-Affected Zone of X80 GMAW Girth Weld
by Xueda Li, Zhangyi She, Xunyun Lv, Zeyang Zhang, Liying Li and Bin Han
Metals 2026, 16(3), 247; https://doi.org/10.3390/met16030247 - 25 Feb 2026
Abstract
Softening in the heat-affected zone (HAZ) of high-strength pipeline welds compromises its service safety but the corresponding softening mechanism is not well-understood. Softening behavior in the HAZ of two X80 pipeline girth welds with different base metal microstructures, i.e., acicular ferrite (AF)-dominated (X80-AF) [...] Read more.
Softening in the heat-affected zone (HAZ) of high-strength pipeline welds compromises its service safety but the corresponding softening mechanism is not well-understood. Softening behavior in the HAZ of two X80 pipeline girth welds with different base metal microstructures, i.e., acicular ferrite (AF)-dominated (X80-AF) and granular bainite (GB)-dominated (X80-GB), were investigated through microhardness tests and detailed microstructure characterization. The results showed that softening in the HAZ of two girth welds primarily occurred in the fine-grained (FG) HAZ, while hardening was found in the coarse-grained (CG) HAZ. X80-AF showed higher softening resistance than X80-GB, with softening ratios of 3.44% vs. 12.46%, and softened zone widths of 2.1 mm vs. 3.9 mm, respectively. Due to its high dislocation density and refined interlocking structure, AF could effectively inhibit phase transformation and grain coarsening during reheating, which resulted in smaller grains and a lower fraction of polygonal ferrite (PF) in the FGHAZ (28%). In contrast, coarse GB was more prone to grain coarsening and hence engendered higher PF proportion (68%). Therefore, for the microstructural design of high-strength pipeline steels, increasing the proportion of refined AF is beneficial to the softening resistance and thereby elevates the service safety of pipelines. Full article
Show Figures

Figure 1

28 pages, 5255 KB  
Review
Structure Property–Application Relationships of Spinel Ferrite Nanoparticles: From Synthesis to Functional Systems
by Mukhametkali Mataev, Altynai Madiyarova, Moldir Abdraimova, Zhanar Tursyn and Krishnamoorthy Ramachandran
Int. J. Mol. Sci. 2026, 27(5), 2096; https://doi.org/10.3390/ijms27052096 - 24 Feb 2026
Viewed by 64
Abstract
This review article provides a systematic analysis of synthesis methods, structural characteristics, and functional properties of spinel-structured ferrite nanoparticles (MFe2O4). The physicochemical principles, advantages, and limitations of various synthesis techniques—including co-precipitation, combustion, sol–gel, thermal decomposition, hydrothermal, solvothermal, microwave-assisted, sonochemical, [...] Read more.
This review article provides a systematic analysis of synthesis methods, structural characteristics, and functional properties of spinel-structured ferrite nanoparticles (MFe2O4). The physicochemical principles, advantages, and limitations of various synthesis techniques—including co-precipitation, combustion, sol–gel, thermal decomposition, hydrothermal, solvothermal, microwave-assisted, sonochemical, electrochemical, and solid-state reaction methods—are comparatively discussed. The influence of synthesis parameters on crystal structure, morphology, and cation distribution between tetrahedral and octahedral sites, as well as on magnetic, dielectric, and optical properties, is critically analyzed. Furthermore, the capabilities of characterization techniques such as X-ray diffraction (XRD), scanning electron microscopy with energy-dispersive spectroscopy (SEM/EDS), Fourier-transform infrared spectroscopy (FTIR), FT-Raman spectroscopy, dielectric measurements, and magnetic measurements for investigating spinel ferrites are comprehensively summarized. Finally, the high potential of spinel ferrite nanoparticles for applications in electronics, microwave devices, water treatment, catalysis, sensors, and biomedical fields is highlighted. Full article
Show Figures

Figure 1

22 pages, 4323 KB  
Article
Effect of Tempering on Microstructure, Strength and Toughness Gradient in Quenched Low-Alloy Medium-Thickness Steel Plate
by Boyu Guan, Shaobin Bai, Yongqing Zhang, Peimao Fu, Haitao Lu, Hejia Zhu, Xingchi Chen, Kaikai Guo, Haonan Wang and Yongan Chen
Metals 2026, 16(3), 243; https://doi.org/10.3390/met16030243 - 24 Feb 2026
Viewed by 33
Abstract
To elucidate how tempering temperature influences through-thickness microstructure and strength–toughness gradients in an online direct-quenched (DQ) low-alloy medium-thick plate, a 25-mm plate was direct-quenched from 900 °C to <150 °C and tempered at 530 °C × 1.5 h or 580 °C × 1.5 [...] Read more.
To elucidate how tempering temperature influences through-thickness microstructure and strength–toughness gradients in an online direct-quenched (DQ) low-alloy medium-thick plate, a 25-mm plate was direct-quenched from 900 °C to <150 °C and tempered at 530 °C × 1.5 h or 580 °C × 1.5 h. Tensile and room-temperature Charpy V-notch impact testing and microstructure characterization were performed at the upper surface, mid-thickness, and lower surface. In the as-DQ state, the upper surface contained ferrite (F, ~60%) and granular bainite (GB, ~30%) with minor lath bainite (LB, ~10%) and a small amount of martensite/austenite (M/A). The mid-thickness and lower surface remained dominated by F + GB (mid-thickness: GB~50%, F~30%, M/A~20%; lower surface: F~85%, GB~15%); the mid-thickness showed the lowest yield strength/ultimate tensile strength (YS/UTS) of 498/675 MPa. In the as-DQ state, the room-temperature Charpy V-notch absorbed energies at the upper surface, mid-thickness, and lower surface were 223.23, 229.88, and 261.22 J, respectively, indicating a pronounced through-thickness variation (ΔE(max–min) ≈ 38 J). After tempering at 530 °C, the upper surface and mid-thickness developed an F + tempered sorbite (TS) microstructure (upper surface: F~70%, TS~30%; mid-thickness: F~60%, TS~40%), whereas the lower surface was mainly ferrite with a small amount of spheroidized carbides/tempered cementite (SC). The mid-thickness YS/UTS increased to 619/805 MPa, and the impact energies at the upper surface and mid-thickness increased to 240.62 J and 235.56 J, respectively, resulting in a reduced through-thickness gradient. After 580 °C tempering, recovery and polygonal ferrite formation dominated; surface yield strength increased but mid-thickness yield improvement was limited. Full article
Show Figures

Figure 1

14 pages, 2057 KB  
Article
Electro-Optical Behavior of Nematic Liquid Crystals Doped with Mn-Doped ZnFe2O4 Ferrite Nanoparticles
by Marek Veveričík, Peter Bury, František Černobila, Hima Patel, Kinnari Parekh, Veronika Lacková, Milan Timko and Peter Kopčanský
Crystals 2026, 16(3), 154; https://doi.org/10.3390/cryst16030154 - 24 Feb 2026
Viewed by 126
Abstract
The electro-optical behavior of and electric-field-induced structural changes in nematic liquid crystals (6CHBT and 5CB) doped with a low concentration (1 × 10−4) of Mn-doped zinc ferrite nanoparticles were investigated. Light transmission and surface acoustic wave attenuation techniques were employed to [...] Read more.
The electro-optical behavior of and electric-field-induced structural changes in nematic liquid crystals (6CHBT and 5CB) doped with a low concentration (1 × 10−4) of Mn-doped zinc ferrite nanoparticles were investigated. Light transmission and surface acoustic wave attenuation techniques were employed to monitor structural responses under increasing and decreasing electric field modes, as well as after pulsed field application. The influence of nanoparticle morphology (rods, needles, and clusters) and particle size on the field-induced structural modifications was systematically evaluated. Shifts in the threshold electric field were observed. The results obtained from both experimental approaches were compared in terms of suspension stability and demonstrate the potential of these ferronematic systems for applications in sensors, smart materials, and information storage devices. Full article
(This article belongs to the Section Liquid Crystals)
Show Figures

Figure 1

21 pages, 18226 KB  
Article
Study on Stress Corrosion Resistance of Multiphase Composite Nanobainitic Steel via Isothermal Treatment
by Qian Yang, Jing Zhao, Junjie Wang, Yanru Zhang, Yanhui Wang, Qiang Li, Wanshuo Sun, Yanling Sun, Wei Xiong, Huafeng Ding, Zhanbing Wang and Mingkun Xu
Crystals 2026, 16(2), 151; https://doi.org/10.3390/cryst16020151 - 21 Feb 2026
Viewed by 111
Abstract
This study examines the electrochemical behavior and slow strain rate tensile (SSRT) properties of 67Si2CrNiAlMnMoCu steel featuring a multiphase nanobainitic microstructure consisting of bainitic ferrite (BF), retained austenite (RA), and martensite (M). Electrochemical measurements reveal that both the corrosion tendency and dissolution rate [...] Read more.
This study examines the electrochemical behavior and slow strain rate tensile (SSRT) properties of 67Si2CrNiAlMnMoCu steel featuring a multiphase nanobainitic microstructure consisting of bainitic ferrite (BF), retained austenite (RA), and martensite (M). Electrochemical measurements reveal that both the corrosion tendency and dissolution rate decrease with extended austempering time, with the sample austempered at 220 °C for 21 h showing the lowest corrosion susceptibility. SSRT results indicate that specimens with a nearly fully bainitic microstructure exhibit increased strength sensitivity to stress corrosion. Notably, the specimen austempered at 240 °C for 9 h demonstrates excellent corrosion resistance while retaining favorable overall mechanical properties, exhibiting a tensile strength-based stress corrosion cracking sensitivity coefficient as low as 4.1%. Full article
(This article belongs to the Special Issue Crystallization of High-Performance Metallic Materials (3rd Edition))
Show Figures

Figure 1

17 pages, 2413 KB  
Article
ZnFe2O4-N-BC Bifunctional Catalyst in Visible Light−Peroxydisulfate Coupled System in Norfloxacin Degradation
by Xiaoxian Hu, Di Zhang, Xinyu Li and Junfeng Wu
Catalysts 2026, 16(2), 196; https://doi.org/10.3390/catal16020196 - 20 Feb 2026
Viewed by 164
Abstract
Using norfloxacin (NOR) as the target pollutant, the synergism and degradation mechanism of ZnFe2O4-N-BC (MNBC), a nitrogen (N) and zinc ferrite (ZnFe2O4) co-doped biochar bifunctional catalyst (BC), in visible light (VIS)−peroxydisulfate (PDS) coupled system, were [...] Read more.
Using norfloxacin (NOR) as the target pollutant, the synergism and degradation mechanism of ZnFe2O4-N-BC (MNBC), a nitrogen (N) and zinc ferrite (ZnFe2O4) co-doped biochar bifunctional catalyst (BC), in visible light (VIS)−peroxydisulfate (PDS) coupled system, were elucidated, and the synergistic mechanism was further supported by optical absorption and photo-induced charge transfer analyses. The results indicate that the degradation rate constant of the ZnFe2O4-N-BC/Vis-PDS system is 22.7 and 17.4 times higher than that of the ZnFe2O4-N-BC/Vis and ZnFe2O4-N-BC/PDS systems, respectively. More importantly, an apparent enhancement factor of 26.3% was obtained relative to the internal control systems. In addition, the coupled system showed a wider pH adaptation range. Furthermore, the radical quenching experiment and EPR analysis further revealed that multiple reactive species (including SO4, O2·, ·OH, h+, and 1O2) were involved in the degradation of NOR, and their relative contributions followed the order: 1O2 > SO4 > O2·> ·OH > h+. Finally, HPLC-MS analysis was performed to identify the key degradation intermediates of NOR, and thus to propose its possible transformation pathways. Full article
Show Figures

Figure 1

21 pages, 29204 KB  
Article
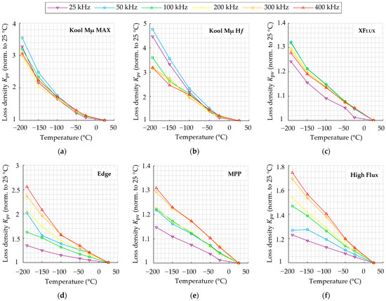
Loss Characterization of Soft Magnetic Core Materials from Room to Cryogenic Temperatures: A Comparative Study for Cryogenic Power Electronic Applications
by Stefanie Büttner and Martin März
Electronics 2026, 15(4), 872; https://doi.org/10.3390/electronics15040872 - 19 Feb 2026
Viewed by 211
Abstract
This paper presents a comprehensive experimental study addressing the lack of consistent low-temperature data on magnetic materials for high-efficiency cryogenic power electronics. A unified dataset is provided for the first time, covering temperatures from room temperature down to −194 °C, excitation frequencies between [...] Read more.
This paper presents a comprehensive experimental study addressing the lack of consistent low-temperature data on magnetic materials for high-efficiency cryogenic power electronics. A unified dataset is provided for the first time, covering temperatures from room temperature down to −194 °C, excitation frequencies between 25 kHz and 400 kHz, and technologically relevant flux densities. The investigated materials include MnZn- and NiZn-ferrites, nanocrystalline alloys (Vitroperm, Finemet), and various classes of alloyed powder cores. The characterization comprises magnetic hysteresis behavior, saturation flux density, temperature- and frequency-dependent core losses, permeability, and DC bias performance under cryogenic conditions. The results demonstrate that nanocrystalline materials and selected powder cores (MPP, Edge) exhibit superior cryogenic performance, while ferrites and low-cost powder cores suffer from significant loss increases or magnetic instability at low temperatures. These findings provide a solid basis for the selection and design of magnetic components in next-generation cryogenic power-electronic systems. Full article
(This article belongs to the Section Power Electronics)
Show Figures

Figure 1

16 pages, 5695 KB  
Article
Homogenization of Through-Thickness Microstructure and Mechanical Properties in Direct-Quenched High-Nb Q690 Steel via Tempering
by Haonan Wang, Dazhao Li, Yongqing Zhang, Peimao Fu, Haitao Lu, Hejia Zhu, Xingchi Chen, Boyu Guan, Yongan Chen and Shaobin Bai
Materials 2026, 19(4), 792; https://doi.org/10.3390/ma19040792 - 18 Feb 2026
Viewed by 243
Abstract
Manufacturing heavy-gauge high-strength steel plates with uniform through-thickness properties is challenging due to the limited hardenability and significant cooling rate variations inherent to heavy sections. However, the mechanism governing microstructural homogenization across such large cross-sections remains not fully understood. This study investigates the [...] Read more.
Manufacturing heavy-gauge high-strength steel plates with uniform through-thickness properties is challenging due to the limited hardenability and significant cooling rate variations inherent to heavy sections. However, the mechanism governing microstructural homogenization across such large cross-sections remains not fully understood. This study investigates the through-thickness microstructure and mechanical properties of a 60 mm thick high-Nb microalloyed Q690 steel plate processed by direct quenching (AQ) and subsequent tempering at 530 °C and 580 °C. Characterization was performed at the surface (0t), quarter-thickness (1/4t), and core (1/2t) locations. Results revealed a pronounced gradient in the as-quenched state: while the surface consisted of fine lath martensite/bainite, the core formed coarse granular bainite containing blocky martensite–austenite (M-A) constituents. This microstructural heterogeneity resulted in poor core toughness (~24 J). High-temperature tempering at 580 °C promoted the complete decomposition of these metastable M-A constituents into ferrite and fine carbides, significantly improving the core impact energy to ~49 J. However, a toughness gradient persisted compared to the quarter-thickness (>120 J), attributed to the inherited coarse matrix and the formation of grain boundary carbides. Notably, high yield strength was maintained across the thickness despite matrix recovery. This is primarily attributed to a potent anti-softening effect provided by thermally stable (Nb,Ti,Mo)C nanoprecipitates, which generate strong Orowan strengthening. These findings highlight the critical role of optimizing the trade-off between M-A decomposition and carbide evolution in promoting the microstructural and property homogenization of heavy-gauge steels. Full article
(This article belongs to the Special Issue Microstructural and Mechanical Properties of Metal Alloys)
Show Figures

Figure 1

25 pages, 2930 KB  
Article
Design and Analysis of a High-Efficiency Dynamic Wireless Power Transfer System for In-Motion EV Charging
by Md Aurongjeb, Yumin Liu and Muhammad Ishfaq
Appl. Sci. 2026, 16(4), 2003; https://doi.org/10.3390/app16042003 - 18 Feb 2026
Viewed by 183
Abstract
Dynamic wireless power transfer (DWPT) systems for in-motion electric vehicle (EV) charging often suffer from unstable power delivery due to spatial variations in magnetic coupling caused by vehicle misalignment. This study presents a stabilization-oriented DWPT design methodology that prioritizes minimizing spatial variations of [...] Read more.
Dynamic wireless power transfer (DWPT) systems for in-motion electric vehicle (EV) charging often suffer from unstable power delivery due to spatial variations in magnetic coupling caused by vehicle misalignment. This study presents a stabilization-oriented DWPT design methodology that prioritizes minimizing spatial variations of mutual inductance rather than maximizing peak coupling under perfect alignment. A ferrite-backed double-D coil configuration is analyzed and refined using three-dimensional finite-element electromagnetic modeling integrated with circuit-level co-simulation to evaluate coupling behavior, magnetic field homogeneity, and power transfer efficiency under realistic dynamic misalignment conditions. The proposed design achieves a coupling coefficient of 0.50–0.55 under aligned conditions and exhibits smooth, predictable degradation for lateral offsets up to 40–50 mm. Quantitative analysis demonstrates a low spatial coupling gradient of approximately 0.001 mm−1, indicating that abrupt coupling transitions are effectively suppressed during vehicle motion. The system attains a maximum power transfer efficiency of 84.37% at an 80 mm air gap, while maintaining stable performance under both lateral and vertical displacement. Comparative evaluation shows improved misalignment tolerance and coupling stability relative to conventional double-D configurations. The results demonstrate that electromagnetic field shaping focused on coupling smoothness is an effective and practical strategy for reliable dynamic wireless charging of electric vehicles. Full article
Show Figures

Figure 1

23 pages, 7152 KB  
Article
Orthogonal Design Optimisation of the Sintering Process for MnZn Ferrites with Step-Sintering Verification
by Mengrui Li, Shuyu Sun, Boon Xian Chai, Yuqi Wang, M. Akbar Rhamdhani, Shanqing Xu and Li Wang
Materials 2026, 19(4), 779; https://doi.org/10.3390/ma19040779 - 16 Feb 2026
Viewed by 289
Abstract
MnZn ferrites for power electronics require a well-controlled sintering window to balance high initial permeability (µi) with low power loss (Pcv). Here, an L9 (33) orthogonal design was employed to quantify the main effects of [...] Read more.
MnZn ferrites for power electronics require a well-controlled sintering window to balance high initial permeability (µi) with low power loss (Pcv). Here, an L9 (33) orthogonal design was employed to quantify the main effects of sintering temperature, holding time, and oxygen partial pressure on µi and Pcv within the investigated processing window, enabling rapid mapping of feasible sintering windows. The orthogonal analysis identifies the relative significance of each factor and reveals a clear performance trade-off between µi and Pcv. For maximising µi, the optimal sintering condition was 1250 °C, 4 h holding time, and 3.5% oxygen partial pressure, yielding a µi of 3453 and a Pcv of 466 mW/cm3 at 100 kHz/200 mT. For minimising Pcv, the optimal condition was 1250 °C, 3.5 h holding time, and 5% oxygen partial pressure, resulting in a µi of 2678, with Pcv of 400 mW/cm3 at 100 kHz/200 mT and 182 mW/cm3 at 500 kHz/50 mT. Targeted verification together with XRD, SEM grain-size statistics, and magnetic-loss separation were used to strengthen the process-structure-property interpretation. Overall, the orthogonal-screening-plus-verification strategy provides a practical framework for predicting application-relevant performance trends of MnZn ferrites within a defined processing window. Full article
Show Figures

Figure 1

15 pages, 2663 KB  
Article
Self-Heating Performance of Magnetite Doped with Cobalt/Zinc Nanoparticles: Impact of Magnetic Field, Coating Agent, and Dispersing Solvent
by Enaam A. Al-Harthi, Ghaida H. Munshi, Jamilah M. Al-Ahmari and Mohamed S. A. Darwish
Chemistry 2026, 8(2), 28; https://doi.org/10.3390/chemistry8020028 - 16 Feb 2026
Viewed by 199
Abstract
Fabrication of magnetic materials via a facile and environmentally favorable process with high self-heating performance is quite favored for biomedical applications. To tackle this challenge, magnetic ferrite nanoparticles were developed through an ultrasonic-assisted coprecipitation process. Magnetite (Fe3O4), magnetite doped [...] Read more.
Fabrication of magnetic materials via a facile and environmentally favorable process with high self-heating performance is quite favored for biomedical applications. To tackle this challenge, magnetic ferrite nanoparticles were developed through an ultrasonic-assisted coprecipitation process. Magnetite (Fe3O4), magnetite doped with cobalt nanoparticles (Co0.4Fe2.6O4), and magnetite doped with cobalt/zinc nanoparticles (Zn0.15Co0.25Fe2.6O4) were synthesized using ultrasonic-assisted coprecipitation techniques. Specific loss power (SLP) was estimated to optimize the heating influence under varied magnetic fields, coating agents, and dispersing solvents. Magnetite doped with cobalt/zinc nanoparticles demonstrated elevated SLP 110 W/g with preferable hyperthermic performance, where AMF conditions did not surpass the safety border for human exposure. The self-heating performance of magnetite doped with cobalt/zinc nanoparticles increased with increasing strength at a constant frequency. The self-heating performance of magnetite nanoparticles increased with increasing frequency at constant strength. Hence, the prepared magnetite doped with cobalt/zinc nanoparticles by the ultrasonic-assisted coprecipitation process can be appropriate for biomedical applications. Full article
Show Figures

Figure 1

19 pages, 6091 KB  
Article
Systematic Evaluation of Zn2+, Ca2+, and Co2+ Doping for Tailoring the Thermal, Structural, Morphological and Magnetic Performance of CdBi0.1Fe1.9O4@SiO2 Nanocomposites
by Thomas Dippong, Ioan Petean and Oana Cadar
Nanomaterials 2026, 16(4), 259; https://doi.org/10.3390/nano16040259 - 16 Feb 2026
Viewed by 249
Abstract
The influence of Zn2+, Ca2+ and Co2+ doping on the thermal, structural, morphological, and magnetic characteristics of CdBi0.1Fe1.9O4 nanoparticles synthetized via the sol–gel technique and calcined at 300, 600, 900 and 1200 °C was [...] Read more.
The influence of Zn2+, Ca2+ and Co2+ doping on the thermal, structural, morphological, and magnetic characteristics of CdBi0.1Fe1.9O4 nanoparticles synthetized via the sol–gel technique and calcined at 300, 600, 900 and 1200 °C was investigated. Thermal analysis revealed the initial formation of metallic glyoxylates up to 300 °C, followed by their decomposition into metal oxides and subsequent ferrite formation. X-ray diffraction revealed that the ferrites were poorly crystallized at lower temperatures, whereas at higher calcination temperatures all nanocomposites exhibited well-crystalized ferrites coexisting with the SiO2 matrix, except for the Co0.1Cd0.9Bi0.1Fe1.9O4@SiO2 nanocomposite, which formed a single, well-defined crystalline phase. Atomic force microscopy images revealed spherical ferrite particles encapsulated within an amorphous layer, with particle size, surface area, and coating thickness influenced by both the type of dopant ion and the calcination temperature. The structural parameters estimated by X-ray diffraction, as well as the magnetic characteristics, were strongly influenced by the dopant type and thermal treatment. These results demonstrate that the structural and magnetic characteristics of CdBi0.1Fe1.9O4 ferrites can be effectively tuned through controlled doping and calcination, providing insights for the design of tailored functional applications. Full article
Show Figures

Figure 1

15 pages, 4041 KB  
Article
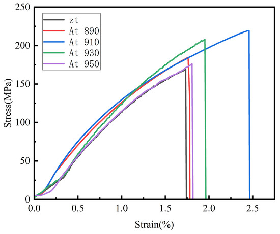
Effect of Different Austenitizing Temperatures on the Microstructure and Mechanical Properties of Austempering Gray Cast Iron
by Shian Zhu, Hongkui Zhang, Fei Han, Yihan Hao, Xinming Liu, Siruo Zhang and Guanglong Li
Appl. Sci. 2026, 16(4), 1828; https://doi.org/10.3390/app16041828 - 12 Feb 2026
Viewed by 139
Abstract
To meet the mechanical property requirements of gray cast iron for the shells of coal mine explosion-proof equipment and investigate the effect of austenitizing temperature on the microstructure and mechanical properties of gray cast iron, isothermal quenching was conducted at four austenitizing temperatures [...] Read more.
To meet the mechanical property requirements of gray cast iron for the shells of coal mine explosion-proof equipment and investigate the effect of austenitizing temperature on the microstructure and mechanical properties of gray cast iron, isothermal quenching was conducted at four austenitizing temperatures (890 °C, 910 °C, 930 °C, and 950 °C), with cast samples as the control group. The microstructure was using a scanning electron microscope, and the mechanical properties were tested using a universal tensile testing machine, a drop-weight impact testing machine and a hardness tester. The results show that the matrix microstructure of gray cast iron transforms from ferrite + pearlite to ausferrite after isothermal quenching, and the proportion of ausferrite increases gradually with the rise of austenitizing temperature. At an austenitizing temperature of 930 °C, the hardness of the sample reaches a maximum value of 247.6 HBW, which is 31.9% higher than that of the cast sample. At 910 °C, the impact energy and tensile strength achieve the optimal values of 9.59 J and 219 MPa, respectively, with an increase of 6.43 J and 51 MPa compared with the cast sample. Comprehensive analysis indicates that the austenitizing temperature of 910 °C can improve the strength while maintaining good toughness, which makes it more suitable for application scenarios requiring both strength and toughness such as coal mine explosion-proof equipment. Full article
Show Figures

Figure 1

14 pages, 8209 KB  
Article
Study on Microstructure and Properties of Q460 Steel at Different Ni Contents
by Xuehai Qian, Weiping Lu, Zhen Li, Zecheng Zhuang, Lei Zeng and Jianping Tan
Materials 2026, 19(4), 704; https://doi.org/10.3390/ma19040704 - 12 Feb 2026
Viewed by 147
Abstract
Q460 steel with varying Ni contents was produced via the hot continuous rolling process. The microstructure and properties were examined using scanning electron microscopy (SEM) and universal testing machines. The results show that with increasing Ni content, the number of inclusions rises, and [...] Read more.
Q460 steel with varying Ni contents was produced via the hot continuous rolling process. The microstructure and properties were examined using scanning electron microscopy (SEM) and universal testing machines. The results show that with increasing Ni content, the number of inclusions rises, and the microstructure gradually evolves from ferrite and pearlite to a mixture of ferrite, pearlite, and bainite. Due to the formation of bainite and refined grains, both the yield strength and tensile strength are significantly improved. However, with the increase in inclusions, the elongation and impact energy of the material do not exhibit substantial enhancement. Considering both cost and performance, the Ni content in Q460 steel is preferably controlled at 0.3%. Full article
(This article belongs to the Section Metals and Alloys)
Show Figures

Figure 1

Back to TopTop