Self-Heating Performance of Magnetite Doped with Cobalt/Zinc Nanoparticles: Impact of Magnetic Field, Coating Agent, and Dispersing Solvent
Abstract
1. Introduction
2. Materials and Methods
2.1. Materials
2.2. Magnetite Nanoparticles (Fe3O4) Fabrication
2.3. Magnetite Doped with Cobalt Nanoparticles (Co0.4Fe2.6O4) Fabrication
2.4. Magnetite Doped with Cobalt/Zinc Nanoparticles (Zn0.15Co0.25Fe2.6O4) Fabrication
2.5. Hyperthermia Performance
2.6. In Vitro Cytocompatibility Test
2.7. Characterizations
- Magnetic behavior was detected using VSM Lake Shore 7400 series; Lake Shore Cryotronics, Westerville, OH, USA). UV-spectrophotometer (V-570, JASCO, Tokyo, Japan). Morphologies were detected with TEM (Transmission Electron Microscopy, Tecnai G2S Twin; Philips, Hillsboro, OR, USA).
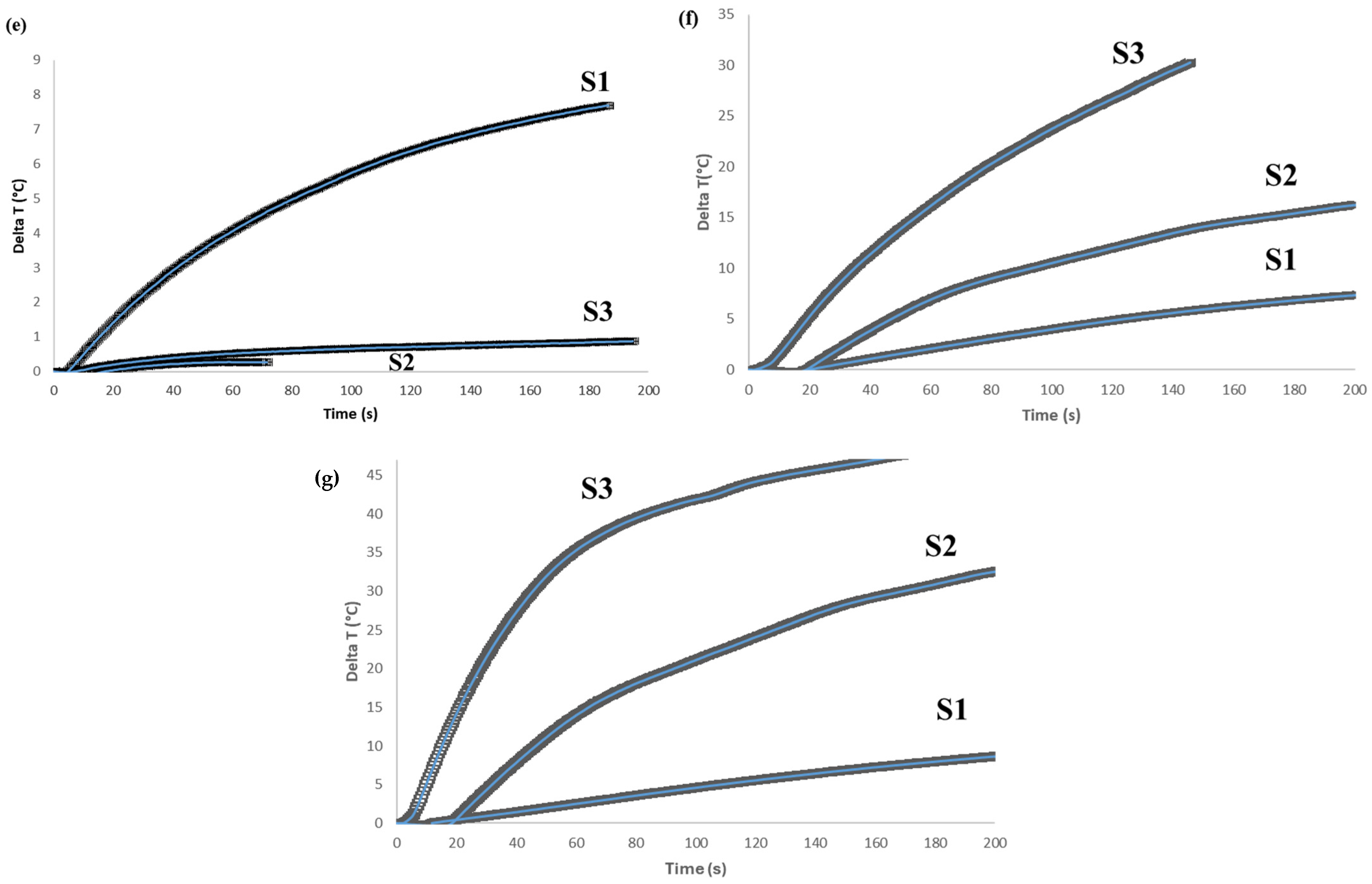
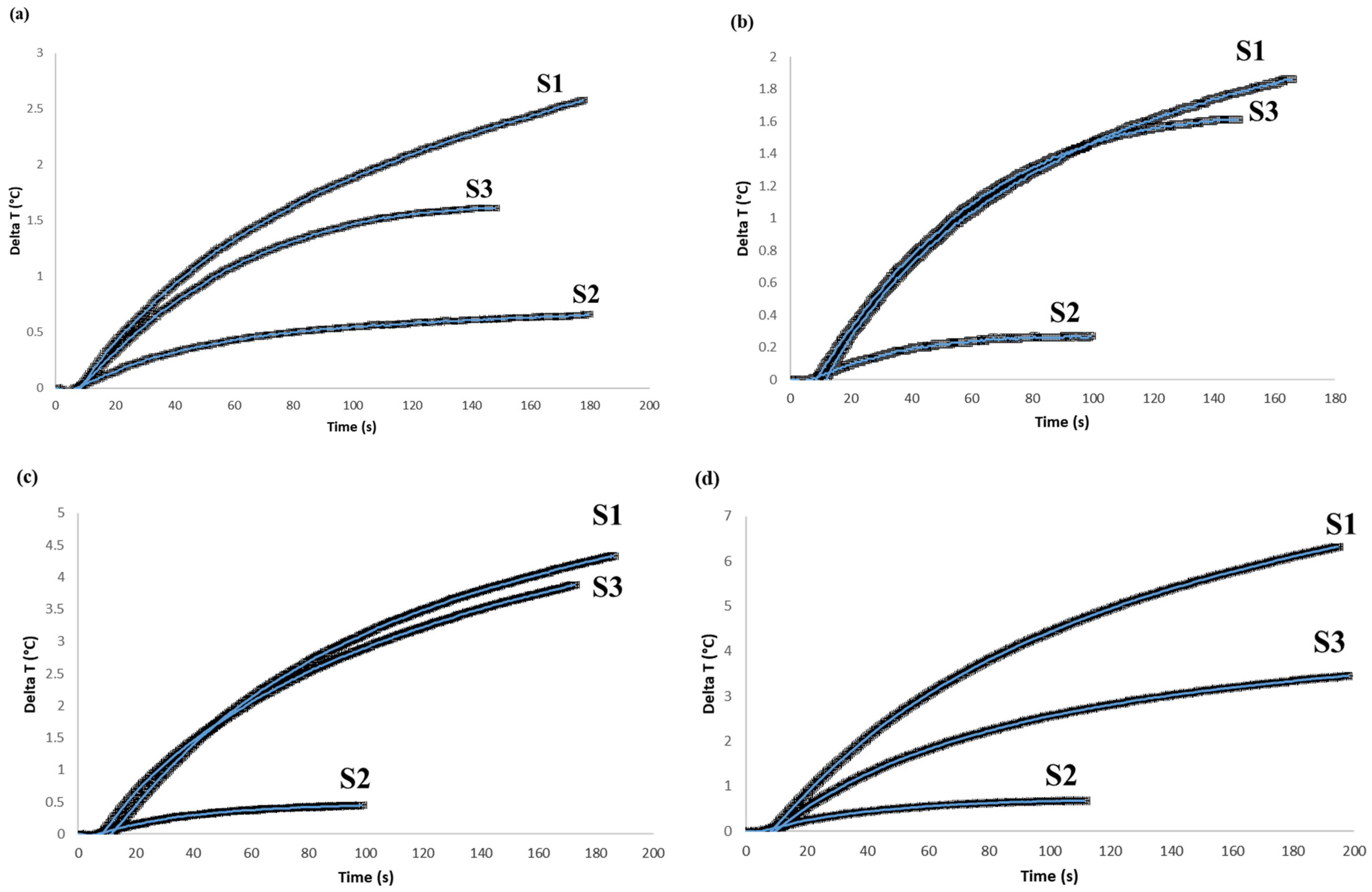
3. Results
3.1. Particles Characterization
3.2. Hyperthermia Performance
4. Discussion
5. Conclusions
Author Contributions
Funding
Data Availability Statement
Conflicts of Interest
References
- Comanescu, C. Magnetic Nanoparticles: Current Advances in Nanomedicine, Drug Delivery and MRI. Chemistry 2022, 4, 872–930. [Google Scholar] [CrossRef]
- Alamier, W.M.; El-Telbani, E.M.; Syed, I.S.; Bakry, A.M. Cobalt Ferrite Nanoparticles: Highly Efficient Catalysts for the Biginelli Reaction. Ceramics 2025, 8, 102. [Google Scholar] [CrossRef]
- Iacovita, C.; Lucaciu, C.M.; Freis, B.; Kiefer, C.; Bégin-Colin, S. Comparative Influence of Dendron and Dicarboxylate Coatings on the Hyperthermia Performances of Cubic and Spherical Magnetic Nanoparticles. Int. J. Mol. Sci. 2025, 26, 9324. [Google Scholar] [CrossRef]
- Musiał, J.; Jędrzak, A.; Bielas, R.; Skumiel, A. Magnetothermal Energy Conversion of Polydopamine-Coated Iron Oxide Ferrogels Under High-Frequency Rotating Magnetic Fields. Energies 2025, 18, 4291. [Google Scholar] [CrossRef]
- Costa, B.; Carvalho, J.; Gavinho, S.; Vieira, T.; Silva, J.C.; Soares, P.I.P.; Valente, M.A.; Soreto, S.; Graça, M. Preparation and Characterization of Zinc Ferrite and Gadolinium Iron Garnet Composite for Biomagnetic Applications. Materials 2024, 17, 2949. [Google Scholar] [CrossRef]
- Nguyen, M.D.; Hoijang, S.; Yarinia, R.; Ariza Gonzalez, M.; Mandal, S.; Tran, Q.M.; Chinwangso, P.; Lee, T.R. Magnetic Iron Oxide Nanoparticles: Advances in Synthesis, Mechanistic Understanding, and Magnetic Property Optimization for Improved Biomedical Performance. Nanomaterials 2025, 15, 1500. [Google Scholar] [CrossRef]
- Ardeleanu, H.; Ababei, G.; Grigoras, M.; Ursu, L.; Melniciuc-Puica, N.; Astefanoaei, I.; Pricop, D.; Lupu, N.; Creanga, D. Cobalt Ferrite Nanoparticles Capped with Perchloric Acid for Life-Science Application. Crystals 2023, 13, 1058. [Google Scholar] [CrossRef]
- Costa, B.; Pereira, E.; Ferreira-Filho, V.C.; Pires, A.S.; Pereira, L.C.J.; Soares, P.I.P.; Botelho, M.F.; Mendes, F.; Graça, M.P.F.; Teixeira, S.S. Influence of the pH Synthesis of Fe3O4 Magnetic Nanoparticles on Their Applicability for Magnetic Hyperthermia: An In Vitro Analysis. Pharmaceutics 2025, 17, 844. [Google Scholar] [CrossRef]
- Sánchez-Cabezas, S.; Montes-Robles, R.; Gallo, J.; Sancenón, F.; Martínez-Máñez, R. Combining magnetic hyperthermia and dual T1/T2 MR imaging using highly versatile iron oxide nanoparticles. Dalton Trans. 2019, 48, 3883–3892. [Google Scholar] [CrossRef] [PubMed]
- Carvalho, A.; Gallo, J.; Pereira, D.; Valentão, P.; Andrade, P.; Hilliou, L.; Ferreira, P.; Bañobre-López, M.; Martins, J. Magnetic Dehydrodipeptide-Based Self-Assembled Hydrogels for Theragnostic Applications. Nanomaterials 2019, 9, 541. [Google Scholar] [CrossRef]
- Le, T.; Phu Bui, M.; Yoon, J. Theoretical Analysis for Wireless Magnetothermal Deep Brain Stimulation Using Commercial Nanoparticles. Int. J. Mol. Sci. 2019, 20, 2873. [Google Scholar] [CrossRef]
- Appa Rao, P.; Srinivasa Rao, K.; Pydi Raju, T.R.K.; Kapusetti, G.; Choppadandi, M.; Chaitanya Varma, M.; Rao, K.H. A systematic study of cobalt-zinc ferrite nanoparticles for self-regulated magnetic hyperthermia. J. Alloys Compd. 2019, 794, 60–67. [Google Scholar] [CrossRef]
- Apostolov, A.; Apostolova, I.; Wesselinowa, J. Specific absorption rate in Zn-doted ferrites for self-controlled magnetic hyperthermia. Eur. Phys. J. B 2019, 92, 3. [Google Scholar] [CrossRef]
- Mai, B.T.; Balakrishnan, P.B.; Barthel, M.J.; Piccardi, F.; Niculaes, D.; Marinaro, F.; Fernandes, S.; Curcio, A.; Kakwere, H.; Autret, G.; et al. Thermoresponsive Iron Oxide Nanocubes for an Effective Clinical Translation of Magnetic Hyperthermia and Heat-Mediated Chemotherapy. ACS Appl. Mater. Interfaces 2019, 11, 5727–5739. [Google Scholar] [CrossRef] [PubMed]
- Gupta, R.; Sharma, D. Evolution of Magnetic Hyperthermia for Glioblastoma Multiforme Therapy. ACS Chem. Neurosci. 2019, 10, 1157–1172. [Google Scholar] [CrossRef]
- Makridis, A.; Curto, S.; van Rhoon, G.C.; Samaras, T.; Angelakeris, M. A standardisation protocol for accurate evaluation of specific loss power in magnetic hyperthermia. J. Phys. D Appl. Phys. 2019, 52, 255001. [Google Scholar] [CrossRef]
- Shaw, S.K.; Biswas, A.; Gangwar, A.; Maiti, P.; Prajapat, C.L.; Singh Meena, S.; Prasad, N.K. Synthesis of exchange coupled nanoflowers for efficient magnetic hyperthermia. J. Magn. Magn. Mater. 2019, 484, 437–444. [Google Scholar] [CrossRef]
- Dadfar, S.; Camozzi, D.; Darguzyte, M.; Roemhild, K.; Varvara, P.; Metselaar, J.; Banala, S.; Straub, M.; Guvener, N.; Engelmann, U.; et al. Size-isolation of superparamagnetic iron oxide nanoparticles improves MRI, MPI and hyperthermia performance. J. Nanobiotechnol. 2020, 18, 22. [Google Scholar] [CrossRef] [PubMed]
- Ayyappan, S.; Mahadevan, S.; Chandramohan, P.; Srinivasan, M.P.; Philip, J.; Raj, B. Influence of Co2+ Ion Concentration on the Size, Magnetic Properties, and Purity of CoFe2O4 Spinel Ferrite Nanoparticles. J. Phys. Chem. C 2010, 114, 6334–6341. [Google Scholar] [CrossRef]
- Darwish, M.S.A.; Stibor, I. Pentenoic Acid-Stabilized Magnetic Nanoparticles for Nanomedicine Applications. J. Dispers. Sci. Technol. 2016, 37, 1793–1798. [Google Scholar] [CrossRef]
- Badawy, S.M.; Abd, E.-L. Synthesis and characterizations of magnetite nanocomposite films for radiation shielding. Polym. Compos. 2017, 38, 974–980. [Google Scholar] [CrossRef]
- Pereira, C.; Pereira, A.M.; Fernandes, C.; Rocha, M.; Mendes, R.; Fernández-García, M.P.; Guedes, A.; Tavares, P.B.; Grenèche, J.M.; Araújo, J.P.; et al. Superparamagnetic MFe2O4 (M = Fe, Co, Mn) Nanoparticles: Tuning the Particle Size and Magnetic Properties through a Novel One-Step Coprecipitation Route. Chem. Mater. 2012, 24, 1496–1504. [Google Scholar] [CrossRef]
- Darwish, M.S.A. Effect of carriers on heating efficiency of oleic acid-stabilized magnetite nanoparticles. J. Mol. Liq. 2017, 231, 80–85. [Google Scholar] [CrossRef]
- Hergt, R.; Dutz, S. Magnetic particle hyperthermia—Biophysical limitations of a visionary tumour therapy. J. Magn. Magn. Mater. 2007, 311, 187–192. [Google Scholar] [CrossRef]
- Bauer, L.; Situ, S.; Griswold, M.; Samia, A. High-performance iron oxide nanoparticles for magnetic particle imaging-guided hyperthermia (hMPI). Nanoscale 2016, 8, 12162–12169. [Google Scholar] [CrossRef] [PubMed]
- Hergt, R.; Dutz, S.; Muller, R.; Zeisberger, M. Magnetic particle hyperthermia: Nanoparticle magnetism and materials development for cancer therapy. J. Phys. Condens. Matter 2006, 18, S2919. [Google Scholar] [CrossRef]
- Nigam, S.; Barick, K.; Bahadur, D. Development of citrate-stabilized Fe3O4 nanoparticles: Conjugation and release of doxorubicin for therapeutic applications. J. Magn. Magn. Mater. 2011, 323, 237–243. [Google Scholar] [CrossRef]
- Shete, P.B.; Patil, R.M.; Thorat, N.D.; Prasad, A.; Ningthoujam, R.S.; Ghosh, S.J.; Pawar, S.H. Magnetic chitosan nanocomposite for hyperthermia therapy application: Preparation, characterization and in vitro experiments. Appl. Surf. Sci. 2014, 288, 149. [Google Scholar] [CrossRef]
- Le Renard, P.; Lortz, R.; Senatore, C.; Rapin, J.; Buchegger, F.; Petri-Fink, A.; Hofmann, H.; Doelker, E.; Jordan, O. Magnetic and in vitro heating properties of implants formed in situ from injectable formulations and containing superparamagnetic iron oxide nanoparticles (SPIONs) embedded in silica microparticles for magnetically induced local hyperthermia. J. Magn. Magn. Mater. 2011, 323, 1054–1063. [Google Scholar] [CrossRef]
- Ma, M.; Wu, Y.; Zhou, J.; Sun, Y.; Zhang, Y.; Gu, N. Size dependence of specific power absorption of Fe3O4 particles in AC magnetic field. J. Magn. Magn. Mater. 2004, 268, 33–39. [Google Scholar] [CrossRef]
- Manjura Hoquea, S.; Huanga, Y.; Coccod, E.; Maritimc, S.; Santind, A.D.; Shapiroe, E.M.; Comana, D.; Hyder, F. Improved specific loss power on cancer cells by hyperthermia and MRI contrast of hydrophilic FexCo1−xFe2O4 nanoensembles. Contrast Media Mol. Imaging 2016, 11, 514–526. [Google Scholar] [CrossRef] [PubMed]
- Durneata, D.; Hempelmann, R.; Caltun, O.; Dumitru, I. High-Frequency Specific Absorption Rate of CoxFe1−xFe2O4 Ferrite Nanoparticles for Hipertermia Applications. IEEE Trans. Magn. 2014, 50, 5201104. [Google Scholar] [CrossRef]
- Pradhan, P.; Giri, J.; Samanta, G.; Sarma, H.D.; Mishra, K.P.; Bellare, J.; Banerjee, R.; Bahadur, D. Comparative evaluation of heating ability and biocompatibility of different ferrite-based magnetic fluids for hyperthermia application. J. Biomed. Mater. Res. Part B Appl. Biomater. 2007, 81, 12–22. [Google Scholar] [CrossRef] [PubMed]
- Nikam, D.S.; Jadhav, S.V.; Khot, V.M.; Phadatare, M.R.; Pawar, S.H. Study of AC magnetic heating characteristics of Co0.5Zn0.5Fe2O4 nanoparticles for magnetic hyperthermia therapy. J. Magn. Magn. Mater. 2014, 349, 208–213. [Google Scholar] [CrossRef]
- Song, H.K.; Sonkaria, S.; Khare, V.; Dong, K.; Lee, H.-T.; Ahn, S.-H.; Kim, H.-K.; Kang, H.-J.; Lee, S.-H.; Jung, S.P.; et al. Pond Sediment Magnetite Grains Show a Distinctive Microbial Community. Microb. Ecol. 2015, 70, 168–174. [Google Scholar] [CrossRef]
- Chauhan, A.; Midha, S.; Kumar, R.; Meena, R.; Singh, P.; Jhab, S.; Kuanr, K. Rapid tumor inhibition via magnetic hyperthermia regulated by caspase 3 with time-dependent clearance of iron oxide nanoparticles. Biomater. Sci. 2021, 9, 2972–2990. [Google Scholar] [CrossRef]
- Liu, X.L.; Fan, H.M.; Yi, J.B.; Yang, Y.; Choo, E.S.G.; Xue, J.M.; Ding, J. Optimization of surface coating on Fe3O4 nanoparticles for high performance magnetic hyperthermia agents. J. Mater. Chem. 2012, 22, 8235–8244. [Google Scholar] [CrossRef]
- Fuentes-García, J.A.; Carvalho Alavarse, A.; Moreno Maldonado, A.C.; Toro-Córdova, A.; Ibarra, M.R.; Goya, G.F. Simple Sonochemical Method to Optimize the Heating Efficiency of Magnetic Nanoparticles for Magnetic Fluid Hyperthermia. ACS Omega 2020, 5, 26357–26364. [Google Scholar] [CrossRef]









| Sample | The Heating Performance (°C) | Magnetic Field Condition | The Safety Limit |
|---|---|---|---|
| S1 | 2.5 | f = 106.6 kHz, H = 20 kA/m | Under the safety limit |
| 1.8 | f = 159.8 kHz, H = 13.5 kA/m | ||
| 4.3 | f = 269.9 kHz, H = 13.5 kA/m | ||
| 6.3 | f = 381.6 kHz, H = 12.7 kA/m | ||
| 7.6 | f = 614.4 kHz, H = 9.5 kA/m | Over the safety limit | |
| 7.3 | f = 97 kHz, H = 40 kA/m | Under the safety limit | |
| 8.6 | f = 97 kHz, H = 50 kA/m | ||
| S2 | 0.66 | f = 106.6 kHz, H = 20 kA/m | Under the safety limit |
| 0.27 | f = 159.8 kHz, H = 13.5 kA/m | ||
| 0.4 | f = 269.9 kHz, H = 13.5 kA/m | ||
| 0.6 | f = 381.6 kHz, H = 12.7 kA/m | ||
| 0.2 | f = 614.4 kHz, H = 9.5 kA/m | Over the safety limit | |
| 16.18 | f = 97 kHz, H = 40 kA/m | Under the safety limit | |
| 32.3 | f = 97 kHz, H = 50 kA/m | ||
| S3 | 1.6 | f = 106.6 kHz, H = 20 kA/m | Under the safety limit |
| 1.6 | f = 159.8 kHz, H = 13.5 kA/m | ||
| 3.8 | f = 269.9 kHz, H = 13.5 kA/m | ||
| 3.4 | f = 381.6 kHz, H = 12.7 kA/m | ||
| 0.8 | f = 614.4 kHz, H = 9.5 kA/m | Over the safety limit | |
| 30.2 | f = 97 kHz, H = 40 kA/m | Under the safety limit | |
| 47.2 | f = 97 kHz, H = 50 kA/m |
| Nanoparticles Type | Size (nm) | Ms (emu/g) | SLP (W/g) | Ref. |
|---|---|---|---|---|
| Magnetite | 10 | 3 | 20 | [29] |
| Magnetite | 7.5 | 10 | 15.5 | [30] |
| Cobalt ferrite | 7 | 32.3–73.1 | 11–289 | [31] |
| Cobalt ferrite | 16.2 | 68 | 90.2 | [32] |
| Cobalt ferrite | 9–10 | 59.56 | 51.8 | [33] |
| Zinc cobalt ferrite | 13 | 70.23 | 114.98 | [34] |
| Magnetite | 12 | 41.9 | 75.35 | This study |
| Magnetite doped with cobalt | 8 | 50.7 | 11.69 | This study |
| Magnetite doped with cobalt/zinc | 25 | 50.6 | 110 | This study |
Disclaimer/Publisher’s Note: The statements, opinions and data contained in all publications are solely those of the individual author(s) and contributor(s) and not of MDPI and/or the editor(s). MDPI and/or the editor(s) disclaim responsibility for any injury to people or property resulting from any ideas, methods, instructions or products referred to in the content. |
© 2026 by the authors. Licensee MDPI, Basel, Switzerland. This article is an open access article distributed under the terms and conditions of the Creative Commons Attribution (CC BY) license.
Share and Cite
Al-Harthi, E.A.; Munshi, G.H.; Al-Ahmari, J.M.; Darwish, M.S.A. Self-Heating Performance of Magnetite Doped with Cobalt/Zinc Nanoparticles: Impact of Magnetic Field, Coating Agent, and Dispersing Solvent. Chemistry 2026, 8, 28. https://doi.org/10.3390/chemistry8020028
Al-Harthi EA, Munshi GH, Al-Ahmari JM, Darwish MSA. Self-Heating Performance of Magnetite Doped with Cobalt/Zinc Nanoparticles: Impact of Magnetic Field, Coating Agent, and Dispersing Solvent. Chemistry. 2026; 8(2):28. https://doi.org/10.3390/chemistry8020028
Chicago/Turabian StyleAl-Harthi, Enaam A., Ghaida H. Munshi, Jamilah M. Al-Ahmari, and Mohamed S. A. Darwish. 2026. "Self-Heating Performance of Magnetite Doped with Cobalt/Zinc Nanoparticles: Impact of Magnetic Field, Coating Agent, and Dispersing Solvent" Chemistry 8, no. 2: 28. https://doi.org/10.3390/chemistry8020028
APA StyleAl-Harthi, E. A., Munshi, G. H., Al-Ahmari, J. M., & Darwish, M. S. A. (2026). Self-Heating Performance of Magnetite Doped with Cobalt/Zinc Nanoparticles: Impact of Magnetic Field, Coating Agent, and Dispersing Solvent. Chemistry, 8(2), 28. https://doi.org/10.3390/chemistry8020028

