Sign in to use this feature.

Years

Between: -

Subjects

remove_circle_outline
remove_circle_outline
remove_circle_outline
remove_circle_outline
remove_circle_outline
remove_circle_outline
remove_circle_outline
remove_circle_outline
remove_circle_outline

Journals

remove_circle_outline
remove_circle_outline
remove_circle_outline

Article Types

Countries / Regions

remove_circle_outline
remove_circle_outline
remove_circle_outline
remove_circle_outline

Search Results (373)

Search Parameters:
Keywords = feature space constraint

Order results
Result details
Results per page
Select all
Export citation of selected articles as:
39 pages, 5992 KB  
Article
Proto-DISFNet: A Prototype-Guided Dual-Feature Transfer Learning Method for Cross-Condition Fault Diagnosis of Cotton Harvester Picking-Head Drivetrains
by Huachao Jiao, Wenlei Sun, Hongwei Wang and Xiaojing Wan
Agriculture 2026, 16(1), 87; https://doi.org/10.3390/agriculture16010087 (registering DOI) - 30 Dec 2025
Abstract
Cross-condition fault diagnosis of cotton harvester picking-head drivetrains remains challenging due to significant distribution discrepancies in vibration signals under different operating conditions. Existing transfer learning approaches predominantly focus on domain-invariant features while failing to sufficiently exploit domain-specific information and the structural constraints embedded [...] Read more.
Cross-condition fault diagnosis of cotton harvester picking-head drivetrains remains challenging due to significant distribution discrepancies in vibration signals under different operating conditions. Existing transfer learning approaches predominantly focus on domain-invariant features while failing to sufficiently exploit domain-specific information and the structural constraints embedded in target-domain normal samples, which often leads to unstable diagnostic performance across conditions. To address this issue, this paper proposes a prototype-guided dual-feature transfer learning method termed Proto-DISFNet (Prototype-guided Domain-Invariant and Domain-Specific Feature Network). The proposed method explicitly disentangles domain-invariant and domain-specific features to alleviate the impact of operating condition variations. High-confidence pseudo-labeled samples, selected through a filtering strategy, are utilized to construct class prototypes in the target domain, thereby enhancing semantic consistency and structural awareness in the feature space. In addition, a stage-wise training strategy is introduced to coordinate multi-task optimization, which improves training stability and overall adaptability under representative complex engineering operating conditions. Experiments conducted on three vibration datasets, JNU, THU, and CHPH-FETB, demonstrate that Proto-DISFNet achieves stable and competitive cross-condition diagnostic performance under varying degrees of domain shift and operating conditions. These results indicate the engineering relevance and potential applicability of the proposed method for fault diagnosis of cotton harvester picking-head drivetrains. Full article
(This article belongs to the Section Agricultural Technology)
23 pages, 1190 KB  
Article
Research on a Dual-Trust Selfish Node Detection Algorithm Based on Behavioral and Social Characteristics in VANETs
by Weihu Wang, Menglong Qin, Lan You, Chunmeng Yang, Qiangqiang Lou and Wenbo Guo
Electronics 2026, 15(1), 150; https://doi.org/10.3390/electronics15010150 (registering DOI) - 29 Dec 2025
Abstract
In Vehicular Ad Hoc Networks (VANETs), vehicles act as independent nodes that can freely establish connections and exchange messages. However, during data forwarding, vehicle nodes may exhibit selfish behavior due to limited resources such as buffer space and bandwidth, or because of social [...] Read more.
In Vehicular Ad Hoc Networks (VANETs), vehicles act as independent nodes that can freely establish connections and exchange messages. However, during data forwarding, vehicle nodes may exhibit selfish behavior due to limited resources such as buffer space and bandwidth, or because of social bias, which leads to a decrease in message delivery rate and an increase in communication overhead. To address this issue, this paper proposes a Dual-Trust Selfish Node Detection Algorithm (DTSDA) based on behavioral and social characteristics. The algorithm first employs a node forwarding behavior evaluation mechanism to detect selfish behaviors caused by resource constraints. Then, it introduces behavioral and social features to construct a dual-trust computation model, which further identifies nodes that are difficult to classify. Finally, a message acknowledgment feedback mechanism is incorporated to detect potential false negatives. Experiments are conducted on the ONE simulation platform, and the proposed DTSDA is compared with STCDA, CCSDA, and DSNDA algorithms. The results demonstrate that DTSDA significantly improves the message delivery rate while reducing the end-to-end delay. This study shows that the proposed algorithm can accurately detect selfish nodes in highly dynamic VANET environments, providing a new approach to enhancing communication reliability in vehicular networks. Full article
(This article belongs to the Section Computer Science & Engineering)
Show Figures

Figure 1

23 pages, 4099 KB  
Article
Knowledge-Enhanced Zero-Shot Graph Learning-Based Mobile Application Identification
by Dongfang Zhang, Jianan Huang, Manjun Tian and Lei Guan
Electronics 2026, 15(1), 126; https://doi.org/10.3390/electronics15010126 - 26 Dec 2025
Viewed by 160
Abstract
With the proliferation of mobile devices, identifying previously unseen mobile applications has become a critical challenge in network security. Traditional application identification approaches rely heavily on fixed training categories and limited traffic features, making them ineffective in real-world environments. To address this problem, [...] Read more.
With the proliferation of mobile devices, identifying previously unseen mobile applications has become a critical challenge in network security. Traditional application identification approaches rely heavily on fixed training categories and limited traffic features, making them ineffective in real-world environments. To address this problem, we propose KZGNN, a knowledge-enhanced zero-shot graph neural network for mobile application identification. KZGNN first constructs a unified mobile application knowledge graph that integrates high-level semantic metadata with fine-grained network behavior, enabling structured representation of application characteristics. Building on this, KZGNN introduces a relation-aware dual-channel propagation mechanism that separates semantic relations and behavioral interactions into dedicated GNN pathways and adaptively fuses them through attention. To support zero-shot recognition, KZGNN projects node embeddings and category semantics into a shared embedding space, where a structure-preserving constraint maintains global semantic geometry and improves generalization to unseen categories. Experiments on a dataset of 160 mobile applications show that KZGNN outperforms nine state-of-the-art traffic classification baselines and achieves a 5.2% improvement in identifying unseen application categories, demonstrating its effectiveness for mobile application identification in zero-shot scenarios. Full article
(This article belongs to the Special Issue Novel Methods Applied to Security and Privacy Problems, Volume II)
Show Figures

Figure 1

23 pages, 3212 KB  
Article
AKAZE-GMS-PROSAC: A New Progressive Framework for Matching Dynamic Characteristics of Flotation Foam
by Zhen Peng, Zhihong Jiang, Pengcheng Zhu, Gaipin Cai and Xiaoyan Luo
J. Imaging 2026, 12(1), 7; https://doi.org/10.3390/jimaging12010007 - 25 Dec 2025
Viewed by 110
Abstract
The dynamic characteristics of flotation foam, such as velocity and breakage rate, are critical factors that influence mineral separation efficiency. However, challenges inherent in foam images, including weak textures, severe deformations, and motion blur, present significant technical hurdles for dynamic monitoring. These issues [...] Read more.
The dynamic characteristics of flotation foam, such as velocity and breakage rate, are critical factors that influence mineral separation efficiency. However, challenges inherent in foam images, including weak textures, severe deformations, and motion blur, present significant technical hurdles for dynamic monitoring. These issues lead to a fundamental conflict between the efficiency and accuracy of traditional feature matching algorithms. This paper introduces a novel progressive framework for dynamic feature matching in flotation foam images, termed “stable extraction, efficient coarse screening, and precise matching.” This framework first employs the Accelerated-KAZE (AKAZE) algorithm to extract robust, scale- and rotation-invariant feature points from a non-linear scale-space, effectively addressing the challenge of weak textures. Subsequently, it innovatively incorporates the Grid-based Motion Statistics (GMS) algorithm to perform efficient coarse screening based on motion consistency, rapidly filtering out a large number of obvious mismatches. Finally, the Progressive Sample and Consensus (PROSAC) algorithm is used for precise matching, eliminating the remaining subtle mismatches through progressive sampling and geometric constraints. This framework enables the precise analysis of dynamic foam characteristics, including displacement, velocity, and breakage rate (enhanced by a robust “foam lifetime” mechanism). Comparative experimental results demonstrate that, compared to ORB-GMS-RANSAC (with a Mean Absolute Error, MAE of 1.20 pixels and a Mean Relative Error, MRE of 9.10%) and ORB-RANSAC (MAE: 3.53 pixels, MRE: 27.36%), the proposed framework achieves significantly lower error rates (MAE: 0.23 pixels, MRE: 2.13%). It exhibits exceptional stability and accuracy, particularly in complex scenarios involving low texture and minor displacements. This research provides a high-precision, high-robustness technical solution for the dynamic monitoring and intelligent control of the flotation process. Full article
(This article belongs to the Section Image and Video Processing)
Show Figures

Figure 1

19 pages, 6358 KB  
Article
AFCLNet: An Attention and Feature-Consistency-Loss-Based Multi-Task Learning Network for Affective Matching Prediction in Music–Video Clips
by Zhibin Su, Jinyu Liu, Luyue Zhang, Yiming Feng and Hui Ren
Sensors 2026, 26(1), 123; https://doi.org/10.3390/s26010123 - 24 Dec 2025
Viewed by 257
Abstract
Emotion matching prediction between music and video segments is essential for intelligent mobile sensing systems, where multimodal affective cues collected from smart devices must be jointly analyzed for context-aware media understanding. However, traditional approaches relying on single-modality feature extraction struggle to capture complex [...] Read more.
Emotion matching prediction between music and video segments is essential for intelligent mobile sensing systems, where multimodal affective cues collected from smart devices must be jointly analyzed for context-aware media understanding. However, traditional approaches relying on single-modality feature extraction struggle to capture complex cross-modal dependencies, resulting in a gap between low-level audiovisual signals and high-level affective semantics. To address these challenges, a dual-driven framework that integrates perceptual characteristics with objective feature representations is proposed for audiovisual affective matching prediction. The framework incorporates fine-grained affective states of audiovisual data to better characterize cross-modal correlations from an emotional distribution perspective. Moreover, a decoupled Deep Canonical Correlation Analysis approach is developed, incorporating discriminative sample-pairing criteria (matched/mismatched data discrimination) and separate modality-specific component extractors, which dynamically refine the feature projection space. To further enhance multimodal feature interaction, an Attention and Feature-Consistency-Loss-Based Multi-Task Learning Network is proposed. In addition, a feature-consistency loss function is introduced to impose joint constraints across dual semantic embeddings, ensuring both affective consistency and matching accuracy. Experiments on a self-collected benchmark dataset demonstrate that the proposed method achieves a mean absolute error of 0.109 in music–video matching score prediction, significantly outperforming existing approaches. Full article
(This article belongs to the Special Issue Recent Advances in Smart Mobile Sensing Technology)
Show Figures

Figure 1

19 pages, 425 KB  
Article
A Decision-Support Model for Holistic Energy-Sustainable Fleet Transition
by Antoni Korcyl, Katarzyna Gdowska and Roger Książek
Sustainability 2026, 18(1), 62; https://doi.org/10.3390/su18010062 - 20 Dec 2025
Viewed by 128
Abstract
The transition toward sustainable transport systems requires decision-support tools that help organizations navigate strategic choices under environmental, economic, and operational constraints. This study introduces the Holistic Multi-Period Fleet Planning Problem (HMPFPP), a nonlinear optimization model designed to support long-term, sustainability-oriented fleet modernization. The [...] Read more.
The transition toward sustainable transport systems requires decision-support tools that help organizations navigate strategic choices under environmental, economic, and operational constraints. This study introduces the Holistic Multi-Period Fleet Planning Problem (HMPFPP), a nonlinear optimization model designed to support long-term, sustainability-oriented fleet modernization. The model integrates investment costs, operational performance, emission limits, and dynamic demand into a unified analytical framework, enabling organizations to assess the long-term consequences of their decisions. A notable feature of the HMPFPP is the inclusion of outsourcing as a strategic option, which expands the decision space and helps maintain service performance when internal fleet capacity is constrained. An illustrative ten-year scenario demonstrates that the model generates non-uniform but cost-efficient transition pathways, in which legacy vehicles are gradually replaced by cleaner technologies, and temporary fleet downsizing can be optimal during low-demand periods. Outsourcing is activated only when joint emission and budget constraints make fully internal service provision infeasible. Across the tested instance, the HMPFPP is solved within seconds on standard hardware, confirming its computational tractability for exploratory planning. Taken together, these results indicate that data-driven optimization based on the HMPFPP can provide transparent and robust support for sustainable fleet management and transition planning. Full article
(This article belongs to the Special Issue Decision-Making in Sustainable Management)
Show Figures

Figure 1

21 pages, 2847 KB  
Article
Modeling and Solving Two-Sided Disassembly Line Balancing Problem Under Partial Disassembly of Parts
by Shuwei Wang, Huaizi Wang, Jia Liu, Guofeng Xu and Guoxun Xu
Symmetry 2026, 18(1), 4; https://doi.org/10.3390/sym18010004 - 19 Dec 2025
Viewed by 189
Abstract
In two-sided disassembly lines, stations are symmetrically arranged on both sides of the conveyor, which is suitable for large-sized waste products. During the disassembly process, evenly assigning parts to workstations while satisfying various constraints and optimizing some disassembly objectives is a challenging task. [...] Read more.
In two-sided disassembly lines, stations are symmetrically arranged on both sides of the conveyor, which is suitable for large-sized waste products. During the disassembly process, evenly assigning parts to workstations while satisfying various constraints and optimizing some disassembly objectives is a challenging task. Therefore, this study deals with a two-sided partial disassembly line balancing problem, and a multi-objective mathematical model for this problem is built. While satisfying various constraints, four objectives, namely, the hazard index, profit, smoothness index, and demand index, are optimized. Due to the NP-hard nature of the problem, an improved discrete whale optimization algorithm is proposed. According to the characteristics of the feasible solutions, an encoding method based on a one-dimensional integer array is designed, which can effectively decrease the memory space and simplify the design of neighbor structures. In the three stages of encircling prey, random wandering, and bubble-net attacking, based on the search features of each stage, different neighbor operators and search strategies are designed to enhance the local exploitation and global exploration capabilities. Finally, the performance of the proposed algorithm was tested against other algorithms for different types of instances and a disassembly case. The results show that the proposed algorithm can not only solve various types of disassembly line balancing problems but also shows superior performance. Full article
(This article belongs to the Section Mathematics)
Show Figures

Figure 1

18 pages, 1564 KB  
Article
Salient Object Detection in Optical Remote Sensing Images Based on Hierarchical Semantic Interaction
by Jingfan Xu, Qi Zhang, Jinwen Xing, Mingquan Zhou and Guohua Geng
J. Imaging 2025, 11(12), 453; https://doi.org/10.3390/jimaging11120453 - 17 Dec 2025
Viewed by 261
Abstract
Existing salient object detection methods for optical remote sensing images still face certain limitations due to complex background variations, significant scale discrepancies among targets, severe background interference, and diverse topological structures. On the one hand, the feature transmission process often neglects the constraints [...] Read more.
Existing salient object detection methods for optical remote sensing images still face certain limitations due to complex background variations, significant scale discrepancies among targets, severe background interference, and diverse topological structures. On the one hand, the feature transmission process often neglects the constraints and complementary effects of high-level features on low-level features, leading to insufficient feature interaction and weakened model representation. On the other hand, decoder architectures generally rely on simple cascaded structures, which fail to adequately exploit and utilize contextual information. To address these challenges, this study proposes a Hierarchical Semantic Interaction Module to enhance salient object detection performance in optical remote sensing scenarios. The module introduces foreground content modeling and a hierarchical semantic interaction mechanism within a multi-scale feature space, reinforcing the synergy and complementarity among features at different levels. This effectively highlights multi-scale and multi-type salient regions in complex backgrounds. Extensive experiments on multiple optical remote sensing datasets demonstrate the effectiveness of the proposed method. Specifically, on the EORSSD dataset, our full model integrating both CA and PA modules improves the max F-measure from 0.8826 to 0.9100 (↑2.74%), increases maxE from 0.9603 to 0.9727 (↑1.24%), and enhances the S-measure from 0.9026 to 0.9295 (↑2.69%) compared with the baseline. These results clearly demonstrate the effectiveness of the proposed modules and verify the robustness and strong generalization capability of our method in complex remote sensing scenarios. Full article
(This article belongs to the Special Issue AI-Driven Remote Sensing Image Processing and Pattern Recognition)
Show Figures

Figure 1

22 pages, 3542 KB  
Article
Dual Resource Scheduling Method of Production Equipment and Rail-Guided Vehicles Based on Proximal Policy Optimization Algorithm
by Nengqi Zhang, Bo Liu and Jian Zhang
Technologies 2025, 13(12), 573; https://doi.org/10.3390/technologies13120573 - 5 Dec 2025
Viewed by 1550
Abstract
In the context of intelligent manufacturing, the integrated scheduling problem of dual rail-guided vehicles (RGVs) and multiple parallel processing equipment in flexible manufacturing systems has gained increasing importance. This problem exhibits spatiotemporal coupling and dynamic constraint characteristics, making traditional optimization methods ineffective at [...] Read more.
In the context of intelligent manufacturing, the integrated scheduling problem of dual rail-guided vehicles (RGVs) and multiple parallel processing equipment in flexible manufacturing systems has gained increasing importance. This problem exhibits spatiotemporal coupling and dynamic constraint characteristics, making traditional optimization methods ineffective at finding optimal solutions. At the problem formulation level, the dual resource scheduling task is modeled as a mixed-integer optimization problem. An intelligent scheduling framework based on action mask-constrained Proximal Policy Optimization (PPO) deep reinforcement learning is proposed to achieve integrated decision-making for production equipment allocation and RGV path planning. The approach models the scheduling problem as a Markov Decision Process, designing a high-dimensional state space, along with a multi-discrete action space that integrates machine selection and RGV motion control. The framework employs a shared feature extraction layer and dual-head Actor-Critic network architecture, combined with parallel experience collection and synchronous parameter update mechanisms. In computational experiments across different scales, the proposed method achieves an average makespan reduction of 15–20% compared with numerical methods, while exhibiting excellent robustness under uncertain conditions including processing time fluctuations. Full article
(This article belongs to the Section Manufacturing Technology)
Show Figures

Figure 1

21 pages, 3307 KB  
Article
Identification of Static Eccentricity and Load Current Unbalance via Space Vector Stray Flux in Permanent Magnet Synchronous Generators
by Ilyas Aladag, Taner Goktas, Muslum Arkan and Bulent Yaniktepe
Electronics 2025, 14(24), 4788; https://doi.org/10.3390/electronics14244788 - 5 Dec 2025
Viewed by 316
Abstract
Permanent Magnet Synchronous Generators (PMSGs) have become increasingly important in industrial applications such as wind turbine systems due to their high efficiency and power density. However, their operational reliability can be affected by asymmetries such as static eccentricity (SE) and load current unbalance [...] Read more.
Permanent Magnet Synchronous Generators (PMSGs) have become increasingly important in industrial applications such as wind turbine systems due to their high efficiency and power density. However, their operational reliability can be affected by asymmetries such as static eccentricity (SE) and load current unbalance (UnB), which exhibit similar spectral features and are therefore difficult to differentiate using conventional techniques such as Motor Current Signature Analysis (MCSA). Stray flux analysis provides an alternative diagnostic approach, yet single-point measurements often lack the sensitivity required for accurate fault discrimination. This study introduces a diagnostic methodology based on the Space Vector Stray Flux (SVSF) for identifying static eccentricity (SE) and load current unbalance (UnB) faults in PMSG-based systems. The SVSF is derived from three external stray flux sensors placed 120° electrical degrees apart and analyzed through symmetrical component decomposition, focusing on the +5fs positive-sequence harmonic. Two-dimensional Finite Element Analysis (FEA) conducted on a 36-slot/12-pole PMSG model shows that the amplitude of the +5fs harmonic increases markedly under static eccentricity, while it remains nearly unchanged under load current unbalance. To validate the simulation findings, comprehensive experiments have been conducted on a dedicated test rig equipped with high-sensitivity fluxgate sensors. The experimental results confirm the robustness of the proposed SVSF method against practical constraints such as sensor placement asymmetry, 3D axial flux effects, and electromagnetic interference (EMI). The identified harmonic thus serves as a distinct and reliable indicator for differentiating static eccentricity from load current unbalance faults. The proposed SVSF-based approach significantly enhances the accuracy and robustness of fault detection and provides a practical tool for condition monitoring in PMSG. Full article
(This article belongs to the Special Issue Energy Saving Management Systems: Challenges and Applications)
Show Figures

Graphical abstract

31 pages, 12343 KB  
Article
Ensemble Clustering Method via Robust Consensus Learning
by Jia Qu, Qidong Dai, Zekang Bian, Jie Zhou and Zhibin Jiang
Electronics 2025, 14(23), 4764; https://doi.org/10.3390/electronics14234764 - 3 Dec 2025
Viewed by 321
Abstract
Although ensemble clustering methods based on the co-association (CA) matrix have achieved considerable success, they still face the following challenges: (1) in the label space, the noise within the connective matrices and the structural differences between them are often neglected, and (2) the [...] Read more.
Although ensemble clustering methods based on the co-association (CA) matrix have achieved considerable success, they still face the following challenges: (1) in the label space, the noise within the connective matrices and the structural differences between them are often neglected, and (2) the rich structural information inherent in the feature space is overlooked. Specifically, for each connective matrix, a symmetric error matrix is first introduced in the label space to characterize the noise. Then, a set of mapping models is designed, each of which processes a denoised connective matrix to recover a reliable consensus matrix. Moreover, multi-order graph structures are introduced into the feature space to enhance the expressiveness of the consensus matrix further. To preserve a clear cluster structure, a theoretical rank constraint with a block-diagonal enhancement property is imposed on the consensus matrix. Finally, spectral clustering is applied to the refined consensus matrix to obtain the final clustering result. Experimental results demonstrate that ECM-RCL achieves superior clustering performance compared to several state-of-the-art methods. Full article
(This article belongs to the Special Issue Multimodal Learning for Multimedia Content Analysis and Understanding)
Show Figures

Figure 1

33 pages, 2439 KB  
Article
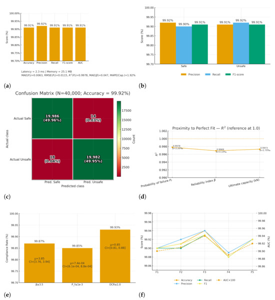
A Novel Deep Hybrid Learning Framework for Structural Reliability Under Civil and Mechanical Constraints
by Qasim Aljamal, Mahmoud AlJamal, Mohammad Q. Al-Jamal, Zaid Jawasreh, Ayoub Alsarhan, Sami Aziz Alshammari, Nayef H. Alshammari and Rahaf R. Alshammari
Mathematics 2025, 13(23), 3834; https://doi.org/10.3390/math13233834 - 29 Nov 2025
Viewed by 385
Abstract
This study presents an AI-based framework that unifies civil and mechanical engineering principles to optimize the structural performance of steel frameworks. Unlike traditional methods that analyze material behavior, load-bearing capacity, and dynamic response separately, the proposed model integrates these factors into a single [...] Read more.
This study presents an AI-based framework that unifies civil and mechanical engineering principles to optimize the structural performance of steel frameworks. Unlike traditional methods that analyze material behavior, load-bearing capacity, and dynamic response separately, the proposed model integrates these factors into a single hybrid feature space combining material properties, geometric descriptors, and load-response characteristics. A deep learning model enhanced with physics-informed reliability constraints is developed to predict both safety states and optimal design configurations. Using AISC steel datasets and experimental records, the framework achieves 99.91% accuracy in distinguishing safe from unsafe designs, with mean absolute errors below 0.05 and percentage errors under 2% for reliability and load-bearing predictions. The system also demonstrates high computational efficiency, achieving inference latency below 3 ms, which supports real-time deployment in design and monitoring environments. the proposed framework provides a scalable, interpretable, and code-compliant approach for optimizing steel structures, advancing data-driven reliability assessment in both civil and mechanical engineering. Full article
Show Figures

Figure 1

25 pages, 2734 KB  
Article
Mathematical Modeling and Optimization of AI-Driven Virtual Game Data Center Storage System
by Sijin Zhu, Xuebo Yan, Xiaolin Zhang, Mengyao Guo and Ze Gao
Mathematics 2025, 13(23), 3831; https://doi.org/10.3390/math13233831 - 29 Nov 2025
Viewed by 311
Abstract
Frequent fluctuations in virtual item transactions make data access in virtual games highly dynamic. These heat changes denote temporal variations in data popularity driven by trading activity, which in turn cause traditional storage systems to struggle with timely heat adaptation, increased latency, and [...] Read more.
Frequent fluctuations in virtual item transactions make data access in virtual games highly dynamic. These heat changes denote temporal variations in data popularity driven by trading activity, which in turn cause traditional storage systems to struggle with timely heat adaptation, increased latency, and energy waste. This study proposes an AI-driven modeling framework for virtual game data centers. The heat feature vector composed of transaction frequency, price fluctuation, and scarcity forms the state space of a Markov decision process, while data migration between multi-layer storage structures constitutes the action space. The model captures temporal locality and spatial clustering in transaction behaviors, applies a sliding-window prediction mechanism to estimate access intensity, and enhances load perception. A scheduling mechanism combining an R2D3 (Recurrent Replay Distributed DQN from Demonstrations) policy network with temporal attention and mixed integer programming jointly optimizes latency, energy consumption, and resource constraints to achieve global data allocation tuning. Experiments on a simulated high-frequency trading dataset show that the system reduces access delay to 420 ms at a transaction intensity of 1000 per second and controls the total migration energy consumption to 85.7 Wh. The Edge layer achieves a peak hit rate of 63%, demonstrating that the proposed method enables accurate heat identification and energy-efficient multi-layer scheduling under highly dynamic environments. Full article
Show Figures

Figure 1

25 pages, 4642 KB  
Article
Layered and Decoupled Calibration: A High-Precision Kinematic Identification for a 5-DOF Serial-Parallel Manipulator with Remote Drive
by Zhisen Wang, Juzhong Zhang, Yuyi Chu, Yuwen Wu, Yifan Mou, Xiang Wang and Hongbo Yang
Actuators 2025, 14(12), 577; https://doi.org/10.3390/act14120577 - 29 Nov 2025
Viewed by 243
Abstract
Serial-parallel hybrid manipulators featuring remote actuation via parallelogram mechanisms are highly valued for their low inertia and high stiffness. However, the complex nonlinear errors introduced by their multi-stage transmission chains pose significant challenges for high-precision calibration. To address this, this paper proposes a [...] Read more.
Serial-parallel hybrid manipulators featuring remote actuation via parallelogram mechanisms are highly valued for their low inertia and high stiffness. However, the complex nonlinear errors introduced by their multi-stage transmission chains pose significant challenges for high-precision calibration. To address this, this paper proposes a hierarchical and decoupled calibration framework specifically tailored for such parallelogram-driven hybrid manipulators. The method first independently calibrates the pose error of the 3-DOF serial main arm using a composite error model that integrates transmission chain constraints. Subsequently, the 2-DOF parallel wrist is accurately calibrated employing a joint-space error identification strategy based on inverse kinematics, thereby circumventing the intractability of solving the parallel mechanism’s forward kinematics. Experimental validation was performed on a self-developed 5-DOF robot prototype using an optical tracker and an attitude sensor. Results from the validation dataset demonstrate that the proposed method reduces the robot’s average positioning error from 2.199 mm to 0.658 mm (a 70.1% improvement) and the average attitude error from 0.8976 deg to 0.1767 deg (an 80.3% improvement). Furthermore, comparative experiments against the standard MDH model and polynomial fitting models confirm that the proposed composite error model and multi-stage transmission error model are essential for achieving high accuracy. This research provides crucial theoretical insights and practical solutions for the high-precision application of complex remote-driven hybrid manipulators. Full article
(This article belongs to the Section Actuators for Robotics)
Show Figures

Figure 1

20 pages, 8026 KB  
Article
HyFLM: A Hypernetwork-Based Federated Learning with Multidimensional Trajectory Optimization on Diffusion Paths
by Ho-jun Song and Young-Joo Suh
Electronics 2025, 14(23), 4704; https://doi.org/10.3390/electronics14234704 - 28 Nov 2025
Viewed by 281
Abstract
The effective training of large-scale distributed deep learning models has become an active and emerging research area in recent years. Federated learning (FL) can address those challenges by training global models through parameter exchange of client models rather than raw data sharing, thereby [...] Read more.
The effective training of large-scale distributed deep learning models has become an active and emerging research area in recent years. Federated learning (FL) can address those challenges by training global models through parameter exchange of client models rather than raw data sharing, thereby preserving security and communication efficiency. However, conventional linear aggregation approaches in FL neglect heterogeneous client models and non-IID data. This often results in inter-layer information imbalance and feature-space misalignment, leading to low overall accuracy and unstable training. To overcome these limitations, we propose HyFLM, a personalized federated learning framework that maximizes performance with Multidimensional Trajectory Optimization theory (MTO) on diffusion paths. HyFLM extends a diffusion-based FL framework by encoding client–parameter dependencies with a diffusion model and precisely controlling dimension-specific paths, thereby generating personalized weights that reflect both the data complexity and the resource constraints of each client. In addition, a lightweight hypernetwork generates client-specific adapters or weights to further enhance personalization. Extensive experiments on multiple benchmarks demonstrate that HyFLM consistently outperforms major baselines in terms of both accuracy and communication efficiency, achieving faster convergence and higher accuracy. Furthermore, ablation studies verify the contribution of MAC to convergence acceleration, confirming that HyFLM is an effective and practical personalized FL paradigm for heterogeneous client models. Full article
(This article belongs to the Special Issue Feature Papers in Networks: 2025–2026 Edition)
Show Figures

Figure 1

Back to TopTop