Sign in to use this feature.

Years

Between: -

Subjects

remove_circle_outline
remove_circle_outline
remove_circle_outline
remove_circle_outline
remove_circle_outline
remove_circle_outline
remove_circle_outline
remove_circle_outline
remove_circle_outline

Journals

remove_circle_outline
remove_circle_outline
remove_circle_outline
remove_circle_outline

Article Types

Countries / Regions

remove_circle_outline
remove_circle_outline
remove_circle_outline
remove_circle_outline
remove_circle_outline

Search Results (460)

Search Parameters:
Keywords = extreme temperature sensing

Order results
Result details
Results per page
Select all
Export citation of selected articles as:
10 pages, 1561 KB  
Article
Toward Subcellular Action Potential Detection with Nanodiamond Quantum Magnetometry
by Azmath Fathima, Peker Milas, Sheikh Mahtab, Tanmay Talukder, Mya Merritt, James Wachira, Solomon Tadesse, Michael Spencer and Birol Ozturk
Nanomaterials 2025, 15(24), 1879; https://doi.org/10.3390/nano15241879 - 15 Dec 2025
Abstract
Quantum sensing with nitrogen vacancy (NV) defects in diamond enables detection of extremely small changes in temperature, host material strain, and magnetic and electric fields. Action potential detection has previously been demonstrated with cardiac tissue and whole organisms using NV defects in bulk [...] Read more.
Quantum sensing with nitrogen vacancy (NV) defects in diamond enables detection of extremely small changes in temperature, host material strain, and magnetic and electric fields. Action potential detection has previously been demonstrated with cardiac tissue and whole organisms using NV defects in bulk diamond crystals. Nanodiamonds (NDs) with NV defects were previously used as effective fluorescent markers, as they do not bleach under laser illumination like conventional fluorescent dyes. Subcellular-level action potential recording with NDs is yet to be demonstrated. Here, we report our results on the confocal imaging of NDs and the feasibility of optically detected magnetic resonance (ODMR) experiments with Cath.-a-differentiated (CAD) mouse brain cells. 10 nm and 60 nm NDs were shown to diffuse into cells within 30 min with no additional surface modification, as confirmed with confocal imaging. In contrast, 100 nm and 140 nm NDs were observed to remain localized on the cell surface. ND photoluminescence (PL) signals did not bleach over the course of 5 h long imaging studies. ODMR technique was used to detect externally applied millitesla-level magnetic fields with NDs in cell solutions. In summary, NDs were shown to be effective, non-bleaching fluorescent markers in mouse brain cells, with further potential for use in action potential recording at the subcellular level. Full article
Show Figures

Figure 1

16 pages, 738 KB  
Article
Effect of Atmospheric Temperature Variations on Glycemic Patterns of Patients with Type 1 Diabetes: Analysis as a Function of Different Therapeutic Treatments
by Alessandra Mascitelli, Stefano Tumini, Piero Chiacchiaretta, Eleonora Aruffo, Lorenza Sacrini, Maria Alessandra Saltarelli and Piero Di Carlo
Int. J. Environ. Res. Public Health 2025, 22(12), 1850; https://doi.org/10.3390/ijerph22121850 - 11 Dec 2025
Viewed by 149
Abstract
An overview of seasonal variations in glycaemic patterns in children and young adults with type 1 diabetes has been addressed in a previous work, which paved the way for an in-depth study involving not only traditional Multiple Dose Injection (MDI) therapy, but also [...] Read more.
An overview of seasonal variations in glycaemic patterns in children and young adults with type 1 diabetes has been addressed in a previous work, which paved the way for an in-depth study involving not only traditional Multiple Dose Injection (MDI) therapy, but also a comparative analysis with the use of Advanced Hybrid Closed-Loop (AHCL) insulin pumps. The widespread use of Flash Glucose Monitoring (FGM) and Continuous Glucose Monitoring (CGM) systems, as well as dedicated platforms for synchronizing and storing CGM reports, has facilitated an efficient approach to analyzing glycaemic patterns. The effect of environmental parameters on glycemic trends undoubtedly has a clinical relevance, which however can be appropriately managed by knowing the responses in patients treated with different therapeutic approaches. In this sense, it is possible to evaluate how the glycemic trend in diabetic patients, in relation to external temperatures, responds differently to therapies. In this work, the response, in terms of glucose level, in diabetic patients was analyzed, according to the different therapeutic approaches and in relation to variations in external temperature. For the same period of the previous work (one year: Autumn 2022–Summer 2023), seasonal variations in CGM metrics (i.e., Time In Range—TIR, Time Above Range—TAR, Time Below Range—TBR and Coefficient of Variation—CV) were analyzed. The results show a better metabolic control, linked to the effect of the algorithm on the trend of glycaemia. However, the analysis focused on the heatwave of July 2023 highlights the role of extreme temperatures as a stress factor in the insulin pumps performance. A further focus was carried out on the comparison of glycaemic patterns during the school and non-school period for all patients until 21 years old. Results suggest that during the school period, glycaemic patterns, in patients treated with MDI, show a greater onset of hyperglycaemia. From all that has emerged, it appears clear that structured education on diabetes self-management for patients and their families is fundamental and must take into account multiple factors (type of therapy, daily activities, atmospheric temperature) in order to keep their effects under control. Full article
(This article belongs to the Section Environmental Health)
Show Figures

Figure 1

19 pages, 5503 KB  
Article
Response Design and Experimental Analysis of Marine Riser Buoy Observation System Based on Fiber Optic Sensing Under South China Sea Climatic Conditions
by Lei Liang, Shuhan Long, Xianyu Lai, Yixuan Cui and Jian Gu
J. Mar. Sci. Eng. 2025, 13(12), 2356; https://doi.org/10.3390/jmse13122356 - 10 Dec 2025
Viewed by 174
Abstract
Marine risers, critical structures connecting underwater production systems and surface floating platforms, stand freely in water and endure extremely complex marine environmental loads. To meet the multi-parameter observation demand for their overall state, a fiber-optic sensing-based marine riser buoy observation system was developed. [...] Read more.
Marine risers, critical structures connecting underwater production systems and surface floating platforms, stand freely in water and endure extremely complex marine environmental loads. To meet the multi-parameter observation demand for their overall state, a fiber-optic sensing-based marine riser buoy observation system was developed. Unlike traditional point-type and offline monitoring systems, it integrates marine buoys with sensing submarine cables to achieve long-term real-time online monitoring of risers’ overall state via fiber-optic sensing technology. Comprising two main modules (buoy monitoring module and fiber-optic sensing module), the buoy’s stability was verified through theoretical derivation, simulation, and stability curve plotting. Frequency domain analysis of buoy loads and motion responses, along with calculation of motion response amplitude operators (RAOs) at various incident angles, showed the system avoids wave periods in the South China Sea (no resonance), ensuring structural safety for offshore operations. A 7-day marine test of the prototype was conducted in Yazhou Bay, Hainan Province, to monitor real-time temperature and strain data of the riser in the test sea area. The sensing submarine cable accurately responded to temperature changes at different depths with high stability and precision; using the Frenet-based 3D curve reconstruction algorithm, pipeline shape was inverted from the monitored strain data, enabling real-time pipeline monitoring. During the test, the buoy and fiber-optic sensing module operated stably. This marine test confirms the buoy observation system’s reasonable design parameters and feasible scheme, applicable to temperature and deformation monitoring of marine risers. Full article
(This article belongs to the Section Ocean Engineering)
Show Figures

Figure 1

24 pages, 4781 KB  
Article
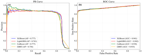
A Machine Learning-Based Quality Control Algorithm for Heavy Rainfall Using Multi-Source Data
by Hao Sun, Qing Zhou, Lijuan Shi, Cuina Li, Shiguang Qin, Dan Yao, Mingyi Xu, Yang Huang, Qin Hu and Yunong Guan
Remote Sens. 2025, 17(24), 3976; https://doi.org/10.3390/rs17243976 - 9 Dec 2025
Viewed by 164
Abstract
In this study, a machine learning-based quality control algorithm for heavy rainfall was developed by integrating automatic weather station observations with remote sensing data, minute-level data, and metadata. Based on heavy rainfall samples from 1 June 2022 to 31 December 2024, the performances [...] Read more.
In this study, a machine learning-based quality control algorithm for heavy rainfall was developed by integrating automatic weather station observations with remote sensing data, minute-level data, and metadata. Based on heavy rainfall samples from 1 June 2022 to 31 December 2024, the performances of four gradient boosting models—eXtreme Gradient Boosting (XGBoost), Light Gradient Boosting Machine (LightGBM), Categorical Boosting (CatBoost), and Gradient Boosted Regression Trees (GBRT)—significantly outperformed precipitation-threshold-based conventional methods, including regional extreme value checks, temporal consistency checks, and others. Specifically, the XGBoost in particular achieves an increase in precision by 0.110 and recall by 0.162. This translates to a substantial reduction in both false alarms (higher precision) and missed detections (higher recall) of anomalous heavy rainfall events, thereby significantly enhancing the reliability of the quality-controlled data. The radar composite reflectivity, satellite cloud-top temperature, and minute-level precipitation were identified as dominant contributors to model predictions. The integration of multi-sensor observations effectively addressed limitations inherent in conventional threshold-based approaches. Through SHapley Additive exPlanations (SHAP)-based interpretability analysis, the model’s decision logic was shown to align with meteorological physical principles. Characteristic patterns such as combinations of low radar reflectivity and elevated cloud-top temperatures were flagged as anomalous rainfall events, typically corresponding to manual operational errors. Moreover, the model identified anomalous minute-level precipitation extremes to be critical signals for detecting instrument malfunctions, data encoding and transmission errors. The physical consistency of the model’s reasoning enhances its trustworthiness and supports its potential for operational implementation in heavy rainfall quality control. Full article
Show Figures

Figure 1

20 pages, 2816 KB  
Article
Real-Time Reconstruction of the Temperature Field of NSRT’s Back-Up Structure Based on Improved RIME-XGBoost
by Shi-Jiao Zhang, Qian Xu, Hui Wang, Fei Xue, Fei-Long He and Xiao-Man Cao
Sensors 2025, 25(24), 7410; https://doi.org/10.3390/s25247410 - 5 Dec 2025
Viewed by 328
Abstract
Obtaining an antenna’s back-up structure (BUS) temperature field is an essential prerequisite for analyzing its thermal deformation. Thermodynamic simulation can obtain the structure’s thermal distribution, but it has low computational accuracy. There is a problem with cumbersome wiring and difficult maintenance of the [...] Read more.
Obtaining an antenna’s back-up structure (BUS) temperature field is an essential prerequisite for analyzing its thermal deformation. Thermodynamic simulation can obtain the structure’s thermal distribution, but it has low computational accuracy. There is a problem with cumbersome wiring and difficult maintenance of the temperature measurement system. This study developed an improved RIME-XGBoost model to realize the temperature prediction of the BUS of the Nanshan 26-m Radio Telescope (NSRT). The proposed model successfully predicts the NSRT’s BUS temperature distribution based solely on environmental sensing (ambient temperature, angle of solar radiation, antenna’s orientation, etc.). The relative prediction accuracy between the predicted and actual BUS temperature is 97.15%, and the predictive error is less than 0.897 K (root mean square error, RMSE). This research result provides an alternative method for the real-time reconstruction of the structure’s thermal distribution in large-aperture radio telescopes. Full article
(This article belongs to the Section Environmental Sensing)
Show Figures

Figure 1

21 pages, 13381 KB  
Article
Research on Grassland Classification Method in Water Conservation Areas of the Qinghai–Tibet Plateau Based on Multi-Source Data Fusion
by Kexin Yan, Yueming Hu, Lu Wang, Xiaoyan Huang, Runyan Zou, Liangjun Zhao, Fan Yang and Taibin Wen
Agriculture 2025, 15(23), 2503; https://doi.org/10.3390/agriculture15232503 - 1 Dec 2025
Viewed by 259
Abstract
The Qinghai–Tibet Plateau is a crucial ecological security barrier in China and Asia. Its grassland ecosystem has high ecological service value. Scientific assessments and classifications of grasslands are crucial for determining the value of grassland resources and implementing refined management. Traditional grassland classification [...] Read more.
The Qinghai–Tibet Plateau is a crucial ecological security barrier in China and Asia. Its grassland ecosystem has high ecological service value. Scientific assessments and classifications of grasslands are crucial for determining the value of grassland resources and implementing refined management. Traditional grassland classification methods have used expert knowledge and linear models, which are subjective and cannot describe complex nonlinear relationships. We conducted a case study in Hongyuan County, Sichuan Province, in the water conservation area of the Qinghai–Tibet Plateau, using multi-source data including Landsat 8 (15 m/30 m), MOD15A2 (500 m), ALOS imagery (12.5 m), and 435 field survey samples, combined with machine learning models such as convolutional neural network (CNN), extreme gradient boosting (XGBoost), light gradient boosting machine (LightGBM), histogram gradient boosting (HistGradientBoosting), and random forest (RF). The objective was to develop a novel grassland classification method that integrates multi-source remote sensing data with machine learning algorithms. Based on the evaluation metrics of SHAP values, mean annual precipitation (MAP, 0.675), >0 °C Accumulated Temperature (AT, 0.591), and aspect (ASPECT, 0.548) were the most critical factors influencing alpine grasslands, revealing a driving mechanism characterized by climate dominance, topographic regulation, soil support, and vegetation response. The XGBoost model demonstrated the best performance (with an accuracy of 0.829, Precision of 0.818, Recall of 0.829, weighted F1-score of 0.820, and an AUC value of 0.870). The pixel-by-pixel absolute difference calculation between the model-predicted and the actual classification results showed that regions with no discrepancy (absolute value = 0) accounted for 75.82%, those with a minor discrepancy (absolute value = 1) accounted for 23.63%, and regions with a major discrepancy (absolute value = 2) accounted for only 0.54%. This study has established a replicable paradigm for the precise management and conservation of alpine grassland resources. Through the synergistic application of deep learning and machine learning, it generated superior baseline data, quantitatively uncovered a grassland differentiation mechanism dominated by hydrothermal factors and fine-tuned by topography in the complex Qinghai–Tibet Plateau, and delivered high-precision spatial distribution maps of grassland classes. Full article
Show Figures

Figure 1

17 pages, 4932 KB  
Article
Validation of Soil Temperature Sensing Depth Estimates Using High-Temporal Resolution Data from NEON and SMAP Missions
by Shaoning Lv, Edward Ayres and Yin Hu
Remote Sens. 2025, 17(23), 3845; https://doi.org/10.3390/rs17233845 - 27 Nov 2025
Viewed by 228
Abstract
Passive microwave remote sensing of soil moisture is crucial for monitoring the Earth’s water cycle and surface dynamics. The penetration depth during this process is significant, as it influences the accuracy of retrieved soil moisture data. Within L-band remote sensing, tools such as [...] Read more.
Passive microwave remote sensing of soil moisture is crucial for monitoring the Earth’s water cycle and surface dynamics. The penetration depth during this process is significant, as it influences the accuracy of retrieved soil moisture data. Within L-band remote sensing, tools such as the τ-z model interpret microwave emissions to estimate soil moisture, taking into account the complex interactions between soil and radiation. However, in validating these models against high-temporal-resolution, ground-based measurements, especially from extensive networks like the Terrestrial National Ecological Observatory Network (NEON), further research and validation efforts are needed. This study comprehensively validates the τ-z model’s ability to estimate the soil temperature sensing depth (zTeff) using data from the NEON and Soil Moisture Active Passive (SMAP) satellite missions. A harmonization process was conducted to align the spatial and temporal scales of the two datasets, enabling rigorous validation. We compared soil optical depth (τ)—a parameter capable of theoretically unifying sensing depth representations across wet soil (~0.05 m) to extreme dry/frozen conditions (e.g., up to ~1500 m in ice-equivalent scenarios)—and geometric depth (z) frameworks against outputs from the τ-z model and NEON’s in situ profiles. The results show that: (1) for the profiles that satisfy the monotonic assumption by the τ-z model, zTeff fits the prediction well at about 0.2 τ for the average; (2) Combining SMAP’s soil moisture, the τ-z model achieves high accuracy in estimating zTeff, with RMSD (0.05 m) and unRMSD (0.03 m), and correlations (0.67) between estimated and observed values. The findings are expected to advance remote sensing techniques in various fields, including agriculture, hydrology, and climate change research. Full article
Show Figures

Figure 1

19 pages, 4088 KB  
Article
Research on Spatiotemporal Combination Optimization of Remote Sensing Mapping of Farmland Soil Organic Matter Considering Annual Variability
by Wenzhu Dou, Wenqi Zhang, Shiyu He, Xue Li and Chong Luo
Agronomy 2025, 15(12), 2714; https://doi.org/10.3390/agronomy15122714 - 25 Nov 2025
Viewed by 198
Abstract
Soil organic matter (SOM) is a key indicator of cropland quality and carbon cycling. Accurate SOM mapping is essential for sustainable soil management and carbon sink assessment. This study investigated the effects of interannual climatic variability on SOM prediction using remote sensing and [...] Read more.
Soil organic matter (SOM) is a key indicator of cropland quality and carbon cycling. Accurate SOM mapping is essential for sustainable soil management and carbon sink assessment. This study investigated the effects of interannual climatic variability on SOM prediction using remote sensing and machine learning. Youyi Farm in the Sanjiang Plain, Heilongjiang Province, was selected as the study area, covering three representative years: 2019 (flood), 2020 (normal), and 2021 (drought). Based on multi-temporal Sentinel-2 imagery and environmental covariates, Random Forest models were used to evaluate single- and dual-period combinations. Results showed that combining bare-soil and crop-season images consistently improved accuracy, with optimal combinations varying by year (R2 = 0.544–0.609). Incorporating temperature, precipitation, and elevation enhanced model performance, particularly temperature, which contributed most to prediction accuracy. Feature selection further improved model stability and generalization. Spatially, SOM showed a pattern of higher values in the northeast and lower in the central region, shaped by topography and cultivation. This study innovatively integrates interannual climatic variability with remote sensing temporal combination and feature selection, constructing a climate-adaptive SOM mapping framework and providing new insights for accurate inversion of cropland SOM under extreme climates, highlights the importance of multi-temporal imagery, environmental factors, and feature selection for robust SOM mapping under different climatic conditions, providing technical support for long-term cropland quality monitoring. Full article
Show Figures

Figure 1

30 pages, 6422 KB  
Article
Investigating Warm-Season Heatwaves Along the Lithuanian Baltic Sea Coast Applying Copernicus Datasets
by Inga Dailidienė, Anjelina Delalande, Donatas Valiukas, Remigijus Dailidė, Aleksas Narščius, Toma Dabulevičienė and Filippos Tymvios
Sustainability 2025, 17(23), 10536; https://doi.org/10.3390/su172310536 - 24 Nov 2025
Viewed by 496
Abstract
Extreme events have become an integral aspect of the unusually intensified climate change characterizing this century. This study examines extreme heat waves and tropical nights—phenomena historically uncommon in the mid-latitude Southeastern Baltic Sea region. Extreme heat and heat waves are defined as any [...] Read more.
Extreme events have become an integral aspect of the unusually intensified climate change characterizing this century. This study examines extreme heat waves and tropical nights—phenomena historically uncommon in the mid-latitude Southeastern Baltic Sea region. Extreme heat and heat waves are defined as any period during which the daily maximum air temperature exceeds 30 °C, and a tropical night is one in which the daily minimum air temperature does not fall below 20 °C. Both in situ observations and model output from the Copernicus Climate Change Service were employed in the 1982–2024 analysis. The results reveal that the frequency of extreme heat waves is increasing. Since 2018, the southeastern Baltic Sea coast has experienced at least one extreme heat wave and one tropical night each year. The observed rise in mean air and sea-surface temperatures has driven an uptick in tropical night occurrence. Forecasts of tropical-night formation could be substantially improved by integrating sea-surface temperature assessments for the southeastern Baltic coast. Moreover, timely adaptation to evolving weather conditions—through enhanced forecasting techniques and the incorporation of high-resolution reanalysis datasets—is essential for optimizing early-warning systems capable of safeguarding human health and lives. Climate change increases the frequency and intensity of heat waves, posing significant challenges to public health, the economy, the environment, and infrastructure. Therefore, advancing the understanding of extreme heat events through the use of cutting-edge technologies, remote sensing, and Copernicus reanalysis data represents a key sustainability task. Such approaches enable more accurate assessments and forecasts of extremes, thereby supporting a safer, healthier, and more resilient future. Full article
Show Figures

Figure 1

25 pages, 2501 KB  
Review
Advances in Growing Degree Days Models for Flowering to Harvest: Optimizing Crop Management with Methods of Precision Horticulture—A Review
by Helene Fotouo Makouate and Manuela Zude-Sasse
Horticulturae 2025, 11(12), 1415; https://doi.org/10.3390/horticulturae11121415 - 21 Nov 2025
Viewed by 1181
Abstract
Temperature plays a vital role in plant metabolism, and effective crop temperature appears to be influenced by variables related to climate change. While extreme weather events are widely discussed, the effects of moderate temperature changes pose consistent yet underexplored challenges for farmers. The [...] Read more.
Temperature plays a vital role in plant metabolism, and effective crop temperature appears to be influenced by variables related to climate change. While extreme weather events are widely discussed, the effects of moderate temperature changes pose consistent yet underexplored challenges for farmers. The “growing degree days” (GDD) also termed “heat unit”, is the most widely used approach in agricultural and ecological studies to quantify the relationship between temperature and plant development. This review provides a comprehensive examination of GDD methodology as applied to horticultural crop production, specifically from initial fruit development to fruit maturity, and postharvest. It is the first integrated synthesis of the conceptual evolution, methodological refinement, and broad application of GDD, thereby highlighting the need to optimize GDD approaches in light of emerging technological tools. While the GDD model is valuable for predicting crop development based on heat accumulation, it has limitations in capturing the effects of other environmental factors. Additionally, air temperature may not provide precise data on each plant organ. Recent advances in remote sensing, such as the integration of thermal imaging, RGB cameras, and lidar have enabled the measurement of spatially resolved temperature distribution within crop canopies, including fruit surface temperature. Recent advances, highlighted in the literature, suggest that integrating sensor innovations with machine learning approaches holds high potential for improving the precision of modeling temperature-dependent growth responses and their interactions with other environmental variables. By addressing these challenges and expanding its applications, GDD can continue to serve as an essential tool in promoting sustainable horticultural practices and adapting to global warming. Full article
(This article belongs to the Special Issue Orchard Management Under Climate Change: 2nd Edition)
Show Figures

Figure 1

21 pages, 4663 KB  
Article
Beyond the Canopy: In Situ Evidence of Urban Green Spaces’ Cooling Potential Across Three Chilean Cities
by Karina Salgado, Francisco de la Barrera, Valentina Salinas, Sergio González, Sonia Reyes-Paecke, Ricardo Truffello and Agnese Salvati
Urban Sci. 2025, 9(11), 485; https://doi.org/10.3390/urbansci9110485 - 18 Nov 2025
Viewed by 685
Abstract
Vegetation in urban green spaces plays a critical role in mitigating surface heat, yet the magnitude of this effect remains uncertain across scales and measurement methods. This study assesses the cooling performance during the summer of 94 green spaces in three Chilean cities—classified [...] Read more.
Vegetation in urban green spaces plays a critical role in mitigating surface heat, yet the magnitude of this effect remains uncertain across scales and measurement methods. This study assesses the cooling performance during the summer of 94 green spaces in three Chilean cities—classified in three types according to their size—combining satellite-derived land surface temperature (LST) data with high-resolution in situ thermal imaging. We performed comparisons of the cooling effects of green spaces and their components (vegetation, impermeable and semi-permeable surfaces). Spearman’s correlation analysis, the Mann-Whitney U test and Kruskal-Wallis and Dunn post hoc were used to evaluate associations and differences. Results demonstrate that vegetation quantity and composition—particularly tree and shrub cover—are key determinants of cooling performance. In situ measurements reveal that green spaces are on average 9.3 °C cooler than their urban surroundings, substantially exceeding differences captured by LST. Additionally, shaded surfaces within green spaces exhibit temperature reductions of 12 °C to 17 °C compared to sun-exposed areas, underscoring the role of vegetation in mitigating surface heat extremes. These findings challenge the sole reliance on remote sensing for urban heat assessments and highlight the value of integrating ground-based observations. This study advances understanding of vegetation’s localized cooling potential in Latin American cities and provides actionable insights for urban climate resilience planning. Full article
Show Figures

Figure 1

22 pages, 9430 KB  
Article
Micropatterned Composite Hydrogel Sheet with Surface Electronic Conductive Network for Ultrasensitive Strain Sensing
by Ruidong Chu, Mingyu Liu, Wenxia Liu, Zhaoping Song, Guodong Li, Dehai Yu, Xiaona Liu and Huili Wang
Gels 2025, 11(11), 913; https://doi.org/10.3390/gels11110913 - 15 Nov 2025
Viewed by 327
Abstract
Conductive hydrogels show great promise for wearable sensors but suffer from low sensitivity in small strain ranges. In this study, we developed a micropatterned composite hydrogel sheet (thickness: 1.2 ± 0.1 mm) by constructing a continuous electronic conductive network of carbon nanotubes (CNTs) [...] Read more.
Conductive hydrogels show great promise for wearable sensors but suffer from low sensitivity in small strain ranges. In this study, we developed a micropatterned composite hydrogel sheet (thickness: 1.2 ± 0.1 mm) by constructing a continuous electronic conductive network of carbon nanotubes (CNTs) on a highly crosslinked micropatterned hydrogel sheet. The sheet was fabricated via a two-step synthesis of a polyvinyl alcohol/polyacrylic acid polymer network—crosslinked by Zr4+ in a glycerol-water system—using sandpaper as the template. The first step ensured tight conformity to the template, while the second step preserved the micropattern’s integrity and precision. The reverse sandpaper micropattern enables secure bonding of CNTs to the hydrogel and induces localized stress concentration during stretching. This triggers controllable cracking in the conductive network, allowing the sensor to maintain high sensitivity even in small strain ranges. Consequently, the sensor exhibits ultra-high sensitivity, with gauge factors of 76.1 (0–30% strain) and 203.5 (30–100% strain), alongside a comfortable user experience. It can detect diverse activities, from subtle physiological signals and joint bending to complex hand gestures and athletic postures. Additionally, the micropatterned composite hydrogel sheet also demonstrates self-healing ability, adhesiveness, and conformability, while performing effectively under extreme temperatures and sweaty conditions. This innovative structure and sensing mechanism—leveraging stress concentration and controlled crack formation—provides a strategy for designing wearable electronics with enhanced performance. Full article
Show Figures

Graphical abstract

28 pages, 19798 KB  
Article
Study on the Diurnal Difference of the Impact Mechanism of Urban Green Space on Surface Temperature and Sustainable Planning Strategies
by Mengrong Shu, Yichen Lu, Rongxiang Chen, Kaida Chen and Xiaojie Lin
Sustainability 2025, 17(22), 10193; https://doi.org/10.3390/su172210193 - 14 Nov 2025
Viewed by 596
Abstract
Urban densification intensifies the heat island effect, threatening ecological security. Green spaces, as crucial spatial elements in regulating the urban thermal environment, remain poorly understood in terms of their morphological characteristics and regulatory mechanisms, with a lack of systematic quantification and recognition of [...] Read more.
Urban densification intensifies the heat island effect, threatening ecological security. Green spaces, as crucial spatial elements in regulating the urban thermal environment, remain poorly understood in terms of their morphological characteristics and regulatory mechanisms, with a lack of systematic quantification and recognition of diurnal variations. This study, focusing on Shanghai’s main urban area, constructs physiological, physical, and morphological variables of green spaces based on high-resolution remote sensing data and the MSPA landscape morphology analysis framework. By integrating machine learning models with the SHAP interpretation algorithm, it analyses the influence mechanism of green spaces on Land Surface Temperature (LST) and its non-linear characteristics from the perspective of diurnal variation. The results indicate the following: (1) Green spaces exhibit pronounced diurnal variation in LST influence. Daytime cooling is primarily driven by vegetation cover, vegetation activity, and surface albedo through evapotranspiration and shading; night-time cooling depends on soil moisture and green space spatial structure and is achieved via thermal storage-radiative heat dissipation and cold air transport. (2) Green space indicators exhibit pronounced nonlinearity and threshold effects on LST. Optimal cooling efficiency occurs under moderate vegetation activity and moderate humidity conditions, whereas extreme high humidity or high vegetation activity may induce heat retention effects. (3) Day–night thermal regulation mechanisms differ markedly. Daytime cooling primarily depends on vegetation transpiration and shading to suppress surface warming; night-time cooling is dominated by soil thermal storage release, longwave radiation dissipation, and ventilation transport, enabling cold air to diffuse across the city and establishing a stable, three-dimensional nocturnal cooling effect. This study systematically reveals the distinct diurnal cooling mechanisms of high-density urban green spaces, providing theoretical support for refined urban thermal environment management. Full article
Show Figures

Figure 1

20 pages, 4886 KB  
Article
Spatiotemporal Variation and Driving Mechanisms of Land Surface Temperature in the Urumqi Metropolitan Area Based on Land Use Change
by Buwajiaergu Shayiti and Alimujiang Kasimu
Land 2025, 14(11), 2252; https://doi.org/10.3390/land14112252 - 13 Nov 2025
Viewed by 360
Abstract
Land use change is closely related to land surface temperature (LST). Based on remote sensing data from 2001 to 2020, this study analyzed the spatiotemporal variations and driving mechanisms of daytime and nighttime LST in the Urumqi Metropolitan Area (UMA) by combining traditional [...] Read more.
Land use change is closely related to land surface temperature (LST). Based on remote sensing data from 2001 to 2020, this study analyzed the spatiotemporal variations and driving mechanisms of daytime and nighttime LST in the Urumqi Metropolitan Area (UMA) by combining traditional methods with the eXtreme Gradient Boosting (XGBoost)–SHAP coupled model. Although the average LST trend in the region was one of warming, the pixel-level significance analysis indicated that statistically significant warming (p < 0.05) is concentrated mainly in the urban core (2.65% of the area), while the majority of the region (70%) showed a non-significant warming trend. LST displayed significant spatial clustering, with Moran’s I remaining above 0.990, indicating a positive spatial autocorrelation in spatial distribution. With the advancement of urbanization, the proportion of impervious surfaces increased from 0.87% to 1.14%, while wastelands consistently accounted for approximately 50% of the total area. Different land use types showed distinct effects on the urban heat island (UHI) phenomenon: water bodies, grasslands, and forests played cooling roles, whereas barren land and impervious areas were the main heat contributors. The XGBoost-SHAP analysis further revealed that the importance ranking of driving factors has evolved over time. Among these factors, Elevation dominates, while the influence of population-related factors increased significantly in 2020. This study provides a scientific basis for regulating the thermal environment of cities in arid regions from the perspective of land use. This study provides a scientific basis for regulating the thermal environment of arid-region cities from the perspective of land use. Full article
(This article belongs to the Section Land Innovations – Data and Machine Learning)
Show Figures

Figure 1

22 pages, 4342 KB  
Article
Differential Single-Crystal Waveguide Ultrasonic Temperature Measurements Based on Magnetostriction
by Yanlong Wei, Gang Yang, Gao Wang, Haijian Liang, Hui Qi, Xiaofang Mu, Zhen Tian, Fujiang Yuan and Qianxiang Zhang
Micromachines 2025, 16(11), 1274; https://doi.org/10.3390/mi16111274 - 13 Nov 2025
Viewed by 374
Abstract
In extremely harsh high-temperature environments in aerospace, industrial manufacturing and other fields, traditional ultrasonic temperature measurement technology has certain limitations. This paper proposes a differential single crystal sapphire ultrasonic temperature measurement method based on the magnetostrictive effect. This method abandons the traditional sensitive [...] Read more.
In extremely harsh high-temperature environments in aerospace, industrial manufacturing and other fields, traditional ultrasonic temperature measurement technology has certain limitations. This paper proposes a differential single crystal sapphire ultrasonic temperature measurement method based on the magnetostrictive effect. This method abandons the traditional sensitive flexural structure and uses two single-crystal sapphire waveguides of the same material, same diameter, and slightly different lengths as sensing elements. By measuring the time delay difference between their end-face echoes, the sound velocity is inverted and the temperature is measured. COMSOL multi-physics v6.1 simulation was used to optimize the bias magnetic field design of the magnetostrictive transducer, which improved the system’s energy conversion efficiency and high-temperature stability. Experimental results show that in the range of 300–1200 °C, the sensor delay increases monotonically with increasing temperature, the sound speed shows a downward trend, and the repeatability error is less than 5%; the differential processing method effectively suppresses common mode noise in the range of 300–700 °C, and still shows high sensitivity above 800 °C. This research offers a technical solution with high reliability and accuracy for temperature monitoring in extreme environments such as those characterized by high temperatures and high pressures. Full article
(This article belongs to the Section A:Physics)
Show Figures

Figure 1

Back to TopTop