Sign in to use this feature.

Years

Between: -

Subjects

remove_circle_outline
remove_circle_outline
remove_circle_outline
remove_circle_outline
remove_circle_outline
remove_circle_outline
remove_circle_outline

Journals

Article Types

Countries / Regions

Search Results (48)

Search Parameters:
Keywords = extrahepatic metastasis

Order results
Result details
Results per page
Select all
Export citation of selected articles as:
15 pages, 1606 KB  
Article
Impact of Bone Metastases and Actionable Genetic Alterations in Biliary Tract Cancer
by Karim Hussien El-Shakankery, Joanna Kefas, Ramis Andaleeb, Paula Muehlschlegel and John Bridgewater
Cancers 2025, 17(10), 1639; https://doi.org/10.3390/cancers17101639 - 12 May 2025
Viewed by 894
Abstract
Background: Bone metastasis (BM) prevalence is underreported in biliary tract cancers (BTC). This study aimed to assess BM prevalence in a real-world BTC population, alongside examining its relationship to prognosis and genomic alterations. Methods: Patients with histology-proven BTC as reviewed at [...] Read more.
Background: Bone metastasis (BM) prevalence is underreported in biliary tract cancers (BTC). This study aimed to assess BM prevalence in a real-world BTC population, alongside examining its relationship to prognosis and genomic alterations. Methods: Patients with histology-proven BTC as reviewed at a university cancer centre between January 2019 and August 2022 were assessed. Data extracted from records included BTC subtype, molecular profiling and systemic anti-cancer therapy (SACT) use. Stratification by BTC subtype and metastasis sites occurred. Median overall survival (mOS) was defined as time from relapse or metastases to death. Survival analysis was conducted using the Cox Proportional Hazard model. Results: Of 197 patients, 74 (37.6%) had intrahepatic and 67 (34%) had extrahepatic cholangiocarcinoma. Thirty-four patients had BM (17.3%), with 14 identified at initial diagnosis. OS was not influenced by bone (HR 1.15; p = 0.48) or liver metastases (HR 1.09; p = 0.6). Stratifying for age and gender, no significant difference in OS was observed. Actionable alterations were equally likely in patients with (52.4%) and without BM (58.5%). Age of BTC onset (<65 or ≥65) did not significantly influence prevalence of actionable alterations. Patients receiving matched, targeted SACT had a mOS of 29.9 months, compared to 13.3 months in those with actionable alterations but no SACT matching (HR 0.35; p < 0.005). Conclusions: In advanced BTC, BM do not affect OS. Across all cohorts, actionable alterations improved OS when treated with matched SACT. Full article
(This article belongs to the Section Cancer Metastasis)
Show Figures

Figure 1

15 pages, 1898 KB  
Article
The Efficacy and Safety of Hepatic Artery Infusion Chemotherapy Combined with Lenvatinib and Programmed Death (PD)-1 Inhibitors for Unresectable Intrahepatic Cholangiocarcinoma: A Retrospective Study
by Yingxiao Cai, Wu Wen, Yangshuo Xia and Renhua Wan
Curr. Oncol. 2025, 32(2), 87; https://doi.org/10.3390/curroncol32020087 - 4 Feb 2025
Viewed by 2338
Abstract
Objectives: Although systemic chemotherapy (SC) is the mainstay for treating unresectable intrahepatic cholangiocarcinoma (ICC), its efficacy is limited and it causes severe systemic side effects. This study focuses on evaluating the effectiveness and safety of hepatic arterial infusion chemotherapy (HAIC) in combination with [...] Read more.
Objectives: Although systemic chemotherapy (SC) is the mainstay for treating unresectable intrahepatic cholangiocarcinoma (ICC), its efficacy is limited and it causes severe systemic side effects. This study focuses on evaluating the effectiveness and safety of hepatic arterial infusion chemotherapy (HAIC) in combination with lenvatinib plus programmed death-1 (PD-1) inhibitors (HLP), compared to SC in combination with lenvatinib plus PD-1 inhibitors (SCLP) for unresectable ICC. Methods: We analyzed patients initially diagnosed with unresectable ICC at our center between March 2021 and December 2023, classifying them into HLP and SCLP groups according to treatment regimen. This study assessed and compared overall survival (OS), progression-free survival (PFS), tumor response, and safety outcomes across the two treatment groups. Results: This study enrolled 53 subjects in total; 25 were treated with HLP and 28 with SCLP. The two groups showed well-matched baseline characteristics. The HLP group reported an extended median OS (12.8 vs. 11.0 months, p = 0.310) and a prolonged median PFS (8.8 vs. 6.4 months, p = 0.043), compared to the SCLP group. The HLP group had a better objective response rate (ORR) (52% vs. 25%, p = 0.043) and disease control rate (DCR) (96% vs. 78.6%, p = 0.104). Based on OS (p = 0.019) and PFS (p = 0.032) results, those without extrahepatic metastasis seemed to benefit more significantly from the HLP regimen than from the SCLP regimen. The HLP group experienced fewer grade 3–4 adverse events (AEs) than the SCLP group. Conclusions: The HLP regimen for unresectable ICC is an effective and safe strategy and is potentially better suited for patients without extrahepatic metastases. Full article
(This article belongs to the Section Gastrointestinal Oncology)
Show Figures

Figure 1

15 pages, 1291 KB  
Article
Prognostic Significance of Lymph Node Ratio in Intrahepatic and Extrahepatic Cholangiocarcinomas
by Andrii Khomiak, Sumaya Abdul Ghaffar, Salvador Rodriguez Franco, Ioannis Asterios Ziogas, Ethan Cumbler, Ana Luiza Gleisner, Marco Del Chiaro, Richard David Schulick and Benedetto Mungo
Cancers 2025, 17(2), 220; https://doi.org/10.3390/cancers17020220 - 11 Jan 2025
Cited by 3 | Viewed by 1280
Abstract
Background/Objectives. Lymph Node Ratio (LNR) is increasingly recognized as an important prognostic factor in various cancer types, with the potential to enhance patient stratification for intrahepatic (ICC) and extrahepatic (ECC) cholangiocarcinoma. The study aimed to assess the impact of LNR on survival [...] Read more.
Background/Objectives. Lymph Node Ratio (LNR) is increasingly recognized as an important prognostic factor in various cancer types, with the potential to enhance patient stratification for intrahepatic (ICC) and extrahepatic (ECC) cholangiocarcinoma. The study aimed to assess the impact of LNR on survival in surgically resected patients with ICC and ECC. Methods. This was a retrospective analysis of National Cancer Database (2004–2020) included ICC and ECC (excluding distal bile duct) patients who underwent primary site resection with adequate lymphadenectomy (≥4 LNs excised). Exclusions comprised age < 18 years, distant metastasis, or incomplete key data. LNR was calculated as the ratio of positive LNs to total examined LNs. Survival probabilities were estimated using Kaplan–Meier analysis and Cox regression. Results. The inclusion criteria were met by 954 patients with ICC and 1607 patients with ECC. In patients with ICC, the median OS time was 62.7 months in LNR0 group, 40.8 months in LNR < 30%, and 25.2 months in LNR ≥ 30% (p < 0.001). In ICC, 3-year OS was 69.3%, 54.6%, and 34% for LNR 0, LNR < 30%, and LNR ≥ 30%, respectively (p < 0.05). When adjusted for age, sex, Charlson–Deyo score, histology, surgical margins, chemo- and radiotherapy using Cox regression, LNR < 30% and LNR ≥ 30% were associated with worse OS in patients with ICC (HR 2.1 (95% CI 1.6–2.7) and HR 2.94 (95% CI 2.3–3.8)) and ECC (HR 2.1 (95% CI 1.8–2.5) and HR 3 (95% CI 2.4–3.7)). Conclusions. It is well-known that LN-negative patients have significantly better survival than LN-positive patients with ICC and ECC. This study strongly demonstrates that survival prognosis can be further stratified based on LNR for ICC and ECC patients and that it is not simply a binary factor. Full article
(This article belongs to the Section Clinical Research of Cancer)
Show Figures

Figure 1

10 pages, 830 KB  
Article
A Proposal for a Simple Subclassification of Advanced Hepatocellular Carcinoma in Systemic Treatment
by Norihiro Imai, Takafumi Yamamoto, Kazuyuki Mizuno, Shinya Yokoyama, Kenta Yamamoto, Takanori Ito, Yoji Ishizu, Teiji Kuzuya, Takashi Honda, Tetsuya Ishikawa and Hiroki Kawashima
Cancers 2024, 16(22), 3797; https://doi.org/10.3390/cancers16223797 - 12 Nov 2024
Viewed by 1339
Abstract
Objectives: This study focused on the presence or absence of vascular invasion and extrahepatic metastasis in hepatocellular carcinoma (HCC) and examined their impact on systemic treatment outcomes. Methods: We retrospectively analyzed 362 patients with unresectable HCC who received first-line systemic therapy. The prognostic [...] Read more.
Objectives: This study focused on the presence or absence of vascular invasion and extrahepatic metastasis in hepatocellular carcinoma (HCC) and examined their impact on systemic treatment outcomes. Methods: We retrospectively analyzed 362 patients with unresectable HCC who received first-line systemic therapy. The prognostic evaluation was based on the presence of vascular invasion and extrahepatic metastasis at the time of treatment initiation. Results: Patients with vascular invasion or extrahepatic metastasis (advanced group) had significantly worse outcomes than those without these features (intermediate group), with median survival times of 434 and 658 days, respectively. Further subdivision of the advanced group into three categories—patients with only extrahepatic metastasis (m group, n = 77), patients with only vascular invasion (v group, n = 78), and patients with both vascular invasion and extrahepatic metastasis (vm group, n = 52)—revealed that the m group had significantly better outcomes than those in the other two groups, with median survival times of 649, 323, and 187 days, respectively. A comparison of the clinical backgrounds among the three groups demonstrated that the m group had significantly better liver function at the time of treatment initiation than that in the other two groups. Multivariable analysis, including performance status, Child–Pugh score, and the use of immune checkpoint inhibitors as first-line therapy, identified the m group as an independent and significant prognostic factor (hazard ratio, 0.50). Conclusions: Unresectable HCC with extrahepatic metastasis and no vascular invasion represents a novel staging category for systemic treatment. Full article
Show Figures

Figure 1

12 pages, 1625 KB  
Article
T-Cell Dynamics Predicts Prognosis of Patients with Hepatocellular Carcinoma Receiving Atezolizumab Plus Bevacizumab
by Hye Won Lee, Suebin Park, Hye Jung Park, Kyung Joo Cho, Do Young Kim, Byungjin Hwang and Jun Yong Park
Int. J. Mol. Sci. 2024, 25(20), 10958; https://doi.org/10.3390/ijms252010958 - 11 Oct 2024
Cited by 3 | Viewed by 2223
Abstract
Atezolizumab and bevacizumab show promise for treating hepatocellular carcinoma (HCC), but identifying responsive patients remains challenging, due to tumor heterogeneity. This study explores immune dynamics following this combination therapy. Between 2020 and 2023, 29 patients with advanced HCC who received atezolizumab plus bevacizumab [...] Read more.
Atezolizumab and bevacizumab show promise for treating hepatocellular carcinoma (HCC), but identifying responsive patients remains challenging, due to tumor heterogeneity. This study explores immune dynamics following this combination therapy. Between 2020 and 2023, 29 patients with advanced HCC who received atezolizumab plus bevacizumab at Severance Hospital, Seoul, were enrolled in this study. Peripheral blood mononuclear cells were analyzed using flow cytometry and statistical methods to assess immune alterations and identify biomarkers. Baseline characteristics showed a diverse HCC cohort with a mean age of 64 years and 82.8% male predominance. Absence of extrahepatic metastasis was associated with better overall survival. Immune responses revealed distinct CD4+ T-cell phenotypes between the ‘partial response (PR) + stable disease (SD)’ and ‘progressive disease (PD)’ groups, with an overall increase in CD8+ T-cell phenotypes. Patients with higher frequencies of CD8+PD-1+Ki-67+ T cells experienced significantly improved overall survival, while those with lower frequencies of CD4+Foxp3+PD-1+LAG3+ T cells also had notable survival benefits. These findings enhance the overall understanding of immune responses to this combination therapy, facilitating improved patient stratification and personalized therapeutic approaches for HCC. Full article
(This article belongs to the Special Issue Advances in Molecular Biomarkers in Liver Diseases)
Show Figures

Graphical abstract

30 pages, 1417 KB  
Review
Interplay of Cardiometabolic Syndrome and Biliary Tract Cancer: A Comprehensive Analysis with Gender-Specific Insights
by Vincenza Di Stasi, Antonella Contaldo, Lucia Ilaria Birtolo and Endrit Shahini
Cancers 2024, 16(19), 3432; https://doi.org/10.3390/cancers16193432 - 9 Oct 2024
Viewed by 3189
Abstract
BTC overall incidence is globally increasing. CCA, including its subtypes, is a form of BTC. MetS, obesity, MASLD, and diabetes are all linked to CCA in interconnected ways. The link between obesity and CCA is less well-defined in Eastern countries as compared to [...] Read more.
BTC overall incidence is globally increasing. CCA, including its subtypes, is a form of BTC. MetS, obesity, MASLD, and diabetes are all linked to CCA in interconnected ways. The link between obesity and CCA is less well-defined in Eastern countries as compared to Western. Although more research is needed to determine the relationship between MASLD and extrahepatic CCA (eCCA), MASLD may be a concurrent risk factor for intrahepatic CCA, particularly in populations with established or unidentified underlying liver disease. Interestingly, the risk of biliary tract cancer (BTC) seemed to be higher in patients with shorter diabetes durations who were not treated with insulin. Therefore, early detection and prevention of chronic liver disease, as well as additional intervention studies, will undoubtedly be required to determine whether improvements to MetS, weight loss, and diabetes therapy can reduce the risk and progression of BTC. However, further studies are needed to understand how reproductive hormones are involved in causing BTC and to develop consistent treatment for patients. Finally, it is critical to carefully assess the cardiological risk in BTC patients due to their increased intrinsic cardiovascular risk, putting them at risk for thrombotic complications, cardiovascular death, cardiac metastasis, and nonbacterial thrombotic endocarditis. This review aimed to provide an updated summary of the relation between the abovementioned cardio-metabolic conditions and BTC. Full article
Show Figures

Figure 1

17 pages, 1632 KB  
Article
Histopathological Growth Patterns Determine the Outcomes of Colorectal Cancer Liver Metastasis Following Liver Resection
by Lucyna Krzywoń, Anthoula Lazaris, Stephanie K. Petrillo, Oran Zlotnik, Zu-Hua Gao and Peter Metrakos
Cancers 2024, 16(18), 3148; https://doi.org/10.3390/cancers16183148 - 13 Sep 2024
Cited by 2 | Viewed by 2442
Abstract
Introduction: Colorectal cancer liver metastasis (CRCLM) remains a lethal diagnosis, with an overall 5-year survival rate of 5–10%. Two distinct histopathological growth patterns (HGPs) of CRCLM are known to have significantly differing rates of patient survival and response to treatment. We set out [...] Read more.
Introduction: Colorectal cancer liver metastasis (CRCLM) remains a lethal diagnosis, with an overall 5-year survival rate of 5–10%. Two distinct histopathological growth patterns (HGPs) of CRCLM are known to have significantly differing rates of patient survival and response to treatment. We set out to review the results of 275 patients who underwent liver resection for CRCLM at the McGill University Health Center (MUHC) and analyze their clinical outcome, mutational burden, and pattern of cancer progression in light of their HGPs, and to consider their potential effect on surgical decision making. Methods: We performed a retrospective multivariate analysis on clinical data from patients with CRCLM (n = 275) who underwent liver resection at the McGill University Health Center (MUHC). All tumors were scored using international consensus guidelines by pathologists trained in HGP scoring. Results: A total of 109 patients (42.2%) were classified as desmoplastic and angiogenic, whereas 149 patients (57.7%) were non-desmoplastic and vessel co-opting. The 5-year survival rates for angiogenic patients compared with vessel co-opting patients were 47.1% and 13%, respectively (p < 0.0001). Multivariate analysis showed patients with vessel co-opting CRCLM had a higher incidence of extrahepatic metastatic disease (p = 0.0215) compared with angiogenic CRCLM. Additionally, KRAS mutation status was a marker of increased likelihood of disease recurrence (p = 0.0434), as was increased number of liver tumors (p = 0.0071) and multiple sites of extrahepatic metastatic disease (p < 0.0001). Conclusions: Multivariate analysis identified key clinical prognostic and molecular features correlating with the two HGPs. Determining liver tumor HGPs is essential for patient prognostication and treatment optimization. Full article
(This article belongs to the Special Issue Liver Metastasis of Cancer)
Show Figures

Figure 1

15 pages, 1592 KB  
Article
Prognostic Factors of Pulmonary Metastasectomy for Oligometastatic Hepatocellular Carcinoma Spread to the Lungs
by Bohyun Kim, Mi Hyoung Moon and Seok Whan Moon
J. Clin. Med. 2024, 13(14), 4241; https://doi.org/10.3390/jcm13144241 - 20 Jul 2024
Cited by 1 | Viewed by 1363
Abstract
Background/Objectives: Pulmonary metastasis is the most prevalent type of extrahepatic hepatocellular carcinoma (HCC) metastasis. International guidelines recommend systemic treatment for patients with HCC having pulmonary metastases. However, the role of pulmonary metastasectomy (PM) remains relatively unexplored. Therefore, we assessed the survival outcomes [...] Read more.
Background/Objectives: Pulmonary metastasis is the most prevalent type of extrahepatic hepatocellular carcinoma (HCC) metastasis. International guidelines recommend systemic treatment for patients with HCC having pulmonary metastases. However, the role of pulmonary metastasectomy (PM) remains relatively unexplored. Therefore, we assessed the survival outcomes and the factors influencing them in patients who underwent PM for metastatic HCC. Methods: Clinical data were collected from patients with HCC who underwent PM for metastasis at a single tertiary center between January 2004 and December 2022. Recurrence-free survival and overall survival were assessed using Kaplan–Meier curves. The Cox proportional hazards model was used to identify factors associated with survival outcomes. Results: Overall, 63 patients underwent PM with a median follow-up time of 84.0 months. The cumulative survival rates after the initial PM at 1, 2, and 5 years were 79.1%, 63.9%, and 35.6%, respectively. In multivariate analysis, early intrathoracic recurrence <6 months, number and size of metastases, resection margin status, and PM bilaterality were significantly associated with overall survival. A larger size of the primary HCC, increased number of repeated PM, and frequent lobectomy were more common in patients with early (<6 months) recurrence after PM than in those without early recurrence. Conclusions: PM in patients with metastatic HCC may provide acceptable survival outcomes for those with smaller, unilateral lung metastases that can be resected with generous surgical margins. However, early recurrence with reduced overall survival is likely in patients with a larger-size initial HCC after prior PM and lobectomy. Full article
(This article belongs to the Section Oncology)
Show Figures

Figure 1

14 pages, 1822 KB  
Article
Local Treatment of Colorectal Liver Metastases in the Presence of Extrahepatic Disease: Survival Outcomes from the Amsterdam Colorectal Liver Met Registry (AmCORE)
by Hannah H. Schulz, Madelon Dijkstra, Susan van der Lei, Danielle J. W. Vos, Florentine E. F. Timmer, Robbert S. Puijk, Hester J. Scheffer, M. Petrousjka van den Tol, Birgit I. Lissenberg-Witte, Tineke E. Buffart, Kathelijn S. Versteeg, Rutger-Jan Swijnenburg and Martijn R. Meijerink
Cancers 2024, 16(6), 1098; https://doi.org/10.3390/cancers16061098 - 8 Mar 2024
Cited by 2 | Viewed by 2138
Abstract
Background: The simultaneous presence of colorectal liver metastases (CRLMs) and extrahepatic metastases in patients with colorectal cancer (CRC) can be considered a relative contraindication for local treatment with curative intent. This study aims to assess the survival outcomes of patients with CRLMs and [...] Read more.
Background: The simultaneous presence of colorectal liver metastases (CRLMs) and extrahepatic metastases in patients with colorectal cancer (CRC) can be considered a relative contraindication for local treatment with curative intent. This study aims to assess the survival outcomes of patients with CRLMs and extrahepatic metastases after comprehensive local treatment of all metastatic sites. Methods: Patients with CRLMs who received local treatment of all metastatic sites were extracted from the prospective AmCORE registry database and subdivided into two groups: CRLM only vs. CRLM and extrahepatic metastasis. To address potential confounders, multivariate analysis was performed. The primary endpoint was overall survival (OS). Results: In total, 881 patients with CRLM only and 60 with CRLM and extrahepatic disease were included, and the median OS was 55.7 months vs. 42.7 months, respectively. Though OS was significantly lower in patients with concomitant extrahepatic metastases (HR 1.477; 95% CI 1.029–2.121; p = 0.033), the survival curve plateaued after 6.2 years. Extrahepatic manifestations were pulmonary (43.3%), peritoneal (16.7%) and non-regional lymph node metastases (10.0%). In patients with pulmonary and non-regional lymph node metastases, OS did not significantly differ from patients with CRLM-only disease; concomitant peritoneal metastases showed an inferior OS (HR 1.976; 95% CI 1.017–3.841, p = 0.041). Conclusions: In this comparative series, OS was inferior for patients with multi-organ metastatic CRC versus patients with CRLMs alone. Nonetheless, the long-term survival curve plateau seemed to justify local treatment in a subset of patients with multi-organ metastatic CRC, especially for patients with CRLMs and pulmonary or lymph node metastases. Full article
(This article belongs to the Special Issue Thermal Ablation in the Management for Colorectal Liver Metastases)
Show Figures

Figure 1

15 pages, 4172 KB  
Article
Onward Spread from Liver Metastases Is a Major Cause of Multi-Organ Metastasis in a Mouse Model of Metastatic Colon Cancer
by Liza A. Wijler, Bastiaan J. Viergever, Esther Strating, Susanne J. van Schelven, Susanna Poghosyan, Nicola C. Frenkel, Hedy te Rietmole, Andre Verheem, Danielle A. E. Raats, Inne H. M. Borel Rinkes, Jeroen Hagendoorn and Onno Kranenburg
Cancers 2024, 16(5), 1073; https://doi.org/10.3390/cancers16051073 - 6 Mar 2024
Cited by 6 | Viewed by 3401
Abstract
Colorectal cancer metastasizes predominantly to the liver but also to the lungs and the peritoneum. The presence of extra-hepatic metastases limits curative (surgical) treatment options and is associated with very poor survival. The mechanisms governing multi-organ metastasis formation are incompletely understood. Here, we [...] Read more.
Colorectal cancer metastasizes predominantly to the liver but also to the lungs and the peritoneum. The presence of extra-hepatic metastases limits curative (surgical) treatment options and is associated with very poor survival. The mechanisms governing multi-organ metastasis formation are incompletely understood. Here, we tested the hypothesis that the site of tumor growth influences extra-hepatic metastasis formation. To this end, we implanted murine colon cancer organoids into the primary tumor site (i.e., the caecum) and into the primary metastasis site (i.e., the liver) in immunocompetent mice. The organoid-initiated liver tumors were significantly more efficient in seeding distant metastases compared to tumors of the same origin growing in the caecum (intra-hepatic: 51 vs. 40%, p = 0.001; peritoneal cavity: 51% vs. 33%, p = 0.001; lungs: 30% vs. 7%, p = 0.017). The enhanced metastatic capacity of the liver tumors was associated with the formation of ‘hotspots’ of vitronectin-positive blood vessels surrounded by macrophages. RNA sequencing analysis of clinical samples showed a high expression of vitronectin in liver metastases, along with signatures reflecting hypoxia, angiogenesis, coagulation, and macrophages. We conclude that ‘onward spread’ from liver metastases is facilitated by liver-specific microenvironmental signals that cause the formation of macrophage-associated vascular hotspots. The therapeutic targeting of these signals may help to contain the disease within the liver and prevent onward spread. Full article
(This article belongs to the Topic Advances in Colorectal Cancer Therapy)
Show Figures

Figure 1

13 pages, 17759 KB  
Article
The Clinical Significance of Myosteatosis in Survival Outcomes in Patients with Hepatocellular Carcinoma Treated with Sorafenib
by Min Kyu Kang, Jeong Eun Song, Se Young Jang, Byung Seok Kim, Woo Jin Chung, Changhyeong Lee, Soo Young Park, Won Young Tak, Young Oh Kweon, Jae Seok Hwang, Byoung Kuk Jang, Yu Rim Lee, Jung Gil Park and on behalf of Daegu-Gyeongbuk Liver Study Group (DGLSG)
Cancers 2024, 16(2), 454; https://doi.org/10.3390/cancers16020454 - 20 Jan 2024
Cited by 6 | Viewed by 2174
Abstract
The role of body composition parameters in sorafenib-treated hepatocellular carcinoma (HCC) patients is still not fully elucidated. Here, we aimed to evaluate the impact of computed tomography (CT)-based body composition parameters on the survival of such patients. In this multicenter study, we analyzed [...] Read more.
The role of body composition parameters in sorafenib-treated hepatocellular carcinoma (HCC) patients is still not fully elucidated. Here, we aimed to evaluate the impact of computed tomography (CT)-based body composition parameters on the survival of such patients. In this multicenter study, we analyzed the data of 245 sorafenib-treated HCC patients from January 2008 to December 2019. Sarcopenia, visceral obesity, and myosteatosis were defined by using cross-sectional CT images at the third lumbar vertebra level. The effects of these parameters on overall survival (OS) and progression-free survival (PFS) were evaluated. The median age was 67.0 years (interquartile range: 61.0–78.0 year), and 211 patients (86.1%) were male. The median OS and PFS were 7.9 months and 4.8 months, respectively. Vascular invasion (hazard ratio (HR), 1.727; 95% confidence interval (CI), 1.258–2.371; p = 0.001), extrahepatic metastasis (HR, 1.401; 95% CI, 1.028–1.908; p = 0.033), alpha-fetoprotein level > 200 ng/mL (HR, 1.559; 95% CI, 1.105–2.201; p = 0.012), and myosteatosis (HR, 1.814; 95% CI, 1.112–2.960; p = 0.017) were associated with OS. Patient mortality was significantly higher in the group with two or more risk factors than in the group with fewer risk factors. In conclusion, myosteatosis may be a novel prognostic CT-based radiological biomarker in sorafenib-treated HCC patients. Full article
(This article belongs to the Special Issue Advances in Cancer Cachexia)
Show Figures

Graphical abstract

21 pages, 566 KB  
Review
Predictive Factors of Response to Streptozotocin in Neuroendocrine Pancreatic Neoplasms
by Giuseppe Fanciulli, Anna La Salvia, Sergio Di Molfetta, Giuseppe Cannavale, Giulia Puliani, Monica Verrico, Federica Campolo, Annamaria Colao, Antongiulio Faggiano and NIKE Group
J. Clin. Med. 2023, 12(24), 7557; https://doi.org/10.3390/jcm12247557 - 7 Dec 2023
Cited by 5 | Viewed by 2862
Abstract
Pancreatic neuroendocrine neoplasms (Pan-NENs) may exhibit a heterogeneous clinical course, ranging from indolent to progressive/metastatic behavior. In the latter scenario, streptozocin (STZ) is considered the cornerstone of systemic treatment; however, response to STZ-based chemotherapy may vary among individuals. In this narrative review, we [...] Read more.
Pancreatic neuroendocrine neoplasms (Pan-NENs) may exhibit a heterogeneous clinical course, ranging from indolent to progressive/metastatic behavior. In the latter scenario, streptozocin (STZ) is considered the cornerstone of systemic treatment; however, response to STZ-based chemotherapy may vary among individuals. In this narrative review, we aimed to identify the predictive factors of response to STZ in advanced Pan-NENs. We performed an extensive search in international online databases for published studies and ongoing clinical trials evaluating STZ in Pan-NENs. We found 11 pertinent studies evaluating 17 patient-, tumor-, or treatment-related factors. Age, CgA blood levels, tumor grade, Ki-67% index, anatomical location of the primary tumor, tumor stage, site of metastasis origin, liver tumor burden, extrahepatic spread, functional status, O6-methylguanine-methyltransferase (MGMT) status, line of therapy, and response to previous treatments were all statistically associated with radiological response and/or survival. The identified predictors may help clinicians make appropriate treatment decisions, in this way improving clinical outcomes in patients with advanced Pan-NENs. Full article
(This article belongs to the Section Oncology)
Show Figures

Figure 1

13 pages, 1184 KB  
Article
Survival Improvements in Advanced Hepatocellular Carcinoma with Sequential Therapy by Era
by Yoshiko Nakamura, Masashi Hirooka, Atsushi Hiraoka, Yohei Koizumi, Ryo Yano, Makoto Morita, Yuki Okazaki, Yusuke Imai, Hideko Ohama, Kana Hirooka, Takao Watanabe, Fujimasa Tada, Osamu Yoshida, Yoshio Tokumoto, Masanori Abe and Yoichi Hiasa
Cancers 2023, 15(21), 5298; https://doi.org/10.3390/cancers15215298 - 6 Nov 2023
Cited by 7 | Viewed by 2141
Abstract
Treatment modalities for advanced hepatocellular carcinoma (HCC) have changed dramatically, with systemic therapy as the primary option. However, the effect of sequential treatment on prognosis remains unclear. This retrospective study included patients who began systemic therapy between 2009 and 2022. The patients were [...] Read more.
Treatment modalities for advanced hepatocellular carcinoma (HCC) have changed dramatically, with systemic therapy as the primary option. However, the effect of sequential treatment on prognosis remains unclear. This retrospective study included patients who began systemic therapy between 2009 and 2022. The patients were separated into three groups according to systemic therapy commencement. The number of therapy lines, treatment efficacy, and overall survival (OS) were compared. Multivariate analyses of the prognostic factors were analyzed using the Cox proportional hazards model. Overall, 336 patients were included (period 1: 2009–2013, n = 86; period 2: 2014–2018, n = 132; period 3: 2019–2022, n = 118). A significant etiological trend was observed with decreasing viral hepatitis-related HCC and increasing non-viral hepatitis-related HCC. Across periods 1–3, the proportion of patients who were administered >2 lines progressively increased (1.2%, 12.9%, and 17.0%, respectively; p < 0.001) and the median OS was significantly prolonged (14.3, 16.8, and 31.0 months; p < 0.001). The use of <3 lines, the non-complete and partial response of the first line, modified albumin–bilirubin at grade 2b or 3, an intrahepatic tumor number ≥ 5, extrahepatic metastasis, and alpha-fetoprotein at ≥400 ng/mL were the strongest factors associated with shorter OS. Sequential therapies have contributed to significant improvements in HCC prognosis, suggesting that sequential treatment post-progression is worthwhile for better survival. Full article
(This article belongs to the Special Issue Systemic Therapy for Hepatocellular Carcinoma)
Show Figures

Figure 1

14 pages, 2139 KB  
Article
Development and Assessment of Nomogram Based on AFP Response for Patients with Unresectable Hepatocellular Carcinoma Treated with Immune Checkpoint Inhibitors
by Yi Zhang, Hui Shen, Ruiying Zheng, Yueting Sun, Xiaoyan Xie, Ming-De Lu, Baoxian Liu and Guangliang Huang
Cancers 2023, 15(21), 5131; https://doi.org/10.3390/cancers15215131 - 25 Oct 2023
Cited by 3 | Viewed by 1554
Abstract
Background: Immune checkpoint inhibitors (ICIs) have been increasingly used to treat hepatocellular carcinoma (HCC). Prognostic biomarkers are an unmet need. We aimed to develop a prognostic nomogram for patients with unresectable HCC receiving ICIs therapy. Methods: A total of 120 patients with unresectable [...] Read more.
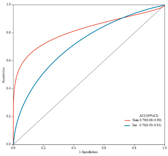
Background: Immune checkpoint inhibitors (ICIs) have been increasingly used to treat hepatocellular carcinoma (HCC). Prognostic biomarkers are an unmet need. We aimed to develop a prognostic nomogram for patients with unresectable HCC receiving ICIs therapy. Methods: A total of 120 patients with unresectable HCC receiving ICIs treatment were enrolled in this study. Patients were randomly divided into a training set (n = 84) and a validation set (n = 36) in a 7:3 ratio. Clinical characteristics were retrospectively analyzed. Serum α-fetoprotein protein (AFP) response was defined as a decline of ≥20% in AFP levels within the initial eight weeks of treatment. Univariable and multivariable Cox analyses were used to select relevant variables and construct the nomogram. The areas under the receiver operating characteristic curves (AUCs) were used to determine the performance of the model. Kaplan–Meier analysis with the log-rank test was used to compare different risk groups. Results: The median progression-free survival (PFS) was 7.7 months. In the multivariate Cox analysis, the presence of extrahepatic metastasis (hazard ratio [HR] = 2.08, 95% confidence interval [CI]: 1.02–4.27, p < 0.05), white blood cell count (HR = 3.48, 95% CI: 1.02–11.88, p < 0.05) and AFP response (HR = 0.41, 95% CI: 0.18–0.95, p < 0.05) independently predicted PFS. A nomogram for PFS was established with AUCs of 0.79 and 0.70 in the training and validation sets, respectively. The median PFS of the high- and low-risk subgroups was 3.5 and 11.7 months, respectively (p < 0.05). Conclusion: The nomogram could predict PFS in patients with unresectable HCC receiving ICIs treatment and further help decision making in daily clinical practice. Full article
(This article belongs to the Section Cancer Immunology and Immunotherapy)
Show Figures

Figure 1

4 pages, 3259 KB  
Interesting Images
A Rare Axillary Lymph Node Metastasis on 18F-FDG PET/CT for Staging in a Patient with Common Bile Duct Cancer
by Yeongjoo Lee, Hye Sung Won, Kyung Jin Seo and Sae Jung Na
Diagnostics 2023, 13(18), 3012; https://doi.org/10.3390/diagnostics13183012 - 21 Sep 2023
Viewed by 1730
Abstract
Distant metastasis of cholangiocarcinoma is most commonly diagnosed in the liver; however, it can also be found in the lungs, distant lymph nodes, bones, and brain. Distant lymph node metastasis outside the abdominal region without concurrent abdominal metastasis is exceedingly rare in extrahepatic [...] Read more.
Distant metastasis of cholangiocarcinoma is most commonly diagnosed in the liver; however, it can also be found in the lungs, distant lymph nodes, bones, and brain. Distant lymph node metastasis outside the abdominal region without concurrent abdominal metastasis is exceedingly rare in extrahepatic cholangiocarcinoma. Herein, we present interesting 18F-FDG PET/CT images of a 49-year-old male patient with common bile duct cancer. In this case, the patient, who was scheduled for surgery, unexpectedly showed axillary lymph node metastasis on a preoperative 18F-FDG PET scan, which was subsequently confirmed via histological examination. Although such cases are exceptionally rare, this accurate diagnosis prompted a modification of the treatment plan, leading to a positive therapeutic response. Full article
(This article belongs to the Section Medical Imaging and Theranostics)
Show Figures

Figure 1

Back to TopTop